Next Article in Journal
Ship Detection in Maritime Scenes under Adverse Weather Conditions
Previous Article in Journal
Investigating the Response of Vegetation to Flash Droughts by Using Cross-Spectral Analysis and an Evapotranspiration-Based Drought Index
 
 
Font Type:
Arial Georgia Verdana
Font Size:
Aa Aa Aa
Line Spacing:
Column Width:
Background:
Article

Integration of Sentinel-1 and Sentinel-2 Data for Ground Truth Sample Migration for Multi-Temporal Land Cover Mapping

by
Meysam Moharrami
1,
Sara Attarchi
1,*,
Richard Gloaguen
2 and
Seyed Kazem Alavipanah
1
1
Department of Remote Sensing and GIS, Faculty of Geography, University of Tehran, Tehran 1417853933, Iran
2
Helmholtz-Zentrum Dresden-Rossendorf (HZDR), Helmholtz Institute Freiberg for Resource Technology (HiF), 09599 Freiberg, Germany
*
Author to whom correspondence should be addressed.
Remote Sens. 2024, 16(9), 1566; https://doi.org/10.3390/rs16091566
Submission received: 21 March 2024 / Revised: 23 April 2024 / Accepted: 25 April 2024 / Published: 28 April 2024
(This article belongs to the Section Remote Sensing in Geology, Geomorphology and Hydrology)

Abstract

Reliable and up-to-date training reference samples are imperative for land cover (LC) classification. However, such training datasets are not always available in practice. The sample migration method has shown remarkable success in addressing this challenge in recent years. This work investigated the application of Sentinel-1 (S1) and Sentinel-2 (S2) data in training sample migration. In addition, the impact of various spectral bands and polarizations on the accuracy of the migrated training samples was also assessed. Subsequently, combined S1 and S2 images were classified using the Support Vector Machines (SVM) and Random Forest (RF) classifiers to produce annual LC maps from 2017 to 2021. The results showed a higher accuracy (98.25%) in training sample migrations using both images in comparison to using S1 (87.68%) and S2 (96.82%) data independently. Among the LC classes, the highest accuracy in migrated training samples was found for water, built-up, bare land, grassland, cropland, and wetland. Inquiries on the efficiency of different spectral bands and polarization used in training sample migration showed that bands 4 and 8 and VV polarization in the water class were more important, while for the wetland class, bands 5, 6, 7, 8, and 8A together with VV polarization showed superior performance. The results showed that the RF classifier provided better performance than the SVM (higher overall, producer, and user accuracy). Overall, our findings suggested that shared use of S1 and S2 data can be used as a suitable means for producing up-to-date and high-quality training samples.

Graphical Abstract

1. Introduction

Land cover (LC) mapping has drawn the attention of scholars, governments, and private organizations given its association with environmental change [1,2], food security [3,4], global warming [5,6], hydrology [7,8], and sustainable development [9,10]. One of the foremost assistive technologies in this regard is remote sensing (RS) data that enable the observation, classification, identification, and observation of LC at different spatial and temporal scales [11,12]. Since satellites are capable of recording data at precise intervals over vast geographic spans, they provide suitable sources for LC mapping [13] and change monitoring [14].
LC mapping is generally comprised of three main parts including satellite images, classification, and training (reference) samples; each of them can significantly impact the accuracy, costs, and required computing resources of the procedure [15]. To facilitate the process, recent developments in web-based cloud computing frameworks (e.g., Amazon Web Services, Microsoft Azure, and Google Earth Engine (GEE)) have granted accessibility to big RS data and further enhanced their processing [16,17]. GEE, for example, is a cloud-computing service that stores large volumes of RS images and allows its users free access to big data and data-processing algorithms, substantially solving the problem of insufficient data (satellite imagery) and further facilitating the advancement of image processing algorithms [18]. Nevertheless, the lack of high-quality and reliable reference samples hinders LC mapping [19]. Here, high-quality reference samples refer to data that have a high spatial consistency with the actual LC type in the target region [20]. Insufficient and unrepresentative data can highly influence the accuracy of any classification model and cause errors, regardless of the algorithm used [21].
Efforts were made to handle this insufficiency and outdatedness of data with the emergence of the First All-Season Sample Sets (FAST) and the Geo-Wiki training sets in the last few years. The FAST dataset includes over 90,000 training samples produced from very high-resolution Google Earth images from four different seasons of a year [22]. The Geo-Wiki dataset comprises over 150,000 samples from over 100 thousand locations on Earth assembled into an international data network [23]. Both datasets are considered an invaluable source of information at a specific place and time; however, they can hardly be generalized for classification of images captured at different places/times. For instance, the FAST dataset, which was primarily gathered in 2015, might not be useful for LC mapping in the years after or before 2015, given the changes in landscapes and LCs due to natural and human-oriented interventions [15]. Furthermore, Geo-Wiki is assembled based on visual interpretations by different experts, and therefore might be unsuitable to be scaled down to the regional or local scale or in different time intervals [24,25,26]. These reference samples were mainly prepared based on the visual interpretation of the interpreter and images with high spatial resolution (for example, Google Earth images). In addition, different spectral bands (i.e., red and near-infrared) were used less in the preparation of the publicly available samples [27].
The insufficiency of training reference samples is more pronounced when the target of analysis falls on regions with high spatial heterogeneity or extremely vast areas [16,28]. This lack of high-quality and reliable training data poses certain problems regarding the outdatedness of LC maps in different geographical regions [29]. In this manner, migrating training samples from a base time interval to another time(s) has been suggested by Huang et al. [15]. More specifically, high-quality training samples are migrated from a specific year (base time) to another year (target time) [30], which allows us to use the available high-quality training samples (e.g., land survey data, FAST, Geo-wiki) for LC classification at different times. To date, several studies have migrated training samples using optical data for LC mapping on global [15,31], regional [13,32], and local [30,33] scales. Given the limitations of optical images (i.e., limited availability of high-quality optical images for particular places such as cloud-prone areas), the process of reference sample migration may be impacted. RADAR images could possibly address this obstacle due to their availability in cloud-prone regions. It is widely reported that optical and RADAR images fusion can improve classification accuracy [34,35,36]. However, the feasibility of RADAR images in sample reference migration has not yet been fully investigated. Therefore, assessing the role of RADAR images in sample migration would be beneficial to RS communities. To this end, Sentinel-1 GRD data were selected for our investigation because they incorporate multi-looking and terrain correction. Additionally, prior studies reported the sufficiency of GRD data for accurate LC classification [37,38].
Qualified and updated training samples are prerequisites for the majority of change analyses using multi-temporal satellite images [33]. Additionally, training sample selection is a subjective task dependent on the interpreter [39]. Therefore, training sample migration can assist in addressing the shortage of top-quality training samples required for supervised classification models [15,32]. This technique can be employed to produce sufficient training samples for different LCs [15,39,40] and facilitate the updating of LC maps [30,31]. This study aims to investigate ground truth sample migration based on Sentinel-1 (S1) and Sentinel-2 (S2) data. Two specific objectives include: (1) assessing the performance of RADAR and optical images in reference sample migration; and (2) comprehensively assessing the impact of various spectral bands and RADAR polarizations on training sample migration accuracy.

2. Materials and Methods

2.1. Study Area

The case study area is part of Urmia Lake and its surroundings, an endangered ecosystem in northwestern Iran. It covers approximately 9539 km2, lies between 45°1′43″ and 46°5′3″E and 37°52′33″ and 38°48′49″N (Figure 1). The elevation varies from 798 to 3346 m. Although a variety of building types exist in the study area, low-rise buildings are predominant. Urmia Lake is the biggest inland lake in Iran, and is a habitat for various plant and animal species despite its salinity [41]. Since 2000, the lake’s water level and surface water areas have decreased dramatically [42]. Among the different consequences of Lake Urmia’s shrinkage, the occurrence of salt dust storms that endanger the lives of humans and animals [43] is a serious concern that may directly damage agriculture and livestock, resulting in significant property and life losses. The region was selected as the experiment site for two main reasons: (1) the study area is composed of various LC types (water, agricultural, etc.) at different elevations that make it an ideal choice for testing the designed methodology, and (2) it is vital to evaluate the LC changes in this area because the Lake is experiencing an environmental tragedy.

2.2. Methodology

The research methodology includes five general steps (Figure 2): (1) Input features preparation (i.e., S1 and S2 images acquisition and preprocessing); (2) Reference sample collection; (3) Reference sample migration framework adoption based on Spectral Angle Distance (SAD) and Euclidean Distance (ED) measures; (4) Satellite image classification using the migrated training samples; and (5) Accuracy assessment of classified images.

2.2.1. Generating Input Features

In this study, ESA’s S1 and S2 images (with less than 5% cloud coverage) dated from 2017 to 2021 were obtained to be used in the image classification task. S1 data were acquired in Ground Range Detected (GRD) format with 10 m spatial resolution. The Level-2A S2 images were also acquired, including 4, 6, and 3 spectral bands with spatial resolutions of 10, 20, and 60 m, respectively. Since different LCs (e.g., different vegetation classes) are more distinguishable during the growth season [15,44], all S1 and S2 images were acquired during growth seasons. It should be stressed that we tried to use images with a similar day of year (DOY) (Table 1); this will ensure relatively similar illumination and environmental conditions. The coincidence is of great importance in the spectral similarity comparison of training samples.
The preprocessing of the S1 and S2 images was conducted in SNAP 8 software. The preprocessing of S1 images included six steps: (1) Applying orbit file. (2) Removal of thermal noise that may distort image intensity values, particularly in cross-polarized images. This also leads to reflectance value normalization [45]. (3) Border noise removal. It eliminates invalid data and low-intensity noise from the scene’s edges. (4) Converting pixel values (intensity) to backscatter values (sigma0). The comparison of pixel ratios/values to backscatter ratios allows for the comparison of pixel values at different times in the same location [46]. (5) Reducing the speckle effect in S1 images using the Refined Lee filter through a 9 × 9 window size that preserves edges, texture information, point targets, and linear features in images [32,47]. (6) Last, using 30 m Shuttle Radar Topography Mission (SRTM) data, geometric errors and distortions in images were corrected. Following the classification system proposed by Ebrahimy et al. [48], since S2 images include both 10 and 20 m spectral bands, all 20 m resolution bands (5, 6, 7, 8A, 11, and 12) were resampled to 10 m using the nearest neighbor method. A co-registration method was finally conducted to adjust pixel values of S1 and S2 images. 500 ground control points (GCPs) were used for co-registration of S1 and S2 images. To this end, S2 images were used as the reference images and the S1 images were used as the sensed images. We employed a 2nd-order polynomial as a geometric transformation model and then reprojected the S1 and S2 images into the same coordinate system (WGS84/URM zone 38N). The accuracy of the co-registered images ranged between 0.39 and 0.78 pixels (see Appendix A).

2.2.2. Reference Sample Collection

According to the proposed classification system by the Food and Agriculture Organization (FAO), training samples were acquired in six different LC classes, namely, artificial parts and associated lands (hereafter simply built-up), semi-natural and natural aquatic or frequently flooded vegetation (hereafter simply wetland), barren areas (hereafter simply bare land), cultivated (rain-fed and irrigation) and managed terrestrial areas (hereafter simply cropland), semi-natural and natural terrestrial vegetation (hereafter simply grassland), and water, using very high spatial resolution satellite images available in Google Earth. The built-up class includes regions comprised of artificial covers (surfaces) as a result of anthropogenic interventions such as construction (e.g., cities and roads), excavations (e.g., mines and extractions), or waste disposal. Bare land refers to regions with no artificial surfaces and vegetative cover of less than 4% (e.g., rocky areas, sand dunes, and deserts). Cropland includes regions where natural vegetation cover has been replaced or removed by human-made vegetation, and therefore requires human intervention for long-term maintenance. Mostly, all vegetation cultivated for harvest falls under this class (e.g., wheat farms and gardens). The wetland class represents places between totally dry and aquatic systems in which the water table is near the earth’s surface or surfaces are submerged by shallow water such as swamplands or marshes. Vegetation in such regions changes periodically and is primarily composed of hydrophytes. The grassland class consists of natural and semi-natural vegetation, where semi-natural refers to vegetation not planted by humans but influenced by human activities, such as livestock grazing and deforestation. Finally, the water class represents regions completely covered by water bodies (e.g., rivers and lakes). High-quality reference samples for the six LC types were selected by two different methods, including fieldwork and visual interpretation of fine-resolution images. A total of 3200 high-quality reference samples for the year 2021 were acquired (Table 2).

2.2.3. Reference Sample Migration

To migrate the obtained high-quality samples from 2021 to other years (2020, 2019, 2018, and 2017), a sample migration workflow was adopted based on ED and SAD. Previous studies have indicated the suitability of these parameters for pixel similarity comparison between satellite images at different times [15,40,49]. Spectral vectors are composed of distance and direction for land surface bodies [39]. The ED measures the spectral distance (length) between two spectral vectors [45]. The ED between two pixels at different times can be used to measure the similarity between the two pixels; i.e., a smaller ED represents higher pixel similarity and vice versa, while an ED of zero indicates complete similarity of these two pixels [15]. ED (Formula (1)) represents the Euclidean distance between the target and reference spectra, measured as the square root of the sum of the squared differences of each spectral band. X i ( t 1 ) shows the reference spectrum of a training sample pixel at time t 1 , Y i ( t 2 ) represents the target spectrum for a training sample pixel at time t 2 , and i shows the spectral band index, ranging from 1 to N (number of bands). The SAD measure represents the direction of spectral changes between two spectral vectors. SAD measures the angle between two spectral vectors to represent the similarity between the mentioned vectors [50] and is not sensitive to illumination or shade and can therefore emphasize target spectra-shape characteristics [15]. SAD equals 1 in the case of complete similarity between two training sample pixels [39]. In Formula (2), θ is the spectral angle, X i ( t 1 ) is the reference training sample pixel at time t 1 , Y i ( t 2 )   is the target training sample pixel at time t 2 , and i shows the spectral band index from 1 to N (number of bands).
E D = i = 1 N X i t 1 Y i t 2 2
θ = cos 1 i = 1 N X i t 1 Y i t 2 i = 1 N X i t 1 2 i = 1 N Y i t 2 2 S A D = c o s ( θ )
The reference spectra for each reference sample pixel were extracted from the target images (S1 and S2). Then, the ED and SAD values were calculated between reference spectra (2021) and target spectra (2020, 2019, 2018, and 2017) for each reference sample pixel. The optimal threshold for identifying changed samples from non-changed ones was selected by trial and error. Averaging was also conducted in this study since average values are considered a major indicator of convergence of all training samples and have been successfully applied previously for thresholding [15,30].
The migrated training sample accuracy was assessed using the visual interpretation of fine-resolution images. Formula (3) was used to calculate the accuracy of migrated training samples. To this end, the migrated reference samples that were consistent with the actual LC type were considered truly labeled reference samples (Nr), while the remaining samples that were inconsistent with the actual LC type were considered false labeled samples (Nw).
A c c u r a c y = N r N r + N w

2.2.4. Image Classification

We used shallow machine learning algorithms instead of deep learning algorithms for image classification since our objective was to evaluate the migrated training samples. Support Vector Machines (SVM) and Random Forest (RF) are two well-known algorithms in image classification [51]. In this study, RF and SVM algorithms within GEE were used for LC classification.
The RF algorithm is an efficient non-parametric machine learning approach that has been broadly adopted in LC classification [52,53,54]. RF overcomes some limitations of parametric classifiers; it can handle high-dimensional and complex data as well as missing values in data [55]. It runs hundreds of iterations forming a forest of hundreds of classifiers, wherein each tree selects the target class based on a unique decision, and the final result of classification is chosen by consensus (majority) voting among determinant trees [56]. The number of trees (ntree) and variables (mtry) affect the performance of the RF algorithm [57]. Here, 100 decision trees were used for classification (based on trial and error and stability of the error rate). The square root of the number of features was also incorporated to represent the number of variables for the RF algorithm. SVM is a machine learning algorithm that is employed in the field of classification and regression [58]. SVM seeks to find a hyperplane that optimally splits two classes. Train datasets are used to select the best hyperplane, while test datasets are used to validate its generalization capabilities [59]. SVM has been successfully used in many LC classification studies [60,61,62]. Kernel function (Type) is the crucial parameter in the SVM algorithm. SVM kernel functions are generally classified into four clusters as follows: linear, polynomial, Radial Basis Functions (RBF), and sigmoid kernels [59]. However, RBF is mainly applied in the literature for LC classification and it has provided good performance [60,63]. Based on this, the RBF function was used in the SVM algorithm.

2.2.5. Assessment of Classified Images

Maps obtained from remote sensing data are often erroneous to a certain degree, and so classification accuracy assessment can identify such errors and determine the overall classification accuracy using validation samples [64]. The accuracy of generated LC maps in this study was assessed by three parameters: overall accuracy, producer accuracy, and user accuracy, all of which were calculated by the technique proposed by Olofsson et al. [65]. It is worth mentioning that seventy percent of the collected reference samples were dedicated to training the model, while the remaining thirty percent were dedicated to accuracy assessment. The proposed method by Olofsson et al. [65] enables us not only to determine the overall accuracy of the generated maps but also the accuracy of each individual class.

3. Results

3.1. Spectral Reflectance Features and Patterns throughout the Study Years

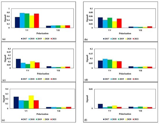
Twenty percent of training samples were randomly selected from each LC class and their reflectance and backscatter values were extracted for different years (Figure 3 and Figure 4). The spectral signature for the built-up class shows the lowest amount of reflectance in the blue spectrum (band 2) and the highest reflectance in the red spectrum (bands 11 and 12) for S2 images. Backscatter analysis of the built-up class under different polarizations of S1 images indicated higher backscatter from VV polarization compared to VH. Maximum and minimum backscatter for bare land showed similar patterns to the built-up class. Bare land showed the lowest reflectance in the blue spectrum (band 2) and highest reflectance in the red spectrum (band 11), with higher backscatter values in VV polarization in comparison to VH polarization. The cropland class has the highest values in bands 7, 8, and 8A (near infrared spectrum) and the lowest values in band 2 (blue spectrum). In this class, backscatter values of VV polarization are higher compared to the values of VH polarization. In the wetland class, band 2 had the highest amount of reflectance while band 8A showed the lowest corresponding values, with VV polarization holding higher backscatter values. In the grassland class, bands 2 and 11 had the highest and lowest reflectance values, respectively, and VH polarization values were lower compared to VV. The spectral behavior curve for the water class showed spectral bands rising in the green and red spectrum (bands 3 and 4) as having the highest reflectance values, while near and short-infrared spectrum (bands 6, 7, 8, 8A, 11, and 12) held the lowest reflectance values among S2 images for this class. Notably, both VV and VH polarization corresponded to low backscatter values for the water class.
In general, the highest reflectance and backscatter values belong to the built-up class and the lowest reflectance and backscatter come from the water class. Accordingly, the highest reflectance among training samples from the built-up class was observed in band 11 of the S2 images for 2019, valued at 0.9003. The lowest reflectance value was 0.0086 in band 12 of S2 images in the water class for 2021. The lowest backscatter among S1 images was observed in the water class for the year 2018, at 0.0005 db. The highest backscatter among training samples from S1 images was observed in 2018 in the built-up class for VV polarization (i.e., 0.7708 db).

3.2. ED and SAD Thresholding

The statistical mean values (Table 3) were calculated to determine the threshold value for distinguishing changed and non-changed (stable) reference samples for different LCs. The mean ED and SAD values for different S2 images in the built-up class were obtained at less than 0.15 and over 0.95, respectively. Average ED and SAD values for the built-up class under different polarizations (S1 images) were also obtained at less than 0.15 and over 0.95. Accordingly, pixel values of samples from the built-up class with ED of less than 0.15 and SAD of more than 0.95 were considered non-changed (migrated) training pixels. Thresholds were thus identified for all satellite images and LC classes, with one specific threshold set for ED and SAD parameters; 0.15 for ED and 0.95 for SAD.

3.3. Migrated Reference Samples for Different Years

As the results show (Figure 5), when S1 images were only used for reference sample migration purposes, the percentage of migrated reference samples from the reference year (2021) to 2020, 2019, 2018, and 2017 were 90%, 89%, 85%, and 82%, respectively. With the independent use of S2 data, the percentage of migrated reference samples from the reference year (2021) to 2020, 2019, 2018, and 2017 were 86%, 84%, 81%, and 78%, respectively.
As can be seen in Figure 5, the number of migrated reference samples using SAD was higher in comparison to the ED parameter. Since SAD is insensitive to illumination and shade, which can alter the spectral size (distance) of two pixels (which is calculated in ED), it migrates a higher number of training samples compared to ED. Thresholding was also conducted for both parameters (ED and SAD) and images (S1 and S2) to ensure the accuracy of migrated training samples, the result of which was a lower number of migrated training samples. The percentage of migrated training samples for different classes and satellite images (S1, S2 and their intersection) indicated the highest percentage of migrated training samples throughout the years belonged to water, bare land, built-up, grassland, cropland, and finally wetland (Figure 6).

3.4. Reference Sample Migration for Various LC Classes

Migrated training samples (labeled as unchanged) were compared with high spatial resolution satellite images for different years. Accordingly, the accuracies of migrated training samples obtained from S1 images for 2020, 2019, 2018, and 2017 were 87.68, 87.04, 86.41, and 85.81%, respectively. The corresponding values for S2 images for 2020, 2019, 2018, and 2017 were obtained as 96.82, 96.2, 95.54, and 94.87%, respectively. The overall accuracies of migrated samples by the integrated use of S1 and S2 data for 2020, 2019, 2018, and 2017 were measured at 98.25, 97.63, 96.92, and 96.2%, respectively. These outcomes indicate that integration of optical and RADAR data can lead to superior accuracy in the sample migration task. Moreover, using S2 images alone resulted in higher accuracy of migrated training samples compared to the independent use of S1 images.
Further assessment of satellite images, spectral bands, and RADAR polarization in training sample migration revealed the highest performance of S2 images in training sample migration for the water class, specifically spectral bands 4 and 8. As for S1 images, VV polarization showed higher performance compared to VH. S2 images also held superior performance in the matter of other LC classes as well (Table 4). With the exception of grassland and cropland, VV polarization showed higher accuracy than VH for training sample migration.

3.5. Image Classification and Accuracy Assessment

Satellite image classification (Figure 7) was conducted on a combination of data from S1 and S2 images. To this end, all spectral bands from the S2 image set (with the exception of bands 1, 9 and 10) and all polarizations from the S1 image set were incorporated into the classification. Classification accuracies for different training samples (migrated training samples from S1, S2 and S1 combined with S2 image sets) showed that migrated training samples based on S1 images had lower accuracy compared to those migrated from S2 images, while migrated samples obtained from the shared use of images (S1 and S2) held the highest classification accuracy.
The corresponding values for overall accuracy among migrated training samples from S1 and S2 images were obtained (Table 5), in respective order, as 84.16% and 93.37%, for the year 2020 using the RF algorithm. The highest overall accuracy (i.e., 95.55%) was achieved for the combination of S1 and S2 images (Table 5) for the year 2020. The overall classification accuracy for 2021 using training samples obtained in 2021 (Table 6) was 97.01%. As a result of using the SVM algorithm, the overall accuracy of classified images using migrated training samples from S1 and S2 images was obtained, in respective order, as 82.86% and 92.07% for the year 2020 (Table 7). The combination of S1 and S2 images for the year 2020 had the highest overall accuracy (94.25%). Using training samples obtained in 2021 (Table 8), the overall classification accuracy for 2021 was 95.71%.
Among different LC classes, the water class had the best producer (90.8% using the RF algorithm and 89.5% using the SVM algorithm) and user accuracies (90.05% using the RF algorithm and 88.74% using the SVM algorithm) for migrated training samples acquired from S1 images in 2020. In order after the water class, built-up, bare land, grassland, and cropland showed the highest classification accuracies among different LC classes, while wetland held the lowest classification accuracy (i.e., 60.71% producer accuracy using the RF algorithm in 2018, 59.41% producer accuracy using the SVM algorithm in 2018, 69.5% user accuracy in 2017, and 68.2% user accuracy using the SVM algorithm in 2017).
As the findings showed, the water class in 2020 had the highest producer (97.37% using the RF algorithm and 96.38% using the SVM algorithm) and user accuracy (97.37% using the RF algorithm and 96.07% using the SVM algorithm) among migrated training samples based on S2 images. The lowest producer and user accuracies were observed in the wetland class in 2017, with respective values of 75.18% and 79.64% for the RF algorithm and 73.88% and 78.34% for the SVM algorithm. A combination of S1 and S2 images led to the highest producer and user accuracy for the water class in 2020, measured at 97.86% and 98.02% for the RF algorithm, respectively. Producer and user accuracy based on the SVM algorithm for the water class in 2020 (using a combination of S1 and S2 images) were 96.56% and 96.72%, respectively. The lowest corresponding accuracies based on the RF algorithm were observed in the wetland class, with 85.91% producer accuracy in 2018 and 88.87% user accuracy in 2017. Similarly, according to the SVM algorithm, the lowest producer accuracy was observed in the wetland class in 2018, with 84.61% and 87.57% user accuracy in 2017.
Among images classified for 2021, the highest producer and user accuracies were again observed for the water class (i.e., 98.12% and 98% using the RF algorithm and 96.82% and 96.7% using the SVM algorithm). The lowest producer and user accuracies for the same year were also observed for the wetland class (93.73% and 94.73% for the RF algorithm and 92.43% and 93.43% for the SVM algorithm).

4. Discussion

4.1. Spectral Reflectance Features and Patterns for Different Years

The highest reflectance value observed for the built-up class can be interpreted given that this class primarily encompasses impermeable urban areas [66]. Such surfaces are generally known to produce the highest reflectance in the short-infrared spectrum (bands 11 and 12 of S2 satellite images). Moreover, the existence of hard objects and two- or three-dimensional reflectors (such as buildings) in urban areas contributes to the high backscattering values observed in SAR images for the built-up class. Considering that co-polarization commonly causes stronger backscattering in SAR images, VV polarization for the built-up class also contributed to the highest backscattering. The spectral signature of the water class is such that the highest reflectance occurs in the green and red spectrum corresponding to bands 3 and 4 of the S2 images, whereas reflectance values were low for bands 6, 7, 8, 8A, 11, and 12, given that wavelengths greater than 0.8 μm rarely cause any significant reflections in optical images.
The general spectral signatures for the bare land and grassland classes were almost constant over the study years. This can be interpreted with respect to the homogeneity and low variability of the mentioned classes compared to the rest. On the other hand, spectral signatures for built-up, wetland and water also share similar trends throughout the different study periods, with only slight differences observed in certain years. This is explained by the heterogeneity of the built-up class and the existence of mixed pixels. Alterations in water levels and vegetation in the wetland class can also lead to changes in the spectral signature of this class. Similar assumptions may be true for the water class, given the changes in water level and quality throughout the years, which most probably cause changes in the class’s spectral signature. Nevertheless, significant changes were observed in the spectral signature for the cropland class, specifically in 2017 and 2018. This is presumably caused by anomalies in pixels or changes in the type of cultivation in the region.

4.2. ED and SAD Thresholding

The impact of threshold changes on ED and SAD accuracy for migrated training samples in 2020 showed that any increase in ED and decrease in SAD values (apropos of the determined threshold of 0.15 for ED and 0.95 for SAD) caused a decrease in the accuracy of the reference sample migration task (Figure 8). In contrast, decreased ED and increased SAD values corresponded to higher reference sample migration task accuracy. Moreover, decreased ED and increased SAD values cause a considerable drop in the number of migrated training samples, which in turn causes a shortage of sufficient training samples for image classification. For example, decreases in ED values from 0.15 to 0.1 and increases in SAD from 0.95 to 0.99 resulted in significant reductions in the migrated number of samples. The obtained thresholds in this study are slightly different than those incorporated by Huang et al. [15] and Phan et al. [32]. Huang et al. [15] proposed 0.2 as the threshold for ED and 0.9 for SAD, while the proportionate values declared by Phan et al. [32] were 0.05 for ED and 0.95 for SAD. This difference in threshold values may be caused by the type of satellite image, study period, and differences in LC.

4.3. Migrated Training Samples in Different Years

The statistical analysis of migrated training samples throughout different years showed an increase in the time difference between the reference and target year yielded decreases in the number of migrated training samples (see Appendix B). For example, it decreased to 82% in 2017 from 90% in 2020 using S1 images for the sample migration purpose. In the case of S2 images, this reduction was 6%. It dropped to 78% from 86% between 2020 and 2017. In the case of shared use of S1 and S2 data, the descending trend can be seen from 78% in 2020 to 69% in 2017. As apparent by the numbers of migrated training samples for different LC classes, the water class holds the highest number of migrated training samples from images of different years, most probably because of the class homogeneity as well as its relatively large span compared to the entire study region. In contrast, the lowest numbers of migrated training samples were observed in the wetland class, which could be described by the heterogeneity and corresponding small area size of this LC class.

4.4. Migrated Training Sample Accuracy

Accuracy assessments of migrated training samples show that despite the higher number of migrated training samples coming from S1 images, the overall accuracy of migrated samples is lower compared to migrated samples from S2 images. Yet, the low number of LC classes somewhat ameliorates the slight dwindles in accuracy of S1 migrated images. On the other hand, the higher number of spectral bands and the absence of speckle effects in S2 images promotes the accuracy of migrated training samples from this image set compared to S1 images. Training sample migration based on the shared use of S1 and S2 images also showed higher migration accuracy and sample migration rate.
The accuracy for migrated training samples per LC class, in order from highest to lowest, was obtained by water, built-up, bare land, grassland, cropland, and wetland classes. The homogeneity of the water class and differences in the spectral behavior of different bands of the S2 sensor for this class (high reflectance in the green and red area bands and low reflectance in the short and near-infrared bands) help better distinguish and migrate training samples, while the wetland class suffers from lower migration accuracy due to the variability of vegetation and heterogeneity of this class as well as its spectral similarity with other types of vegetation (cropland and grassland). Similar conditions are also observed in RADAR backscattering of images from this class, wherein lower values of backscattering from water surfaces have resulted in less inconsistency and higher accuracy of migrated samples. On the other hand, relatively similar backscattering values for wetland and other vegetative covers (cropland and grassland) caused by volume scattering have also increased inconsistency of migrated training samples from these classes and thereby reduced their accuracy.

4.5. Image Classification and Accuracy Assessment

The comparison of RF and SVM algorithms showed that the RF algorithm provided better results in all cases (migrated training samples based on S1, S2, and the combination of S1 and S2 images). The highest overall accuracy based on migrated training samples from S1 images in 2020 was 84.16% and 82.86% for RF and SVM algorithms, respectively. According to the migrated training samples from S2 images in 2020, the overall accuracy of RF and SVM algorithms was 93.37% and 92.07%, respectively. The overall accuracy of RF and SVM algorithms in 2020 was 95.55% and 94.25%, respectively, based on migrated training samples from S1 and S2 images. However, both algorithms performed well and classified different LCs accurately. Considering assessments of the overall classification accuracy of different training samples and images, the lowest classification accuracy (79.23%) was observed for images classified using the SVM algorithm and training samples migrated to 2017 from S1 images, while the highest classification accuracy (95.55%) was observed for the RF algorithm and training samples migrated in 2020 using both S1 and S2 images.

5. Conclusions

The lack of sufficient, good quality training samples, over time, is a key challenge in satellite image classification using supervised classification algorithms. To address this, the present study sought to employ training sample migration using training samples acquired in 2021 along with satellite images from the S1 and S2 missions to obtain quality training samples from 2020, 2019, 2018, and 2017. To this end, ED and SAD were used to compare pixel values of training reference samples with corresponding pixels in S1 and S2 images for different years. Thresholding was then applied to ED and SAD parameters and training reference samples with ED values lower than 0.15 and SAD greater than 0.95 for both image types (S1 and S2) were identified as non-changed (migrated) training samples. Based on the obtained results, training samples migrated based only on S1 images showed the lowest accuracy, while those migrated on the shared use of both S1 and S2 images had the best accuracy. Migrated training samples in the water class held the highest accuracy among the LCs studied, while wetland held the lowest accuracy. The results further showed that increases in time difference between reference and target years led to decreased accuracy of migrated training samples.
Training sample quality is a significant determinant of classification accuracy. Insufficient and low-quality training samples are a root cause for error in various classification purposes. The method proposed in this study enables the generation of quality training samples to be used for different years and different geographical regions. As the findings suggest, quality training samples can be obtained for supervised classification algorithms, which can be categorized apropos of different LC classes. The simultaneous use of optical and RADAR images for training sample migration in this study facilitates the generation of quality training samples for different environmental and climatic conditions. As S1 images were registered since 2014 and S2 images since 2017 (level-2A surface reflectance images) and both were required for simultaneous use in this study, the study period was selected as a short interval, starting from 2017. Given the lack of time series LC maps of the study region, the samples used for assessment of migrated training sample accuracy and image classification accuracy were acquired from Google Earth images. Future endeavors are encouraged to incorporate different RADAR images at different wavelengths (such as TerraSAR-x and ALOS-PALSAR) and RADAR-derived vegetation indices for accurate training sample migration. The effects of increases in the number of LC classes on accuracy of training samples migrated from optical and RADAR images is another prospective issue requiring further investigation. Additionally, since selecting an optimal threshold to differentiate changed samples from unchanged samples is crucial for the effective completion of the sample migration process, it is recommended to evaluate the viability of using automatic threshold approaches for sample migration. Finally, future research can evaluate different spectral similarity measures in sample migration.

Author Contributions

Conceptualization, M.M. and S.A.; methodology, M.M., S.A. and R.G.; software, M.M.; validation, S.A., R.G. and S.K.A.; formal analysis, M.M., S.A., R.G. and S.K.A.; investigation, S.A., R.G. and S.K.A.; resources, S.A. and R.G.; data curation, M.M., S.A. and R.G.; writing—original draft preparation, M.M. and S.A.; writing—review and editing, R.G. and S.K.A.; visualization, M.M. and R.G.; supervision, S.A., R.G. and S.K.A.; project administration, S.A.; funding acquisition, R.G. All authors have read and agreed to the published version of the manuscript.

Funding

This research received no external funding.

Data Availability Statement

The raw data supporting the conclusions of this article will be made available by the authors on request.

Acknowledgments

The authors would like to acknowledge the European Space Agency for providing access to satellite images from the S1 and S2 missions.

Conflicts of Interest

The authors declare no conflicts of interest.

Appendix A

Table A1. Accuracy of the co-registered images.
Table A1. Accuracy of the co-registered images.
YearRMSE (pixels)
20170.65
20180.78
20190.58
20200.45
20210.39

Appendix B

Table A2. Number of migrated samples and percentage for each land cover type for the year 2020.
Table A2. Number of migrated samples and percentage for each land cover type for the year 2020.
ClassNumber of Migrated Samples(%)
Bare land87168
Built-up13560
Cropland20754
Grassland26455
Water50772
Wetland6349
Total = 2047
Table A3. Number of migrated samples and percentage for each land cover type for the year 2019.
Table A3. Number of migrated samples and percentage for each land cover type for the year 2019.
ClassNumber of Migrated Samples(%)
Bare land84566
Built-up13058
Cropland20052
Grassland25553
Water49370
Wetland6047
Total = 1983
Table A4. Number of migrated samples and percentage for each land cover type for the year 2018.
Table A4. Number of migrated samples and percentage for each land cover type for the year 2018.
ClassNumber of Migrated Samples(%)
Bare land83265
Built-up12857
Cropland19250
Grassland25052
Water48669
Wetland5946
Total = 1947
Table A5. Number of migrated samples and percentage for each land cover type for the year 2017.
Table A5. Number of migrated samples and percentage for each land cover type for the year 2017.
ClassNumber of Migrated Samples(%)
Bare land80763
Built-up12355
Cropland18849
Grassland24050
Water47267
Wetland5644
Total = 1886

References

  1. Ahmed, R.; Ahmad, S.T.; Wani, G.F.; Ahmed, P.; Mir, A.A.; Singh, A. Analysis of Landuse and Landcover Changes in Kashmir Valley, India—A Review. GeoJournal 2022, 87, 4391–4403. [Google Scholar] [CrossRef]
  2. Cui, X.; Graf, H.-F. Recent Land Cover Changes on the Tibetan Plateau: A Review. Clim. Chang. 2009, 94, 47–61. [Google Scholar] [CrossRef]
  3. Parven, A.; Pal, I.; Witayangkurn, A.; Pramanik, M.; Nagai, M.; Miyazaki, H.; Wuthisakkaroon, C. Impacts of Disaster and Land-Use Change on Food Security and Adaptation: Evidence from the Delta Community in Bang-ladesh. Int. J. Disaster Risk Reduct. 2022, 78, 103119. [Google Scholar] [CrossRef]
  4. Wang, L.-C.; Hoang, D.V.; Liou, Y.-A. Quantifying the Impacts of the 2020 Flood on Crop Production and Food Security in the Middle Reaches of the Yangtze River, China. Remote Sens. 2022, 14, 3140. [Google Scholar] [CrossRef]
  5. Japelaghi, M.; Hajian, F.; Gholamalifard, M.; Pradhan, B.; Maulud, K.N.A.; Park, H.-J. Modelling the Impact of Land Cover Changes on Carbon Storage and Sequestration in the Central Zagros Region, Iran Using Ecosystem Services Approach. Land 2022, 11, 423. [Google Scholar] [CrossRef]
  6. Obubu, J.P.; Odong, R.; Alamerew, T.; Fetahi, T.; Mengistou, S. Application of DPSIR Model to Identify the Drivers and Impacts of Land Use and Land Cover Changes and Climate Change on Land, Water, and Livelihoods in the L. Kyoga Basin: Implications for Sustainable Management. Environ. Syst. Res. 2022, 11, 11. [Google Scholar] [CrossRef] [PubMed]
  7. de Oliveira Serrão, E.A.; Silva, M.T.; Ferreira, T.R.; de Ataide, L.C.P.; dos Santos, C.A.; de Lima, A.M.M.; da Silva, V.d.P.R.; de Sousa, F.d.A.S.; Gomes, D.J.C. Impacts of Land Use and Land Cover Changes on Hydrological Processes and Sediment Yield Determined Using the SWAT Model. Int. J. Sediment Res. 2022, 37, 54–69. [Google Scholar] [CrossRef]
  8. Samal, D.R.; Gedam, S. Assessing the Impacts of Land Use and Land Cover Change on Water Resources in the Upper Bhima River Basin, India. Environ. Chall. 2021, 5, 100251. [Google Scholar] [CrossRef]
  9. Arifeen, H.M.; Phoungthong, K.; Mostafaeipour, A.; Yuangyai, N.; Yuangyai, C.; Techato, K.; Jutidamrongphan, W. Determine the Land-Use Land-Cover Changes, Urban Expansion and Their Driving Factors for Sustainable Development in Gazipur Bangladesh. Atmosphere 2021, 12, 1353. [Google Scholar] [CrossRef]
  10. Fang, Z.; Ding, T.; Chen, J.; Xue, S.; Zhou, Q.; Wang, Y.; Wang, Y.; Huang, Z.; Yang, S. Impacts of Land Use/Land Cover Changes on Ecosystem Services in Ecologically Fragile Regions. Sci. Total Environ. 2022, 831, 154967. [Google Scholar] [CrossRef]
  11. Ebrahimy, H.; Zhang, Z. Per-Pixel Accuracy as a Weighting Criterion for Combining Ensemble of Extreme Learning Machine Classifiers for Satellite Image Classification. Int. J. Appl. Earth Obs. Geoinf. 2023, 122, 103390. [Google Scholar] [CrossRef]
  12. Rogan, J.; Chen, D. Remote Sensing Technology for Mapping and Monitoring Land-Cover and Land-Use Change. Prog. Plann. 2004, 61, 301–325. [Google Scholar] [CrossRef]
  13. Ghorbanian, A.; Kakooei, M.; Amani, M.; Mahdavi, S.; Mohammadzadeh, A.; Hasanlou, M. Improved Land Cover Map of Iran Using Sentinel Imagery within Google Earth Engine and a Novel Automatic Workflow for Land Cover Classification Using Migrated Training Samples. ISPRS J. Photogramm. Remote Sens. 2020, 167, 276–288. [Google Scholar] [CrossRef]
  14. Anchang, J.Y.; Prihodko, L.; Ji, W.; Kumar, S.S.; Ross, C.W.; Yu, Q.; Lind, B.; Sarr, M.A.; Diouf, A.A.; Hanan, N.P. Toward Operational Mapping of Woody Canopy Cover in Tropical Savannas Using Google Earth Engine. Front Environ. Sci. 2020, 8, 4. [Google Scholar] [CrossRef]
  15. Huang, H.; Wang, J.; Liu, C.; Liang, L.; Li, C.; Gong, P. The Migration of Training Samples towards Dynamic Global Land Cover Mapping. ISPRS J. Photogramm. Remote Sens. 2020, 161, 27–36. [Google Scholar] [CrossRef]
  16. Naboureh, A.; Bian, J.; Lei, G.; Li, A. A Review of Land Use/Land Cover Change Mapping in the China-Central Asia-West Asia Economic Corridor Countries. Big Earth Data 2021, 5, 237–257. [Google Scholar] [CrossRef]
  17. Tamiminia, H.; Salehi, B.; Mahdianpari, M.; Quackenbush, L.; Adeli, S.; Brisco, B. Google Earth Engine for Geo-Big Data Applications: A Meta-Analysis and Systematic Review. ISPRS J. Photogramm. Remote Sens. 2020, 164, 152–170. [Google Scholar] [CrossRef]
  18. Gorelick, N.; Hancher, M.; Dixon, M.; Ilyushchenko, S.; Thau, D.; Moore, R. Google Earth Engine: Planetary-Scale Geospatial Analysis for Everyone. Remote Sens. Environ. 2017, 202, 18–27. [Google Scholar] [CrossRef]
  19. Friedl, M.A.; Sulla-Menashe, D.; Tan, B.; Schneider, A.; Ramankutty, N.; Sibley, A.; Huang, X. MODIS Collection 5 Global Land Cover: Algorithm Refinements and Characterization of New Datasets. Remote Sens. Environ. 2010, 114, 168–182. [Google Scholar] [CrossRef]
  20. Kim, M.; Jeong, D.; Choi, H.; Kim, Y. Developing High Quality Training Samples for Deep Learning Based Local Climate Zone Classification in Korea. arXiv 2020, arXiv:2011.01436. [Google Scholar]
  21. Radoux, J.; Lamarche, C.; Van Bogaert, E.; Bontemps, S.; Brockmann, C.; Defourny, P. Automated Training Sample Extraction for Global Land Cover Mapping. Remote Sens. 2014, 6, 3965–3987. [Google Scholar] [CrossRef]
  22. Li, C.; Gong, P.; Wang, J.; Zhu, Z.; Biging, G.S.; Yuan, C.; Hu, T.; Zhang, H.; Wang, Q.; Li, X. The First All-Season Sample Set for Mapping Global Land Cover with Landsat-8 Data. Sci. Bull. 2017, 62, 508–515. [Google Scholar] [CrossRef] [PubMed]
  23. Fritz, S.; See, L.; Perger, C.; McCallum, I.; Schill, C.; Schepaschenko, D.; Duerauer, M.; Karner, M.; Dresel, C.; Laso-Bayas, J.-C. A Global Dataset of Crowdsourced Land Cover and Land Use Reference Data. Sci. Data 2017, 4, 1–8. [Google Scholar] [CrossRef] [PubMed]
  24. Fritz, S.; McCallum, I.; Schill, C.; Perger, C.; See, L.; Schepaschenko, D.; Van der Velde, M.; Kraxner, F.; Obersteiner, M. Geo-Wiki: An Online Platform for Improving Global Land Cover. Environ. Model. Softw. 2012, 31, 110–123. [Google Scholar] [CrossRef]
  25. Moltchanova, E.; Lesiv, M.; See, L.; Mugford, J.; Fritz, S. Optimizing Crowdsourced Land Use and Land Cover Data Collection: A Two-Stage Approach. Land 2022, 11, 958. [Google Scholar] [CrossRef]
  26. See, L.; Fritz, S.; Perger, C.; Schill, C.; McCallum, I.; Schepaschenko, D.; Duerauer, M.; Sturn, T.; Karner, M.; Kraxner, F. Harnessing the Power of Volunteers, the Internet and Google Earth to Collect and Validate Global Spatial Information Using Geo-Wiki. Technol. Forecast. Soc. Chang. 2015, 98, 324–335. [Google Scholar] [CrossRef]
  27. Naboureh, A.; Li, A.; Bian, J.; Lei, G. National Scale Land Cover Classification Using the Semiautomatic High-Quality Reference Sample Generation (HRSG) Method and an Adaptive Supervised Classification Scheme. IEEE J. Sel. Top. Appl. Earth Obs. Remote Sens. 2023, 16, 1858–1870. [Google Scholar] [CrossRef]
  28. Naboureh, A.; Li, A.; Bian, J.; Lei, G.; Nan, X. Land Cover Dataset of the China Central-Asia West-Asia Economic Corridor from 1993 to 2018. Sci. Data 2023, 10, 1–12. [Google Scholar] [CrossRef] [PubMed]
  29. Zhang, H.K.; Roy, D.P. Using the 500 m MODIS Land Cover Product to Derive a Consistent Continental Scale 30 m Landsat Land Cover Classification. Remote Sens. Environ. 2017, 197, 15–34. [Google Scholar] [CrossRef]
  30. Naboureh, A.; Li, A.; Ebrahimy, H.; Bian, J.; Azadbakht, M.; Amani, M.; Lei, G.; Nan, X. Assessing the Effects of Irrigated Agricultural Expansions on Lake Urmia Using Multi-Decadal Landsat Imagery and a Sample Migration Technique within Google Earth Engine. Int. J. Appl. Earth Obs. Geoinf. 2021, 105, 102607. [Google Scholar] [CrossRef]
  31. Yu, L.; Du, Z.; Dong, R.; Zheng, J.; Tu, Y.; Chen, X.; Hao, P.; Zhong, B.; Peng, D.; Zhao, J. FROM-GLC Plus: Toward near Real-Time and Multi-Resolution Land Cover Mapping. GIsci Remote Sens. 2022, 59, 1026–1047. [Google Scholar] [CrossRef]
  32. Phan, D.C.; Trung, T.H.; Truong, V.T.; Sasagawa, T.; Vu, T.P.T.; Bui, D.T.; Hayashi, M.; Tadono, T.; Nasahara, K.N. First Comprehensive Quantification of Annual Land Use/Cover from 1990 to 2020 across Mainland Vietnam. Sci. Rep. 2021, 11, 9979. [Google Scholar] [CrossRef]
  33. Fekri, E.; Latifi, H.; Amani, M.; Zobeidinezhad, A. A Training Sample Migration Method for Wetland Mapping and Monitoring Using Sentinel Data in Google Earth Engine. Remote Sens. 2021, 13, 4169. [Google Scholar] [CrossRef]
  34. Bioresita, F.; Puissant, A.; Stumpf, A.; Malet, J.-P. Fusion of Sentinel-1 and Sentinel-2 Image Time Series for Permanent and Temporary Surface Water Mapping. Int. J. Remote Sens. 2019, 40, 9026–9049. [Google Scholar] [CrossRef]
  35. Chen, Y.; Bruzzone, L. Self-Supervised Sar-Optical Data Fusion of Sentinel-1/-2 Images. IEEE Trans. Geo-Sci. Remote Sens. 2021, 60, 1–11. [Google Scholar] [CrossRef]
  36. Fatchurrachman; Rudiyanto; Soh, N.C.; Shah, R.M.; Giap, S.G.E.; Setiawan, B.I.; Minasny, B. High-Resolution Mapping of Paddy Rice Extent and Growth Stages across Peninsular Malaysia Using a Fusion of Sentinel-1 and 2 Time Series Data in Google Earth Engine. Remote Sens. 2022, 14, 1875. [Google Scholar] [CrossRef]
  37. Dahhani, S.; Raji, M.; Hakdaoui, M.; Lhissou, R. Land Cover Mapping Using Sentinel-1 Time-Series Data and Machine-Learning Classifiers in Agricultural Sub-Saharan Landscape. Remote Sens. 2023, 15, 65. [Google Scholar] [CrossRef]
  38. Dingle Robertson, L.; Davidson, A.M.; McNairn, H.; Hosseini, M.; Mitchell, S.; de Abelleyra, D.; Verón, S.; le Maire, G.; Plannells, M.; Valero, S.; et al. C-Band Synthetic Aperture Radar (SAR) Imagery for the Classification of Di-verse Cropping Systems. Int. J. Remote Sens. 2020, 41, 9628–9649. [Google Scholar] [CrossRef]
  39. Yan, X.; Niu, Z. Reliability Evaluation and Migration of Wetland Samples. IEEE J. Sel. Top. Appl. Earth Obs. Remote Sens. 2021, 14, 8089–8099. [Google Scholar] [CrossRef]
  40. Chen, Q.; Zhong, C.; Jing, C.; Li, Y.; Cao, B.; Cheng, Q. Rapid Mapping and Annual Dynamic Evaluation of Quality of Urban Green Spaces on Google Earth Engine. ISPRS Int. J. Geoinf. 2021, 10, 670. [Google Scholar] [CrossRef]
  41. Feizizadeh, B.; Lakes, T.; Omarzadeh, D.; Sharifi, A.; Blaschke, T.; Karimzadeh, S. Scenario-Based Analysis of the Impacts of Lake Drying on Food Production in the Lake Urmia Basin of Northern Iran. Sci. Rep. 2022, 12, 6237. [Google Scholar] [CrossRef]
  42. Feizizadeh, B.; Alajujeh, K.M.; Makki, M. A Scenario-Based Food Security Analysis and Halophyte Crop Suitability Assessment in Dying Lake Environments Impacted by Climate Change. Int. J. Appl. Earth Obs. Geoinf. 2023, 122, 103425. [Google Scholar] [CrossRef]
  43. Feizizadeh, B.; Garajeh, M.K.; Lakes, T.; Blaschke, T. A Deep Learning Convolutional Neural Network Algorithm for Detecting Saline Flow Sources and Mapping the Environmental Impacts of the Urmia Lake Drought in Iran. Catena 2021, 207, 105585. [Google Scholar] [CrossRef]
  44. Li, J.; Wang, J.; Zhang, J.; Liu, C.; He, S.; Liu, L. Growing-Season Vegetation Coverage Patterns and Driving Factors in the China-Myanmar Economic Corridor Based on Google Earth Engine and Geographic Detector. Ecol. Indic. 2022, 136, 108620. [Google Scholar] [CrossRef]
  45. Korosov, A.; Demchev, D.; Miranda, N.; Franceschi, N.; Park, J.-W. Thermal Denoising of Cross-Polarized Sentinel-1 Data in Interferometric and Extra Wide Swath Modes. IEEE Trans. Geosci. Remote Sens. 2021, 60, 1–11. [Google Scholar] [CrossRef]
  46. Filipponi, F. Sentinel-1 GRD Preprocessing Workflow. In Proceedings of the International Electronic Conference on Remote Sensing, virtual, 22 May–5 June 2019; MDPI: Basel, Switzerland; p. 11. [Google Scholar]
  47. Lee, J.-S.; Jurkevich, L.; Dewaele, P.; Wambacq, P.; Oosterlinck, A. Speckle Filtering of Synthetic Aperture Radar Images: A Review. Remote Sens. Rev. 1994, 8, 313–340. [Google Scholar] [CrossRef]
  48. Ebrahimy, H.; Naboureh, A.; Feizizadeh, B.; Aryal, J.; Ghorbanzadeh, O. Integration of Sentinel-1 and Sentinel-2 Data with the G-SMOTE Technique for Boosting Land Cover Classification Accuracy. Appl. Sci. 2021, 11, 10309. [Google Scholar] [CrossRef]
  49. Ji, L.; Geng, X.; Sun, K.; Zhao, Y.; Gong, P. Target Detection Method for Water Mapping Using Landsat 8 OLI/TIRS Imagery. Water 2015, 7, 794–817. [Google Scholar] [CrossRef]
  50. Yang, C.; Everitt, J.H. Using Spectral Distance, Spectral Angle and Plant Abundance Derived from Hyperspectral Imagery to Characterize Crop Yield Variation. Precis. Agric. 2012, 13, 62–75. [Google Scholar] [CrossRef]
  51. Sheykhmousa, M.; Mahdianpari, M.; Ghanbari, H.; Mohammadimanesh, F.; Ghamisi, P.; Homayouni, S. Support Vector Machine versus Random Forest for Remote Sensing Image Classification: A Meta-Analysis and Systematic Review. IEEE J. Sel. Top. Appl. Earth Obs. Remote Sens. 2020, 13, 6308–6325. [Google Scholar] [CrossRef]
  52. Calderón-Loor, M.; Hadjikakou, M.; Bryan, B.A. High-Resolution Wall-to-Wall Land-Cover Mapping and Land Change Assessment for Australia from 1985 to 2015. Remote Sens. Environ. 2021, 252, 112148. [Google Scholar] [CrossRef]
  53. Griffiths, P.; Nendel, C.; Hostert, P. Intra-Annual Reflectance Composites from Sentinel-2 and Landsat for National-Scale Crop and Land Cover Mapping. Remote Sens. Environ. 2019, 220, 135–151. [Google Scholar] [CrossRef]
  54. Somard, J.; Immitzer, M.; Vuolo, F.; Ninsawat, S.; Atzberger, C. Mapping of Crop Types in 1989, 1999, 2009 and 2019 to Assess Major Land Cover Trends of the Udon Thani Province, Thailand. Comput. Electron. Agric. 2022, 198, 107083. [Google Scholar] [CrossRef]
  55. Rodriguez-Galiano, V.F.; Ghimire, B.; Rogan, J.; Chica-Olmo, M.; Rigol-Sanchez, J.P. An Assessment of the Effectiveness of a Random Forest Classifier for Land-Cover Classification. ISPRS J. Photogramm. Remote Sens. 2012, 67, 93–104. [Google Scholar] [CrossRef]
  56. Breiman, L. Random Forests. Mach. Learn. 2001, 45, 5–32. [Google Scholar] [CrossRef]
  57. Steinhausen, M.J.; Wagner, P.D.; Narasimhan, B.; Waske, B. Combining Sentinel-1 and Sentinel-2 Data for Improved Land Use and Land Cover Mapping of Monsoon Regions. Int. J. Appl. Earth Obs. Geoinf. 2018, 73, 595–604. [Google Scholar] [CrossRef]
  58. Cortes, C.; Vapnik, V. Support-Vector Networks. Mach. Learn. 1995, 20, 273–297. [Google Scholar] [CrossRef]
  59. Kavzoglu, T.; Colkesen, I. A Kernel Functions Analysis for Support Vector Machines for Land Cover Classification. Int. J. Appl. Earth Obs. Geoinf. 2009, 11, 352–359. [Google Scholar] [CrossRef]
  60. Khurana, Y.; Soni, P.K.; Bhatt, D.P. SVM-Based Classification of Multi-Temporal Sentinel-2 Imagery of Dense Urban Land Cover of Delhi-NCR Region. Earth Sci. Inform. 2023, 16, 1765–1777. [Google Scholar] [CrossRef]
  61. Rana, V.K.; Suryanarayana, T.M.V. Performance Evaluation of MLE, RF and SVM Classification Algorithms for Watershed Scale Land Use/Land Cover Mapping Using Sentinel 2 Bands. Remote Sens. Appl. 2020, 19, 100351. [Google Scholar] [CrossRef]
  62. Thamaga, K.H.; Dube, T.; Shoko, C. Evaluating the Impact of Land Use and Land Cover Change on Unprotected Wetland Ecosystems in the Arid-Tropical Areas of South Africa Using the Landsat Dataset and Support Vector Machine. Geocarto. Int. 2022, 37, 10344–10365. [Google Scholar] [CrossRef]
  63. Yousefi, S.; Mirzaee, S.; Almohamad, H.; Al Dughairi, A.A.; Gomez, C.; Siamian, N.; Alrasheedi, M.; Abdo, H.G. Image Classification and Land Cover Mapping Using Sentinel-2 Imagery: Optimization of SVM Parameters. Land 2022, 11, 993. [Google Scholar] [CrossRef]
  64. Strahler, A.H.; Boschetti, L.; Foody, G.M.; Friedl, M.A.; Hansen, M.C.; Herold, M.; Mayaux, P.; Morisette, J.T.; Stehman, S.V.; Woodcock, C.E. Global Land Cover Validation: Recommendations for Evaluation and Accuracy Assessment of Global Land Cover Maps. Eur. Communities 2006, 51, 1–60. [Google Scholar]
  65. Olofsson, P.; Foody, G.M.; Herold, M.; Stehman, S.V.; Woodcock, C.E.; Wulder, M.A. Good Practices for Estimating Area and Assessing Accuracy of Land Change. Remote Sens. Environ. 2014, 148, 42–57. [Google Scholar] [CrossRef]
  66. Small, C. Multisensor Characterization of Urban Morphology and Network Structure. Remote Sens. 2019, 11, 2162. [Google Scholar] [CrossRef]
Figure 1. Study area: (a) northwestern Iran; (b) target area of study.
Figure 1. Study area: (a) northwestern Iran; (b) target area of study.
Remotesensing 16 01566 g001
Figure 2. Methodology flowchart.
Figure 2. Methodology flowchart.
Remotesensing 16 01566 g002
Figure 3. Aggregative (mean) reflectance values of different LC classes and spectral bands for S2 images from different years: (a) Built-up; (b) Bare land; (c) Cropland; (d) Wetland; (e) Grassland; (f) Water.
Figure 3. Aggregative (mean) reflectance values of different LC classes and spectral bands for S2 images from different years: (a) Built-up; (b) Bare land; (c) Cropland; (d) Wetland; (e) Grassland; (f) Water.
Remotesensing 16 01566 g003
Figure 4. Aggregative (mean) backscatter values of different LC classes and polarization for S1 images from different years: (a) Built-up; (b) Bare land; (c) Cropland; (d) Wetland; (e) Grassland; (f) Water.
Figure 4. Aggregative (mean) backscatter values of different LC classes and polarization for S1 images from different years: (a) Built-up; (b) Bare land; (c) Cropland; (d) Wetland; (e) Grassland; (f) Water.
Remotesensing 16 01566 g004
Figure 5. Percentage of migrated training samples using SAD, ED and their intersection for different satellite images: (a) S1; (b) S2; (c) Integration of S1 and S2.
Figure 5. Percentage of migrated training samples using SAD, ED and their intersection for different satellite images: (a) S1; (b) S2; (c) Integration of S1 and S2.
Remotesensing 16 01566 g005
Figure 6. Percentage of migrated training samples per LC for different satellite images: (a) S1; (b) S2; (c) Integration of S1 and S2.
Figure 6. Percentage of migrated training samples per LC for different satellite images: (a) S1; (b) S2; (c) Integration of S1 and S2.
Remotesensing 16 01566 g006
Figure 7. The generated land cover maps utilizing the RF algorithm for the 2017–2021 period.
Figure 7. The generated land cover maps utilizing the RF algorithm for the 2017–2021 period.
Remotesensing 16 01566 g007
Figure 8. Changes in sample size, migrating training sample accuracy and overall classification accuracy in 2020 with respect to different thresholds set for different satellite images: (a) S1; (b) S2; (c) Integration of S1 and S2.
Figure 8. Changes in sample size, migrating training sample accuracy and overall classification accuracy in 2020 with respect to different thresholds set for different satellite images: (a) S1; (b) S2; (c) Integration of S1 and S2.
Remotesensing 16 01566 g008
Table 1. Satellite images used in this research.
Table 1. Satellite images used in this research.
SensorDateSensorDate
S115 July 2017S211 July 2017
S110 July 2018S211 July 2018
S15 July 2019S211 July 2019
S111 July 2020S220 July 2020
S16 July 2021S210 July 2021
Table 2. Number of samples and percentage for each land cover type for the year 2021.
Table 2. Number of samples and percentage for each land cover type for the year 2021.
ClassNumber of Samples(%)
Bare land128040
Built-up2247
Cropland38412
Grassland48015
Water70422
Wetland1284
Total = 3200
Table 3. Statistical mean of ED and SAD for different LC classes. (A) built-up; (B) bare land; (C) cropland; (D) wetland; (E) grassland; (F) water class.
Table 3. Statistical mean of ED and SAD for different LC classes. (A) built-up; (B) bare land; (C) cropland; (D) wetland; (E) grassland; (F) water class.
PolarizationBand
VVVH23456788A1112
AED_Mean0.14840.00870.12370.12940.13660.10670.10350.09840.13220.0990.11190.1172
SAD_Mean0.99540.99990.98960.98990.99030.99460.99490.99560.99180.99560.99610.9957
BED_Mean0.03850.00490.02060.02260.02530.02620.02540.02450.02510.02490.02480.0247
SAD_Mean0.99850.99990.99840.99850.99860.99850.99860.99870.99860.99870.99880.9989
CED_Mean0.03230.00640.02420.02820.04850.04050.06150.08320.08320.08030.04190.0438
SAD_Mean0.99890.99990.99930.9990.9970.99820.99720.99510.99520.99560.99820.9979
DED_Mean0.0210.00440.02530.02960.04730.04360.05190.06210.07130.07760.10590.073
SAD_Mean0.99960.99990.99930.99920.9980.99830.9980.99730.99640.99590.99060.9951
EED_Mean0.02520.00460.04620.04450.05410.05120.04480.0470.0490.04680.05020.0453
SAD_Mean0.99890.99990.99310.99410.99450.99480.99610.99650.99650.99680.99670.9968
FED_Mean0.01410.00080.11090.12560.14470.15540.12290.12110.11380.11090.03320.0275
SAD_Mean0.99930.99990.98350.98390.98370.98190.98040.98050.98170.98130.99840.999
Table 4. Most relevant spectral bands and RADAR polarization for training sample migration for different LC classes.
Table 4. Most relevant spectral bands and RADAR polarization for training sample migration for different LC classes.
ClassS2 (Band)S1 (Polarization)
Built-up8, 8A, 11VV
Bare land11VV
Cropland4, 8, 11VH
Wetland5, 6, 7, 8, 8AVV
Grassland4, 8, 11VH
Water4, 8VV
Table 5. Classification accuracy of the RF algorithm and migrated training samples based on S1 images, S2 images and the intersection of S1 and S2 images.
Table 5. Classification accuracy of the RF algorithm and migrated training samples based on S1 images, S2 images and the intersection of S1 and S2 images.
ClassS1
2017201820192020
OA: 80.53OA: 81.55OA: 82.13OA: 84.16
PAUAPAUAPAUAPAUA
Built-up86.889.189.2888.2589.1189.1790.3786.21
Bare land84.9381.7985.3385.6788.5783.9886.7586.09
Cropland71.2974.3372.0274.4570.0670.6872.0276.38
Wetland69.1369.560.7171.3365.4570.5468.1475.48
Grassland72.1479.1980.375.727177.7382.1682.83
Water87.8589.1289.7889.7889.4790.0490.890.05
ClassS2
2017201820192020
OA: 90.34OA: 91.79OA: 91.92OA: 93.37
PAUAPAUAPAUAPAUA
Built-up95.9295.8895.7495.4596.9396.9597.4697.25
Bare land93.8592.0395.2594.4395.9293.1195.494.75
Cropland82.3987.5785.8687.9483.5486.6785.2891.78
Wetland75.1879.6480.5182.0980.5284.548185.85
Grassland82.8289.8990.690.4486.3289.1393.7191.95
Water96.496.9397.296.6797.297.0397.6897.37
ClassIntersection of S1 and S2
2017201820192020
OA: 93.37OA: 94.15OA: 94.51OA: 95.55
PAUAPAUAPAUAPAUA
Built-up96.7796.1997.0296.1397.0495.7497.197.54
Bare land96.6394.2896.0295.1496.6394.5497.0996.12
Cropland87.4591.3989.4693.0790.3591.9192.7894.61
Wetland87.3688.8785.9189.3787.0290.9587.4591.65
Grassland88.5291.6294.6793.3790.8993.69695.69
Water9797.0597.1897.197.0597.1597.8698.02
Table 6. Image classification accuracy based on the RF algorithm and training samples obtained in 2021.
Table 6. Image classification accuracy based on the RF algorithm and training samples obtained in 2021.
Class2021
OA: 97.01
PAUA
Built-up97.8697.54
Bare land97.0997.5
Cropland96.3196.72
Wetland93.7394.73
Grassland9797.45
Water98.1298
Table 7. Classification accuracy of the SVM algorithm and migrated training samples based on S1 images, S2 images and the intersection of S1 and S2 images.
Table 7. Classification accuracy of the SVM algorithm and migrated training samples based on S1 images, S2 images and the intersection of S1 and S2 images.
ClassS1
2017201820192020
O.A: 79.23O.A: 80.25O.A: 80.83O.A: 82.86
P.A.U.A.P.A.U.A.P.A.U.A.P.A.U.A.
Built-up85.587.887.9886.9587.8187.8789.0784.91
Bare land83.6380.4984.0384.3787.2782.6885.4584.79
Cropland69.9973.0370.7273.1568.7669.3870.7275.08
Wetland67.7368.259.4170.0364.1569.2466.8474.18
Grassland70.8477.897974.4269.776.4380.8681.53
Water86.5587.8288.4888.4888.1788.7589.588.74
ClassS2
2017201820192020
O.A: 89.04O.A: 90.49O.A: 90.62O.A: 92.07
P.A.U.A.P.A.U.A.P.A.U.A.P.A.U.A.
Built-up94.6294.5894.4494.1595.6395.6596.1695.95
Bare land92.5590.7393.9593.1394.6291.8194.193.45
Cropland81.0986.2784.5686.6482.2485.3783.9890.48
Wetland73.8878.3479.2180.7979.2283.2479.784.55
Grassland81.5288.5989.389.1485.0287.8392.4190.65
Water95.195.6395.995.3795.995.7396.3896.07
ClassIntersection of S1 and S2
2017201820192020
O.A: 92.07O.A: 92.85O.A: 93.21O.A: 94.25
P.A.U.A.P.A.U.A.P.A.U.A.P.A.U.A.
Built-up95.4794.8995.7294.8395.7494.4495.896.24
Bare land95.3392.9894.7293.8495.3393.2495.7994.82
Cropland86.1590.0988.1691.7789.0590.6191.4893.31
Wetland86.0687.5784.6188.0785.7289.6586.1590.35
Grassland87.2290.3293.3792.0789.5992.394.794.39
Water95.795.7595.8895.895.7595.8596.5696.72
Table 8. Image classification accuracy based on the SVM algorithm and training samples obtained in 2021.
Table 8. Image classification accuracy based on the SVM algorithm and training samples obtained in 2021.
Class2021
OA: 95.71
PAUA
Built-up96.5696.24
Bare land95.7996.2
Cropland95.0195.42
Wetland92.4393.43
Grassland95.796.15
Water96.8296.7
Disclaimer/Publisher’s Note: The statements, opinions and data contained in all publications are solely those of the individual author(s) and contributor(s) and not of MDPI and/or the editor(s). MDPI and/or the editor(s) disclaim responsibility for any injury to people or property resulting from any ideas, methods, instructions or products referred to in the content.

Share and Cite

MDPI and ACS Style

Moharrami, M.; Attarchi, S.; Gloaguen, R.; Alavipanah, S.K. Integration of Sentinel-1 and Sentinel-2 Data for Ground Truth Sample Migration for Multi-Temporal Land Cover Mapping. Remote Sens. 2024, 16, 1566. https://doi.org/10.3390/rs16091566

AMA Style

Moharrami M, Attarchi S, Gloaguen R, Alavipanah SK. Integration of Sentinel-1 and Sentinel-2 Data for Ground Truth Sample Migration for Multi-Temporal Land Cover Mapping. Remote Sensing. 2024; 16(9):1566. https://doi.org/10.3390/rs16091566

Chicago/Turabian Style

Moharrami, Meysam, Sara Attarchi, Richard Gloaguen, and Seyed Kazem Alavipanah. 2024. "Integration of Sentinel-1 and Sentinel-2 Data for Ground Truth Sample Migration for Multi-Temporal Land Cover Mapping" Remote Sensing 16, no. 9: 1566. https://doi.org/10.3390/rs16091566

APA Style

Moharrami, M., Attarchi, S., Gloaguen, R., & Alavipanah, S. K. (2024). Integration of Sentinel-1 and Sentinel-2 Data for Ground Truth Sample Migration for Multi-Temporal Land Cover Mapping. Remote Sensing, 16(9), 1566. https://doi.org/10.3390/rs16091566

Note that from the first issue of 2016, this journal uses article numbers instead of page numbers. See further details here.

Article Metrics

Back to TopTop