Arctic Greening Trends: Change Points in Satellite-Derived Normalized Difference Vegetation Indexes and Their Correlation with Climate Variables over the Last Two Decades
Abstract
1. Introduction
2. Materials
2.1. NDVI
2.2. Climate Parameters
3. Methods
3.1. Study Area and Period
3.2. Characteristics of NDVI Time Series Data
3.3. Relationship with Climate Variables
4. Results
4.1. Characterization of NDVI Time Series Data
4.1.1. Long-Term Spatiotemporal Trends in NDVI Data
4.1.2. Change Points in Monthly and Summer NDVI Data
4.1.3. Analysis of NDVI Time Series Data Based on a Temporal Scale
4.2. Relationship between Arctic NDVI and Climate Variables
4.2.1. Relationships between All-Study Period NDVI Data
4.2.2. Relationship between Summer NDVIs
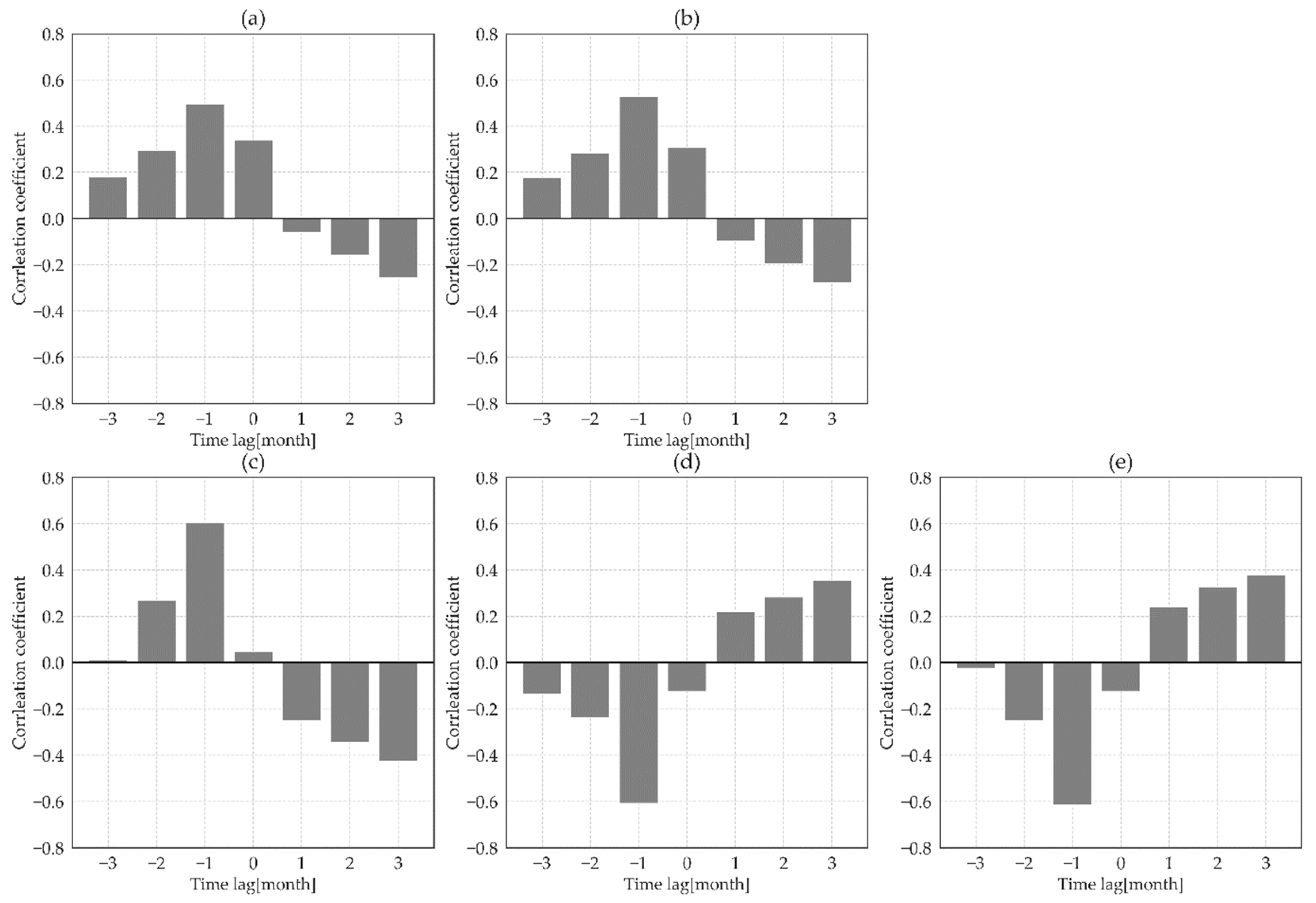
4.2.3. Relationships between Monthly NDVI and Climate Variables
5. Discussion
6. Conclusions
Author Contributions
Funding
Data Availability Statement
Acknowledgments
Conflicts of Interest
References
- Serreze, M.C.; Barry, R.G. Processes and Impacts of Arctic Amplification: A Research Synthesis. Glob. Planet. Chang. 2011, 77, 85–96. [Google Scholar] [CrossRef]
- Blok, D.; Schaepman-Strub, G.; Bartholomeus, H.; Heijmans, M.M.P.D.; Maximov, T.C.; Berendse, F. The Response of Arctic Vegetation to the Summer Climate: Relation between Shrub Cover, NDVI, Surface Albedo and Temperature. Environ. Res. Lett. 2011, 6, 035502. [Google Scholar] [CrossRef]
- Lawrence, D.M.; Swenson, S.C. Permafrost Response to Increasing Arctic Shrub Abundance Depends on the Relative Influence of Shrubs on Local Soil Cooling versus Large-Scale Climate Warming. Environ. Res. Lett. 2011, 6, 045504. [Google Scholar] [CrossRef]
- Bonfils, C.J.W.; Phillips, T.J.; Lawrence, D.M.; Cameron-Smith, P.; Riley, W.J.; Subin, Z.M. On the Influence of Shrub Height and Expansion on Northern High Latitude Climate. Environ. Res. Lett. 2012, 7, 015503. [Google Scholar] [CrossRef]
- Heijmans, M.M.P.D.; Magnússon, R.Í.; Lara, M.J.; Frost, G.V.; Myers-Smith, I.H.; Van Huissteden, J.; Jorgenson, M.T.; Fedorov, A.N.; Epstein, H.E.; Lawrence, D.M.; et al. Tundra Vegetation Change and Impacts on Permafrost. Nat. Rev. Earth Environ. 2022, 3, 68–84. [Google Scholar] [CrossRef]
- Foley, J.A. Tipping Points in the Tundra. Science 2005, 310, 627–628. [Google Scholar] [CrossRef]
- Comiso, J.C. Arctic Warming Signals from Satellite Observations. WEA 2006, 61, 70–76. [Google Scholar] [CrossRef]
- Jia, G.J.; Epstein, H.E.; Walker, D.A. Greening of Arctic Alaska, 1981–2001. Geophys. Res. Lett. 2003, 30, 2067. [Google Scholar] [CrossRef]
- Hassol, S.; Assessment, A.C.I. Impacts of a Warming Arctic—Arctic Climate Impact Assessment; Cambridge University Press: Cambridge, UK, 2004; ISBN 978-0-521-61778-9. [Google Scholar]
- Stow, D.A.; Hope, A.; McGuire, D.; Verbyla, D.; Gamon, J.; Huemmrich, F.; Houston, S.; Racine, C.; Sturm, M.; Tape, K.; et al. Remote Sensing of Vegetation and Land-Cover Change in Arctic Tundra Ecosystems. Remote Sens. Environ. 2004, 89, 281–308. [Google Scholar] [CrossRef]
- Goetz, S.J.; Bunn, A.G.; Fiske, G.J.; Houghton, R.A. Satellite-Observed Photosynthetic Trends across Boreal North America Associated with Climate and Fire Disturbance. Proc. Natl. Acad. Sci. USA 2005, 102, 13521–13525. [Google Scholar] [CrossRef]
- Raynolds, M.K.; Walker, D.A.; Maier, H.A. NDVI Patterns and Phytomass Distribution in the Circumpolar Arctic. Remote Sens. Environ. 2006, 102, 271–281. [Google Scholar] [CrossRef]
- Pearson, R.G.; Phillips, S.J.; Loranty, M.M.; Beck, P.S.A.; Damoulas, T.; Knight, S.J.; Goetz, S.J. Shifts in Arctic Vegetation and Associated Feedbacks under Climate Change. Nat. Clim. Chang. 2013, 3, 673–677. [Google Scholar] [CrossRef]
- Bhatt, U.S.; Walker, D.A.; Raynolds, M.K.; Comiso, J.C.; Epstein, H.E.; Jia, G.; Gens, R.; Pinzon, J.E.; Tucker, C.J.; Tweedie, C.E.; et al. Circumpolar Arctic Tundra Vegetation Change Is Linked to Sea Ice Decline. Earth Interact. 2010, 14, 1–20. [Google Scholar] [CrossRef]
- Bhatt, U.S.; Walker, D.A.; Raynolds, M.K.; Bieniek, P.A.; Epstein, H.E.; Comiso, J.C.; Pinzon, J.E.; Tucker, C.J.; Steele, M.; Ermold, W.; et al. Changing Seasonality of Panarctic Tundra Vegetation in Relationship to Climatic Variables. Environ. Res. Lett. 2017, 12, 055003. [Google Scholar] [CrossRef]
- Arndt, K.A.; Santos, M.J.; Ustin, S.; Davidson, S.J.; Stow, D.; Oechel, W.C.; Tran, T.T.P.; Graybill, B.; Zona, D. Arctic Greening Associated with Lengthening Growing Seasons in Northern Alaska. Environ. Res. Lett. 2019, 14, 125018. [Google Scholar] [CrossRef]
- Bhatt, U.; Walker, D.; Raynolds, M.; Bieniek, P.; Epstein, H.; Comiso, J.; Pinzon, J.; Tucker, C.; Polyakov, I. Recent Declines in Warming and Vegetation Greening Trends over Pan-Arctic Tundra. Remote Sens. 2013, 5, 4229–4254. [Google Scholar] [CrossRef]
- Myers-Smith, I.H.; Kerby, J.T.; Phoenix, G.K.; Bjerke, J.W.; Epstein, H.E.; Assmann, J.J.; John, C.; Andreu-Hayles, L.; Angers-Blondin, S.; Beck, P.S.A.; et al. Complexity Revealed in the Greening of the Arctic. Nat. Clim. Chang. 2020, 10, 106–117. [Google Scholar] [CrossRef]
- Frost, G.V.; Bhatt, U.S.; Macander, M.J.; Epstein, H.E.; Raynolds, M.K.; Waigl, C.F.; Walker, D.A. Eyes of the World on a Warmer, Less Frozen, and Greener Arctic. Glob. Chang. Biol. 2023, 29, 4453–4455. [Google Scholar] [CrossRef] [PubMed]
- Ji, L.; Fan, K. Regime Shift of the Interannual Linkage between NDVI in the Arctic Vegetation Biome and Arctic Sea Ice Concentration. Atmos. Res. 2024, 299, 107184. [Google Scholar] [CrossRef]
- Frost, G.V.; Bhatt, U.S.; Macander, M.J.; Hendricks, A.S.; Jorgenson, M.T. Is Alaska’s Yukon–Kuskokwim Delta Greening or Browning? Resolving Mixed Signals of Tundra Vegetation Dynamics and Drivers in the Maritime Arctic. Earth Interact. 2021, 25, 76–93. [Google Scholar] [CrossRef]
- Bhatt, U.S.; Walker, D.A.; Walsh, J.E.; Carmack, E.C.; Frey, K.E.; Meier, W.N.; Moore, S.E.; Parmentier, F.-J.W.; Post, E.; Romanovsky, V.E.; et al. Implications of Arctic Sea Ice Decline for the Earth System. Annu. Rev. Environ. Resour. 2014, 39, 57–89. [Google Scholar] [CrossRef]
- Box, J.E.; Colgan, W.T.; Christensen, T.R.; Schmidt, N.M.; Lund, M.; Parmentier, F.-J.W.; Brown, R.; Bhatt, U.S.; Euskirchen, E.S.; Romanovsky, V.E.; et al. Key Indicators of Arctic Climate Change: 1971–2017. Environ. Res. Lett. 2019, 14, 045010. [Google Scholar] [CrossRef]
- Schaefer, J.A.; Messier, F. Scale-Dependent Correlations of Arctic Vegetation and Snow Cover. Arct. Alp. Res. 1995, 27, 38. [Google Scholar] [CrossRef]
- Reichle, L.M.; Epstein, H.E.; Bhatt, U.S.; Raynolds, M.K.; Walker, D.A. Spatial Heterogeneity of the Temporal Dynamics of Arctic Tundra Vegetation. Geophys. Res. Lett. 2018, 45, 9206–9215. [Google Scholar] [CrossRef]
- Bhatt, U.S.; Walker, D.A.; Raynolds, M.K.; Walsh, J.E.; Bieniek, P.A.; Cai, L.; Comiso, J.C.; Epstein, H.E.; Frost, G.V.; Gersten, R.; et al. Climate Drivers of Arctic Tundra Variability and Change Using an Indicators Framework. Environ. Res. Lett. 2021, 16, 055019. [Google Scholar] [CrossRef]
- Chapin, F.S.; Sturm, M.; Serreze, M.C.; McFadden, J.P.; Key, J.R.; Lloyd, A.H.; McGuire, A.D.; Rupp, T.S.; Lynch, A.H.; Schimel, J.P.; et al. Role of Land-Surface Changes in Arctic Summer Warming. Science 2005, 310, 657–660. [Google Scholar] [CrossRef]
- Lund, M. Uncovering the Unknown—Climate Interactions in a Changing Arctic Tundra. Environ. Res. Lett. 2018, 13, 061001. [Google Scholar] [CrossRef]
- Cho, M.-H.; Yang, A.-R.; Baek, E.-H.; Kang, S.M.; Jeong, S.-J.; Kim, J.Y.; Kim, B.-M. Vegetation-Cloud Feedbacks to Future Vegetation Changes in the Arctic Regions. Clim. Dyn. 2018, 50, 3745–3755. [Google Scholar] [CrossRef]
- Juszak, I.; Erb, A.M.; Maximov, T.C.; Schaepman-Strub, G. Arctic Shrub Effects on NDVI, Summer Albedo and Soil Shading. Remote Sens. Environ. 2014, 153, 79–89. [Google Scholar] [CrossRef]
- Rouse, J.W.; Haas, R.H.; Deering, D.W.; Schell, J.A.; Harlan, J.C. Monitoring the Vernal Advancement and Retrogradation (Green Wave Effect) of Natural Vegetation. 1974. Available online: https://ntrs.nasa.gov/citations/19750020419 (accessed on 20 March 2024).
- Rocha, A.V.; Shaver, G.R. Advantages of a Two Band EVI Calculated from Solar and Photosynthetically Active Radiation Fluxes. Agric. For. Meteorol. 2009, 149, 1560–1563. [Google Scholar] [CrossRef]
- Sun, Y.; Knyazikhin, Y.; She, X.; Ni, X.; Chen, C.; Ren, H.; Myneni, R.B. Seasonal and Long-Term Variations in Leaf Area of Congolese Rainforest. Remote Sens. Environ. 2022, 268, 112762. [Google Scholar] [CrossRef]
- Zhang, H.; Yin, G.; Zhang, L. Evaluating the Impact of Different Normalization Strategies on the Construction of Drought Condition Indices. Agric. For. Meteorol. 2022, 323, 109045. [Google Scholar] [CrossRef]
- Didan, K.; Munoz, A.B.; Huete, A. MODIS Vegetation Index User’s Guide (MOD13 Series); University of Arizona: Vegetation Index and Phenology Lab: Tucson, AZ, USA, 2015; Volume 35. [Google Scholar]
- Hersbach, H.; Bell, B.; Berrisford, P.; Hirahara, S.; Horányi, A.; Muñoz-Sabater, J.; Nicolas, J.; Peubey, C.; Radu, R.; Schepers, D.; et al. The ERA5 Global Reanalysis. Q. J. R. Meteorol. Soc. 2020, 146, 1999–2049. [Google Scholar] [CrossRef]
- Wan, Z.; Hook, S.; Hulley, G. MOD11C3 MODIS/Terra Land Surface Temperature/Emissivity Monthly L3 Global 0.05 Deg CMG V006. Nasa EOSDIS LP DAAC 2015, 10. [Google Scholar] [CrossRef]
- Kato, S.; Rose, F.G.; Rutan, D.A.; Thorsen, T.J.; Loeb, N.G.; Doelling, D.R.; Huang, X.; Smith, W.L.; Su, W.; Ham, S.-H. Surface Irradiances of Edition 4.0 Clouds and the Earth’s Radiant Energy System (CERES) Energy Balanced and Filled (EBAF) Data Product. J. Clim. 2018, 31, 4501–4527. [Google Scholar] [CrossRef]
- CAVM Team Team: Circumpolar Arctic Vegetation. Available online: https://cir.nii.ac.jp/crid/1370285708264373123 (accessed on 16 January 2024).
- Raynolds, M.K.; Walker, D.A.; Balser, A.; Bay, C.; Campbell, M.; Cherosov, M.M.; Daniëls, F.J.A.; Eidesen, P.B.; Ermokhina, K.A.; Frost, G.V.; et al. A Raster Version of the Circumpolar Arctic Vegetation Map (CAVM). Remote Sens. Environ. 2019, 232, 111297. [Google Scholar] [CrossRef]
- Walker, D.A.; Raynolds, M.K.; Daniëls, F.J.A.; Einarsson, E.; Elvebakk, A.; Gould, W.A.; Katenin, A.E.; Kholod, S.S.; Markon, C.J.; Melnikov, E.S.; et al. The Circumpolar Arctic Vegetation Map. J. Veg. Sci. 2005, 16, 267–282. [Google Scholar] [CrossRef]
- Mauclet, E.; Hirst, C.; Monhonval, A.; Stevenson, E.I.; Gérard, M.; Villani, M.; Dailly, H.; Schuur, E.A.G.; Opfergelt, S. Tracing Changes in Base Cation Sources for Arctic Tundra Vegetation upon Permafrost Thaw. Geoderma 2023, 429, 116277. [Google Scholar] [CrossRef]
- Mann, H.B. Nonparametric Tests Against Trend. Econometrica 1945, 13, 245–259. [Google Scholar] [CrossRef]
- Kendall, M.G. Rank Correlation Methods; Griffin: Oxford, UK, 1948. [Google Scholar]
- Sen, P.K. Estimates of the Regression Coefficient Based on Kendall’s Tau. J. Am. Stat. Assoc. 1968, 63, 1379–1389. [Google Scholar] [CrossRef]
- Gilbert, R.O. Statistical Methods for Environmental Pollution Monitoring; John Wiley & Sons: Hoboken, NJ, USA, 1987; ISBN 978-0-471-28878-7. [Google Scholar]
- Sirois, A. A Brief and Biased Overview of Time-Series Analysis of How to Find That Evasive Trend, WMO. In Proceedings of the EMEP Workshop on Advanced Statistical Methods and Their Application to Air Quality Data Sets, Helsinki, Finland, 14–18 September 1998. [Google Scholar]
- Zhao, K.; Wulder, M.A.; Hu, T.; Bright, R.; Wu, Q.; Qin, H.; Li, Y.; Toman, E.; Mallick, B.; Zhang, X.; et al. Detecting Change-Point, Trend, and Seasonality in Satellite Time Series Data to Track Abrupt Changes and Nonlinear Dynamics: A Bayesian Ensemble Algorithm. Remote Sens. Environ. 2019, 232, 111181. [Google Scholar] [CrossRef]
- Xu, D.; Geng, Q.; Jin, C.; Xu, Z.; Xu, X. Tree Line Identification and Dynamics under Climate Change in Wuyishan National Park Based on Landsat Images. Remote Sens. 2020, 12, 2890. [Google Scholar] [CrossRef]
- September|2013|Arctic Sea Ice News and Analysis 2013. Available online: https://nsidc.org/arcticseaicenews/2013/09/ (accessed on 20 March 2024).





| Variables | Spatial Resolution | Data Source | Reference |
|---|---|---|---|
| Surface Air Temperature (SAT) | 0.25 degree | ERA5 reanalysis product | [36] |
| Land Surface Temperature (LST) | 0.05 degree | NASA MODIS product | [37] |
| Net Radiation (Rn) | 1 degree | NASA CERES EBAF product | [38] |
| Surface Latent Heat Flux (SLHF) | 0.25 degree | ERA5 reanalysis product | [36] |
| Surface Sensible Heat Flux (SSHF) | 0.25 degree | ERA5 reanalysis product | [36] |
| Number of Change Points | Ranked by Probability of Occurrence | ||||
|---|---|---|---|---|---|
| Mode | Probability (%) | Rank | Trend Change Points | Probability (%) | |
| Summer | 0 | 52.1 | 1 | 2012 | 32.8 |
| 2 | 2016 | 10.2 | |||
| June | 1 | 48.2 | 1 | 2012 | 39.7 |
| 2 | 2004 | 6.7 | |||
| July | 0 | 58.5 | 1 | 2012 | 18.7 |
| 2 | 2004 | 7.7 | |||
| August | 0 | 47.7 | 1 | 2010 | 16.0 |
| 2 | 2007 | 15.3 | |||
| 3 | 2016 | 15.2 | |||
| September | 1 | 67.8 | 1 | 2013 | 73.6 |
| 2 | 2004 | 4.4 | |||
| Surface Air Temperature | Land Surface Temperature | Net Radiation | Surface Sensible Heat Flux | Surface Latent Heat Flux | |
|---|---|---|---|---|---|
| Summer | 0.29 | 0.38 | 0.27 | −0.13 | −0.42 |
| June | 0.25 | 0.42 | 0.27 | −0.28 | −0.41 |
| July | 0.33 | 0.34 | −0.23 | 0.24 | 0.26 |
| August | 0.21 | 0.26 | 0.43 | −0.02 | −0.37 |
| September | −0.17 | −0.24 | −0.42 | 0.05 | −0.06 |
| Surface Air Temperature | Land Surface Temperature | Net Radiation | Surface Sensible Heat Flux | Surface Latent Heat Flux | |
|---|---|---|---|---|---|
| Before | 0.65 | 0.69 | 0.55 | −0.33 | −0.59 |
| After | −0.23 | −0.05 | −0.03 | −0.22 | 0.27 |
Disclaimer/Publisher’s Note: The statements, opinions and data contained in all publications are solely those of the individual author(s) and contributor(s) and not of MDPI and/or the editor(s). MDPI and/or the editor(s) disclaim responsibility for any injury to people or property resulting from any ideas, methods, instructions or products referred to in the content. |
© 2024 by the authors. Licensee MDPI, Basel, Switzerland. This article is an open access article distributed under the terms and conditions of the Creative Commons Attribution (CC BY) license (https://creativecommons.org/licenses/by/4.0/).
Share and Cite
Seo, M.; Kim, H.-C. Arctic Greening Trends: Change Points in Satellite-Derived Normalized Difference Vegetation Indexes and Their Correlation with Climate Variables over the Last Two Decades. Remote Sens. 2024, 16, 1160. https://doi.org/10.3390/rs16071160
Seo M, Kim H-C. Arctic Greening Trends: Change Points in Satellite-Derived Normalized Difference Vegetation Indexes and Their Correlation with Climate Variables over the Last Two Decades. Remote Sensing. 2024; 16(7):1160. https://doi.org/10.3390/rs16071160
Chicago/Turabian StyleSeo, Minji, and Hyun-Cheol Kim. 2024. "Arctic Greening Trends: Change Points in Satellite-Derived Normalized Difference Vegetation Indexes and Their Correlation with Climate Variables over the Last Two Decades" Remote Sensing 16, no. 7: 1160. https://doi.org/10.3390/rs16071160
APA StyleSeo, M., & Kim, H.-C. (2024). Arctic Greening Trends: Change Points in Satellite-Derived Normalized Difference Vegetation Indexes and Their Correlation with Climate Variables over the Last Two Decades. Remote Sensing, 16(7), 1160. https://doi.org/10.3390/rs16071160

