Abstract
The remote sensing-based inversion of sound speed profile (SSP) enables the acquisition of high-spatial-resolution SSP without in situ measurements. The spatial division of the inversion grid is crucial for the accuracy of results, determining both the number of samples and the consistency of inversion relationships. The result of our research is the introduction of a physics-inspired self-organizing map (PISOM) that facilitates SSP inversion by clustering samples according to the physical perturbation law. The linear physical relationship between sea surface parameters and the SSP drives dimensionality reduction for the SOM, resulting in the clustering of samples exhibiting similar disturbance laws. Subsequently, samples within each cluster are generalized to construct the topology of the solution space for SSP reconstruction. The PISOM method significantly improves accuracy compared with the SOM method without clustering. The PISOM has an SSP reconstruction error of less than 2 m/s in 25% of cases, while the SOM method has none. The transmission loss calculation also shows promising results, with an error of only 0.5 dB at 30 km, 5.5 dB smaller than that of the SOM method. A physical interpretation of the neural network processing confirms that physics-inspired clustering can bring better precision gains than the previous spatial grid.
1. Introduction
Despite formidable challenges, the relentless pursuit of more precise information regarding the ocean’s sound speed profile (SSP) remains unabated. On the one hand, the spatiotemporal distribution of SSPs plays a pivotal role in oceanic observations, enabling the exploration of phenomena ranging from global climate change to micro-scale turbulence through SSP inversion [1,2]. On the other hand, as a critical parameter in underwater waveguides, the SSP’s distribution profoundly influences underwater sound propagation [3].
The most accurate way to obtain SSP is through direct measurement using sound speed profilers or conductivity–temperature–depth (CTD) instruments. However, this method only provides data for one measuring point and can be time-consuming and labor-intensive, making it economically impractical to acquire wide-area, synchronous SSPs. After the introduction of acoustic thermometry of ocean climate (ATOC) by Munk [4], various frameworks for acoustic inversion techniques have been developed, including matched field processing [5], compressed sensing [6], and deep learning [7]. By introducing environmental parameters into the optimization process, matching field processing can significantly enhance inversion accuracy. Compressed sensing enhances the real-time performance of SSP inversion by expressing it as an underdetermined linear problem and applying regularization through a least-squares cost function. This deep learning approach optimizes the inversion model via a data-driven method, substantially increasing the upper limit of inversion accuracy. As the acoustic signal is directly influenced by the SSP, the acoustic inversion method can provide precise and timely inversion results, and these acoustic inversions have enabled the retrieval of wide-area sound speed profiles. However, it is important to note that the acoustic signal is typically considered an integrated probe, reflecting the cumulative refraction effects along the sound propagation path. As a result, reconstructed SSPs reflect averaged effects along the propagation path. In typical application scenarios, the SSP obtained through acoustic inversion reflects the average SSP over a distance ranging from several to tens of kilometers between the transmitter and receiver, potentially limiting its spatial resolution.
To address the need for wide-area, high-resolution, quasi-real-time SSPs, satellite remote sensing stands out as the sole quasi-real-time global ocean observation platform, demonstrating considerable potential in SSP inversion. Theoretically, remote sensing-based inversion can achieve a spatial resolution for SSPs comparable to that of sea surface parameters, providing spatial variation information at scales finer than several hundred meters. Utilizing satellite remote sensing to acquire ocean surface parameters, a novel approach has emerged, inferring the correlation between surface parameters and SSP disturbances based on historical profiles and sea surface conditions. According to the principle of thermal expansion, Carnes initially validated a nearly linear correlation between sea level anomalies (SLAs) and the amplitudes of empirical orthogonal function (EOF) of temperature profiles through an analysis of extensive historical data [8]. Subsequently, experiments conducted in the northwestern Pacific and northwestern Atlantic utilized sea surface temperature anomalies (SSTAs) and SLAs as inputs to infer subsurface profiles based on a single empirical orthogonal function-based regression (sEOF-r) [9]. The effectiveness of this approximate linear physical relationship for subsurface profile inversion has been confirmed, and its applicability to global SSPs has been validated by Chen [10]. While it is impractical to describe complex air–sea dynamical systems using physical equations, a series of “physical” methods, such as sEOF-r, has demonstrated that reasonable results can be achieved through approximate physical expressions.
Contrastingly, recent advancements in machine learning algorithms have led to the emergence of data-driven approaches. Hjelmervik employed gradient descent algorithms to infer temperature and salinity profiles based on sea surface remote sensing data [11,12]. Chapman proposed self-organizing maps (SOMs) to reconstruct subsurface current profiles [13]. Su improved the inversion of global ocean salinity profiles by combining extreme gradient boosting with gradient-boosting decision trees [14]. Ali adopted artificial neural networks to invert SSP and discussed the error distribution at different depths [15]. Ou applied neural networks for multivariate regression to enhance inversion results for SSP using various sea surface parameters [16]. Due to their unrestricted nature in uncovering implicit nonlinear relationships between multiple parameters, data-driven methods have demonstrated clear advantages in precision over “physical” methods and have become mainstream in designing inversion methodologies. Based on the powerful data-mining capabilities of data-driven methods, the implicit relationships between input parameters and SSPs can be further utilized. Chen incorporated input data from an echo sounder and the maximum layer depth, in addition to remote sensing parameters, to estimate SSPs [17]. With the advantage of merging multi-source information, the inversion accuracy showed a significant improvement. Qu compared the applicability of SOM and sEOFr in the South China Sea. By analyzing the entire solution process, they found that enhancing the consistency of the SSP basis function significantly improves the inversion accuracy [18]. Building on remote sensing parameters, Li introduced surface sound speed, measured by a surface velocimeter, as an additional solution condition [19]. Although this algorithm increased the cost of in situ measurements, it enabled the inversion of full-depth SSPs. Zhao employed long short-term memory neural networks to model the relationship between sea surface parameters and SSPs [20]. This algorithm capitalizes on the strong temporal correlation in SSP perturbations, achieving high-precision SSP predictions with limited samples within a confined spatial range.
The success of any inversion method, whether driven by physical equations or data, relies on the assumption that all samples adhere to the similar disturbance laws of the SSPs. Therefore, when conducting SSP inversion from remote sensing data, it is common to divide the ocean area into a 1° or 2° grid and process the samples within each grid cell separately. However, the ocean is a complex system influenced by various factors such as time, localization, monsoon, and circulation dynamics. These factors can hinder statistical consistency across the geographical grid and introduce errors in inversion results. Decreasing grid sizes may improve statistical consistency but will significantly reduce the sample size and pose challenges for applying machine learning algorithms. Conversely, expanding the grid can increase the sample size, but ensuring statistical consistency becomes challenging.
This study proposes an enhanced SSP inversion method from remote sensing data, utilizing a physics-inspired self-organizing map (PISOM). By employing the dimensionality reduction and generalization techniques of the SOM method, a PISOM can effectively cluster the physical relationships between sea surface parameters and profile parameters, overcoming spatial grid limitations and ensuring statistical consistency in the disturbance laws of SSP samples during inversion. Training is conducted using Argo data from the South China Sea spanning from 2007 to 2019, along with remote sensing data, to deduce the SSPs of 2020. This PISOM method significantly considers both sample statistics consistency and sample size, leading to improved effectiveness in inversion results. Furthermore, guided by physical mechanisms, neural network processing is analyzed. The findings demonstrate that the statistical consistency in inversion relationships strongly correlates with seasons rather than spatial positions, indicating a need for further improvement in conventional spatial grid processing. Our main contributions can be summarized as follows: (1) We introduce a new PISOM algorithm that enhances inversion accuracy by incorporating physical mechanism constraints into the neural network algorithm. This novel method clusters the inversion relationships of SSPs according to their physical expressions. Consequently, by utilizing the clustered training set, the neural network algorithm can more effectively delineate the perturbation features of SSPs and the relationship between the input–output parameters; (2) Recognizing that the spatial division of the inversion grid fails to ensure statistical consistency, clustering based on physical constraints reveals the significant influence of seasonal factors on inversion relationships. Consequently, we present a grid-free sample-clustering method that accounts for both the consistency of statistical rules and the adequacy of sample sizes; (3) We incorporate transmission loss to assess the validity of the inversion results at the application level, revealing that the improved method significantly enhances the accuracy of sound field calculations and can provide suitable SSP information for these applications.
2. Data
The key to using remote sensing data to obtain SSPs lies in establishing the inversion relationship between sea surface parameters and SSPs based on historical samples. By training historical SSPs alongside SLAs and SSTAs, we can establish this relationship. During the final inversion process, only an SLA and an SSTA are required as inputs to obtain the corresponding SSP.
2.1. SSP Samples
Argo floats are the primary means of obtaining global ocean SSP samples. This study primarily focuses on addressing the challenge of initial grid division for inversion, which is particularly prominent in the South China Sea. The South China Sea is the largest marginal sea in the western Pacific, with an average depth of 1212 m. The central part has an average depth exceeding 4000 m, reaching a maximum of 5559 m. Due to the intricate topography and basin-scale circulation influences, SSPs within the South China Sea exhibit non-gradual spatial variations unlike those observed in open oceans. Profiles in a range of 8–24°N and 109–121°E were selected for testing inversion. All the Argo data were obtained from the Global Ocean Argo Collection [21].
Due to political and economic factors, the availability of SSP samples is severely limited, posing challenges in implementing conventional geographic grid division methods. To address this issue, our primary focus was on profiles within a depth range of 10 to 1000 m, which can account for both the main disturbance depth of SSPs and the number of retained samples. For training purposes, data from 2007 to 2019 were utilized, resulting in 7200 profiles. Validation was conducted using profiles from 2020 (132 in total). All profiles were linearly interpolated to conform with the standard depth levels defined by the World Ocean Atlas 2023 (WOA23). This approach ensures consistent sampling and facilitates error comparison with other methodologies.
During SSP processing using empirical orthogonal function (EOF) analysis, the background profile from WOA23 (https://www.ncei.noaa.gov/products/world-ocean-atlas, accessed on 23 July 2024.) was utilized. The WOA23 data were chosen as annual averages for the 2005–2017 period, with a spatial resolution of 0.25°. Similar to Argo, temperature and salinity profiles were transformed into sound speed profiles using Del Grosso’s empirical formulas [22].
All the SSPs are illustrated in Figure 1, revealing significant differences between the South China Sea and the open ocean. In particular, disturbances in sound speed surpassing 20 m/s pose a significant challenge to SSP inversion. The disturbances primarily occur within the uppermost 300 m, gradually diminishing in intensity as they extend deeper. Notably, the presence of complex internal waves, fronts, and turbulence causes non-monotonic disturbances with large amplitudes at several depths, providing the main source of inversion errors in daily temporal resolution inversion.
Figure 1.
SSP samples and background profile.
2.2. Remote Sensing Data
SLA and SSTA data have been extensively validated as the most effective variables for SSP inversion, as demonstrated in numerous studies. All remote sensing data were obtained from the Copernicus Marine Environment Monitoring Service (CMEMS) [23,24]. The SLA data were derived by merging data from various altimetry missions and were processed using optimal interpolation, achieving a spatial resolution of 0.25°. The SSTA data were estimated by the Group for High-Resolution Sea Surface Temperature (GHRSST) project in conjunction with in situ observations, utilizing a spatial resolution of 0.05°. All remote sensing data had a daily temporal resolution. The establishment of a one-to-one correspondence between the remote sensing data and the same-day Argo SSPs was based on the spatial proximity principle.
3. Methods
Physics-driven methods involve specifying physical equations, providing valuable constraints on inversion results. However, due to the complex nature of the air–sea dynamical system, using approximate physical expressions inevitably introduces errors. While data-driven methods offer the advantage of avoiding approximate expressions, they often yield unrealistic results due to the absence of physical constraints. In this study, we propose a combination of physics-based expressions and statistical neural networks. Given the difficulty in precisely establishing inversion relationships between parameters using physical expressions and the challenge of ensuring the statistical consistency of all samples for inversion, we propose a clustering approach based on approximate physics formulas. This approach guarantees high statistical consistency among physics-inspired samples, enhancing their accuracy.
3.1. Dimensionality Reduction in SSPs
The disturbance of SSPs can be mathematically represented as a three-dimensional matrix. Here, each element in the column corresponds to a sampling point along the depth dimension, while the other two dimensions represent sequences of time and space. When addressing the inversion problem associated with an SSP, it is crucial to consider that the inversion’s complexity is significantly impacted by the number of unknowns involved. Hence, it becomes necessary to reduce the dimensionality of SSPs. An SSP, , can be expressed as follows [25]:
where is the sampling point along the depth, is the basis function describing the disturbance mode of SSPs, is the projection coefficients of the basis function, and is the order of the basis function. Due to the influence of the barotropic mode, the inversion of SSPs using remote sensing parameters includes a zeroth-order mode with the same amplitude across all depths. In inverse problems, a higher-order basis does not necessarily provide better approximations to the true values due to the presence of noise. Typically, using strikes a balance between effectively capturing disturbances and avoiding noise introduced by higher-order modes. In the following experiment, yields the best inversion accuracy. The EOF is the most classical basis function of SSPs, involving extracting principal components from samples. Assuming the SSP samples form an matrix, where represents the number of depth sampling points and represents the number of samples, we can obtain the anomaly matrix, , by subtracting the background profile from the sample matrix. The eigenvalues of this matrix can be used to calculate the disturbance modes in sound speed [26]:
where is the eigenvector and is the diagonal matrix of the eigenvalues. In practical applications, is the modal function of each order of the EOF. The accuracy and effectiveness of EOFs are contingent on the consistency of the disturbance laws among the samples. A crucial objective in employing the EOF is to cluster profiles with consistent disturbance laws and inversion relationships, yielding more precise and effective EOFs, along with their projection coefficients.
3.2. Physics-Driven SOM
According to a regression analysis of many historical samples, an approximate linear relationship was observed between sea surface parameters and the EOF projection coefficients of SSPs. Based on this linear relationship, Carnes proposed the sEOF-r method, which can be expressed as follows [9]:
where is the linear fitting parameter for the projection coefficients, . In the training phase, based on historical samples, and their corresponding and can be utilized to calculate three approximate linear fitting parameters . During the solving phase, these coefficients and remote sensing parameters can be directly employed to derive projection coefficients for reconstructing the SSP. To avoid confusion, in the subsequent clustering process, the EOF coefficient derived directly from the SSP is denoted as , whereas represents the EOF coefficient calculated using the physical expression (3). Although Equation (3) does not provide an exact analytical representation, it exhibits consistent fitting coefficients when the disturbance law of the profiles is maintained, resulting in inversion results with a reasonable level of precision. These identical fitting parameters indicate consistency in heat and energy transfer, as well as sound speed disturbance modes resulting from air–sea interactions. Given the absence of precise physical formulations for air–sea interactions and SSP disturbances, conventional physics-informed neural networks (PINNs) incorporating partial differential equations to enforce physical constraints are not applicable in SSP inversion. To address this limitation, we propose a novel approach that combines physics-driven principles with data-driven techniques, integrating physical relationships into neural network inversion based on clustering statistically consistent samples according to Equation (3).
A flowchart of the proposed method is shown in Figure 2. Initially, clustering is conducted based on disturbance modes to process SSPs exhibiting consistent disturbances. Subsequently, the clustered samples are utilized to train an SOM to establish a generalized neural network structure. Then, by employing the input remote sensing parameters, the best-matching neuron (BMU) can be found in the neural network. Finally, extracting the projection coefficient elements from the BMU yields the inversion result. The SOM inversion process can be described as follows:
Figure 2.
Flow chart of the physics-inspired SOM inversion. The black italicized variable represents the input parameters extracted from the training samples; the blue italicized variable denotes the input parameters utilized for solution information; and the red italicized variable signifies the output parameters serving as the reconstruction coefficients of the SSP.
- Clustering: To circumvent the conventional approach of employing spatial grids for classification, we propose a method utilizing an SOM network to cluster based on the correlation between remote sensing parameters and SSPs to achieve dimensionality reduction. Based on linear initialization, raw training samples are projected onto the linear subspace formed by three parameter types: remote sensing parameters (SLA; SSTA), EOF projection coefficients of the historical samples (), and linearly reconstructed SSP projection coefficients () obtained from all sample data using the sEOF-r method. The first two parameter types rely on data-driven techniques to establish statistical relationships between surface and profile parameters. The third parameter type incorporates Equation (3) as a constraint to capture the approximate linear relationship, thereby clustering with the first and second parameter types based on deviations from this physical relationship. Dimensionality reduction for the samples is achieved by configuring a small number of neurons in the SOM network. Classification is performed on the clustering networks using the nearest neuron based on Euclidean distance. Training samples are classified according to their disturbance laws while retaining the first and second parameter types as clustering training samples. Importantly, after clustering, each cluster represents distinct disturbance laws. This requires a separate recalculation of EOFs and their coefficients for each cluster;
- Generalization: Based on clustered samples, disturbance-consistent samples are re-input into the SOM network to generate a generalized network and form a solution topology. The cluster of samples closest to the solving profile’s time is selected as the clustering training sample. Actual testing has shown that setting the number of neurons in the SOM network to three times the number of input samples during generalization maintains inversion accuracy. Training with the SOM network generates a generalized neural network, which is derived under Equation (3)’s near-linear relationship constraint. The ensemble of these neurons constitutes the network structure, which describes the SSP that may be formed under the disturbance law of the training sample;
- Matching: Based on the input parameters, the BMU is determined on the generalized SOM network. The BMU is defined as the neuron that exhibits the minimum Euclidean distance to the input parameters within the generalized neural network. The input actually constitutes an incomplete neuron, and Chapman derived a function to calculate the truncated distance with the complete neuron on the neural network [27]:where is the Euclidean distance, represents the number of the neuron on the generalized network, is the neuron vector, set represents the existing elements of the incomplete neuron, and set is the element to be solved for SSP reconstruction. The truncated distance of each neuron on the generalized network can be calculated through an exhaustive search. The smallest distance represents the BMU, indicating the closest match between the air–sea relationship and the input parameters;
- Extraction: The inversion result can be obtained from the missing part of the BMU, i.e., the corresponding coefficients, , of the SSP. By combining these coefficients with the EOFs derived from the principal component analysis of this cluster, Equation (1) can be utilized to reconstruct the sound SSP.
4. Results
The proposed method involves pre-classification to ensure the statistical consistency of the samples. Thus, the number of clusters plays a crucial role in determining the results. Table 1 presents the inversion errors for different numbers of clusters. It is evident that classification significantly enhances inversion accuracy, with post-clustering inversion results outperforming non-clustered ones. The highest accuracy is achieved with two clusters, and as the number of clusters increases, there is only a minimal change in accuracy. This can be attributed to further clustering potentially amplifying noise during inversion and reducing the number of training samples, resulting in slightly lower accuracy than the optimal cluster numbers. For subsequent analysis, we focus on examining results obtained using two clusters, as this represents an optimal choice and provides evidence of physical mechanisms behind optimal clustering. The root-mean-squared error (RMSE) was used to quantify the SSP reconstruction error.
Table 1.
Errors in different cluster numbers.
4.1. SSP Reconstruction Error
An error comparison between the SOM and PISOM inversion methods is illustrated in Figure 3. At most points, the SOM method with clustering has significantly higher accuracy than the simple SOM method. The average error of the SSPs obtained through the PISOM is 3.63 m/s, whereas for the SOM, it is 3.78 m/s. The SOM’s performance is enhanced by incorporating a pre-clustering procedure. The classic SOM method encounters significant anomalies in the region, leading to limited accuracy with almost no cases of error below 2 m/s. By contrast, the PISOM demonstrates an error rate below 2 m/s for approximately one-fourth of the cases. The PISOM method can handle the features carried by disturbances more effectively by simply clustering the disturbance characteristics. Although the reduction in mean error between the two methods is not statistically significant, the inversion results can still be regarded as a great improvement. The main source of large errors arises from notable anomalies in SSPs caused by dynamic factors such as fronts and water masses, which pose challenges for accurate representation using EOFs. In cases where significant anomalies are absent in the samples, the reconstructed SSP more consistently aligns with the disturbance principal components, resulting in more pronounced improvements in error. Among the 47 samples exhibiting reconstruction errors below three, the PISOM method demonstrates an approximately 20% decrease in error compared with the SOM method.
Figure 3.
Errors in reconstruction for different sample numbers.
Figure 4 shows the errors at different depths. In most depths, the PISOM method outperforms the SOM method, with the surface layer showing the most significant improvement in inversion accuracy. This is because the core of the method lies in establishing a relationship between SSPs and surface remote sensing parameters, which are closely associated with the surface part of the SSP. The deep sea below 600 m is the least improved part, primarily because this section is less affected by surface remote sensing parameters and has relatively consistent sound speeds with minimal disturbances. Notably, the maximum error occurs around 300 m. Typically, due to the daily resolution of remote sensing inversion methods, diurnal variations in the mixed layer often become the primary source of inversion error. In the data presented here, significant errors can be observed at depths of approximately 300 m, 500 m, 750 m, and 1000 m. These errors mainly arise from random large gradient disturbances at specific depths in a small subset of the sample, resulting in a sharp increase in mean error. Since capturing such random large anomalies during inversion poses challenges, these data exhibit high error values specifically due to anomalies at certain depths, highlighting the difficulty in representing these conditions accurately through SSP inversion techniques. Furthermore, this reveals the highly challenging nature of SSP inversion in the South China Sea.
Figure 4.
Errors in reconstruction for different depths.
To explain the sources of error, Figure 5 presents two representative examples. In the example of high-precision reconstruction on the left, the PISOM method has a clear improvement in accuracy compared with the SOM method, particularly showcasing its performance advantage closer to the sea surface. Random disturbances caused by water masses change the smooth variation trend of the sound speed gradient at depths around 250 m and 500 m. While data-driven methods relying on the main statistical characteristics struggle to represent such random disturbances, the PISOM method still effectively describes these disruptions better than the SOM method. In the high-error example on the right, similar to the error distribution shown in Figure 4, random errors at depths around 300 m, 500 m, 750 m, and 1000 m constitute most of the mean reconstruction errors. Both methods suffer severe performance degradation in the presence of intense random disturbance. However, the PISOM method is still closer to the actual measured profile. The precise representation of these outlier points constitutes a significant challenge for nearly all SSP inversion techniques. This is primarily because the infrequent appearance of these outlier points in the samples does not constitute the primary component of the disturbance features in the training data; thus, the basis functions cannot reconstruct these outlier points. Additionally, the input parameters used for inversion are insufficient to deduce these outlier points. Sea surface parameters solely encompass sea surface information, while in acoustic inversion, acoustic propagation signals reflect the averaged effects along the propagation path. Neither of these inputs provides detailed structural information about the SSP at specific depths.
Figure 5.
Examples of sound speed profile reconstruction.
4.2. Validation of Transmission Loss
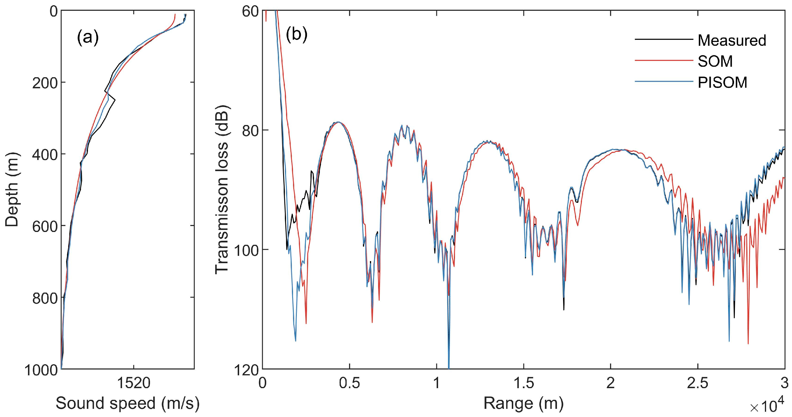
The primary objective of SSP inversion is to conduct calculations on the sound field, and the most direct way to verify the effectiveness of the results is to perform sound field calculations. We performed validation to forecast transmission loss using the normal mode model KRAKENC based on the reconstructed SSP. Figure 6a shows that the errors in the PISOM and SOM, and the results were 2.62 m/s and 2.81 m/s, respectively. Considering the reconstructed depth of the SSP is 1000 m, characterized by minimal disturbances below this threshold, the inversion results below 600 m exhibit a high level of consistency with the measurements, and we extrapolated the depth profiles down to 4000 m based on WOA23 data. The sound source and receiver were positioned at a depth of 50 m. The frequency used was 100 Hz, and the seabed had a density of 1.73 g/cm3 with a sound speed of 1541 m/s. Additionally, we considered an attenuation coefficient of 0.09 dB/λ and a water depth of 4000 m. A comparison of the calculated transmission loss is presented in Figure 6b. Significant transmission loss errors are caused by inaccuracies in the SSP reconstruction in the direct wave part before the first convergence zone. However, both inversion methods accurately capture the interference structure of the sound field in the first two convergence zones, indicating that the inversion method utilizing remote sensing parameters, which can achieve a globally high-spatial-resolution estimation of SSP, effectively meets the precision requirements for sound field calculations. With increasing propagation distance, the error in the sound field calculation accumulates due to the SSP inversion error. In the fifth convergence zone, the position predicted using the SOM method for the convergence zone deviates at longer distances, causing a significant deviation in the interference structure, with a transmission loss error of 6 dB at 30 km; conversely, the PISOM method can still predict the sound field’s interference structure reasonably well, with a sound field calculation error of approximately 0.5 dB. From the perspective of sound field prediction, without conducting in situ measurements, the SSP inversion based on remote sensing parameters can indeed provide SSP information suitable for sound field calculation applications, and the PISOM method can effectively enhance the applicability of this method without introducing additional models or heavy computational burden.
Figure 6.
Transmission loss calculated using different SSPs, (a) SSPs, (b) Transmission loss.
4.3. Interpretation of Neural Network Processing
Due to the incorporation of physical linear relationship constraints, the neural network architecture becomes more interpretable, enabling us to gain insights into the underlying processes and mechanisms governing the SOM. Figure 7 and Figure 8 depict the spatial and temporal distribution of all samples. The spatial distribution analysis reveals that the influence of spatial position on establishing the inversion relationship between surface parameters and SSPs is negligible. Within the South China Sea region, both clusters exhibit a uniform distribution, unaffected by their spatial positions. Despite the presence of intricate and intense mesoscale phenomena such as eddies, internal solitary waves, fronts, and Pacific exchange water masses that can significantly impact SSPs and complicate SSP inversion procedures, their effect on establishing the inversion relationship remains inconspicuous. The temporal distribution reveals a uniform spread of samples across all twelve months of the year, and subsequent clustering analysis demonstrates the significant influence of seasonal factors in establishing inversion relationships. Cluster 1 predominantly occurs from April to October, while Cluster 2 mainly occupies December to February, with March and November acting as transitional periods between these two clusters. During the summer, the strong influence of the southwest monsoon and intense sea surface irradiance result in a negative sound speed gradient at the surface. Conversely, in winter, the northeast monsoon leads to the formation of a robust mixed layer on the sea surface. These distinct sound speed distributions give rise to different barotropic and baroclinic modes within the ocean, characterized by varying relationships between the sea surface and the SSPs. Consequently, two inversion clusters are formed, demonstrating that previous spatial grid methods lack effectiveness in statistically clustering consistent samples.
Figure 7.
Spatial distribution of two sample clusters.
Figure 8.
Temporal distribution of two sample clusters.
5. Conclusions
Sea surface parameters primarily influence SSPs through energy and matter transfers dominated by barotropic and baroclinic modes. This complex physical relationship can be approximated as a linear equation (Equation (3)). In this study, parameters adhering to this physical mechanism were incorporated as elements in the SOM clustering process, enhancing sample consistency in perturbation laws and improving inversion accuracy. The effectiveness of this PISOM was validated through SSP inversion experiments conducted in the South China Sea and compared with the simple SOM inversion.
The experiments confirmed that applying PISOM significantly enhanced the precision of SSP inversion. When samples from 2020 were used as the test set, many samples exhibited random large disturbances caused by water masses, posing a challenge for nearly all SSP inversion methods due to the difficulty in accurately representing such rare and intense disturbances with EOFs derived from a principal component analysis. When only profiles without abnormal disturbances were considered, the PISOM method demonstrated an approximate 20% reduction in error. Despite encountering notable errors near the depth between the mixed layer and thermocline due to limited information and temporal resolution, remote sensing-based SSP inversion methods validate their ability to provide globally high-spatial-resolution SSP information without requiring any in situ measurements, benefiting sonar system applications. The PISOM method enables reasonable transmission loss calculations while reducing errors by approximately 5.5 dB at 30 km compared with the SOM method.
After analyzing the clustering results inspired by the physical linear relationship, we discovered that seasonality plays a crucial role in determining the consistency of inversion relationships. In our South China Sea inversion experiment, samples mainly clustered around the summer and winter seasons. This finding demonstrates the limitations of previous spatial grid processing methods. Therefore, incorporating the proposed clustering process during preprocessing can effectively enhance inversion performance.
Author Contributions
G.X. and Z.L. provided research ideas and wrote the paper. K.Q. and Z.L. formulated the initial research questions and determined the research direction of this article. Z.Z., P.X., D.G. and X.D. provided support in data acquisition. G.X. and K.Q. coordinated the writing work. All authors have read and agreed to the published version of the manuscript.
Funding
This research was funded by the open fund of the National Key Laboratory of Science and Technology on Underwater Acoustic Antagonizing, grant number JCKY2024207CH07.
Data Availability Statement
The data generated in this study are not publicly available due to their use in an ongoing study by the authors but can be made available from the corresponding author upon reasonable request.
Conflicts of Interest
The authors declare no conflicts of interest.
References
- Behringer, D.; Birdsall, T.; Brown, M.; Cornuelle, B.; Heinmiller, R.; Knox, R.; Metzger, K.; Munk, W.; Spiesberger, J.; Spindel, R.; et al. A demonstration of ocean acoustic tomography. Nature 1982, 299, 121–125. [Google Scholar] [CrossRef]
- Colosi, J.A.; Duda, T.F.; Alford, M.; Lin, Y.-T.; Voet, G. On the feasibility of using short-range, high-frequency transmissions to characterize the vertical-spectra of small-scale internal waves and turbulence in a bottom boundary layer. J. Acoust. Soc. Am. 2024, 155, A278–A279. [Google Scholar] [CrossRef]
- Uzhansky, E.; Lunkov, A.; Katsnelson, B. Effect of an internal Kelvin wave on sound propagation in a coastal wedgea. J. Acoust. Soc. Am. 2024, 155, 3357–3370. [Google Scholar] [CrossRef]
- Munk, W.; Wunsch, C. Ocean acoustic tomography: A scheme for large scale monitoring. Deep-Sea Res. Part A 1979, 26, 123–161. [Google Scholar] [CrossRef]
- Tolstoy, A.; Diachok, O.; Frazer, L.N. Acoustic tomography via matched field processing. J. Acoust. Soc. Am. 1991, 89, 1119–1127. [Google Scholar] [CrossRef]
- Bianco, M.; Gerstoft, P. Compressive acoustic sound speed profile estimation. J. Acoust. Soc. Am. 2016, 139, EL90–EL94. [Google Scholar] [CrossRef]
- Lu, J.; Zhang, H.; Wu, P.; Li, S.; Huang, W. Predictive modeling of future full-ocean depth SSPs utilizing hierarchical long short-term memory neural networks. J. Mar. Sci. Eng. 2024, 12, 943. [Google Scholar] [CrossRef]
- Carnes, M.R.; Mitchell, J.L.; de Witt, P.W. Synthetic temperature profiles derived from Geosat altimetry: Comparison with air-dropped expendable bathythermograph profiles. J. Geophys. Res. 1990, 95, 17979–17992. [Google Scholar] [CrossRef]
- Carnes, M.R.; Teague, W.J.; Mitchell, J.L. Inference of Subsurface Thermohaline Structure from Fields Measurable by Satellite. J. Atmos. Ocean. Technol. 1994, 11, 551–566. [Google Scholar] [CrossRef]
- Chen, C.; Ma, Y.; Liu, Y. Reconstructing Sound speed profiles worldwide with Sea surface data. Appl. Ocean Res. 2018, 77, 26–33. [Google Scholar] [CrossRef]
- Hjelmervik, K.T.; Hjelmervik, K. Estimating temperature and salinity profiles using empirical orthogonal functions and clustering on historical measurements. Ocean Dynam. 2013, 63, 809–821. [Google Scholar] [CrossRef]
- Hjelmervik, K.; Hjelmervik, K.T. Time-calibrated estimates of oceanographic profiles using empirical orthogonal functions and clustering. Ocean Dynam. 2014, 64, 655–665. [Google Scholar] [CrossRef]
- Chapman, C.; Charantonis, A.A. Reconstruction of Subsurface Velocities From Satellite Observations Using Iterative Self-Organizing Maps. Geosci. Remote Sens. Lett. 2017, 14, 617–620. [Google Scholar] [CrossRef]
- Su, H.; Yang, X.; Lu, W.; Yan, X.-H. Estimating subsurface thermohaline structure of the global ocean using surface remote sensing observations. Remote Sens. 2019, 11, 1598. [Google Scholar] [CrossRef]
- Jain, S.; Ali, M.M. Estimation of sound speed profiles using artificial neural networks. IEEE Geosci. Remote Sens. Lett. 2006, 3, 467–470. [Google Scholar] [CrossRef]
- Ou, Z.; Qu, K.; Wang, Y.; Zhou, J. Estimating sound speed profile by combining satellite data with in situ sea surface observations. Electronics 2022, 11, 3271. [Google Scholar] [CrossRef]
- Cheng, C.; Yan, F.; Gao, Y. Improving reconstruction of sound speed profiles using a self-organizing map method with multi-source observations. Remote Sens. Lett. 2020, 11, 572–580. [Google Scholar] [CrossRef]
- Qu, K.; Zou, B.; Zhou, J. Rapid environmental assessment in the South China Sea: Improved inversion of sound speed profile using remote sensing data. Acta Oceanol. Sin. 2022, 41, 78–83. [Google Scholar] [CrossRef]
- Li, Q.; Li, H.; Cao, S.; Yan, X.; Ma, Z. Inversion of the full-depth sound speed profile based on remote sensing data and surface sound speed. Acta Oceanol. Sin. 2022, 44, 84–94. [Google Scholar] [CrossRef]
- Zhao, Y.; Xu, P.; Li, G.; Ou, Z.; Qu, K. Reconstructing the sound speed profile of South China Sea using remote sensing data and long short-term memory neural networks. Front. Mar. Sci. 2024, 11, 1375766. [Google Scholar] [CrossRef]
- Li, Z.Q.; Liu, Z.H.; Lu, S.L. Global Argo data fast receiving and post-quality-control system. IOP Conf. Ser. Earth Environ. Sci. 2020, 502, 012012. [Google Scholar] [CrossRef]
- Del Grosso, V.A. New equation for the speed of sound in natural waters (with comparisons to other equations). J. Acoust. Soc. Am. 1974, 56, 1084–1091. [Google Scholar] [CrossRef]
- Good, S.; Fiedler, E.; Mao, C.; Martin, M.J.; Maycock, A.; Reid, R.; Roberts-Jones, J.; Searle, T.; Waters, J.; While, J.; et al. The Current Configuration of the OSTIA System for operational roduction of foundation sea surface temperature and ice concentration analyses. Remote Sens. 2020, 12, 720. [Google Scholar] [CrossRef]
- Donlon, C.J.; Martin, M.; Stark, J.; Roberts-Jones, J.; Fiedler, E.; Wimmer, W. The Operational Sea Surface Temperature and Sea Ice Analysis (OSTIA) system. Remote Sens. Environ. 2012, 116, 140–158. [Google Scholar] [CrossRef]
- Cheng, L.; Ji, X.; Zhao, H.; Li, J.; Xu, W. Tensor-based basis function learning for three-dimensional sound speed fields. J. Acoust. Soc. Am. 2022, 151, 269–285. [Google Scholar] [CrossRef]
- Bianco, M.; Gerstoft, P. Dictionary learning of sound speed profiles. J. Acoust. Soc. Am. 2017, 141, 1749–1758. [Google Scholar] [CrossRef] [PubMed]
- Charantonis, A.A.; Testor, P.; Mortier, L.; D’Ortenzio, F.; Thiria, S. Completion of a sparse glider database using multi-iterative self-organizing maps (ITCOMP SOM). Proc. Comput. Sci. 2015, 51, 2198–2206. [Google Scholar] [CrossRef]
Disclaimer/Publisher’s Note: The statements, opinions and data contained in all publications are solely those of the individual author(s) and contributor(s) and not of MDPI and/or the editor(s). MDPI and/or the editor(s) disclaim responsibility for any injury to people or property resulting from any ideas, methods, instructions or products referred to in the content. |
© 2025 by the authors. Licensee MDPI, Basel, Switzerland. This article is an open access article distributed under the terms and conditions of the Creative Commons Attribution (CC BY) license (https://creativecommons.org/licenses/by/4.0/).







