Comparative Analysis of Multi-Source Evapotranspiration Products in Xinjiang, China
Abstract
Highlights
- The annual PET in Xinjiang increased significantly from 1990 to 2020, with summer and autumn PET showing significant decreases, while ET increased significantly only in autumn.
- The multi-source ET products showed spatial heterogeneity and seasonal dependency, with better performance in northern Xinjiang and significant variability in desert regions.
- This study provides valuable information for selecting appropriate ET products for hydrological simulation and climate change analysis in Xinjiang, enhancing the accuracy of related research.
- This comparison could benefit the understanding of the states and advances of global multi-source ET datasets and provide scientific instruction for the development and improvement of ET models and products.
Abstract
1. Introduction
2. Materials and Methods
2.1. Research Areas
2.2. Datasets
2.2.1. ET Products
2.2.2. Meteorological Observations
2.3. Methods
2.3.1. The Calculation of PET
2.3.2. The Calculation of Reference ET (ET0)
2.3.3. Statistical Index
2.3.4. Distance Between Indices of Simulation and Observation (DISO) Index
3. Results
3.1. The Temporal Variation and Spatial Trend of PET and ET in Xinjiang
3.1.1. The Temporal Variation and Spatial Trend of PET
3.1.2. The Temporal Variation and Spatial Trend of Evapotranspiration
3.2. The Inter-Comparison of ET Products Simulation
3.3. Comparative Analysis of Temporal Variability and Trends
3.4. Performance Comparison of ET Products at the Meteorological Station Scale
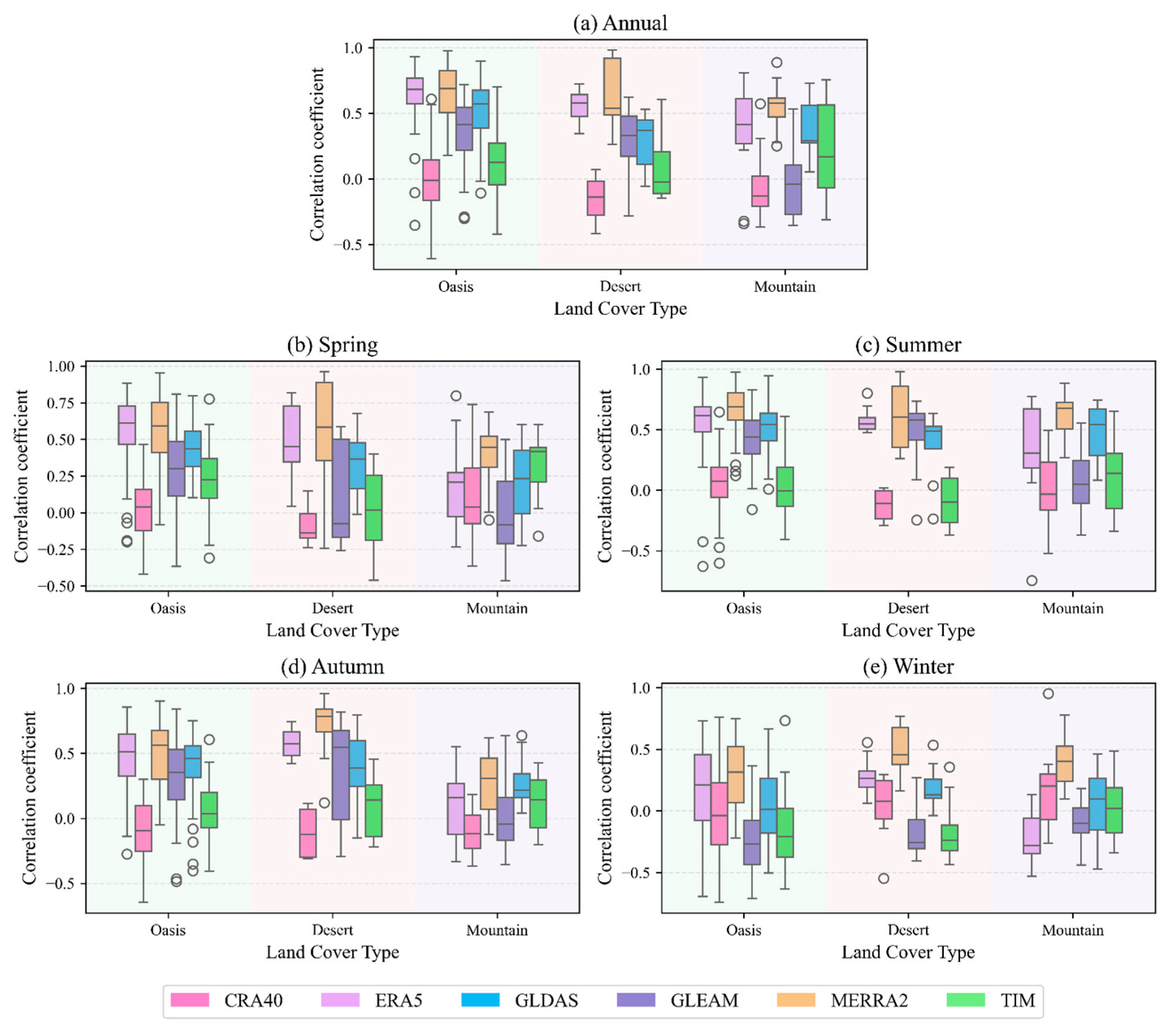
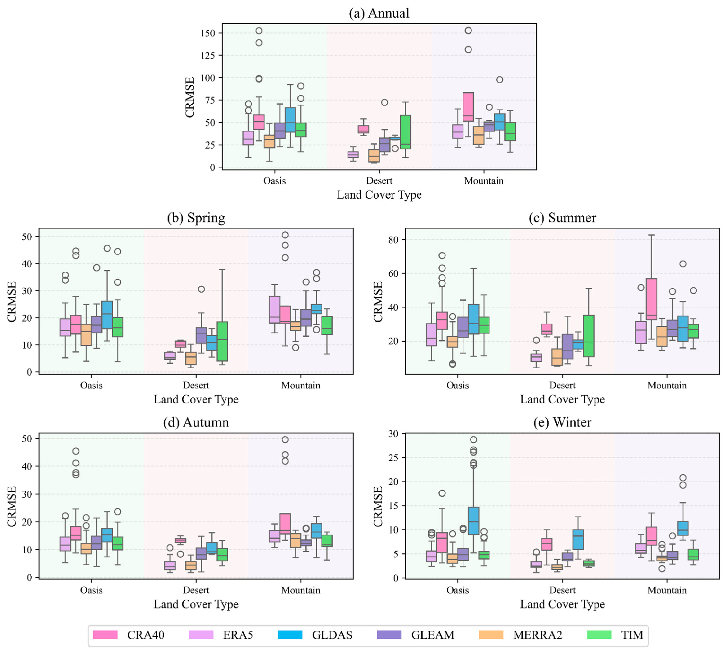
3.5. Performance Comparison of ET Products at Different Land Cover Types
3.6. The Spatial Distribution and Trend of ET in Xinjiang by Representative Product
4. Discussion
5. Conclusions
Supplementary Materials
Author Contributions
Funding
Data Availability Statement
Conflicts of Interest
References
- Oki, T.; Kanae, S. Global Hydrological Cycles and World Water Resources. Science 2006, 313, 1068–1072. [Google Scholar] [CrossRef] [PubMed]
- Dickinson, R.E.; Henderson-Sellers, A.; Rosenzweig, C.; Sellers, P.J. Evapotranspiration Models with Canopy Resistance for Use in Climate Models, a Review. Agric. For. Meteorol. 1991, 54, 373–388. [Google Scholar] [CrossRef]
- Fisher, J.B.; Melton, F.; Middleton, E.; Hain, C.; Anderson, M.; Allen, R.; McCabe, M.F.; Hook, S.; Baldocchi, D.; Townsend, P.A.; et al. The Future of Evapotranspiration: Global Requirements for Ecosystem Functioning, Carbon and Climate Feedbacks, Agricultural Management, and Water Resources. Water Resour. Res. 2017, 53, 2618–2626. [Google Scholar] [CrossRef]
- Orth, R.; Destouni, G. Drought Reduces Blue-Water Fluxes More Strongly than Green-Water Fluxes in Europe. Nat. Commun. 2018, 9, 3602. [Google Scholar] [CrossRef]
- Lu, C.; Zhang, Q.; Woolway, R.I.; Ma, L.; Liu, T.; Wang, G.; Sun, D.; Singh, V.P.; Bai, Y.; Sun, B.; et al. Global Warming Will Increase the Risk of Water Shortage in Northwest China. Earth’s Future 2025, 13, e2025EF006199. [Google Scholar] [CrossRef]
- Zheng, C.; Jia, L.; Hu, G. Global Land Surface Evapotranspiration Monitoring by ETMonitor Model Driven by Multi-Source Satellite Earth Observations. J. Hydrol. 2022, 613, 128444. [Google Scholar] [CrossRef]
- Muñoz-Sabater, J.; Dutra, E.; Agustí-Panareda, A.; Albergel, C.; Arduini, G.; Balsamo, G.; Boussetta, S.; Choulga, M.; Harrigan, S.; Hersbach, H.; et al. ERA5-Land: A State-of-the-Art Global Reanalysis Dataset for Land Applications. Earth Syst. Sci. Data 2021, 13, 4349–4383. [Google Scholar] [CrossRef]
- Miralles, D.G.; Holmes, T.R.H.; De Jeu, R.A.M.; Gash, J.H.; Meesters, A.G.C.A.; Dolman, A.J. Global Land-Surface Evaporation Estimated from Satellite-Based Observations. Hydrol. Earth Syst. Sci. 2011, 15, 453–469. [Google Scholar] [CrossRef]
- Yin, L.; Tao, F.; Chen, Y.; Liu, F.; Hu, J. Improving Terrestrial Evapotranspiration Estimation across China during 2000–2018 with Machine Learning Methods. J. Hydrol. 2021, 600, 126538. [Google Scholar] [CrossRef]
- Xu, T.; Guo, Z.; Liu, S.; He, X.; Meng, Y.; Xu, Z.; Xia, Y.; Xiao, J.; Zhang, Y.; Ma, Y.; et al. Evaluating Different Machine Learning Methods for Upscaling Evapotranspiration from Flux Towers to the Regional Scale. J. Geophys. Res. Atmos. 2018, 123, 8674–8690. [Google Scholar] [CrossRef]
- Tran, B.N.; van der Kwast, J.; Seyoum, S.; Uijlenhoet, R.; Jewitt, G.; Mul, M. Uncertainty Assessment of Satellite Remote-Sensing-Based Evapotranspiration Estimates: A Systematic Review of Methods and Gaps. Hydrol. Earth Syst. Sci. 2023, 27, 4505–4528. [Google Scholar] [CrossRef]
- Mueller, B.; Hirschi, M.; Jimenez, C.; Ciais, P.; Dirmeyer, P.A.; Dolman, A.J.; Fisher, J.B.; Jung, M.; Ludwig, F.; Maignan, F.; et al. Benchmark Products for Land Evapotranspiration: LandFlux-EVAL Multi-Data Set Synthesis. Hydrol. Earth Syst. Sci. 2013, 17, 3707–3720. [Google Scholar] [CrossRef]
- Long, D.; Longuevergne, L.; Scanlon, B.R. Uncertainty in Evapotranspiration from Land Surface Modeling, Remote Sensing, and GRACE Satellites. Water Resour. Res. 2014, 50, 1131–1151. [Google Scholar] [CrossRef]
- Fang, B.; Lei, H.; Zhang, Y.; Quan, Q.; Yang, D. Spatio-Temporal Patterns of Evapotranspiration Based on Upscaling Eddy Covariance Measurements in the Dryland of the North China Plain. Agric. For. Meteorol. 2020, 281, 107844. [Google Scholar] [CrossRef]
- Pang, X.; Lei, H.; Cong, Z.; Yang, H.; Duan, L.; Yang, D. Long Term Variation of Evapotranspiration and Water Balance Based on Upscaling Eddy Covariance Observations over the Temperate Semi-Arid Grassland of China. Agric. For. Meteorol. 2021, 308–309, 108566. [Google Scholar] [CrossRef]
- Yin, L.; Wang, X.; Feng, X.; Fu, B.; Chen, Y. A Comparison of SSEBop-Model-Based Evapotranspiration with Eight Evapotranspiration Products in the Yellow River Basin, China. Remote Sens. 2020, 12, 2528. [Google Scholar] [CrossRef]
- Michel, D.; Jiménez, C.; Miralles, D.G.; Jung, M.; Hirschi, M.; Ershadi, A.; Martens, B.; McCabe, M.F.; Fisher, J.B.; Mu, Q.; et al. The WACMOS-ET Project – Part 1: Tower-Scale Evaluation of Four Remote-Sensing-Based Evapotranspiration Algorithms. Hydrol. Earth Syst. Sci. 2016, 20, 803–822. [Google Scholar] [CrossRef]
- Derardja, B.; Khadra, R.; Abdelmoneim, A.A.A.; El-Shirbeny, M.A.; Valsamidis, T.; De Pasquale, V.; Deflorio, A.M.; Volden, E. Advancements in Remote Sensing for Evapotranspiration Estimation: A Comprehensive Review of Temperature-Based Models. Remote Sens. 2024, 16, 1927. [Google Scholar] [CrossRef]
- Wang, D.; Wang, D.; Liu, S.; Huang, Y.; Yang, Q.; Ma, X.; Lin, Z. Comprehensive Evaluation of Nine Evapotranspiration Products from Remote Sensing, Gauge Upscaling and Land Surface Model over China. PLoS ONE 2024, 19, e0313762. [Google Scholar] [CrossRef] [PubMed]
- Wang, D.; Wang, D.; Mei, Y.; Yang, Q.; Ji, M.; Li, Y.; Liu, S.; Li, B.; Huang, Y.; Mo, C. Estimates of the Land Surface Hydrology from the Community Land Model Version 5 (CLM5) with Three Meteorological Forcing Datasets over China. Remote Sens. 2024, 16, 550. [Google Scholar] [CrossRef]
- Guo, L.; Wu, Y.; Zheng, H.; Zhang, B.; Fan, L.; Chi, H.; Yan, B.; Wang, X. Consistency and Uncertainty of Gridded Terrestrial Evapotranspiration Estimations over China. J. Hydrol. 2022, 612, 128245. [Google Scholar] [CrossRef]
- Bai, J.; Wu, G.; Mao, Y. Significant Disparity in Spatiotemporal Changes of Terrestrial Evapotranspiration across Reanalysis Datasets in China from 1982 to 2020. Remote Sens. 2023, 15, 4522. [Google Scholar] [CrossRef]
- Li, C.; Liu, Z.; Yang, W.; Tu, Z.; Han, J.; Li, S.; Yang, H. CAMELE: Collocation-Analyzed Multi-Source Ensembled Land Evapotranspiration Data. Earth Syst. Sci. Data 2024, 16, 1811–1846. [Google Scholar] [CrossRef]
- Ochege, F.U.; Shi, H.; Li, C.; Ma, X.; Igboeli, E.E.; Luo, G. Assessing Satellite, Land Surface Model and Reanalysis Evapotranspiration Products in the Absence of In-Situ in Central Asia. Remote Sens. 2021, 13, 5148. [Google Scholar] [CrossRef]
- Li, S.; Wang, G.; Zhu, C.; Lu, J.; Ullah, W.; Hagan, D.F.T.; Kattel, G.; Peng, J. Attribution of Global Evapotranspiration Trends Based on the Budyko Framework. Hydrol. Earth Syst. Sci. 2022, 26, 3691–3707. [Google Scholar] [CrossRef]
- Bai, P.; Cai, C. Calibrating a Remote Sensing Evapotranspiration Model Using the Budyko Framework. Agric. For. Meteorol. 2023, 342, 109757. [Google Scholar] [CrossRef]
- Zhang, L.; Dawes, W.R.; Walker, G.R. Response of Mean Annual Evapotranspiration to Vegetation Changes at Catchment Scale. Water Resour. Res. 2001, 37, 701–708. [Google Scholar] [CrossRef]
- Zhang, L.; Hickel, K.; Dawes, W.R.; Chiew, F.H.S.; Western, A.W.; Briggs, P.R. A Rational Function Approach for Estimating Mean Annual Evapotranspiration. Water Resour. Res. 2004, 40, 89–97. [Google Scholar] [CrossRef]
- Ning, T.; Zhou, S.; Chang, F.; Shen, H.; Li, Z.; Liu, W. Interaction of Vegetation, Climate and Topography on Evapotranspiration Modelling at Different Time Scales within the Budyko Framework. Agric. For. Meteorol. 2019, 275, 59–68. [Google Scholar] [CrossRef]
- Xu, X.; Li, X.; He, C.; Tia, W.; Tian, J. Development of a Simple Budyko-Based Framework for the Simulation and Attribution of ET Variability in Dry Regions. J. Hydrol. 2022, 610, 127955. [Google Scholar] [CrossRef]
- Song, L.; Ding, Z.; Kustas, W.P.; Xu, Y.; Zhao, G.; Liu, S.; Ma, M.; Xue, K.; Bai, Y.; Xu, Z. Applications of a Thermal-Based Two-Source Energy Balance Model Coupled to Surface Soil Moisture. Remote Sens. Environ. 2022, 271, 112923. [Google Scholar] [CrossRef]
- McMillan, H.K.; Westerberg, I.K.; Krueger, T. Hydrological Data Uncertainty and Its Implications. WIREs Water 2018, 5, e1319. [Google Scholar] [CrossRef]
- Sabziparvar, A.A.; Mousavi, R.; Marofi, S.; Ebrahimipak, N.A.; Heidari, M. An Improved Estimation of the Angstrom–Prescott Radiation Coefficients for the FAO56 Penman–Monteith Evapotranspiration Method. Water Resour. Manag. 2013, 27, 2839–2854. [Google Scholar] [CrossRef]
- Budyko, M.I. Climate and Life; Academic Press: New York, NY, USA, 1974. [Google Scholar]
- Fu, B. On the Calculation of the Evaporation from Land Surface. Sci. Atmos. Sin. 1981, 5, 23–31. [Google Scholar]
- Xu, X.; Liu, W.; Scanlon, B.R.; Zhang, L.; Pan, M. Local and Global Factors Controlling Water—Energy Balances within the Budyko Framework. Geophys. Res. Lett. 2013, 40, 6123–6129. [Google Scholar] [CrossRef]
- Benjamini, Y.; Hochberg, Y. Controlling the False Discovery Rate: A Practical and Powerful Approach to Multiple Testing. J. R. Stat. Soc. Ser. B Methodol. 1995, 57, 289–300. [Google Scholar] [CrossRef]
- Benjamini, Y.; Yekutieli, D. The Control of the False Discovery Rate in Multiple Testing under Dependency. Ann. Stat. 2001, 29, 1165–1188. [Google Scholar] [CrossRef]
- Hu, Z.; Chen, X.; Zhou, Q.; Chen, D.; Li, J. DISO: A Rethink of Taylor Diagram. Int. J. Climatol. 2019, 39, 2825–2832. [Google Scholar] [CrossRef]
- Ochege, F.U.; Yuan, X.; Ezekwe, I.C.; Ling, Q.; Nzabarinda, V.; Kayiranga, A.; Xie, M.; Shi, H.; Luo, G. Reconstructing Monthly 0.25° Terrestrial Evapotranspiration Data in a Remote Arid Region Using Bayesian-Driven Ensemble Learning Method. J. Hydrol. 2024, 634, 131115. [Google Scholar] [CrossRef]
- Zhu, W.; Tian, S.; Wei, J.; Jia, S.; Song, Z. Multi-Scale Evaluation of Global Evapotranspiration Products Derived from Remote Sensing Images: Accuracy and Uncertainty. J. Hydrol. 2022, 611, 127982. [Google Scholar] [CrossRef]
- Yao, T.; Lu, H.; Yu, Q.; Feng, S.; Xue, Y.; Feng, W. Uncertainties of Three High-Resolution Actual Evapotranspiration Products across China: Comparisons and Applications. Atmos. Res. 2023, 286, 106682. [Google Scholar] [CrossRef]
- Han, X.; Chen, Y.; Fang, G.; Li, Z.; Li, Y.; Di, Y. Spatiotemporal Variations and Driving Factors of Water Availability in the Arid and Semiarid Regions of Northern China. Remote Sens. 2024, 16, 4318. [Google Scholar] [CrossRef]
- Li, Z.-L.; Tang, B.-H.; Wu, H.; Ren, H.; Yan, G.; Wan, Z.; Trigo, I.F.; Sobrino, J.A. Satellite-Derived Land Surface Temperature: Current Status and Perspectives. Remote Sens. Environ. 2013, 131, 14–37. [Google Scholar] [CrossRef]
- Smith, W.K.; Geller, G.N. Plant Transpiration at High Elevations: Theory, Field Measurements, and Comparisons with Desert Plants. Oecologia 1979, 41, 109–122. [Google Scholar] [CrossRef]
- Niu, Z.; He, H.; Zhu, G.; Ren, X.; Zhang, L.; Zhang, K.; Yu, G.; Ge, R.; Li, P.; Zeng, N.; et al. An Increasing Trend in the Ratio of Transpiration to Total Terrestrial Evapotranspiration in China from 1982 to 2015 Caused by Greening and Warming. Agric. For. Meteorol. 2019, 279, 107701. [Google Scholar] [CrossRef]
- Li, H.; Mamtimin, A.; Ju, C. Simulation and Analysis of Land-Surface Processes in the Taklimakan Desert Based on Noah LSM. Adv. Meteorol. 2019, 2019, 1750102. [Google Scholar] [CrossRef]
- Etchanchu, J.; Demarty, J.; Dezetter, A.; Farhani, N.; Thiam, P.B.; Allies, A.; Bodian, A.; Boulet, G.; Chahinian, N.; Diop, L.; et al. Multiscale Analysis of Existing Actual Evapotranspiration Products over Agropastoral Sahel. J. Hydrol. 2025, 651, 132585. [Google Scholar] [CrossRef]
- Xing, W.; Wang, W.; Shao, Q.; Yong, B.; Liu, C.; Feng, X.; Dong, Q. Estimating Monthly Evapotranspiration by Assimilating Remotely Sensed Water Storage Data into the Extended Budyko Framework across Different Climatic Regions. J. Hydrol. 2018, 567, 684–695. [Google Scholar] [CrossRef]
- Jaafar, H.H.; Sujud, L.H. High-Resolution Satellite Imagery Reveals a Recent Accelerating Rate of Increase in Land Evapotranspiration. Remote Sens. Environ. 2024, 315, 114489. [Google Scholar] [CrossRef]
- Hu, Z.; Hu, Q.; Zhang, C.; Chen, X.; Li, Q. Evaluation of Reanalysis, Spatially Interpolated and Satellite Remotely Sensed Precipitation Data Sets in Central Asia. J. Geophys. Res. Atmos. 2016, 121, 5648–5663. [Google Scholar] [CrossRef]
- Jiang, J.; Zhou, T.; Zhang, W. Evaluation of Satellite and Reanalysis Precipitable Water Vapor Data Sets Against Radiosonde Observations in Central Asia. Earth Space Sci. 2019, 6, 1129–1148. [Google Scholar] [CrossRef]
- Sun, Q.; Miao, C.; Duan, Q.; Ashouri, H.; Sorooshian, S.; Hsu, K.L. A Review of Global Precipitation Data Sets: Data Sources, Estimation, and Intercomparisons. Rev. Geophys. 2018, 56, 79–107. [Google Scholar] [CrossRef]
- Zhou, Z.; Chen, S.; Li, Z.; Luo, Y. An Evaluation of CRA40 and ERA5 Precipitation Products over China. Remote Sens. 2023, 15, 5300. [Google Scholar] [CrossRef]
- Lu, J.; Wang, G.; Li, S.; Feng, A.; Zhan, M.; Jiang, T.; Su, B.; Wang, Y. Projected Land Evaporation and Its Response to Vegetation Greening Over China Under Multiple Scenarios in the CMIP6 Models. J. Geophys. Res. Biogeosci. 2021, 126, e2021JG006327. [Google Scholar] [CrossRef]
- Chen, H.; Zhu, G.; Zhang, K.; Bi, J.; Jia, X.; Ding, B.; Zhang, Y.; Shang, S.; Zhao, N.; Qin, W. Evaluation of Evapotranspiration Models Using Different LAI and Meteorological Forcing Data from 1982 to 2017. Remote Sens. 2020, 12, 2473. [Google Scholar] [CrossRef]
- Pimentel, R.; Arheimer, B.; Crochemore, L.; Andersson, J.C.M.; Pechlivanidis, I.G.; Gustafsson, D. Which Potential Evapotranspiration Formula to Use in Hydrological Modeling World-Wide? Water Resour. Res. 2023, 59, e2022WR033447. [Google Scholar] [CrossRef]
- Zhou, J.; Wang, Y.; Su, B.; Wang, A.; Tao, H.; Zhai, J.; Kundzewicz, Z.W.; Jiang, T. Choice of Potential Evapotranspiration Formulas Influences Drought Assessment: A Case Study in China. Atmos. Res. 2020, 242, 104979. [Google Scholar] [CrossRef]
- Shirmohammadi-Aliakbarkhani, Z.; Saberali, S.F. Evaluating of Eight Evapotranspiration Estimation Methods in Arid Regions of Iran. Agric. Water Manag. 2020, 239, 106243. [Google Scholar] [CrossRef]
- Hao, X.; Fan, X.; Zhao, Z.; Zhang, J. Spatiotemporal Patterns of Evapotranspiration in Central Asia from 2000 to 2020. Remote Sens. 2023, 15, 1150. [Google Scholar] [CrossRef]















| Number | Name | General Categories | Input Variables | Spatial Resolution | Selected Period |
|---|---|---|---|---|---|
| 1 | GLEAM | Remote sensing-based | satellite and reanalysis | 0.1° | 1990–2020 |
| 2 | GLDAS | Land surface model-based | satellite and ground observations | 0.25° | 2000–2020 |
| 3 | TIM | Land surface model-based | satellite | 0.01° | 2001–2020 |
| 4 | ERA5 | Reanalysis-based | reanalysis | 0.1° | 1990–2020 |
| 5 | MERRA2 | Reanalysis-based | satellite, ground, and aircraft observations | 0.5° (lat) × 0.625° (lon) | 1990–2020 |
| 6 | CRA40 | Reanalysis-based | ground observations and satellite | 0.28° | 1990–2020 |
| Metrics | ERA5 | CRA40 | MERRA2 | GLEAM | GLDAS | TIM |
|---|---|---|---|---|---|---|
| R2 | 0.810 | 0.465 | 0.812 | 0.734 | 0.815 | 0.734 |
| RMSE (mm) | 10.79 | 20.61 | 4.80 | 13.44 | 22.81 | 4.53 |
| Correction | 0.90 | 0.68 | 0.90 | 0.86 | 0.90 | 0.86 |
Disclaimer/Publisher’s Note: The statements, opinions and data contained in all publications are solely those of the individual author(s) and contributor(s) and not of MDPI and/or the editor(s). MDPI and/or the editor(s) disclaim responsibility for any injury to people or property resulting from any ideas, methods, instructions or products referred to in the content. |
© 2025 by the authors. Licensee MDPI, Basel, Switzerland. This article is an open access article distributed under the terms and conditions of the Creative Commons Attribution (CC BY) license (https://creativecommons.org/licenses/by/4.0/).
Share and Cite
Chen, J.; Ma, C.; Yao, J.; Mao, W.; Li, G.; Peng, J. Comparative Analysis of Multi-Source Evapotranspiration Products in Xinjiang, China. Remote Sens. 2025, 17, 3297. https://doi.org/10.3390/rs17193297
Chen J, Ma C, Yao J, Mao W, Li G, Peng J. Comparative Analysis of Multi-Source Evapotranspiration Products in Xinjiang, China. Remote Sensing. 2025; 17(19):3297. https://doi.org/10.3390/rs17193297
Chicago/Turabian StyleChen, Jing, Chenzhi Ma, Junqiang Yao, Weiyi Mao, Gangyong Li, and Jian Peng. 2025. "Comparative Analysis of Multi-Source Evapotranspiration Products in Xinjiang, China" Remote Sensing 17, no. 19: 3297. https://doi.org/10.3390/rs17193297
APA StyleChen, J., Ma, C., Yao, J., Mao, W., Li, G., & Peng, J. (2025). Comparative Analysis of Multi-Source Evapotranspiration Products in Xinjiang, China. Remote Sensing, 17(19), 3297. https://doi.org/10.3390/rs17193297

