Magnetopause Boundary Detection Based on a Deep Image Prior Model Using Simulated Lobster-Eye Soft X-Ray Images
Abstract
1. Introduction
2. Lobster-Eye Imaging
2.1. Principle of Lobster-Eye Imaging
2.2. SXI Image Simulation
3. Methodology
3.1. SXI Image Processing Method
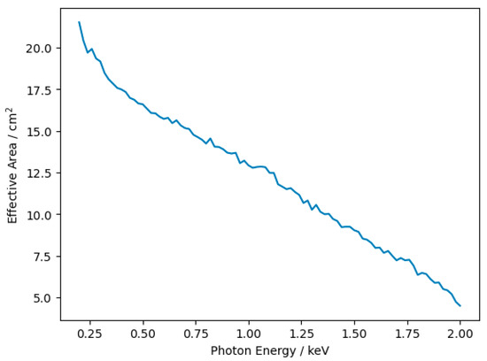
3.2. SXI Image Calibration
3.3. Depth Image Prior (DIP) Processing
3.3.1. DIP Principle Introduction
3.3.2. DIP Algorithm Implementation
4. Results
4.1. Comparison of Magnetopause Boundaries
4.2. Comparison of Image Quality
5. Conclusions
Author Contributions
Funding
Data Availability Statement
Acknowledgments
Conflicts of Interest
Abbreviations
| SMILE | Solar Wind Magnetosphere Ionosphere Link Explorer |
| SXI | Soft X-ray Imager |
| MHD | Magnetohydrodynamic |
| SWCX | Solar Wind Charge Exchange |
| SNR | Signal-to-Noise Ratio |
| DIP | Deep Image Prior |
| CNN | Convolutional Neural Networks |
| MSE | Mean Squared Error |
| NMSE | Normalized Mean Squared Error |
| PSNR | Peak Signal-to-Noise Ratio |
| SSIM | Structural Similarity |
References
- Credland, J.; Mecke, G.; Ellwood, J. The Cluster mission: ESA’s spacefleet to the magnetosphere. Space Sci. Rev. 1997, 79, 33–64. [Google Scholar]
- Liu, Z.; Escoubet, P.; Cao, J. A Chinese-European multiscale mission: The double star program. In Multiscale Coupling of Sun-Earth Processes; Elsevier: Amsterdam, The Netherlands, 2005; pp. 509–514. [Google Scholar]
- Branduardi-Raymont, G.; Sembay, S.F.; Eastwood, J.P.; Sibeck, D.G.; Abbey, T.A.; Brown, P.; Carter, J.A.; Carr, C.M.; Forsyth, C.; Kataria, D. AXIOM: Advanced X-ray imaging of the magnetosphere. Exp. Astron. 2012, 33, 403–443. [Google Scholar]
- Sibeck, D.G.; Allen, R.; Aryan, H.; Bodewits, D.; Brandt, P.; Branduardi-Raymont, G.; Brown, G.; Carter, J.A.; Collado-Vega, Y.M.; Collier, M.R. Imaging plasma density structures in the soft X-rays generated by solar wind charge exchange with neutrals. Space Sci. Rev. 2018, 214, 79. [Google Scholar]
- Collier, M.R.; Siebeck, D.G.; Cravens, T.E.; Robertson, I.P.; Omidi, N. Astrophysics noise: A space weather signal. Eos. Trans. Am. Geophys. Union 2010, 91, 213–214. [Google Scholar]
- Bhardwaj, A.; Elsner, R.F.; Gladstone, G.R.; Cravens, T.E.; Lisse, C.M.; Dennerl, K.; Branduardi-Raymont, G.; Wargelin, B.J.; Waite, J.H., Jr.; Robertson, I. X-rays from solar system objects. Planet. Space Sci. 2007, 55, 1135–1189. [Google Scholar]
- Sun, T.; Wang, C.; Wei, F.; Sembay, S. X-ray imaging of Kelvin-Helmholtz waves at the magnetopause. J. Geophys. Res. Space Phys. 2015, 120, 266–275. [Google Scholar]
- Schwadron, N.; Cravens, T. Implications of solar wind composition for cometary X-rays. Astrophys. J. 2000, 544.1, 558. [Google Scholar]
- Carter, J.; Sembay, S. Identifying XMM-Newton observations affected by solar wind charge exchange. Part I Astron. Astrophys. 2008, 489, 837–848. [Google Scholar]
- Robertson, I.; Cravens, T.E. X-ray emission from the terrestrial magnetosheath. Geophys. Res. Lett. 2003, 30, 8. [Google Scholar]
- Walsh, B.; Collier, M.; Kuntz, K.; Porter, F.; Sibeck, D.; Snowden, S.; Carter, J.; Collado-Vega, Y.; Connor, H.; Cravens, T. Wide field-of-view soft X-ray imaging for solar wind-magnetosphere interactions. J. Geophys. Res. Space Phys. 2016, 121, 3353–3361. [Google Scholar]
- Fujimoto, R.; Mitsuda, K.; McCammon, D.; Takei, Y.; Bauer, M.; Ishisaki, Y.; Porter, F.S.; Yamaguchi, H.; Hayashida, K.; Yamasaki, N.Y. Evidence for solar-wind charge-exchange X-ray emission from the Earth’s magnetosheath. Publ. Astron. Soc. Jpn. 2007, 59, S133–S140. [Google Scholar]
- Zhang, Y.; Sun, T.; Wang, C.; Ji, L.; Carter, J.A.; Sembay, S.; Koutroumpa, D.; Liu, Y.D.; Liang, G.; Liu, W. Solar wind charge exchange soft x-ray emissions in the magnetosphere during an interplanetary coronal mass ejection compared to its driven sheath. Astrophys. J. Lett. 2022, 932, L1. [Google Scholar]
- Wang, C.; Branduardi-Raymond, G. Progress of solar wind magnetosphere ionosphere link explorer (SMILE) mission. Chin. J. Space Sci. 2018, 38, 657–661. [Google Scholar]
- Raab, W.; Branduardi-Raymont, G.; Wang, C.; Dai, L.; Donovan, E.; Enno, G.; Escoubet, P.; Holland, A.; Jing, L.; Kataria, D. SMILE: A joint ESA/CAS mission to investigate the interaction between the solar wind and Earth’s magnetosphere. In Proceedings of the Space Telescopes and Instrumentation 2016: Ultraviolet to Gamma Ray, Edinburgh, UK, 11 July 2016; p. 990502. [Google Scholar]
- Angel, J. Lobster eyes as X-ray telescopes. In Proceedings of the Space Optics Imaging X-Ray Optics Workshop, Huntsville, AL, USA, 9 August 1979; pp. 84–85. [Google Scholar]
- Brunton, A.; Fraser, G.; Lees, J.; Turcu, I. Metrology and modeling of microchannel plate x-ray optics. Appl. Opt. 1997, 36, 5461–5470. [Google Scholar]
- Sun, T.; Wang, C.; Connor, H.K.; Jorgensen, A.M.; Sembay, S. Deriving the magnetopause position from the soft X-ray image by using the tangent fitting approach. J. Geophys. Res. Space Phys. 2020, 125, e2020JA028169. [Google Scholar]
- Hu, Y.; Guo, X.; Wang, C. On the ionospheric and reconnection potentials of the Earth: Results from global MHD simulations. J. Geophys. Res. Space Phys. 2007, 112, A7. [Google Scholar]
- Romano, P.; Cusumano, G.; Campana, S.; Mangano, V.; Moretti, A.; Abbey, A.; Angelini, L.; Beardmore, A.; Burrows, D.; Capalbi, M. In-flight calibration of the SWIFT XRT effective area. In Proceedings of the UV, X-Ray, and Gamma-Ray Space Instrumentation for Astronomy XIV, San Diego, CA, USA, 18 August 2005; pp. 369–376. [Google Scholar]
- Shin, J.; Sakurai, T. Vignetting effect in the soft X-ray telescope onboard Yohkoh: I. Numerical simulation. Sol. Phys. 2015, 290, 1531–1546. [Google Scholar]
- Cheng, H.; Ling, Z.; Zhang, C.; Sun, X.; Sun, S.; Liu, Y.; Dai, Y.; Jia, Z.; Pan, H.; Wang, W. Ground calibration result of the Lobster Eye Imager for Astronomy. Exp. Astron. 2024, 57.2, 10. [Google Scholar]
- Peng, S. Optical Design Simulation and Imaging Analysis of Wide-Field Soft X-Ray Imager; University of Chinese Academy of Sciences: Beijing, China, 2019. [Google Scholar]
- Wang, R.; Wang, J.; Li, D.; Sun, T.; Peng, X.; Guo, Y. Using restored two-dimensional X-ray images to reconstruct the three-dimensional magnetopause. Earth Planet. Phys. 2023, 8, 133–154. [Google Scholar]
- Bhabatosh, C. Digital Image Processing and Analysis; PHI Learning Pvt. Ltd.: Delhi, India, 2011. [Google Scholar]
- Ulyanov, D.; Vedaldi, A.; Lempitsky, V. Deep image prior. In Proceedings of the IEEE Conference on Computer Vision and Pattern Recognition, Salt Lake City, UT, USA, 18–23 June 2018; pp. 9446–9454. [Google Scholar]
- Goodfellow, I.; Pouget-Abadie, J.; Mirza, M.; Xu, B.; Warde-Farley, D.; Ozair, S.; Courville, A.; Bengio, Y. Generative adversarial nets. In Proceedings of the Advances in Neural Information Processing Systems 27, Montreal, QC, Canada, 8–13 December 2014. [Google Scholar]
- Burger, H.C.; Schuler, C.J.; Harmeling, S. Image denoising: Can plain neural networks compete with BM3D? In Proceedings of the 2012 IEEE Conference on Computer Vision and Pattern Recognition, Washington, DC, USA, 16–21 June 2012; pp. 2392–2399. [Google Scholar]
- Jähne, B. Digital Image Processing; Springer Science & Business Media: Heidelberg, Germany, 2005. [Google Scholar]
- Huang, H.; Lin, L.; Tong, R.; Hu, H.; Zhang, Q.; Iwamoto, Y.; Han, X.; Chen, Y.-W.; Wu, J. Unet 3+: A full-scale connected unet for medical image segmentation. In Proceedings of the ICASSP 2020 IEEE International Conference on Acoustics, Speech and Signal Processing (ICASSP), Barcelona, Spain, 4–8 May 2020; pp. 1055–1059. [Google Scholar]
- Ramachandran, P.; Zoph, B.; Le, Q.V. Searching for activation functions. arXiv 2017, arXiv:1710.05941. [Google Scholar]
- Kingma, D.P. Adam: A method for stochastic optimization. arXiv 2014, arXiv:1412.6980. [Google Scholar]
- Paszke, A.; Gross, S.; Massa, F.; Lerer, A.; Bradbury, J.; Chanan, G.; Killeen, T.; Lin, Z.; Gimelshein, N.; Antiga, L. Pytorch: An imperative style, high-performance deep learning library. In Proceedings of the Advances in Neural Information Processing Systems, Vancouver, BC, Canada, 8–14 December 2019. [Google Scholar]
- Kaur, G.; Garg, M.; Gupta, S.; Gupta, R. Denoising of images using thresholding based on wavelet transform technique. In Proceedings of the IOP Conference Series: Materials Science and Engineering, Osaka, Japan, 23–25 March 2021; p. 012031. [Google Scholar]
- Dabov, K.; Foi, A.; Katkovnik, V.; Egiazarian, K. Image denoising by sparse 3-D transform-domain collaborative filtering. IEEE Trans. Image Process. 2007, 16, 2080–2095. [Google Scholar] [PubMed]
- Hore, A.; Ziou, D. Image quality metrics: PSNR vs. SSIM. In Proceedings of the 2010 20th International Conference on Pattern Recognition, Istanbul, Turkey, 23–26 August 2010; pp. 2366–2369. [Google Scholar]
- Nilsson, J.; Akenine-Möller, T. Understanding ssim. arXiv 2020, arXiv:2006.13846. [Google Scholar]





















| Density (cm−3) | 10 | 15 | 20 |
|---|---|---|---|
| SXI | 2.852 ± 1.378 | 1.941 ± 0.746 | 1.600 ± 0.612 |
| FIL | 0.518 ± 0.210 | 0.470 ± 0.177 | 0.452 ± 0.165 |
| OUT | 0.025 ± 0.008 | 0.023 ± 0.008 | 0.022 ± 0.007 |
| B3D | 0.578 ± 0.225 | 0.476 ± 0.206 | 0.433 ± 0.186 |
| WDD | 0.815 ± 0.253 | 0.736 ± 0.261 | 0.686 ± 0.249 |
| SPL | 0.921 ± 0.272 | 0.892 ± 0.279 | 0.761 ± 0.247 |
Disclaimer/Publisher’s Note: The statements, opinions and data contained in all publications are solely those of the individual author(s) and contributor(s) and not of MDPI and/or the editor(s). MDPI and/or the editor(s) disclaim responsibility for any injury to people or property resulting from any ideas, methods, instructions or products referred to in the content. |
© 2025 by the authors. Licensee MDPI, Basel, Switzerland. This article is an open access article distributed under the terms and conditions of the Creative Commons Attribution (CC BY) license (https://creativecommons.org/licenses/by/4.0/).
Share and Cite
Wei, F.; Lyu, Z.; Peng, S.; Wang, R.; Sun, T. Magnetopause Boundary Detection Based on a Deep Image Prior Model Using Simulated Lobster-Eye Soft X-Ray Images. Remote Sens. 2025, 17, 2348. https://doi.org/10.3390/rs17142348
Wei F, Lyu Z, Peng S, Wang R, Sun T. Magnetopause Boundary Detection Based on a Deep Image Prior Model Using Simulated Lobster-Eye Soft X-Ray Images. Remote Sensing. 2025; 17(14):2348. https://doi.org/10.3390/rs17142348
Chicago/Turabian StyleWei, Fei, Zhihui Lyu, Songwu Peng, Rongcong Wang, and Tianran Sun. 2025. "Magnetopause Boundary Detection Based on a Deep Image Prior Model Using Simulated Lobster-Eye Soft X-Ray Images" Remote Sensing 17, no. 14: 2348. https://doi.org/10.3390/rs17142348
APA StyleWei, F., Lyu, Z., Peng, S., Wang, R., & Sun, T. (2025). Magnetopause Boundary Detection Based on a Deep Image Prior Model Using Simulated Lobster-Eye Soft X-Ray Images. Remote Sensing, 17(14), 2348. https://doi.org/10.3390/rs17142348
