Hybrid Machine Learning Model for Hurricane Power Outage Estimation from Satellite Night Light Data
Abstract
1. Introduction
2. Material and Methods
2.1. Datasets and Processing
2.2. Cloud and Data Availability
2.3. Model Overview
2.4. Model Training, Cross-Validation, and Evaluation
2.5. Model Interpretations
3. Results
3.1. Binary Models
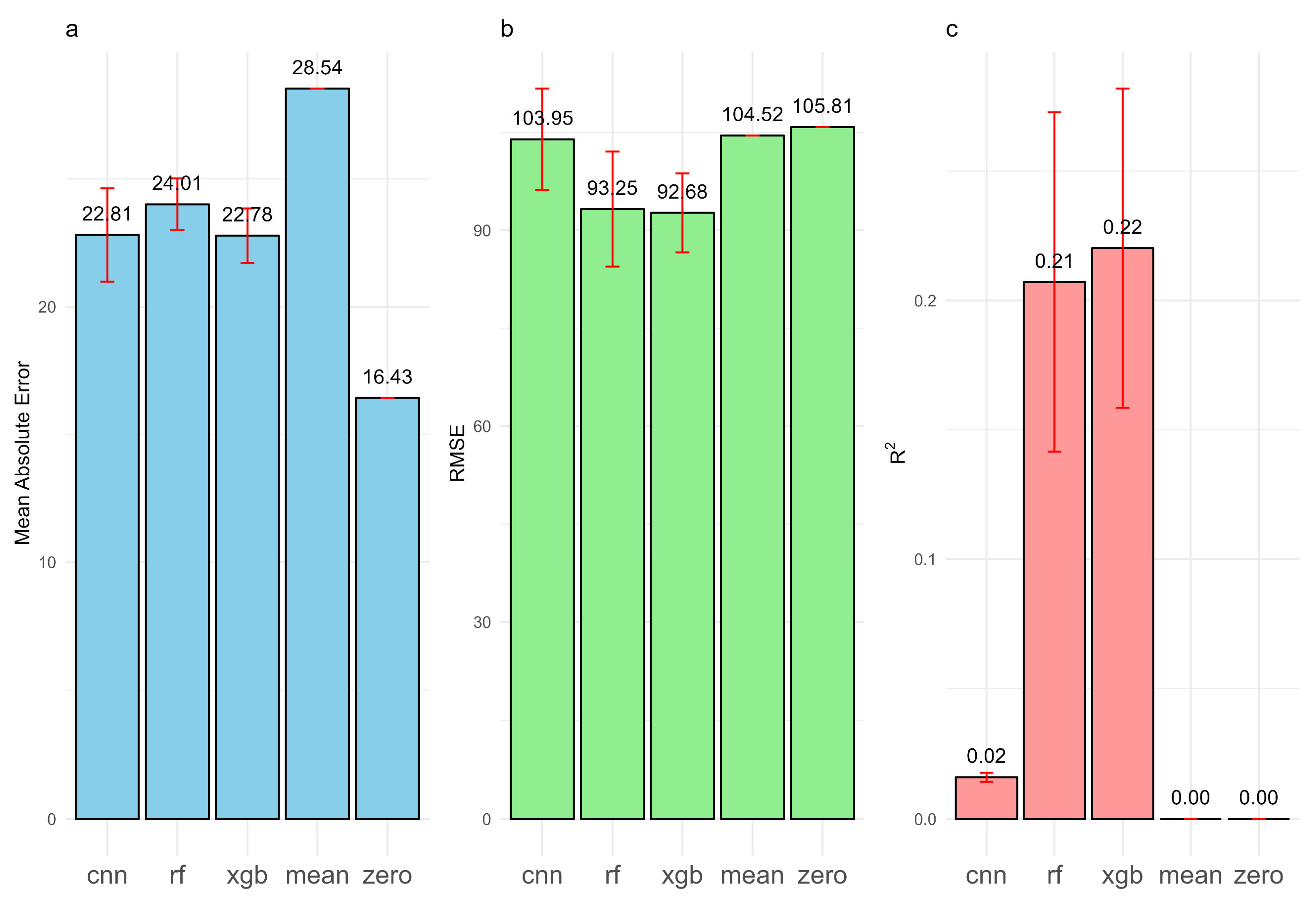
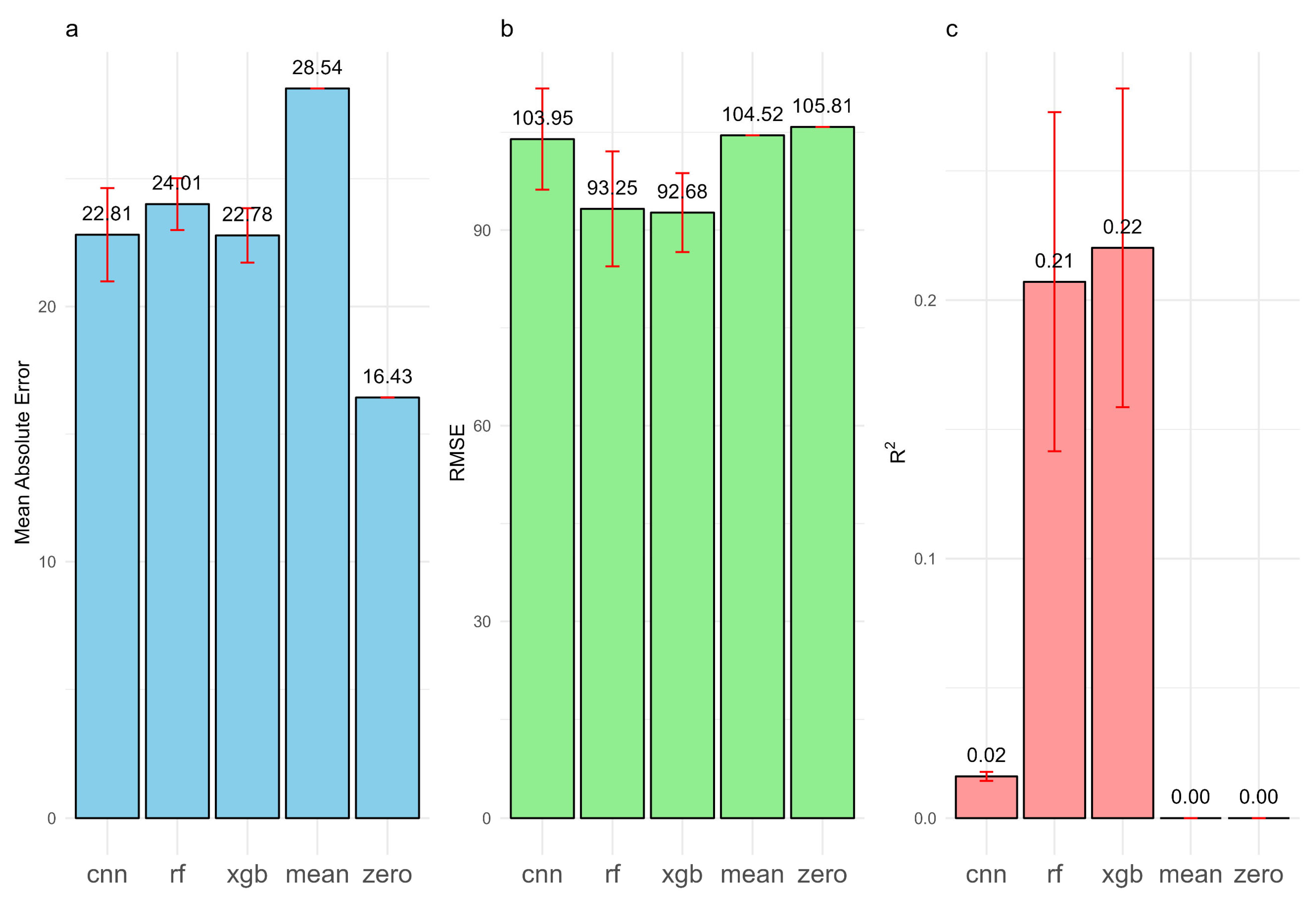
3.2. One-Step Regression Models
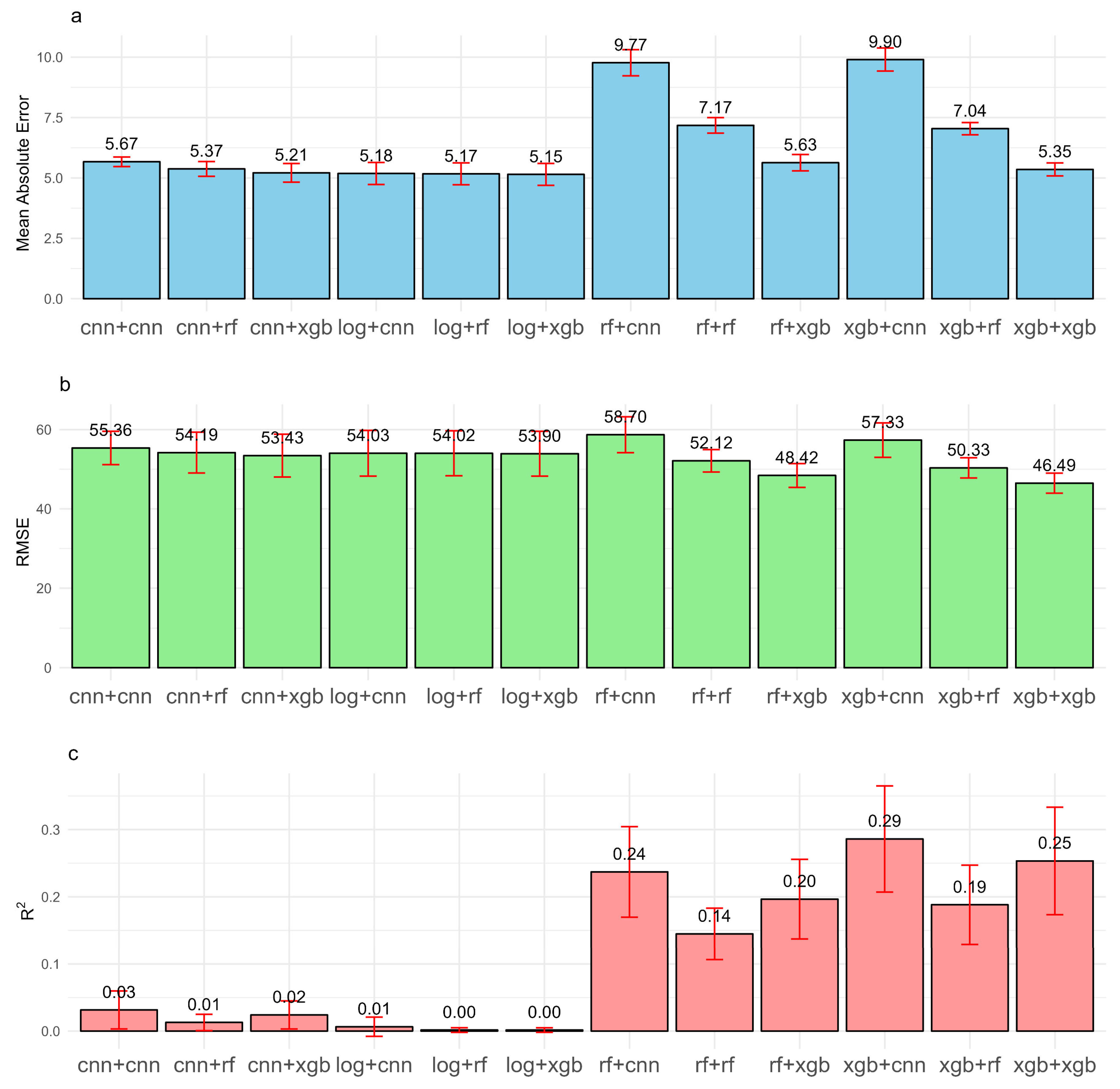
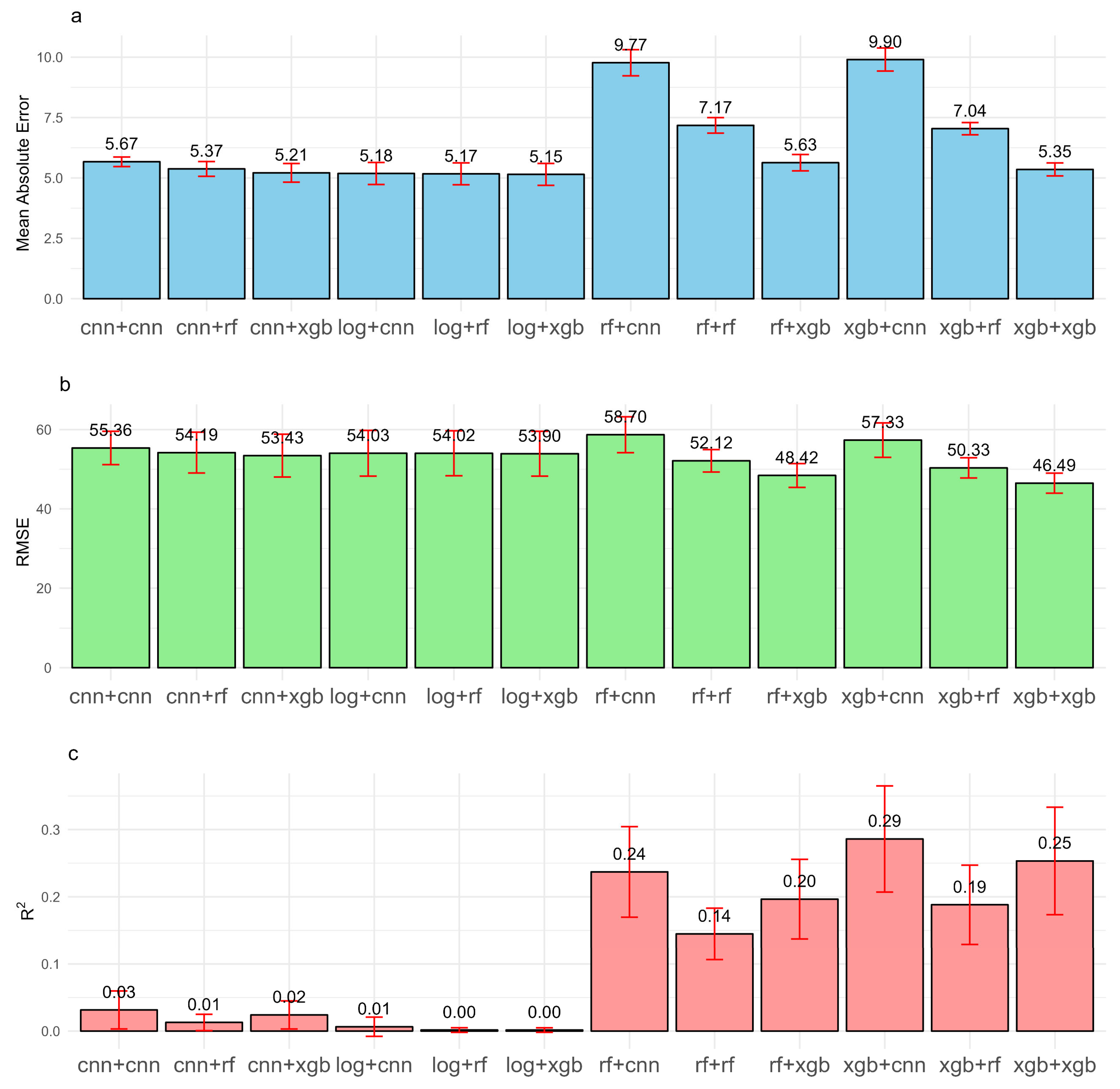
3.3. Two-Step Models
3.4. Model Interpretation
4. Discussion
5. Conclusions
Supplementary Materials
Author Contributions
Funding
Data Availability Statement
Acknowledgments
Conflicts of Interest
References
- Alemazkoor, N.; Rachunok, B.; Chavas, D.R.; Staid, A.; Louhghalam, A.; Nateghi, R.; Tootkaboni, M. Hurricane-induced power outage risk under climate change is primarily driven by the uncertainty in projections of future hurricane frequency. Sci. Rep. 2020, 10, 15270. [Google Scholar] [CrossRef]
- Feng, K.; Lin, N.; Gori, A.; Xi, D.; Ouyang, M.; Oppenheimer, M. Hurricane Ida’s blackout-heatwave compound risk in a changing climate. Nat. Commun. 2025, 16, 4533. [Google Scholar] [CrossRef] [PubMed]
- Rodríguez-Avellaneda, A.H.; Rodriguez, R.; Shafieezadeh, A.; Yilmaz, A. Socioeconomic disparities in hurricane-induced power outages: Insights from multi-hurricane data in Florida using XGBoost. Sustain. Cities Soc. 2025, 126, 106362. [Google Scholar] [CrossRef]
- Emanuel, K. Increasing destructiveness of tropical cyclones over the past 30 years. Nature 2005, 436, 686–688. [Google Scholar] [CrossRef]
- Emanuel, K. Global Warming Effects on U.S. Hurricane Damage. Weather Clim. Soc. 2011, 3, 261–268. [Google Scholar] [CrossRef]
- Emanuel, K. Assessing the present and future probability of Hurricane Harvey’s rainfall. Proc. Natl. Acad. Sci. USA 2017, 114, 12681–12684. [Google Scholar]
- Knutson, T.; Camargo, S.J.; Chan, J.C.L.; Emanuel, K.; Ho, C.-H.; Kossin, J.; Mohapatra, M.; Satoh, M.; Sugi, M.; Walsh, K.; et al. Tropical Cyclones and Climate Change Assessment: Part I: Detection and Attribution. Bull. Am. Meteorol. Soc. 2019, 100, 1987–2007. [Google Scholar] [CrossRef]
- Knutson, T.; Camargo, S.J.; Chan, J.C.L.; Emanuel, K.; Ho, C.-H.; Kossin, J.; Mohapatra, M.; Satoh, M.; Sugi, M.; Walsh, K.; et al. Tropical Cyclones and Climate Change Assessment: Part II: Projected Response to Anthropogenic Warming. Bull. Am. Meteorol. Soc. 2020, 101, E303–E322. [Google Scholar] [CrossRef]
- NOAA. National Centers for Environmental Information (NCEI), U.S. Billion-Dollar Weather and Climate Disasters; NOAA: Silver Spring, MD, USA, 2021.
- Yuan, S.; Quiring, S.M.; Zhu, L.; Huang, Y.; Wang, J. Development of a Typhoon Power Outage Model in Guangdong, China. Int. J. Electr. Power Energy Syst. 2020, 117, 105711. [Google Scholar] [CrossRef]
- Nateghi, R.; Guikema, S.D.; Quiring, S.M. Forecasting hurricane-induced power outage durations. Nat. Hazards 2014, 74, 1795–1811. [Google Scholar] [CrossRef]
- Quiring, S.M.; Zhu, L.; Guikema, S.D. Importance of soil and elevation characteristics for modeling hurricane-induced power outages. Nat. Hazards 2011, 58, 365–390. [Google Scholar] [CrossRef]
- Chen, H.; Yan, H.; Gong, K.; Geng, H.; Yuan, X.-C. Assessing the business interruption costs from power outages in China. Energy Econ. 2022, 105, 105757. [Google Scholar] [CrossRef]
- Cole, T.A.; Wanik, D.W.; Molthan, A.L.; Román, M.O.; Griffin, R.E. Synergistic Use of Nighttime Satellite Data, Electric Utility Infrastructure, and Ambient Population to Improve Power Outage Detections in Urban Areas. Remote Sens. 2017, 9, 286. [Google Scholar]
- Cui, H.; Qiu, S.; Wang, Y.; Zhang, Y.; Liu, Z.; Karila, K.; Jia, J.; Chen, Y. Disaster-Caused Power Outage Detection at Night Using VIIRS DNB Images. Remote Sens. 2023, 15, 640. [Google Scholar]
- Han, S.R.; Guikema, S.D.; Quiring, S.M.; Lee, K.H.; Rosowsky, D.; Davidson, R.A. Estimating the spatial distribution of power outages during hurricanes in the Gulf coast region. Reliab. Eng. Syst. Saf. 2009, 94, 199–210. [Google Scholar] [CrossRef]
- Nateghi, R.; Guikema, S.D.; Quiring, S.M. Comparison and Validation of Statistical Methods for Predicting Power Outage Durations in the Event of Hurricanes. Risk Anal. 2011, 31, 1897–1906. [Google Scholar] [CrossRef]
- Meles, T.H. Impact of power outages on households in developing countries: Evidence from Ethiopia. Energy Econ. 2020, 91, 104882. [Google Scholar] [CrossRef]
- Zheng, Q.; Seto, K.C.; Zhou, Y.; You, S.; Weng, Q. Nighttime light remote sensing for urban applications: Progress, challenges, and prospects. ISPRS J. Photogramm. Remote Sens. 2023, 202, 125–141. [Google Scholar] [CrossRef]
- Elvidge, C.D.; Baugh, K.E.; Kihn, E.A.; Kroehl, H.W.; Davis, E.R. Mapping city lights with nighttime data from the DMSP operational linescan system. Photogramm. Eng. Remote Sens. 1997, 63, 727–734. [Google Scholar]
- Imhoff, M.L.; Lawrence, W.T.; Stutzer, D.C.; Elvidge, C.D. A technique for using composite DMSP/OLS "city lights" satellite data to map urban area. Remote Sens. Environ. 1997, 61, 361–370. [Google Scholar]
- Townsend, A.C.; Bruce, D.A. The use of night-time lights satellite imagery as a measure of Australia’s regional electricity consumption and population distribution. Int. J. Remote Sens. 2010, 31, 4459–4480. [Google Scholar] [CrossRef]
- Li, X.; Liu, S.S.; Jendryke, M.; Li, D.R.; Wu, C.Q. Night-Time Light Dynamics during the Iraqi Civil War. Remote Sens. 2018, 10, 19. [Google Scholar] [CrossRef]
- Li, X.; Zhan, C.; Tao, J.B.; Li, L. Long-Term Monitoring of the Impacts of Disaster on Human Activity Using DMSP/OLS Nighttime Light Data: A Case Study of the 2008 Wenchuan, China Earthquake. Remote Sens. 2018, 10, 17. [Google Scholar] [CrossRef]
- Cao, C.Y.; Shao, X.; Uprety, S. Detecting Light Outages After Severe Storms Using the S-NPP/VIIRS Day/Night Band Radiances. IEEE Geosci. Remote Sens. Lett. 2013, 10, 1582–1586. [Google Scholar] [CrossRef]
- Miller, S.D.; Straka, W.C.; Yue, J.; Seaman, C.J.; Xu, S.; Elvidge, C.D.; Hoffmann, L.; Azeem, I. THE DARK SIDE OF HURRICANE MATTHEW Unique Perspectives from the VIIRS Day/Night Band. Bull. Am. Meteorol. Soc. 2018, 99, 2561–2574. [Google Scholar] [CrossRef]
- Zhao, X.Z.; Yu, B.L.; Liu, Y.; Yao, S.J.; Lian, T.; Chen, L.J.; Yang, C.S.; Chen, Z.Q.; Wu, J.P. NPP-VIIRS DNB Daily Data in Natural Disaster Assessment: Evidence from Selected Case Studies. Remote Sens. 2018, 10, 1526. [Google Scholar] [CrossRef]
- Roman, M.O.; Wang, Z.S.; Sun, Q.S.; Kalb, V.; Miller, S.D.; Molthan, A.; Schultz, L.; Bell, J.; Stokes, E.C.; Pandey, B.; et al. NASA’s Black Marble nighttime lights product suite. Remote Sens. Environ. 2018, 210, 113–143. [Google Scholar] [CrossRef]
- Center for International Earth Science Information Network-CIESIN-Columbia University. Gridded Population of the World, Version 4 (GPWv4): Population Density; Revision 11; NASA Socioeconomic Data and Applications Center (SEDAC): Palisades, NY, USA, 2018.
- Yuan, Q.; Shen, H.; Li, T.; Li, Z.; Li, S.; Jiang, Y.; Xu, H.; Tan, W.; Yang, Q.; Wang, J.; et al. Deep learning in environmental remote sensing: Achievements and challenges. Remote Sens. Environ. 2020, 241, 111716. [Google Scholar] [CrossRef]
- Zhang, L.; Zhang, L.; Du, B. Deep Learning for Remote Sensing Data: A Technical Tutorial on the State of the Art. IEEE Geosci. Remote Sens. Mag. 2016, 4, 22–40. [Google Scholar] [CrossRef]
- Allaire, J.J.; Chollet, F. keras: R Interface to ‘Keras’. Available online: https://CRAN.R-project.org/package=keras (accessed on 4 July 2024).
- Allaire, J.J.; Tang, Y.; Zhao, Y.; Lewis, B.W. tensorflow: R Interface to ‘TensorFlow’. Available online: https://CRAN.R-project.org/package=tensorflow (accessed on 4 July 2024).
- Hastie, T.; Tibshirani, R.; Friedman, J.H. The Elements of Statistical Learning: Data Mining, Inference, and Prediction; Springer: Berlin, Germany, 2009. [Google Scholar]
- Breiman, L. Random Forests. Mach. Learn. 2001, 45, 5–32. [Google Scholar] [CrossRef]
- Chen, T.; Guestrin, C. XGBoost: A Scalable Tree Boosting System. In Proceedings of the 22nd ACM SIGKDD International Conference on Knowledge Discovery and Data Mining; Association for Computing Machinery: San Francisco, CA, USA, 2016; pp. 785–794. [Google Scholar]
- Kuhn, M. Caret: Classification and Regression Training. Available online: https://CRAN.R-project.org/package=caret (accessed on 4 July 2024).
- Wickham, H. ggplot2: Create Elegant Data Visualisations Using the Grammar of Graphics. Available online: https://CRAN.R-project.org/package=ggplot2 (accessed on 4 July 2024).
- James, G.; Witten, D.; Hastie, T.; Tibshirani, R. ISLR: Data for An Introduction to Statistical Learning with Applications in R. Available online: https://CRAN.R-project.org/package=ISLR (accessed on 4 July 2024).
- Liaw, A.; Wiener, M. randomForest: Breiman and Cutler’s Random Forests for Classification and Regression. Available online: https://CRAN.R-project.org/package=randomForest (accessed on 4 July 2024).
- Chen, T.; He, T.; Benesty, M.; Khotilovich, V.; Tang, Y.; Cho, H.; Chen, K.; Mitchell, R. xgboost: Extreme Gradient Boosting. Available online: https://CRAN.R-project.org/package=xgboost (accessed on 4 July 2024).
- Guikema, S.D.; Quiring, S.M. Hybrid data mining-regression for infrastructure risk assessment based on zero-inflated data. Reliab. Eng. Syst. Saf. 2012, 99, 178–182. [Google Scholar] [CrossRef]
- McRoberts, D.B.; Quiring, S.M.; Guikema, S.D. Improving Hurricane Power Outage Prediction Models Through the Inclusion of Local Environmental Factors. Risk Anal. 2018, 38, 2722–2737. [Google Scholar] [CrossRef] [PubMed]
- Chen, H.; Covert, I.C.; Lundberg, S.M.; Lee, S.-I. Algorithms to estimate Shapley value feature attributions. Nat. Mach. Intell. 2023, 5, 590–601. [Google Scholar] [CrossRef]
- Štrumbelj, E.; Kononenko, I. Explaining prediction models and individual predictions with feature contributions. Knowl. Inf. Syst. 2014, 41, 647–665. [Google Scholar] [CrossRef]
- de Beurs, K.M.; McThompson, N.S.; Owsley, B.C.; Henebry, G.M. Hurricane damage detection on four major Caribbean islands. Remote Sens. Environ. 2019, 229, 1–13. [Google Scholar] [CrossRef]
- Wanik, D.W.; Anagnostou, E.N.; Hartman, B.M.; Frediani, M.E.B.; Astitha, M. Storm outage modeling for an electric distribution network in Northeastern USA. Nat. Hazards 2015, 79, 1359–1384. [Google Scholar] [CrossRef]








| SN | Acronym | Explanation | Type |
|---|---|---|---|
| 1 | PO | Power outage estimates from the utility | Dependent |
| 2 | POP | Population from the GPW V4 population | Feature |
| 3 | MTIR | The mean value of the infrared radiation monitored by the DMSP-OLS, calculated for each utility grid | Feature |
| 4 | MVIS | The mean value of the visible light observation monitored by the DMSP-OLS, calculated for each utility grid | Feature |
| 5 | SVIS | The standard deviation of the visible light observation monitored by the DMSP-OLS, calculated for each utility grid | Feature |
| 6 | MLI | The mean value of the lunar illuminance monitored by the DMSP-OLS, calculated for each utility grid | Feature |
| 7 | PNL | The percent frequency of light detection for the entire year in which the hurricane occurred, calculated as the number of cloud-free nights divided by the total number of available nights for each DMSP-OLS pixel over the whole year, then averaged for each utility grid | Feature |
| 8 | FNL | Full night light (FNL) for the entire year the hurricane occurred, derived from the average visible band digital number (DN) of cloud-free light detections multiplied by the percent frequency of light detection in a year for each pixel, with the background noise then identified and replaced with values of zero, and the mean FNL calculated for each utility grid | Feature |
| 9 | VSR | The ratio between the cloud-free visible light observations (VIS) and the annual average full night light (FNL) at each pixel, then averaged for each utility grid | Feature |
| 10 | VSD | The difference between FNL and the cloud-free VIS, calculated as FNL—VIS, then averaged within each utility grid | Feature |
| 11 | LAT | Latitude of the utility grid centroid | Feature |
| 12 | LON | Longitude of the utility grid centroid | Feature |
| CNN | LOG | RF | XGB | |
|---|---|---|---|---|
| Mean Accuracy | 0.8359 | 0.8256 | 0.8711 | 0.8801 |
| Mean F1 Score | 0.8889 | 0.8814 | 0.9092 | 0.9152 |
| Mean AUC-ROC | 0.5603 | 0.5144 | 0.6298 | 0.6399 |
| Mean Recall | 0.9758 | 0.9908 | 0.9649 | 0.9706 |
| Mean Precision | 0.8163 | 0.7939 | 0.8597 | 0.8657 |
| True Positive | 35 | 9 | 70 | 73 |
| False Positive | 113 | 43 | 165 | 138 |
| True Negative | 4582 | 4653 | 4531 | 4558 |
| False Negative | 202 | 228 | 167 | 164 |
| SD Accuracy | 0.0032 | 0.0034 | 0.0027 | 0.0022 |
| SD F1 Score | 0.0024 | 0.0028 | 0.0025 | 0.0024 |
| SD AUC-ROC | 0.0213 | 0.0013 | 0.009 | 0.0055 |
| SD Recall | 0.011 | 0.0009 | 0.0047 | 0.0046 |
| SD Precision | 0.0069 | 0.004 | 0.0012 | 0.0032 |
Disclaimer/Publisher’s Note: The statements, opinions and data contained in all publications are solely those of the individual author(s) and contributor(s) and not of MDPI and/or the editor(s). MDPI and/or the editor(s) disclaim responsibility for any injury to people or property resulting from any ideas, methods, instructions or products referred to in the content. |
© 2025 by the authors. Licensee MDPI, Basel, Switzerland. This article is an open access article distributed under the terms and conditions of the Creative Commons Attribution (CC BY) license (https://creativecommons.org/licenses/by/4.0/).
Share and Cite
Zhu, L.; Quiring, S.M. Hybrid Machine Learning Model for Hurricane Power Outage Estimation from Satellite Night Light Data. Remote Sens. 2025, 17, 2347. https://doi.org/10.3390/rs17142347
Zhu L, Quiring SM. Hybrid Machine Learning Model for Hurricane Power Outage Estimation from Satellite Night Light Data. Remote Sensing. 2025; 17(14):2347. https://doi.org/10.3390/rs17142347
Chicago/Turabian StyleZhu, Laiyin, and Steven M. Quiring. 2025. "Hybrid Machine Learning Model for Hurricane Power Outage Estimation from Satellite Night Light Data" Remote Sensing 17, no. 14: 2347. https://doi.org/10.3390/rs17142347
APA StyleZhu, L., & Quiring, S. M. (2025). Hybrid Machine Learning Model for Hurricane Power Outage Estimation from Satellite Night Light Data. Remote Sensing, 17(14), 2347. https://doi.org/10.3390/rs17142347

