Stacking-Based Solar-Induced Chlorophyll Fluorescence Downscaling for Soil EC Estimation
Abstract
Highlights
- A Stacking model effectively downscales Solar-Induced Chlorophyll Fluorescence (SIF) from 0.05° to 30 m resolution with high accuracy.
- Fusing the downscaled SIF with environmental covariates significantly improves soil electrical conductivity (EC) estimation.
- High-resolution SIF acts as a sensitive proxy for soil salinity by capturing fine-scale vegetation stress missed by coarser data.
- This study pioneers the novel use of SIF for soil EC estimation, demonstrating a previously underexplored remote sensing application for soil health monitoring.
Abstract
1. Introduction
2. Materials and Methods
2.1. Study Area
2.2. Dataset
2.2.1. Global OCO-2 SIF (GOSIF)
2.2.2. Soil Electrical Conductivity
2.2.3. Environmental Covariates
2.2.4. MOD17A2 GPP
2.2.5. Land Use Data
2.3. Methods
2.3.1. Stacking-Based Downscaling Strategy
2.3.2. SIF-Driven Soil EC Estimation
2.3.3. Overall Process
3. Results
3.1. Generation and Evaluation of Downscaled SIF
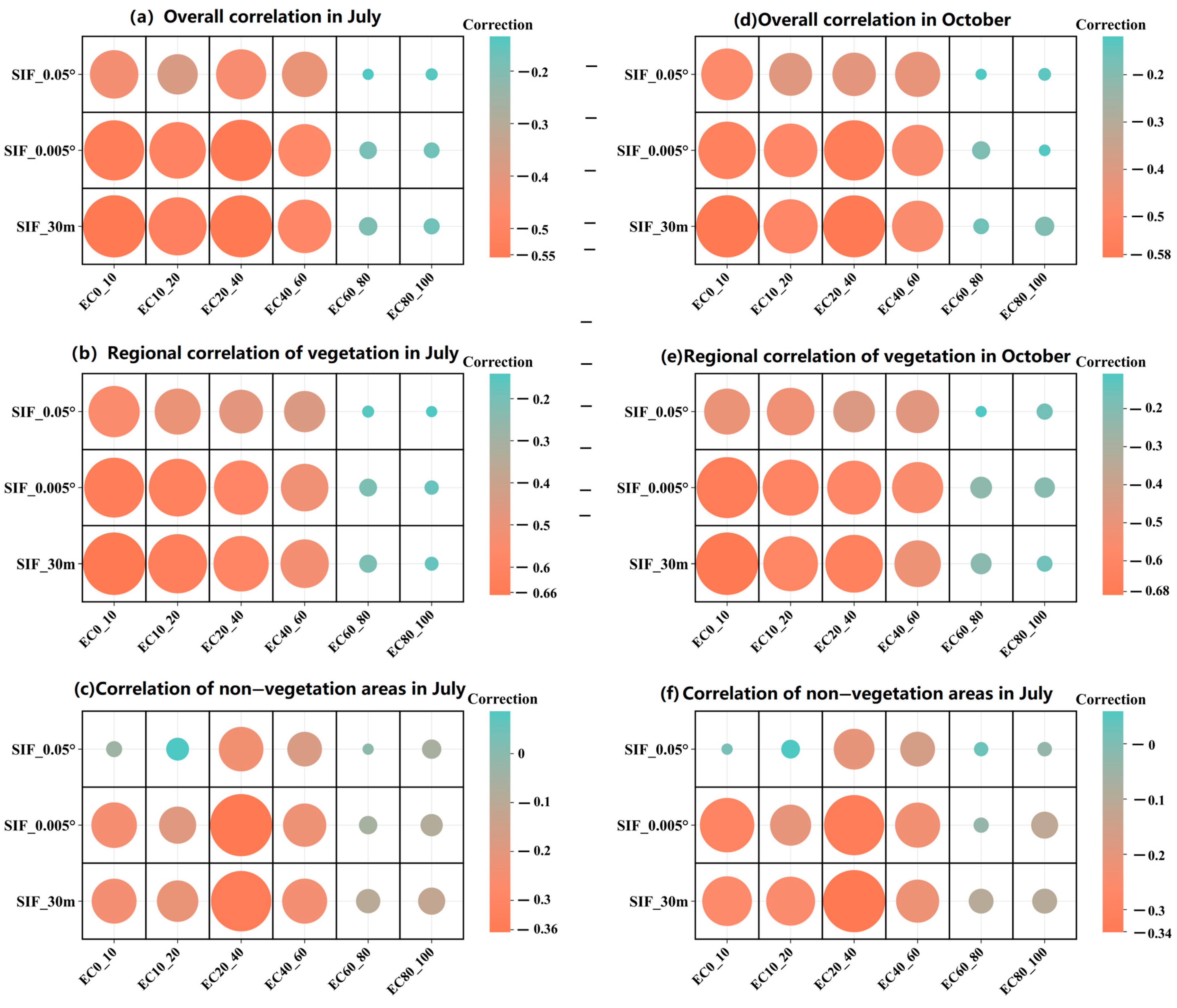
3.2. Correlation Analysis Between SIF and Soil Salinity
3.3. SIF-Based Soil EC Estimation
3.4. Soil EC Distribution
4. Discussion
4.1. Validation of Downscaled SIF Results
4.2. Spatial Distribution of Soil EC
4.3. Limitations and Future Work
5. Conclusions
Author Contributions
Funding
Data Availability Statement
Conflicts of Interest
References
- Yu, R. Forest Development Along the Former River Aqikesu in the Aibi Hu National Nature Reserve in PR China. Ph.D. Thesis, Technische Universität Berlin, Berlin, Germany, 2008. [Google Scholar]
- Li, S.; Nurmemet, I.; Seydehmet, J.; Lv, X.; Aili, Y.; Yu, X. Spatiotemporal Dynamics and Driving Factors of Soil Salinization: A Case Study of the Yutian Oasis, Xinjiang, China. Land 2024, 13, 1941. [Google Scholar] [CrossRef]
- Zhang, P.; Deng, X.; Long, A.; Xu, H.; Ye, M.; Li, J. Change in spatial distribution patterns and regeneration of Populus euphratica under different surface soil salinity conditions. Sci. Rep. 2019, 9, 9123. [Google Scholar] [CrossRef]
- Rumbaur, C.; Thevs, N.; Disse, M.; Ahlheim, M.; Brieden, A.; Cyffka, B.; Duethmann, D.; Feike, T.; Frör, O.; Gärtner, P.; et al. Sustainable management of river oases along the Tarim River (SuMaRiO) in Northwest China under conditions of climate change. Earth Syst. Dyn. 2015, 6, 83–107. [Google Scholar] [CrossRef]
- Laiskhanov, S.; Smanov, Z.; Kaimuldinova, K.; Aliaskarov, D.; Myrzaly, N. Study of the ecological and reclamation condition of abandoned saline lands and their development for sustainable development goals. Sustainability 2023, 15, 14181. [Google Scholar] [CrossRef]
- Guo, M.; Li, J.; Li, J.; Zhong, C.; Zhou, F. Solar-induced chlorophyll fluorescence trends and mechanisms in different ecosystems in northeastern China. Remote. Sens. 2022, 14, 1329. [Google Scholar] [CrossRef]
- Shi, Z.; Wang, N.; Chen, S.; Huang, J.; Taghizadeh, R.; Peng, J.; Wigneron, J.P.; Frappart, F. Soil salinization trend from 2003 to 2022 across the globe response to climate change. Res. Sq. 2024. [Google Scholar] [CrossRef]
- Pierrat, Z.A.; Bortnik, J.; Johnson, B.; Barr, A.G.; Magney, T.S.; Bowling, D.R.; Parazoo, N.C.; Frankenberg, C.; Seibt, U.; Stutz, J. Forests for forests: Combining vegetation indices with solar-induced chlorophyll fluorescence in random forest models improves gross primary productivity prediction in the boreal forest. Environ. Res. Lett. 2022, 17, 125006. [Google Scholar] [CrossRef]
- Cheng, Y.-B.; Middleton, E.M.; Zhang, Q.; Huemmrich, K.F.; Campbell, P.K.E.; Corp, L.A.; Cook, B.D.; Kustas, W.P.; Daughtry, C.S. Integrating solar induced fluorescence and the photochemical reflectance index for estimating gross primary production in a cornfield. Remote. Sens. 2013, 5, 6857–6879. [Google Scholar] [CrossRef]
- Kang, X.; Huang, C.; Zhang, L.; Zhang, Z.; Lv, X. Downscaling solar-induced chlorophyll fluorescence for field-scale cotton yield estimation by a two-step convolutional neural network. Comput. Electron. Agric. 2022, 201, 107260. [Google Scholar] [CrossRef]
- Shekhar, A.; Chen, J.; Bhattacharjee, S.; Buras, A.; Castro, A.O.; Zang, C.S.; Rammig, A. Capturing the Impact of 2018 European Drought and Heat Using OCO-2 Solar-Induced Fluorescence. Remote Sens. 2020, 12, 3249. [Google Scholar] [CrossRef]
- Gensheimer, J.; Turner, A.J.; Köhler, P.; Frankenberg, C.; Chen, J. A convolutional neural network for spatial downscaling of satellite-based solar-induced chlorophyll fluorescence (SIFnet). Biogeosciences 2021, 19, 1777–1793. [Google Scholar] [CrossRef]
- Tao, S.; Chen, J.M.; Zhang, Z.; Zhang, Y.; Ju, W.; Zhu, T.; Wu, L.; Wu, Y.; Kang, X. A high-resolution satellite-based solar-induced chlorophyll fluorescence dataset for China from 2000 to 2022. Sci. Data 2024, 11, 1286. [Google Scholar] [CrossRef]
- Pavlyshenko, B. Using stacking approaches for machine learning models. In Proceedings of the 2018 IEEE second international conference on data stream mining & processing (DSMP), Lviv, Ukraine, 21–25 August 2018. [Google Scholar]
- Sill, J.; Takacs, G.; Mackey, L.; Lin, D. Feature-weighted linear stacking. arXiv 2009, arXiv:0911.0460. [Google Scholar] [CrossRef]
- Li, X.; Xiao, J.J.R.S. A global, 0.05-degree product of solar-induced chlorophyll fluorescence derived from OCO-2, MODIS, and reanalysis data. Remote. Sens. 2019, 11, 517. [Google Scholar] [CrossRef]
- Zhang, J.; Ding, J.; Wang, J.; Zhang, Z.; Tan, J.; Ge, X. Spatial heterogeneity response of soil salinization inversion cotton field expansion based on deep learning. Front. Plant Sci. 2024, 15, 1437390. [Google Scholar] [CrossRef]
- Wang, L.; Qu, J.J. NMDI: A normalized multi-band drought index for monitoring soil and vegetation moisture with satellite remote sensing. Geophys. Res. Lett. 2007, 34. [Google Scholar] [CrossRef]
- Strong, C.J.; Burnside, N.G.; Llewellyn, D. The potential of small-Unmanned Aircraft Systems for the rapid detection of threatened unimproved grassland communities using an Enhanced Normalized Difference Vegetation Index. PLoS ONE 2017, 12, e0186193. [Google Scholar] [CrossRef]
- Huete, A.; Didan, K.; Miura, T.; Rodriguez, E.P.; Gao, X.; Ferreira, L.G. Overview of the radiometric and biophysical performance of the MODIS vegetation indices. Remote Sens. Environ. 2002, 83, 195–213. [Google Scholar] [CrossRef]
- Tucker, C.J. Red and photographic infrared linear combinations for monitoring vegetation. Remote Sens. Environ. 1979, 8, 127–150. [Google Scholar] [CrossRef]
- Fensholt, R.; Sandholt, I. Derivation of a shortwave infrared water stress index from MODIS near-and shortwave infrared data in a semiarid environment. Remote Sens. Environ. 2003, 87, 111–121. [Google Scholar] [CrossRef]
- Cunha, A.; Alvalá, R.; Nobre, C.; Carvalho, M. Monitoring vegetative drought dynamics in the Brazilian semiarid region. Agric. For. Meteorol. 2015, 214, 494–505. [Google Scholar] [CrossRef]
- Hong, Z.; Zhang, W.; Yu, C.; Zhang, D.; Li, L.; Meng, L. SWCTI: Surface water content temperature index for assessment of surface soil moisture status. Sensors 2018, 18, 2875. [Google Scholar] [CrossRef]
- Bousbih, S.; Zribi, M.; Lili-Chabaane, Z.; Baghdadi, N.; El Hajj, M.; Gao, Q.; Mougenot, B. Potential of Sentinel-1 radar data for the assessment of soil and cereal cover parameters. Sensors 2017, 17, 2617. [Google Scholar] [CrossRef]
- Jackson, R.D.; Kustas, W.P.; Choudhury, B.J. A reexamination of the crop water stress index. Irrig. Sci. 1988, 9, 309–317. [Google Scholar] [CrossRef]
- Ahmad, U.; Alvino, A.; Marino, S.A. review of crop water stress assessment using remote sensing. Remote Sens. 2021, 13, 4155. [Google Scholar] [CrossRef]
- Ma, H.; Cui, T.; Cao, L.J.R.S. Monitoring of drought stress in Chinese forests based on satellite solar-induced chlorophyll fluorescence and multi-source remote sensing indices. Remote. Sens. 2023, 15, 879. [Google Scholar] [CrossRef]
- Drolet, G.; Middleton, E.M.; Huemmrich, K.F.; Hall, F.G.; Amiro, B.D.; Barr, A.G.; Black, T.A.; McCaughey, J.H.; Margolis, H.A. Regional mapping of gross light-use efficiency using MODIS spectral indices. Remote Sens. Environ. 2008, 112, 3064–3078. [Google Scholar] [CrossRef]
- Mo, Y.; Xu, Y.; Chen, H.; Zhu, S. A review of reconstructing remotely sensed land surface temperature under cloudy conditions. Remote. Sens. 2021, 13, 2838. [Google Scholar] [CrossRef]
- Li, Z.-L.; Tang, R.; Wan, Z.; Bi, Y.; Zhou, C.; Tang, B.; Yan, G.; Zhang, X. A review of current methodologies for regional evapotranspiration estimation from remotely sensed data. Sensors 2009, 9, 3801–3853. [Google Scholar] [CrossRef] [PubMed]
- El-Shirbeny, M.A.; Saleh, S.M. Actual evapotranspiration evaluation based on multi-sensed data. J. Arid. Agric. 2021, 7, 95–102. [Google Scholar] [CrossRef]
- Zhou, S.; Yu, B. Physical basis of the potential evapotranspiration and its estimation over land. J. Hydrol. 2024, 641, 131825. [Google Scholar] [CrossRef]
- Arets, E.; Kruijt, B.; Tjon, K.; Atmopawiro, V.P.; van Kanten, R.F.; Crabbe, S. Towards a Carbon Balance for Forests in Suriname; Alterra: Wageningen, The Netherlands, 2011. [Google Scholar]
- Gulácsi, A.; Kovács, F. Drought monitoring with spectral indices calculated from MODIS satellite images in Hungary. J. Environ. Geogr. 2015, 8, 11–20. [Google Scholar] [CrossRef]
- Pashiardis, S.; Michaelides, S. Implementation of the standardized precipitation index (SPI) and the reconnaissance drought index (RDI) for regional drought assessment: A case study for Cyprus. Eur. Water 2008, 23, 57–65. [Google Scholar]
- Zargar, A.; Sadiq, R.; Naser, B.; Khan, F.I. A review of drought indices. Environ. Rev. 2011, 19, 333–349. [Google Scholar] [CrossRef]
- Saleem, F.; Arshad, A.; Mirchi, A.; Khaliq, T.; Zeng, X.; Rahman, M.; Dilawar, A.; Pham, Q.B.; Mahmood, K. Observed changes in crop yield associated with droughts propagation via natural and human-disturbed agro-ecological zones of Pakistan. Remote. Sens. 2022, 14, 2152. [Google Scholar] [CrossRef]
- Sun, H.; Zhou, B.; Liu, H. Spatial evaluation of soil moisture (SM), land surface temperature (LST), and LST-derived SM indexes dynamics during SMAPVEX12. Sensors 2019, 19, 1247. [Google Scholar] [CrossRef]
- Liu, H.; Jezek, K.C.; Li, B. Development of an Antarctic digital elevation model by integrating cartographic and remotely sensed data: A geographic information system based approach. J. Geophys. Res. 1999, 104, 23199–23213. [Google Scholar] [CrossRef]
- De Reu, J.; Bourgeois, J.; Bats, M.; Zwertvaegher, A.; Gelorini, V.; De Smedt, P.; Chu, W.; Antrop, M.; De Maeyer, P.; Finke, P.; et al. Application of the topographic position index to heterogeneous landscapes. Geomorphology 2013, 186, 39–49. [Google Scholar] [CrossRef]
- Buchanan, B.; Fleming, M.; Schneider, R.L.; Richards, B.K.; Archibald, J.; Qiu, Z.; Walter, M.T. Evaluating topographic wetness indices across central New York agricultural landscapes. Hydrol. Earth Syst. Sci. 2014, 18, 3279–3299. [Google Scholar] [CrossRef]
- Merrick, T.; Bennartz, R.; Jorge, M.L.S.P.; Merrick, C.; Bohlman, S.A.; Silva, C.A.; Pau, S. Comparing phenology of a temperate deciduous forest captured by solar-induced fluorescence and vegetation indices. Remote. Sens. 2023, 15, 5101. [Google Scholar] [CrossRef]
- Yang, J.; Huang, X. 30 m annual land cover and its dynamics in China from 1990 to 2019. Earth Syst. Sci. Data Discuss. 2021, 2021, 1–29. [Google Scholar]
- Wolpert, D.H. Stacked generalization. Neural Netw. 1992, 5, 241–259. [Google Scholar] [CrossRef]
- Naimi, A.I.; Balzer, L.B. Stacked generalization: An introduction to super learning. Eur. J. Epidemiol. 2018, 33, 459–464. [Google Scholar] [CrossRef]
- Ding, Y.; Wang, Y.; Li, Z.; Zhao, L.; Shi, Y.; Xing, X.; Chen, S. Improving Solar Radiation Prediction in China: A Stacking Model Approach with Categorical Boosting Feature Selection. Atmosphere 2024, 15, 1436. [Google Scholar] [CrossRef]
- Wong, P.-Y.; Zeng, Y.-T.; Su, H.-J.; Lung, S.-C.C.; Chen, Y.-C.; Chen, P.-C.; Hsiao, T.-C.; Adamkiewicz, G.; Wu, C.-D. Effects of feature selection methods in estimating SO2 concentration variations using machine learning and stacking ensemble approach. Environ. Technol. Innov. 2025, 37, 103996. [Google Scholar] [CrossRef]
- Lotfy, A.A.; Abuarab, M.E.; Farag, E.; Derardja, B.; Khadra, R.; Abdelmoneim, A.A.; Mokhtar, A. Forecasting Blue and Green Water Footprint of Wheat Based on Single, Hybrid, and Stacking Ensemble Machine Learning Algorithms Under Diverse Agro-Climatic Conditions in Nile Delta, Egypt. Remote. Sens. 2024, 16, 4224. [Google Scholar] [CrossRef]
- Ting, K.M.; Witten, I.H. Stacking Bagged and Dagged Models; University of Waikato: Hamilton, New Zealand, 1997. [Google Scholar]
- Fan, J.; Lu, X.; Cai, G.; Lou, Z.; Wen, J. Multi-Feature Driver Variable Fusion Downscaling TROPOMI Solar-Induced Chlorophyll Fluorescence Approach. Agronomy 2025, 15, 133. [Google Scholar] [CrossRef]
- Guan, K.; Berry, J.A.; Zhang, Y.; Joiner, J.; Guanter, L.; Badgley, G.; Lobell, D.B. Improving the monitoring of crop productivity using spaceborne solar-induced fluorescence. Glob. Chang. Biol. 2016, 22, 716–726. [Google Scholar] [CrossRef]
- Castro, A.O.; Chen, J.; Zang, C.S.; Shekhar, A.; Jimenez, J.C.; Bhattacharjee, S.; Kindu, M.; Morales, V.H.; Rammig, A. OCO-2 solar-induced chlorophyll fluorescence variability across ecoregions of the Amazon basin and the extreme drought effects of El Niño (2015–2016). Remote. Sens. 2020, 12, 1202. [Google Scholar] [CrossRef]
- Liu, Z.; Zhao, F.; Liu, X.; Yu, Q.; Wang, Y.; Peng, X.; Cai, H.; Lu, X. Direct estimation of photosynthetic CO2 assimilation from solar-induced chlorophyll fluorescence (SIF). Remote. Sens. Environ. 2022, 271, 112893. [Google Scholar] [CrossRef]
- Ren, D.; Wei, B.; Xu, X.; Engel, B.; Li, G.; Huang, Q.; Xiong, Y.; Huang, G. Analyzing spatiotemporal characteristics of soil salinity in arid irrigated agro-ecosystems using integrated approaches. Geoderma 2019, 356, 113935. [Google Scholar] [CrossRef]
- Crescimanno, G.; Marcum, K.B. Developments in Soil Salinity Assessment and Reclamation: Innovative Thinking and Use of Marginal Soil and Water Resources in Irrigated Agriculture; Shahid, S.A., Abdelfattah, M.A., Taha, F.K., Eds.; Springer: Berlin/Heidelberg, Germany, 2013; p. 419. [Google Scholar]
- Guan, Z.; Jia, Z.; Zhao, Z.; You, Q. Dynamics and distribution of soil salinity under long-term mulched drip irrigation in an arid area of northwestern China. Water 2019, 11, 1225. [Google Scholar] [CrossRef]
- Zhou, H.; Wu, D.; Lin, Y. The relationship between solar-induced fluorescence and gross primary productivity under different growth conditions: Global analysis using satellite and biogeochemical model data. Int. J. Remote. Sens. 2020, 41, 7660–7679. [Google Scholar] [CrossRef]
- Beauclaire, Q.; De Cannière, S.; Jonard, F.; Pezzetti, N.; Delhez, L.; Longdoz, B. Modeling gross primary production and transpiration from sun-induced chlorophyll fluorescence using a mechanistic light-response approach. Remote. Sens. Environ. 2024, 307, 114150. [Google Scholar] [CrossRef]
- Frankenberg, C.; Fisher, J.B.; Worden, J.; Badgley, G.; Saatchi, S.S.; Lee, J.-E.; Toon, G.C.; Butz, A.; Jung, M.; Kuze, A.; et al. New global observations of the terrestrial carbon cycle from GOSAT: Patterns of vegetation fluorescence with gross primary productivity. In AGU Fall Meeting Abstracts; American Geophysical Union (AGU): Washington, DC, USA, 2011. [Google Scholar]
- Yang, H.; Yang, X.; Zhang, Y.; Heskel, M.A.; Lu, X.; Munger, J.W.; Sun, S.; Tang, J. Chlorophyll fluorescence tracks seasonal variations of photosynthesis from leaf to canopy in a temperate forest. Glob. Chang. Biol. 2017, 23, 2874–2886. [Google Scholar] [CrossRef] [PubMed]
- Liu, H.; Li, M.; Zheng, X.; Wang, Y.; Anwar, S. Surface salinization of soil under mulched drip irrigation. Water 2020, 12, 3031. [Google Scholar] [CrossRef]
- Rossel, R.V.; Behrens, T.; Ben-Dor, E.; Brown, D.J.; Demattê, J.A.M.; Shepherd, K.D.; Shi, Z.; Stenberg, B.; Stevens, A.; Adamchuk, V.; et al. A global spectral library to characterize the world’s soil. Earth Sci. Rev. 2016, 155, 198–230. [Google Scholar] [CrossRef]
- Houborg, R.; McCabe, M.F. High-Resolution NDVI from planet’s constellation of earth observing nano-satellites: A new data source for precision agriculture. Remote. Sens. 2016, 8, 768. [Google Scholar] [CrossRef]
- Moreno, J.F.; Goulas, Y.; Huth, A.; Middleton, E.; Miglietta, F.; Mohammed, G.; Nedbal, L.; Rascher, U.; Verhoef, W.; Drusch, M. Very high spectral resolution imaging spectroscopy: The Fluorescence Explorer (FLEX) mission. In Proceedings of the 2016 IEEE International Geoscience and Remote Sensing Symposium (IGARSS), Beijing, China, 10–15 July 2016. [Google Scholar]















| Dataset | Features | Formulation/Simple Description | Reference |
|---|---|---|---|
| MODIS | NDMI | [18] | |
| ENDVI | [19] | ||
| EVI | [20] | ||
| NDVI | [21] | ||
| SIWSI | [22] | ||
| VSW1 | [23] | ||
| VSW2 | [24] | ||
| S1 | [25] | ||
| SI | [26] | ||
| SI1 | [27] | ||
| SI2 | [27] | ||
| SI3 | [28] | ||
| PLE | Potential Evapotranspiration | [29] | |
| LST | Land Surface Temperature | [30] | |
| ET | Evapotranspiration | [31] | |
| ETA | Actual Evapotranspiration | [32] | |
| LPET | Potential Evapotranspiration | [33] | |
| CBN | Carbon Balance Index | [34] | |
| DDI | Drought Detection Index | [35] | |
| TerraClimate | PR | Precipitation | [36] |
| PET | Potential Evapotranspiration | [33] | |
| DEF | Climatic Water Deficit | [37] | |
| SoilGrids | DTB | Depth to Bedrock | [38] |
| DTB | ST1 | Soil temperature level 1 | [39] |
| ST2 | Soil temperature level 2 | [39] | |
| ST3 | Soil temperature level 3 | [39] | |
| ASTER GDEM | DEM | Digital Elevation Model | [40] |
| TPI | Topographic Position Index | [41] | |
| TWI | Topographic Wetness Index | [42] |
| Depth | 2023, 7 | 2023, 10 | ||
|---|---|---|---|---|
| Variable 1 | Variable 2 | Variable 1 | Variable 2 | |
| 0–10 cm | NDMI | ST1 | EVI | VSW1 |
| 10–20 cm | SI3 | DEM | NDVI | CBN |
| 20–40 cm | SI3 | PRET | EVI | SI |
| 40–60 cm | ST1 | DEM | EVI | S1 |
| 60–80 cm | NDMI | VSW1 | EVI | S1 |
| 80–100 cm | NDMI | ST1 | AET | NDVI |
| Degree of Salinity | EC (dSm−1) |
|---|---|
| Non-salinized | <2 |
| Slightly salinized | 2~4 |
| Moderately salinized | 4~8 |
| Severely salinized | 8~16 |
| Extremely severely salinized | >16 |
Disclaimer/Publisher’s Note: The statements, opinions and data contained in all publications are solely those of the individual author(s) and contributor(s) and not of MDPI and/or the editor(s). MDPI and/or the editor(s) disclaim responsibility for any injury to people or property resulting from any ideas, methods, instructions or products referred to in the content. |
© 2025 by the authors. Licensee MDPI, Basel, Switzerland. This article is an open access article distributed under the terms and conditions of the Creative Commons Attribution (CC BY) license (https://creativecommons.org/licenses/by/4.0/).
Share and Cite
Cui, K.; Ding, J.; Wang, J.; Tan, J.; Li, J. Stacking-Based Solar-Induced Chlorophyll Fluorescence Downscaling for Soil EC Estimation. Remote Sens. 2025, 17, 3222. https://doi.org/10.3390/rs17183222
Cui K, Ding J, Wang J, Tan J, Li J. Stacking-Based Solar-Induced Chlorophyll Fluorescence Downscaling for Soil EC Estimation. Remote Sensing. 2025; 17(18):3222. https://doi.org/10.3390/rs17183222
Chicago/Turabian StyleCui, Kuangda, Jianli Ding, Jinjie Wang, Jiao Tan, and Jiangtao Li. 2025. "Stacking-Based Solar-Induced Chlorophyll Fluorescence Downscaling for Soil EC Estimation" Remote Sensing 17, no. 18: 3222. https://doi.org/10.3390/rs17183222
APA StyleCui, K., Ding, J., Wang, J., Tan, J., & Li, J. (2025). Stacking-Based Solar-Induced Chlorophyll Fluorescence Downscaling for Soil EC Estimation. Remote Sensing, 17(18), 3222. https://doi.org/10.3390/rs17183222
