An Axial-Oriented Dual-Layer Indexing Structure for Tunnel Point Clouds
Abstract
1. Introduction
1.1. Background
1.2. Problem Statement
- (1)
- Unstructured and massive point clouds. The raw point clouds are inherently unorganized, with points arranged according to their acquisition or processing sequence rather than spatial neighboring relationships [24]. And in high-precision monitoring scenarios, the volume of engineering point cloud data frequently surpasses the RAM capacity of standard personal computers.
- (2)
- Non-uniform density and long striped distribution. The linear structure of tunnel projects necessitates the setup of multiple scanning stations aligned along the tunnel’s axis for optimal coverage, resulting in various point densities in different areas. Moreover, tunnel point clouds in strip-like configurations occupy only a small fraction of the overall data space, making traditional bounding box-based data management methods (such as voxels, octrees, etc.) inefficient and resource intensive [25].
- (3)
- Complex data management and feature extraction. In tunnel scenes consisting of numerous discrete points, engineering data analysis requires sophisticated post-processing operations including axis fitting and cross-section extraction. Implementing responsive data operations (such as retrieval, deletion, and updating) efficiently becomes particularly challenging at this scale.
- A merge-based octree generation algorithm is proposed. Aimed at ultra-large-scale data chunking scenarios, the “bottom-up, small-to-large” octree generation strategy effectively accomplishes the point cloud indexing task for more than 6 billion points, which overcomes the limitations imposed by computer memory on the point cloud indexing generation.
- An axial-oriented dual-layer indexing structure that incorporates tunnel axial information is designed to enhance the management of the long strip tunnel point clouds. This implementation introduces a Hough transform-based method for extracting tunnel axes, facilitating the rapid establishment of the dual-layer structure. Comparative experiments demonstrate that this structure significantly improves query and update performance over octree indexing.
2. Methodology
2.1. Overview
2.2. Optimized Dual-Layer Indexing Structure for Tunnel Point Cloud
2.2.1. Tunnel Point Cloud Horizontal Centerline Coarse Extraction
- Tunnel point cloud horizontal projection and boundary extraction
- 2
- Tunnel Axis Fitting Based on Hough Transform
- (1)
- Initialize the Hough space. With predefined quantization parameters: ∆r for distance and ∆θ for angle, the discretized Hough space is established, which comprises two dimensions: the radial distance (r) and the angle (θ). The distance dimension spans the range [−Rmax, Rmax], see Equation (5), while the angle dimension is confined to the interval [0, 180/∆θ].
- (2)
- Traverse the boundary points in B, for each θi ∈ {0, 1, 2, ⋯, 180/∆θ}, calculate ri using Equation (6) and cast a vote for the corresponding parameter pair (ri, θi).
- (3)
- Iterate through the discrete parameter pairs in the Hough space to identify those candidate parameter pairs with vote counts exceeding the predefined voting threshold. Sort the parameter pairs in descending order based on vote counts.
- (4)
- Non-maximum suppression and line identification. First, store the current parameter pair (ri, θi) with the highest vote count. Then, remove all parameter pairs within the neighborhood range of {r ∈ [ri − rho/∆r, ri + rho/∆r],θ ∈ [θi − tho/∆θ, θi + tho/∆θ]} from the candidate parameter pair array (identified in Step 3). This step eliminates the current line and similar lines. Repeat this process until the candidate parameter array is empty.
- (5)
- Convert the line parameters from the Hough transform space back to their Cartesian representation, as described by Equation (7).
2.2.2. Dual-Layer Indexing Structure Along the Tunnel Horizontal Centerline
- (1)
- Coordinate Alignment through Axis Rotation. To facilitate the automatic segmentation of the tunnel point cloud, the original coordinate system is rotated around the z-axis, aligning the tunnel’s horizontal centerline with the x-axis. The rotation matrix is calculated as Equation (8), where β is the angle between the horizontal centerline and the x-axis on the original coordinate system’s xoy plane.
- (2)
- Constraint-based adaptive segmentation. First, the boundary point set B, obtained in Section 2.2.1, undergoes coordinate transformation to rapidly determine the minimal x-axis value, minxt. Subsequently, the original data Praw is transformed into Pt = TRPraw = {pt = (xt,n, yt,n, zt,n) ∈ R3, n = [1, Nt]} and automatically segmented according to the specified segment distance d, which is set to the design diameter in this paper. The global segment index is calculated as Equation (9). During the automatic segmentation process, axial vectors and segment distances along the axis are recorded to facilitate subsequent local octree generation and data management.
- (3)
- Local spatial indexing structure generation. The previous steps achieved automatic segmentation of tunnel point clouds, aiming to create tightly bounding boxes for these segmented tunnels that approximate cubic spaces. However, large-scale tunnel monitoring with high-density scanning may result in segmented point clouds containing tens of millions or even hundreds of millions of points. Efficiently managing such vast amounts of data remains a pressing challenge in the field. To this end, we implement merge-based octree structures for the segmented point clouds, as detailed in Section 2.3. This method alleviates memory constraints while maintaining data integrity, optimizing data management with out-of-core fashion.
2.3. Merge-Based Octree Generation Strategy in Data Chunking Scenarios
2.3.1. Octree Generation Challenges for Ultra-Large-Scale 3D Models
2.3.2. Merge-Based Octree Generation
- Voxel-based indexing system
- (1)
- Voxel-Octree Alignment. To ensure seamless integration of voxels into octree nodes, the basic voxels must serve as the subdivision units of the octree’s smallest node. Specifically, uniformly divide the bounding box into 2N equal parts along each axis, creating (2N)3 voxels of size (l, w, h), as Equation (10) where (L, W, H) represents the dimensions of the root bounding box, and N needs to be greater than the maximum depth Dmax of the octree to be built.
- (2)
- Grid Index Calculation. The point position indices (i, j, k) within the voxel grid system are encoded by using Equation (11), where (i, j, k) represents that the point is located within the voxel at the i-th row along the x-axis, the j-th column along the y-axis, and the k-th layer along the z-axis.
- 2
- Morton code-based position encoding
- 3
- Multi-way merging for octree generation
| Algorithm 1 Pseudocode of the voxel-merged octree generation algorithm. |
| Input: Point cloud datasets, build parameters (Dmax, Toc, N, T, etc.). Output: Point cloud octree structure. Begin procedure Octree Generation (Input): Initialize: Get the global statistical information (AABB, voxel size, etc.) Create a lookup table for Morton filling encoding curve Chunking: Parallel for each thread do while haveNextPoint do Read input point Calculate voxel index and position code for each point if processed points in thread >= T then Sort points by position code in ascending order Output sorted chunk data to temporary file end if end while Merging: Build a loser tree based on chunk files while haveNextPoint do Record voxel information with validVoxelsList Find the minimal position code, and output corresponding point to merged file end while Generating octree: //Depth-wise merge valid voxels based on position code, and create octree structure do function OctreeGenerationFun (validVoxelsList) End procedure function OctreeGenerationFun (validVoxelsList): for d = 1 to Dmax do preOctreeCode = (validVoxelsList [0].positioncode>>(N − d)) for i = 1 to (validVoxelsList.size-1) do curPosCode = (validVoxelsList[i].positioncode>>(N − d)) if curPosCode == preOctreeCode then Merge the voxel into the current octree node else if current octree node is valid then Delete the voxels in current node from validVoxelsList end if prePosCode = curPosCode end if end for end for end function |
2.4. Tunnel Point Cloud Data Management Based on Dual-Layer Indexing Structure
2.4.1. Massive Point Cloud Rendering Based on Non-Redundant LOD Structure
2.4.2. Assisted-Automated Tunnel Point Cloud Segmentation Layer Management
3. Experimental Evaluation and Analysis
3.1. Datasets and Implementation Details
3.2. Comparative Experiments on Octree Generation
3.3. Performance Analysis of the Dual-Layer Indexing Structure for Tunnel Massive Point Cloud
3.3.1. Tunnel Horizontal Centerline Extraction Analysis
- Tunnel point cloud projection and boundary point identification
- 2.
- Tunnel horizontal centerline fitting
3.3.2. Performance Analysis of Dual-Layer Indexing Structure
- (1)
- Point cloud indexing generation
- (2)
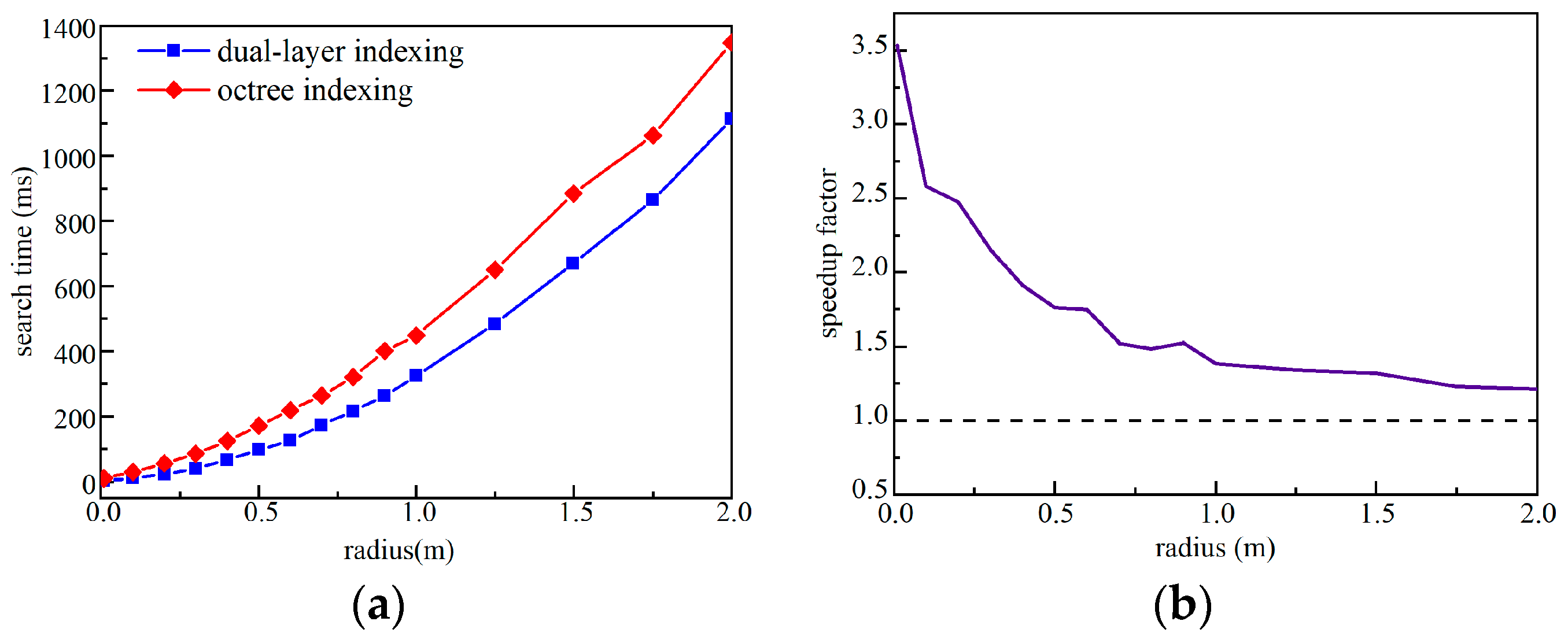
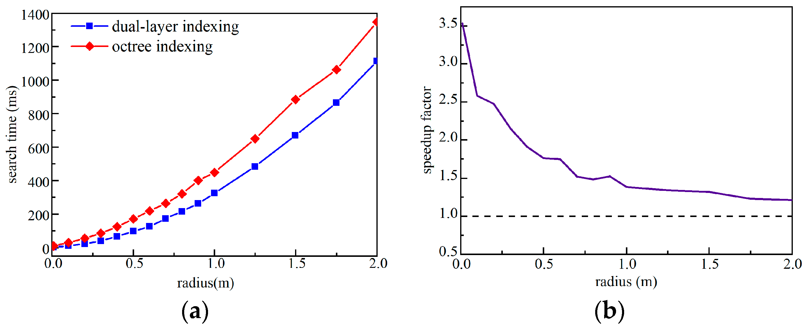
- Point cloud query and update
3.3.3. Visualization and File Management of Massive Point Cloud in Tunnels
4. Case Study
4.1. Case Background
4.2. Tunnel Dual-Layer Indexing Structure Generation
4.2.1. Boundary Points Extraction and Horizontal Centerline Fitting
4.2.2. Axial-Oriented Dual-Layer Indexing and Performance Analysis
4.3. Tunnel Cross-Section Profile Evaluation
5. Discussion
6. Conclusions
- (1)
- Axial-oriented Dual-Layer Indexing Structure. Tailored to the characteristics of tunnel point cloud data processing, the dual-layer indexing method significantly enhances point cloud management and updates performance for voluminous, linearly distributed point clouds, supporting the visualization of massive tunnel point clouds across multiple levels and scales.
- (2)
- Hough transform-based Tunnel Boundary and Axis Extraction. By means of projection previews and image-like matrix construction, the method effectively extracts tunnel boundaries and horizontal axis. Experimental results show that the proposed method is robust to noise within the tunnel point cloud and can capture all potential linear elements in a single pass, without needing to assume the number of lines in advance.
- (3)
- Enhanced Octree Generation Method. Inspired by the divide-and-conquer paradigm, an optimized octree generation method using voxel-based merging was proposed. This method seamlessly integrates massive point clouds into a refined voxel-based indexing system, thus enabling out-of-core octree generation of ultra-large-scale point cloud data. In this study, the proposed method successfully processes a point cloud dataset with over 6 billion points, achieving a rate of up to millions of points per second.
Author Contributions
Funding
Data Availability Statement
Conflicts of Interest
References
- Hong, K. Typical Underwater Tunnels in the Mainland of China and Related Tunneling Technologies. Engineering 2017, 3, 871–879. [Google Scholar] [CrossRef]
- Luo, Y.; Alaghbandrad, A.; Genger, T.K.; Hammad, A. History and Recent Development of Multi-Purpose Utility Tunnels. Tunn. Undergr. Sp. Technol. 2020, 103, 103511. [Google Scholar] [CrossRef]
- Niu, X. The First Stage of the Middle-Line South-to-North Water-Transfer Project. Engineering 2022, 16, 21–28. [Google Scholar] [CrossRef]
- Zhu, H.; Yan, J.; Liang, W. Challenges and Development Prospects of Ultra-Long and Ultra-Deep Mountain Tunnels. Engineering 2019, 5, 384–392. [Google Scholar] [CrossRef]
- National Highway Institute (U.S.). FHWA-NHI-10-034 Technical Manual for Design and Construction of Road Tunnels—Civil Elements; National Highway Institute (U.S.): Vienna, VA, USA, 2009. [Google Scholar]
- Hoult, N.; Soga, K. Sensing Solutions for Assessing and Monitoring Tunnels. In Sensor Technologies for Civil Infrastructures: Volume 2: Applications in Structural Health Monitoring; Elsevier Ltd.: Amsterdam, The Netherlands, 2022; pp. 135–173. ISBN 9780081027066. [Google Scholar]
- Wang, X.; Wang, M.; Jiang, R.; Xu, J.; Li, B.; Wang, X.; Yu, J.; Su, P.; Liu, C.; Yang, Q.; et al. Structural Deformation Monitoring during Tunnel Construction: A Review. J. Civ. Struct. Health Monit. 2024, 14, 591–613. [Google Scholar] [CrossRef]
- He, T.; Wang, W.; He, B.G.; Chen, J. Review on Optical Fiber Sensors for Hazardous-Gas Monitoring in Mines and Tunnels. IEEE Trans. Instrum. Meas. 2023, 72, 1–22. [Google Scholar] [CrossRef]
- Zhang, X.; Zhu, H.; Jiang, X.; Broere, W. Distributed Fiber Optic Sensors for Tunnel Monitoring: A State-of-the-Art Review. J. Rock Mech. Geotech. Eng. 2024, 16, 3841–3863. [Google Scholar] [CrossRef]
- Zhou, J.; Xiao, H.; Jiang, W.; Bai, W.; Liu, G. Automatic Subway Tunnel Displacement Monitoring Using Robotic Total Station. Meas. J. Int. Meas. Confed. 2020, 151, 107251. [Google Scholar] [CrossRef]
- Attard, L.; Debono, C.J.; Valentino, G.; Di Castro, M. Tunnel Inspection Using Photogrammetric Techniques and Image Processing: A Review. ISPRS J. Photogramm. Remote Sens. 2018, 144, 180–188. [Google Scholar] [CrossRef]
- Chen, J.; Zhang, D.; Huang, H.; Shadabfar, M.; Zhou, M.; Yang, T. Image-Based Segmentation and Quantification of Weak Interlayers in Rock Tunnel Face via Deep Learning. Autom. Constr. 2020, 120, 103371. [Google Scholar] [CrossRef]
- Soilán, M.; Sánchez-Rodríguez, A.; Del Río-Barral, P.; Perez-Collazo, C.; Arias, P.; Riveiro, B. Review of Laser Scanning Technologies and Their Applications for Road and Railway Infrastructure Monitoring. Infrastructures 2019, 4, 58. [Google Scholar] [CrossRef]
- Liu, C.; Liu, Y.; Chen, Y.; Zhao, C.; Qiu, J.; Wu, D.; Liu, T.; Fan, H.; Qin, Y.; Tang, K. A State-of-the-Practice Review of Three-Dimensional Laser Scanning Technology for Tunnel Distress Monitoring. J. Perform. Constr. Facil. 2023, 37, 03123001. [Google Scholar] [CrossRef]
- Ding, X.; Chen, S.; Duan, M.; Shan, J.; Liu, C.; Hu, C. Towards 3D Reconstruction of Multi-Shaped Tunnels Utilizing Mobile Laser Scanning Data. Remote Sens. 2024, 16, 4329. [Google Scholar] [CrossRef]
- Shen, N.; Wang, B.; Ma, H.; Zhao, X.; Zhou, Y.; Zhang, Z.; Xu, J. A Review of Terrestrial Laser Scanning (TLS)-Based Technologies for Deformation Monitoring in Engineering. Meas. J. Int. Meas. Confed. 2023, 223, 113684. [Google Scholar] [CrossRef]
- Wang, Z.; Xu, X.; He, X.; Wei, X.; Yang, H. A Method for Convergent Deformation Analysis of a Shield Tunnel Incorporating B-Spline Fitting and ICP Alignment. Remote Sens. 2023, 15, 5112. [Google Scholar] [CrossRef]
- Argüelles-Fraga, R.; Ordóñez, C.; García-Cortés, S.; Roca-Pardiñas, J. Measurement Planning for Circular Cross-Section Tunnels Using Terrestrial Laser Scanning. Autom. Constr. 2013, 31, 1–9. [Google Scholar] [CrossRef]
- Han, J.Y.; Guo, J.; Jiang, Y.S. Monitoring Tunnel Deformations by Means of Multi-Epoch Dispersed 3D LiDAR Point Clouds: An Improved Approach. Tunn. Undergr. Sp. Technol. 2013, 38, 385–389. [Google Scholar] [CrossRef]
- Han, J.Y.; Guo, J.; Jiang, Y.S. Monitoring Tunnel Profile by Means of Multi-Epoch Dispersed 3-D LiDAR Point Clouds. Tunn. Undergr. Sp. Technol. 2013, 33, 186–192. [Google Scholar] [CrossRef]
- Xie, X.; Lu, X. Development of a 3D Modeling Algorithm for Tunnel Deformation Monitoring Based on Terrestrial Laser Scanning. Undergr. Sp. 2017, 2, 16–29. [Google Scholar] [CrossRef]
- Shi, B.; Yang, M.; Liu, J.; Han, B.; Zhao, K. Rail Transit Shield Tunnel Deformation Detection Method Based on Cloth Simulation Filtering with Point Cloud Cylindrical Projection. Tunn. Undergr. Sp. Technol. 2023, 135, 105031. [Google Scholar] [CrossRef]
- Li, Y.; Xiao, Z.; Li, J.; Shen, T. Integrating Vision and Laser Point Cloud Data for Shield Tunnel Digital Twin Modeling. Autom. Constr. 2024, 157, 105180. [Google Scholar] [CrossRef]
- Xu, Y.; Tong, X.; Stilla, U. Voxel-Based Representation of 3D Point Clouds: Methods, Applications, and Its Potential Use in the Construction Industry. Autom. Constr. 2021, 126, 103675. [Google Scholar] [CrossRef]
- Han, S. Towards Efficient Implementation of an Octree for a Large 3D Point Cloud. Sensors 2018, 18, 4398. [Google Scholar] [CrossRef] [PubMed]
- Van Oosterom, P.; Martinez-Rubi, O.; Ivanova, M.; Horhammer, M.; Geringer, D.; Ravada, S.; Tijssen, T.; Kodde, M.; Gonçalves, R. Massive Point Cloud Data Management: Design, Implementation and Execution of a Point Cloud Benchmark. Comput. Graph. 2015, 49, 92–125. [Google Scholar] [CrossRef]
- Bentley, J.L. Multidimensional Binary Search Trees Used for Associative Searching. Commun. ACM 1975, 18, 509–517. [Google Scholar] [CrossRef]
- Guttman, A. R-Trees: A Dynamic Index Structure for Spatial Searching. Proc. ACM SIGMOD Int. Conf. Manag. Data 1984, 14, 47–57. [Google Scholar] [CrossRef]
- Samet, H. The Quadtree and Related Hierarchical Data Structures. ACM Comput. Surv. 1984, 16, 187–260. [Google Scholar] [CrossRef]
- Meagher, D. Geometric Modeling Using Octree Encoding. Comput. Graph. Image Process. 1982, 19, 129–147. [Google Scholar] [CrossRef]
- Elseberg, J.; Borrmann, D.; Nüchter, A. One Billion Points in the Cloud—An Octree for Efficient Processing of 3D Laser Scans. ISPRS J. Photogramm. Remote Sens. 2013, 76, 76–88. [Google Scholar] [CrossRef]
- Richter, R.; Döllner, J. Concepts and Techniques for Integration, Analysis and Visualization of Massive 3D Point Clouds. Comput. Environ. Urban Syst. 2014, 45, 114–124. [Google Scholar] [CrossRef]
- Schütz, M.; Ohrhallinger, S.; Wimmer, M. Fast Out-of-Core Octree Generation for Massive Point Clouds. Comput. Graph. Forum 2020, 39, 155–167. [Google Scholar] [CrossRef]
- Dzik, S.; Ezrielev, J. Representing Surfaces with Voxels. Comput. Graph. 1992, 16, 295–301. [Google Scholar] [CrossRef]
- Sun, W.; Wang, J.; Jin, F.; Li, Y.; Yang, Y. An Adaptive Cross-Section Extraction Algorithm for Deformation Analysis. Tunn. Undergr. Sp. Technol. 2022, 121, 104332. [Google Scholar] [CrossRef]
- Zhou, Y.; Dong, Z.; Tong, P.; Yang, B. Evaluation of Tunnel Excavation Combining Terrestrial Laser Scanning Point Clouds and Design Models. Int. Arch. Photogramm. Remote Sens. Spat. Inf. Sci.—ISPRS Arch. 2021, 43, 271–276. [Google Scholar] [CrossRef]
- Edelsbrunner, H. Alpha Shapes—A Survey. In Tessellations in the Sciences: Virtues, Techniques and Applications of Geometric Tilings; Springer: Berlin/Heidelberg, Germany, 2011; pp. 1–25. [Google Scholar]
- Behley, J.; Steinhage, V.; Cremers, A.B. Efficient Radius Neighbor Search in Three-Dimensional Point Clouds. Proc.—IEEE Int. Conf. Robot. Autom. 2015, 2015, 3625–3630. [Google Scholar] [CrossRef]
- Vinkler, M.; Bittner, J.; Havran, V. Extended Morton Codes for High Performance Bounding Volume Hierarchy Construction. In Proceedings of the HPG ‘17: High-Performance Graphics, Los Angeles, CA, USA, 28–30 July 2017. [Google Scholar] [CrossRef]
- Qi, C.R.; Yi, L.; Su, H.; Guibas, L.J. PointNet++: Deep Hierarchical Feature Learning on Point Sets in a Metric Space. Adv. Neural Inf. Process. Syst. 2017, 2017, 5100–5109. [Google Scholar]
- Mirzaei, K.; Arashpour, M.; Asadi, E.; Masoumi, H.; Bai, Y.; Behnood, A. 3D Point Cloud Data Processing with Machine Learning for Construction and Infrastructure Applications: A Comprehensive Review. Adv. Eng. Inform. 2022, 51, 101501. [Google Scholar] [CrossRef]
- Ji, A.; Zhang, L.; Fan, H.; Xue, X.; Dou, Y. Dual Attention-Based Deep Learning Network for Multi-Class Object Semantic Segmentation of Tunnel Point Clouds. Autom. Constr. 2023, 156, 105131. [Google Scholar] [CrossRef]
- Wang, N.; Ma, D.; Du, X.; Li, B.; Di, D.; Pang, G.; Duan, Y. An Automatic Defect Classification and Segmentation Method on Three-Dimensional Point Clouds for Sewer Pipes. Tunn. Undergr. Sp. Technol. 2024, 143, 105480. [Google Scholar] [CrossRef]























| Dataset | Points | File Size | Color | Scenario | Scanning Mode |
|---|---|---|---|---|---|
| DS1 | 6.92 M | 0.22 GB | Y | Outdoor test site | ALS |
| DS2 | 61.57 M | 1.94 GB | Y | Outdoor test site | ALS |
| DS3 | 151.33 M | 2.65 GB | N | Tunnel | TLS |
| DS4 | 742.78 M | 13.8 GB | N | Tunnel | TLS |
| DS5 | 1512.50 M | 28.1 GB | N | Tunnel | TLS |
| DS1 | DS2 | DS3 | DS4 | DS5 | ||
|---|---|---|---|---|---|---|
| PCL-based | Time/s | 1.12 | 8.46 | 11.84 | 88.35 | - |
| Memory/GB | 0.26 | 2.17 | 5.14 | 24.68 | - | |
| CC-based | Time/s | 2.93 | 16.94 | 23.90 | 153.28 | - |
| Memory/GB | 0.61 | 3.68 | 5.88 | 24.5 | - | |
| Index-based | Time/s | 0.81 | 7.34 | 11.12 | 60.06 | - |
| Memory/GB | 0.24 | 2.07 | 4.78 | 24.91 | - | |
| PotreeConverter | Time/s | 3.031 | 19.394 | 18.434 | 103.756 | 236.416 |
| Memory/GB | 0.9 | 2.9 | 3.5 | 4.4 | 4.7 | |
| MOGM | Time/s | 2.81 | 19.124 | 24.393 | 129.233 | 277.789 |
| Memory/GB | 1.22 | 2.78 | 2.78 | 2.78 | 2.78 | |
| Stage | Result Explanation | |
|---|---|---|
| Projection and down-sampling | Time/s | 48~53 |
| Boundary points identification | Method | Alpha shape |
| Time/s | 0.44 | |
| Number of points | 2922 | |
| Boundary fitting | Method | Hough transform-based |
| Time/s | 0.009 | |
| Fitting results | y1 = −2.21475x − 8.87328 y2 = −2.21475x + 4.88073 | |
| Method | RANSAC | |
| Time/s | 0.029 | |
| Fitting results | y1 = −2.18923x − 6.77921 y2 = −2.15222x + 5.79007 | |
Disclaimer/Publisher’s Note: The statements, opinions and data contained in all publications are solely those of the individual author(s) and contributor(s) and not of MDPI and/or the editor(s). MDPI and/or the editor(s) disclaim responsibility for any injury to people or property resulting from any ideas, methods, instructions or products referred to in the content. |
© 2025 by the authors. Licensee MDPI, Basel, Switzerland. This article is an open access article distributed under the terms and conditions of the Creative Commons Attribution (CC BY) license (https://creativecommons.org/licenses/by/4.0/).
Share and Cite
Zhang, H.; Yang, Q.; Liu, Q.; Jin, Y.; Ma, G.; Meng, X. An Axial-Oriented Dual-Layer Indexing Structure for Tunnel Point Clouds. Remote Sens. 2025, 17, 133. https://doi.org/10.3390/rs17010133
Zhang H, Yang Q, Liu Q, Jin Y, Ma G, Meng X. An Axial-Oriented Dual-Layer Indexing Structure for Tunnel Point Clouds. Remote Sensing. 2025; 17(1):133. https://doi.org/10.3390/rs17010133
Chicago/Turabian StyleZhang, Hongyang, Qigui Yang, Quan Liu, Yinlong Jin, Gang Ma, and Xin Meng. 2025. "An Axial-Oriented Dual-Layer Indexing Structure for Tunnel Point Clouds" Remote Sensing 17, no. 1: 133. https://doi.org/10.3390/rs17010133
APA StyleZhang, H., Yang, Q., Liu, Q., Jin, Y., Ma, G., & Meng, X. (2025). An Axial-Oriented Dual-Layer Indexing Structure for Tunnel Point Clouds. Remote Sensing, 17(1), 133. https://doi.org/10.3390/rs17010133

