Seasonal Monitoring Method for TN and TP Based on Airborne Hyperspectral Remote Sensing Images
Abstract
1. Introduction
2. Data and Methods
2.1. Study Area
2.2. Research Data
2.2.1. Concentration Data
2.2.2. Reflectance Spectral Data
2.2.3. Airborne Hyperspectral Remote Sensing Data
2.3. Research Methodology
2.3.1. Ensemble Learning Methodology
AdaBoost
CatBoost
Random Forest
XGBoost
2.3.2. Segmented Modelling
2.3.3. Accuracy Assessment
3. Results
3.1. ML Feature Selection
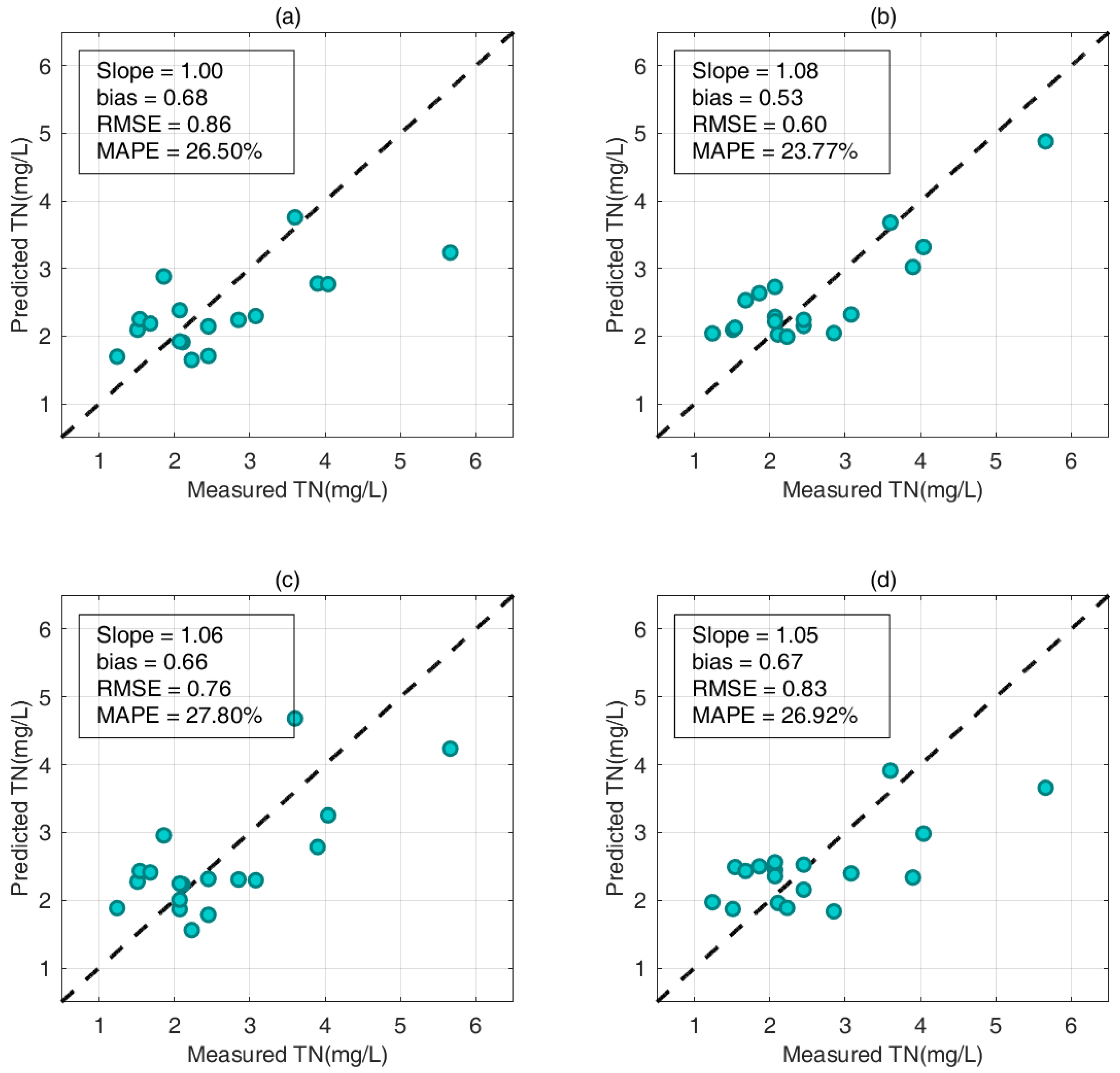
3.2. Performance of Ensemble Learning Algorithms
3.3. Results of UAV Inversion
4. Discussion
4.1. Performance of Segmented Models
4.2. Analysis of UAV Inversion Results
4.3. Strengths and Limitations
5. Conclusions
Author Contributions
Funding
Data Availability Statement
Acknowledgments
Conflicts of Interest
Appendix A


References
- Sagan, V.; Peterson, K.T.; Maimaitijiang, M.; Sidike, P.; Sloan, J.; Greeling, B.A.; Maalouf, S.; Adams, C. Monitoring inland water quality using remote sensing: Potential and limitations of spectral indices, bio-optical simulations, machine learning, and cloud computing. Earth-Sci. Rev. 2020, 205, 103187. [Google Scholar] [CrossRef]
- Wang, J.; Shi, T.; Yu, D.; Teng, D.; Ge, X.; Zhang, Z.; Yang, X.; Wang, H.; Wu, G. Ensemble machine-learning-based framework for estimating total nitrogen concentration in water using drone-borne hyperspectral imagery of emergent plants: A case study in an arid oasis, NW China. Environ. Pollut. 2020, 266, 115412. [Google Scholar] [CrossRef] [PubMed]
- Jang, W.; Kim, J.; Kim, J.H.; Shin, J.; Chon, K.; Kang, E.T.; Park, Y.; Kim, S. Evaluation of Sentinel-2 Based Chlorophyll-a Estimation in a Small-Scale Reservoir: Assessing Accuracy and Availability. Remote Sens. 2024, 16, 315. [Google Scholar] [CrossRef]
- Husk, B.; Julian, P.; Simon, D.; Tromas, N.; Phan, D.; Painter, K.; Baulch, H.; Sauve, S. Improving water quality in a hypereutrophic lake and tributary through agricultural nutrient mitigation: A Multi-year monitoring analysis. J. Environ. Manag. 2024, 354, 120411. [Google Scholar] [CrossRef]
- Guo, H.; Huang, J.J.; Chen, B.; Guo, X.; Singh, V.P. A machine learning-based strategy for estimating non-optically active water quality parameters using Sentinel-2 imagery. Int. J. Remote Sens. 2021, 42, 1841–1866. [Google Scholar] [CrossRef]
- Sun, X.; Zhang, Y.; Shi, K.; Zhang, Y.; Li, N.; Wang, W.; Huang, X.; Qin, B. Monitoring water quality using proximal remote sensing technology. Sci. Total Environ. 2022, 803, 149805. [Google Scholar] [CrossRef]
- Cao, F.; Tzortziou, M.; Hu, C.; Mannino, A.; Fichot, C.G.; Del Vecchio, R.; Najjar, R.G.; Novak, M. Remote sensing retrievals of colored dissolved organic matter and dissolved organic carbon dynamics in North American estuaries and their margins. Remote Sens. Environ. 2018, 205, 151–165. [Google Scholar] [CrossRef]
- Qun’Ou, J.; Lidan, X.; Siyang, S.; Meilin, W.; Huijie, X. Retrieval model for total nitrogen concentration based on UAV hyper spectral remote sensing data and machine learning algorithms—A case study in the Miyun Reservoir, China. Ecol. Indic. 2021, 124, 107356. [Google Scholar] [CrossRef]
- Deng, C.; Zhang, L.; Cen, Y. Retrieval of Chemical Oxygen Demand through Modified Capsule Network Based on Hyperspectral Data. Appl. Sci. 2019, 9, 4620. [Google Scholar] [CrossRef]
- Yan, Y.; Wang, Y.; Yu, C.; Zhang, Z. Multispectral Remote Sensing for Estimating Water Quality Parameters: A Comparative Study of Inversion Methods Using Unmanned Aerial Vehicles (UAVs). Sustainability 2023, 15, 10298. [Google Scholar] [CrossRef]
- Dube, T.; Mutanga, O.; Seutloali, K.; Adelabu, S.; Shoko, C. Water quality monitoring in sub-Saharan African lakes: A review of remote sensing applications. Afr. J. Aquat. Sci. 2015, 40, 1–7. [Google Scholar] [CrossRef]
- Wasehun, E.T.; Beni, L.H.; Di Vittorio, C.A. UAV and satellite remote sensing for inland water quality assessments: A literature review. Environ. Monit. Assess. 2024, 196, 277. [Google Scholar] [CrossRef]
- Li, Y.; Fu, Y.; Lang, Z.; Cai, F. A High-Frequency and Real-Time Ground Remote Sensing System for Obtaining Water Quality Based on a Micro Hyper-Spectrometer. Sensors 2024, 24, 1833. [Google Scholar] [CrossRef]
- Zhong, Y.; Wang, X.; Xu, Y.; Wang, S.; Jia, T.; Hu, X.; Zhao, J.; Wei, L.; Zhang, L. Mini-UAV-Borne Hyperspectral Remote Sensing: From observation and processing to applications. IEEE Geosci. Remote Sens. Mag. 2018, 6, 46–62. [Google Scholar] [CrossRef]
- Su, T. A study of a matching pixel by pixel (MPP) algorithm to establish an empirical model of water quality mapping, as based on unmanned aerial vehicle (UAV) images. Int. J. Appl. Earth Obs. Geoinf. 2017, 58, 213–224. [Google Scholar] [CrossRef]
- Matese, A.; Toscano, P.; Di Gennaro, S.; Genesio, L.; Vaccari, F.; Primicerio, J.; Belli, C.; Zaldei, A.; Bianconi, R.; Gioli, B. Intercomparison of UAV, Aircraft and Satellite Remote Sensing Platforms for Precision Viticulture. Remote Sens. 2015, 7, 2971–2990. [Google Scholar] [CrossRef]
- Lannergård, E.E.; Ledesma, J.L.J.; Fölster, J.; Futter, M.N. An evaluation of high frequency turbidity as a proxy for riverine total phosphorus concentrations. Sci. Total Environ. 2019, 651, 103–113. [Google Scholar] [CrossRef]
- Li, Y.; Zhang, Y.; Shi, K.; Zhu, G.; Zhou, Y.; Zhang, Y.; Guo, Y. Monitoring spatiotemporal variations in nutrients in a large drinking water reservoir and their relationships with hydrological and meteorological conditions based on Landsat 8 imagery. Sci. Total Environ. 2017, 599–600, 1705–1717. [Google Scholar] [CrossRef]
- Chen, J.; de Hoogh, K.; Gulliver, J.; Hoffmann, B.; Hertel, O.; Ketzel, M.; Bauwelinck, M.; van Donkelaar, A.; Hvidtfeldt, U.A.; Katsouyanni, K.; et al. A comparison of linear regression, regularization, and machine learning algorithms to develop Europe-wide spatial models of fine particles and nitrogen dioxide. Environ. Int. 2019, 130, 104934. [Google Scholar] [CrossRef]
- Verrelst, J.; Muñoz, J.; Alonso, L.; Delegido, J.; Rivera, J.P.; Camps-Valls, G.; Moreno, J. Machine learning regression algorithms for biophysical parameter retrieval: Opportunities for Sentinel-2 and -3. Remote Sens. Environ. 2012, 118, 127–139. [Google Scholar] [CrossRef]
- Li, N.; Ning, Z.; Chen, M.; Wu, D.; Hao, C.; Zhang, D.; Bai, R.; Liu, H.; Chen, X.; Li, W.; et al. Satellite and Machine Learning Monitoring of Optically Inactive Water Quality Variability in a Tropical River. Remote Sens. 2022, 14, 5466. [Google Scholar] [CrossRef]
- Harrison, J.W.; Lucius, M.A.; Farrell, J.L.; Eichler, L.W.; Relyea, R.A. Prediction of stream nitrogen and phosphorus concentrations from high-frequency sensors using Random Forests Regression. Sci. Total Environ. 2021, 763, 143005. [Google Scholar] [CrossRef] [PubMed]
- Dong, L.; Gong, C.; Huai, H.; Wu, E.; Lu, Z.; Hu, Y.; Li, L.; Yang, Z. Retrieval of Water Quality Parameters in Dianshan Lake Based on Sentinel-2 MSI Imagery and Machine Learning: Algorithm Evaluation and Spatiotemporal Change Research. Remote Sens. 2023, 15, 5001. [Google Scholar] [CrossRef]
- Cao, Z.; Ma, R.; Liu, M.; Duan, H.; Xiao, Q.; Xue, K.; Shen, M. Harmonized Chlorophyll-a Retrievals in Inland Lakes from Landsat-8/9 and Sentinel 2A/B Virtual Constellation through Machine Learning. IEEE Trans. Geosci. Remote Sens. 2022, 60, 4209916. [Google Scholar] [CrossRef]
- Liang, Y.; Yin, F.; Xie, D.; Liu, L.; Zhang, Y.; Ashraf, T. Inversion and Monitoring of the TP Concentration in Taihu Lake Using the Landsat-8 and Sentinel-2 Images. Remote Sens. 2022, 14, 6284. [Google Scholar] [CrossRef]
- Liu, D.; Yu, S.; Cao, Z.; Qi, T.; Duan, H. Process-oriented estimation of column-integrated algal biomass in eutrophic lakes by MODIS/Aqua. Int. J. Appl. Earth Obs. Geoinf. 2021, 99, 102321. [Google Scholar] [CrossRef]
- Wang, J.; Zhang, Y.; Yang, F.; Cao, X.; Bai, Z.; Zhu, J.; Chen, E.; Li, Y.; Ran, Y. Spatial and temporal variations of chlorophyll-a concentration from 2009 to 2012 in Poyang Lake, China. Environ. Earth Sci. 2015, 73, 4063–4075. [Google Scholar] [CrossRef]
- Lai, Y.; Zhang, J.; Song, Y.; Gong, Z. Retrieval and Evaluation of Chlorophyll-a Concentration in Reservoirs with Main Water Supply Function in Beijing, China, Based on Landsat Satellite Images. Int. J. Environ. Res. Public Health 2021, 18, 4419. [Google Scholar] [CrossRef] [PubMed]
- Jarvie, H.P.; Withers, P.; Neal, C. Review of robust measurement of phosphorus in river water: Sampling, storage, fractionation and sensitivity. Hydrol. Earth Syst. Sci. 2002, 6, 113–131. [Google Scholar] [CrossRef]
- Mobley, C.D. Estimation of the remote-sensing reflectance from above-surface measurements. Appl. Opt. 1999, 38, 7442–7455. [Google Scholar] [CrossRef]
- Wang, Y.M.; Jia, J.X.; He, Z.P.; Wang, J.Y. Key technologies of advanced hyperspectral imaging system. J. Remote Sens. 2016, 20, 850–857. [Google Scholar]
- McFeeters, S.K. The use of the normalized difference water index (NDWI) in the delineation of open water features. Int. J. Remote Sens. 1996, 17, 1425–1432. [Google Scholar] [CrossRef]
- Wu, T.; Zhang, W.; Jiao, X.; Guo, W.; Hamoud, Y.A. Comparison of five Boosting-based models for estimating daily reference evapotranspiration with limited meteorological variables. PLoS ONE 2020, 15, e235324. [Google Scholar] [CrossRef] [PubMed]
- Ullah, B.; Fawad, M.; Khan, A.U.; Mohamand, S.K.; Khan, M.; Iqbal, M.J.; Khan, J. Futuristic Streamflow Prediction Based on CMIP6 Scenarios Using Machine Learning Models. Water Resour. Manag. 2023, 37, 6089–6106. [Google Scholar] [CrossRef]
- Zhang, Y.; Zhao, Z.; Zheng, J. CatBoost: A new approach for estimating daily reference crop evapotranspiration in arid and semi-arid regions of Northern China. J. Hydrol. 2020, 588, 125087. [Google Scholar] [CrossRef]
- Huang, G.; Wu, L.; Ma, X.; Zhang, W.; Fan, J.; Yu, X.; Zeng, W.; Zhou, H. Evaluation of CatBoost method for prediction of reference evapotranspiration in humid regions. J. Hydrol. 2019, 574, 1029–1041. [Google Scholar] [CrossRef]
- Cui, H.; Tao, Y.; Li, J.; Zhang, J.; Xiao, H.; Milne, R. Predicting and analyzing the algal population dynamics of a grass-type lake with explainable machine learning. J. Environ. Manag. 2024, 354, 120394. [Google Scholar] [CrossRef] [PubMed]
- Nasir, N.; Kansal, A.; Alshaltone, O.; Barneih, F.; Sameer, M.; Shanableh, A.; Al-Shamma’A, A. Water quality classification using machine learning algorithms. J. Water Process. Eng. 2022, 48, 102920. [Google Scholar] [CrossRef]
- Yuan, X.; Wang, S.; Fan, F.; Dong, Y.; Li, Y.; Lin, W.; Zhou, C. Spatiotemporal dynamics and anthropologically dominated drivers of chlorophyll-a, TN and TP concentrations in the Pearl River Estuary based on retrieval algorithm and random forest regression. Environ. Res. 2022, 215, 114380. [Google Scholar] [CrossRef]
- Svetnik, V.; Liaw, A.; Tong, C.; Culberson, J.C.; Sheridan, R.P.; Feuston, B.P. Random forest: A classification and regression tool for compound classification and QSAR modeling. J. Chem. Inf. Comput. Sci. 2003, 43, 1947–1958. [Google Scholar] [CrossRef]
- Cao, Z.; Ma, R.; Duan, H.; Pahlevan, N.; Melack, J.; Shen, M.; Xue, K. A machine learning approach to estimate chlorophyll-a from Landsat-8 measurements in inland lakes. Remote Sens. Environ. 2020, 248, 111974. [Google Scholar] [CrossRef]
- Tian, S.; Guo, H.; Xu, W.; Zhu, X.; Wang, B.; Zeng, Q.; Mai, Y.; Huang, J.J. Remote sensing retrieval of inland water quality parameters using Sentinel-2 and multiple machine learning algorithms. Environ. Sci. Pollut. Res. 2023, 30, 18617–18630. [Google Scholar] [CrossRef] [PubMed]
- Khoi, D.N.; Quan, N.T.; Linh, D.Q.; Nhi, P.T.T.; Thuy, N.T.D. Using Machine Learning Models for Predicting the Water Quality Index in the La Buong River, Vietnam. Water 2022, 14, 1552. [Google Scholar] [CrossRef]
- Yang, Z.; Gong, C.; Ji, T.; Hu, Y.; Li, L. Water Quality Retrieval from ZY1-02D Hyperspectral Imagery in Urban Water Bodies and Comparison with Sentinel-2. Remote Sens. 2022, 14, 5029. [Google Scholar] [CrossRef]
- Hu, W.; Liu, J.; Wang, H.; Miao, D.; Shao, D.; Gu, W. Retrieval of TP Concentration from UAV Multispectral Images Using IOA-ML Models in Small Inland Waterbodies. Remote Sens. 2023, 15, 1250. [Google Scholar] [CrossRef]
- Li, J.; Wang, J.; Wu, Y.; Cui, Y.; Yan, S. Remote sensing monitoring of total nitrogen and total phosphorus concentrations in the water around Chaohu Lake based on geographical division. Front. Environ. Sci. 2022, 10, 1014155. [Google Scholar] [CrossRef]
- Namsaraev, Z.; Melnikova, A.; Komova, A.; Ivanov, V.; Rudenko, A.; Ivanov, E. Algal Bloom Occurrence and Effects in Russia. Water 2020, 12, 285. [Google Scholar] [CrossRef]
- Li, H.; Song, C.; Cao, X.; Zhou, Y. The phosphorus release pathways and their mechanisms driven by organic carbon and nitrogen in sediments of eutrophic shallow lakes. Sci. Total Environ. 2016, 572, 280–288. [Google Scholar] [CrossRef] [PubMed]
- Zhang, Y.; He, X.; Lian, G.; Bai, Y.; Yang, Y.; Gong, F.; Wang, D.; Zhang, Z.; Li, T.; Jin, X. Monitoring and spatial traceability of river water quality using Sentinel-2 satellite images. Sci. Total Environ. 2023, 894, 164862. [Google Scholar] [CrossRef]
- Peters, N.E.; Meybeck, M. Water quality degradation effects on freshwater availability: Impacts to human activities. Water Int. 2000, 25, 185–193. [Google Scholar] [CrossRef]
- Shen, M.; Luo, J.; Cao, Z.; Xue, K.; Qi, T.; Ma, J.; Liu, D.; Song, K.; Feng, L.; Duan, H. Random forest: An optimal chlorophyll-a algorithm for optically complex inland water suffering atmospheric correction uncertainties. J. Hydrol. 2022, 615, 128685. [Google Scholar] [CrossRef]
- Chen, B.; Mu, X.; Chen, P.; Wang, B.; Choi, J.; Park, H.; Xu, S.; Wu, Y.; Yang, H. Machine learning-based inversion of water quality parameters in typical reach of the urban river by UAV multispectral data. Ecol. Indic. 2021, 133, 108434. [Google Scholar] [CrossRef]
- Gong, Z.; Zhong, P.; Yu, Y.; Hu, W.; Li, S. A CNN With Multiscale Convolution and Diversified Metric for Hyperspectral Image Classification. IEEE Trans. Geosci. Remote Sens. 2019, 57, 3599–3618. [Google Scholar] [CrossRef]










| Dataset | Range (mg/L) | Mean ± Std (mg/L) | CV | N |
|---|---|---|---|---|
| Dataset 0 (TN) | 0.72–6.55 | 2.64 ± 1.13 | 0.43 | 195 |
| Dataset 1 (TN) | 0.72–5.66 | 2.51 ± 1.01 | 0.40 | 95 |
| Dataset 2 (TN) | 1.14–6.55 | 2.77 ± 1.23 | 0.45 | 100 |
| Dataset 0 (TP) | 0.041–0.664 | 0.163 ± 0.081 | 0.494 | 195 |
| Dataset 1 (TP) | 0.050–0.400 | 0.162 ± 0.066 | 0.409 | 95 |
| Dataset 2 (TP) | 0.041–0.664 | 0.164 ± 0.093 | 0.563 | 100 |
| Name | Indicator Parameters |
|---|---|
| Band | 0.4~0.95 μm |
| Number of Spectral Bands | ≥256 |
| Spectral Resolution (nm) | ≤5 |
| Spatial Resolution (m) | 0.75 m |
| TN | TP | ||
|---|---|---|---|
| Spring and Winter | Summer and Autumn | Spring and Winter | Summer and Autumn |
| B(1) | B(1) | B(1) | B(1) |
| B(15) | B(21) | B(15) | B(21) |
| B(54) | B(47) | B(69) | B(46) |
| B(78) | B(84) | B(79) | B(86) |
| B(102) | B(103) | B(106) | B(107) |
| B(138) | B(135) | B(136) | B(135) |
| B(117)–B(118) | B(111)–B(121) | B(121)–B(145) | B(106) − B(14) |
| B(115)–B(118) | B(5)/B(6) | B(105)/B(59) | (B(85) − B(80))/(B(85) + B(80)) |
| B(118)/B(124) | B(111)–B(120) | B(122)–B(145) | B(105) − B(14) |
| B(114)–B(119) | B(84)/B(78) | B(105)/B(58) | B(85)/B(80) |
| Parameters | Model | R2 | RMSE | MAPE (%) | Bias | Slope |
|---|---|---|---|---|---|---|
| TN (mg/L) | AdaBoost | 0.42 | 0.94 | 29.49 | 0.69 | 1.08 |
| Catboost | 0.89 | 0.52 | 14.97 | 0.36 | 1.03 | |
| RF | 0.53 | 0.86 | 28.52 | 0.66 | 1.08 | |
| XGBoost | 0.76 | 0.67 | 21.9 | 0.50 | 1.08 | |
| TP (mg/L) | AdaBoost | 0.42 | 0.063 | 38.41 | 0.049 | 1.24 |
| Catboost | 0.81 | 0.041 | 21.88 | 0.030 | 1.09 | |
| RF | 0.46 | 0.061 | 31.61 | 0.044 | 1.11 | |
| XGBoost | 0.57 | 0.056 | 26.62 | 0.038 | 1.13 |
Disclaimer/Publisher’s Note: The statements, opinions and data contained in all publications are solely those of the individual author(s) and contributor(s) and not of MDPI and/or the editor(s). MDPI and/or the editor(s) disclaim responsibility for any injury to people or property resulting from any ideas, methods, instructions or products referred to in the content. |
© 2024 by the authors. Licensee MDPI, Basel, Switzerland. This article is an open access article distributed under the terms and conditions of the Creative Commons Attribution (CC BY) license (https://creativecommons.org/licenses/by/4.0/).
Share and Cite
Dong, L.; Gong, C.; Wang, X.; Wang, Y.; He, D.; Hu, Y.; Li, L.; Yang, Z. Seasonal Monitoring Method for TN and TP Based on Airborne Hyperspectral Remote Sensing Images. Remote Sens. 2024, 16, 1614. https://doi.org/10.3390/rs16091614
Dong L, Gong C, Wang X, Wang Y, He D, Hu Y, Li L, Yang Z. Seasonal Monitoring Method for TN and TP Based on Airborne Hyperspectral Remote Sensing Images. Remote Sensing. 2024; 16(9):1614. https://doi.org/10.3390/rs16091614
Chicago/Turabian StyleDong, Lei, Cailan Gong, Xinhui Wang, Yang Wang, Daogang He, Yong Hu, Lan Li, and Zhe Yang. 2024. "Seasonal Monitoring Method for TN and TP Based on Airborne Hyperspectral Remote Sensing Images" Remote Sensing 16, no. 9: 1614. https://doi.org/10.3390/rs16091614
APA StyleDong, L., Gong, C., Wang, X., Wang, Y., He, D., Hu, Y., Li, L., & Yang, Z. (2024). Seasonal Monitoring Method for TN and TP Based on Airborne Hyperspectral Remote Sensing Images. Remote Sensing, 16(9), 1614. https://doi.org/10.3390/rs16091614

