Validation of CRU TS v4.08, ERA5-Land, IMERG v07B, and MSWEP v2.8 Precipitation Estimates Against Observed Values over Pakistan
Abstract
1. Introduction
2. Materials and Methods
2.1. Study Area
2.2. Datasets
2.2.1. Rain Gauge Data
2.2.2. CRU TS
2.2.3. ERA5-Land (ERA-5)
2.2.4. IMERG7
2.2.5. MSWEP2.8
2.3. Data Processing
2.4. Performance Assessment
3. Results
3.1. Spatial Distribution Pattern of Annual Rainfall
3.2. Provincial Scale Performance Evaluation
3.3. Spatial Distribution Pattern of Seasonal Rainfall
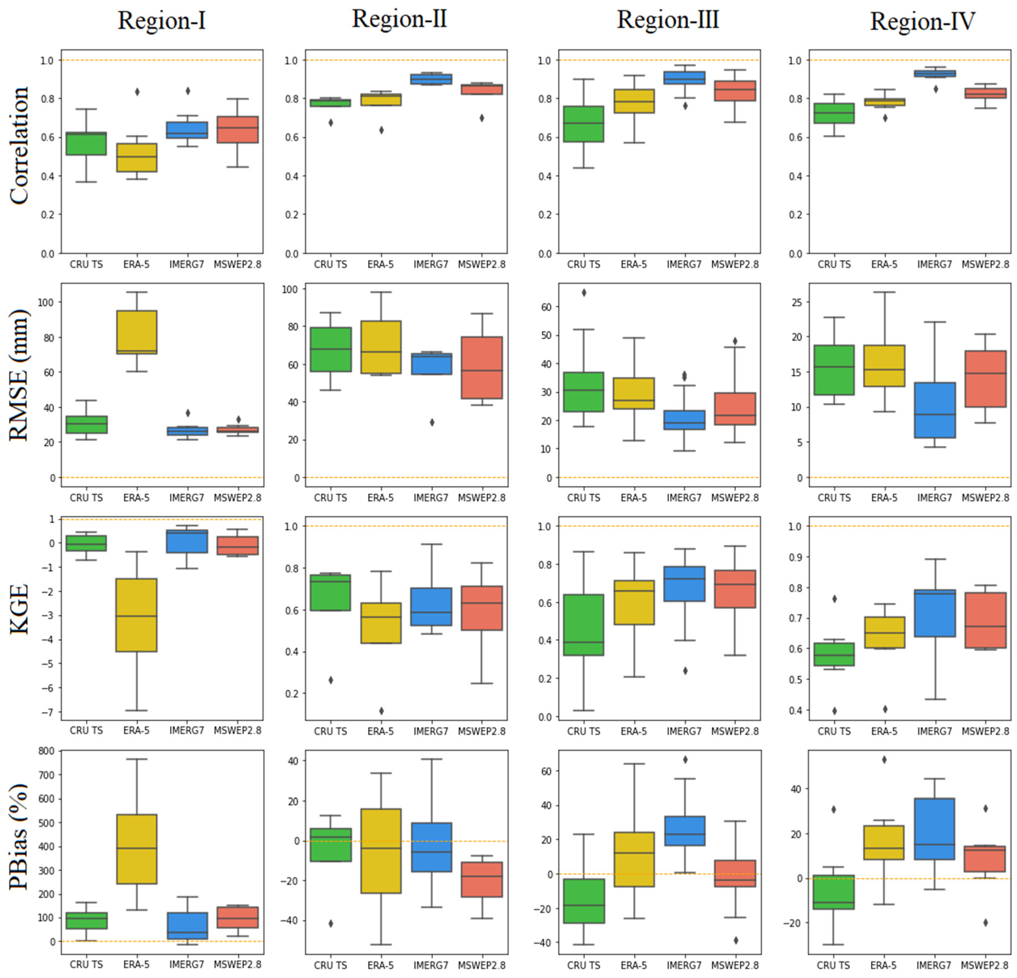
3.4. Temporal Performance Evaluation
3.5. Elevation-Based Performance Evaluation of GPPs
3.6. Trend Test
4. Discussion
5. Conclusions
Author Contributions
Funding
Data Availability Statement
Acknowledgments
Conflicts of Interest
References
- Mutti, P.R.; Dubreuil, V.; Bezerra, B.G.; Arvor, D.; De Oliveira, C.P.; Santos e Silva, C.M. Assessment of gridded CRU TS data for long-term climatic water balance monitoring over the São Francisco Watershed, Brazil. Atmosphere 2020, 11, 1207. [Google Scholar] [CrossRef]
- Pfister, L.; Brönnimann, S.; Schwander, M.; Isotta, F.A.; Horton, P.; Rohr, C. Statistical reconstruction of daily precipitation and temperature fields in Switzerland back to 1864. Clim. Past 2020, 16, 663–678. [Google Scholar] [CrossRef]
- Chen, S.; Hu, J.; Zhang, Z.; Behrangi, A.; Hong, Y.; Gebregiorgis, A.S.; Cao, J.; Hu, B.; Xue, X.; Zhang, X. Hydrologic evaluation of the TRMM multisatellite precipitation analysis over Ganjiang Basin in humid southeastern China. IEEE J. Sel. Top. Appl. Earth Obs. Remote. Sens. 2015, 8, 4568–4580. [Google Scholar] [CrossRef]
- Li, N.; Tang, G.; Zhao, P.; Hong, Y.; Gou, Y.; Yang, K. Statistical assessment and hydrological utility of the latest multi-satellite precipitation analysis IMERG in Ganjiang River basin. Atmos. Res. 2017, 183, 212–223. [Google Scholar] [CrossRef]
- Harris, I.; Jones, P.D.; Osborn, T.J.; Lister, D.H. Updated high-resolution grids of monthly climatic observations—The CRU TS3. 10 Dataset. Int. J. Climatol. 2014, 34, 623–642. [Google Scholar] [CrossRef]
- Anjum, M.N.; Ding, Y.; Shangguan, D.; Ahmad, I.; Ijaz, M.W.; Farid, H.U.; Yagoub, Y.E.; Zaman, M.; Adnan, M. Performance evaluation of latest integrated multi-satellite retrievals for Global Precipitation Measurement (IMERG) over the northern highlands of Pakistan. Atmos. Res. 2018, 205, 134–146. [Google Scholar] [CrossRef]
- Gao, Y.; Markkanen, T.; Thum, T.; Aurela, M.; Lohila, A.; Mammarella, I.; Kämäräinen, M.; Hagemann, S.; Aalto, T. Assessing various drought indicators in representing summer drought in boreal forests in Finland. Hydrol. Earth Syst. Sci. 2016, 20, 175–191. [Google Scholar] [CrossRef]
- Ali, S.; Chen, Y.; Azmat, M.; Kayumba, P.M.; Ahmed, Z.; Mind’je, R.; Ghaffar, A.; Qin, J.; Tariq, A. Long-term performance evaluation of the latest multi-source weighted-ensemble precipitation (MSWEP) over the highlands of Indo-Pak (1981–2009). Remote Sens. 2022, 1419, 4773. [Google Scholar] [CrossRef]
- Shafeeque, M.; Luo, Y.; Wang, X.; Sun, L. Revealing vertical distribution of precipitation in the Glacierized Upper Indus Basin based on multiple datasets. J. Hydrometeorol. 2019, 20, 2291–2314. [Google Scholar] [CrossRef]
- Jiang, Q.; Li, W.; Fan, Z.; He, X.; Sun, W.; Chen, S.; Wen, J.; Gao, J.; Wang, J. Evaluation of the ERA5 reanalysis precipitation dataset over Chinese Mainland. J. Hydrol. 2021, 595, 125660. [Google Scholar] [CrossRef]
- Harris, I.; Osborn, T.J.; Jones, P.; Lister, D. Version 4 of the CRU TS monthly high-resolution gridded multivariate climate dataset. Sci. Data 2020, 7, 109. [Google Scholar] [CrossRef] [PubMed]
- Montazeri, M.; Kiany, M.; Masoodian, S. Evaluation of Tropical Rainfall Measuring Mission (TRMM) Multi-satellite precipitation analysis (TMPA v7) in drought monitoring over southwest Iran. Clim. Res. 2020, 82, 55–73. [Google Scholar] [CrossRef]
- Malardel, S.; Wedi, N.; Deconinck, W.; Diamantakis, M.; Kuehnlein, C.; Mozdzynski, G.; Hamrud, M.; Smolarkiewicz, P. A new grid for the IFS. ECMWF Newsl. 2016, 146, 321. [Google Scholar]
- Huffman, G.J.; Bolvin, D.T.; Braithwaite, D.; Hsu, K.-L.; Joyce, R.J.; Kidd, C.; Nelkin, E.J.; Sorooshian, S.; Stocker, E.F.; Tan, J.; et al. Integrated Multi-satellite Retrievals for the Global Precipitation Measurement (GPM) Mission (IMERG). In Satellite Precipitation Measurement, Advances in Global Change Research; Levizzani, V., Kidd, C., Kirschbaum, D.B., Kummerow, C.D., Nakamura, K., Turk, F.J., Eds.; Springer: Cham, Switzerland, 2020; pp. 343–353. [Google Scholar]
- Beck, H.E.; Wood, E.F.; Pan, M.; Fisher, C.K.; Miralles, D.G.; Van Dijk, A.I.J.M.; McVicar, T.R.; Adler, R.F. MSWEP V2 global 3-hourly 0.1° precipitation: Methodology and quantitative assessment. Bull. Am. Meteorol. Soc. 2019, 100, 473–500. [Google Scholar] [CrossRef]
- Duan, Z.; Liu, J.; Tuo, Y.; Chiogna, G.; Disse, M. Evaluation of eight high spatial resolution gridded precipitation products in Adige Basin (Italy) at multiple temporal and spatial scales. Sci. Total Environ. 2016, 573, 1536–1553. [Google Scholar] [CrossRef]
- Rahman, K.U.; Shang, S.; Shahid, M.; Wen, Y. Performance assessment of SM2RAIN-CCI and SM2RAIN-ASCAT precipitation products over Pakistan. Remote Sens. 2019, 11, 2040. [Google Scholar] [CrossRef]
- Arshad, M.; Ma, X.; Yin, J.; Ullah, W.; Liu, M.; Ullah, I. Performance evaluation of ERA-5, JRA-55, MERRA-2, and CFS-2 reanalysis datasets, over diverse climate regions of Pakistan. Weather Clim. Extrem. 2021, 33, 100373. [Google Scholar] [CrossRef]
- Hafizi, H.; Sorman, A.A. Assessment of 13 gridded precipitation datasets for hydrological modeling in a mountainous basin. Atmosphere 2022, 13, 143. [Google Scholar] [CrossRef]
- Nadeem, M.U.; Anjum, M.N.; Afzal, A.; Azam, M.; Hussain, F.; Usman, M.; Javaid, M.M.; Mukhtar, M.A.; Majeed, F. Assessment of multi-satellite precipitation products over the Himalayan Mountains of Pakistan, South Asia. Sustainability 2022, 14, 8490. [Google Scholar] [CrossRef]
- Sultan, U.; Laraib, M.; Ilyas, M.A.; Ahmad, M.; Abbas, K.; Khan, H.U.; Arshed, A.B.; Khalid, O. Statistical assessment of uncertainty and performance of multiple satellite-based precipitation products in capturing extreme precipitation events across Punjab Province, Pakistan. J. Water Clim. Chang. 2024, 15, 4647–4665. [Google Scholar] [CrossRef]
- Hassan, G. Improving Sustainable Groundwater Management: A Case Study of Managed Aquifer Recharge in Punjab Pakistan. Doctoral Thesis, Charles Sturt University, Bathurst, NSW, Australia, 2023. [Google Scholar]
- Ullah, I.; Ma, X.; Yin, J.; Asfaw, T.G.; Azam, K.; Syed, S.; Liu, M.; Arshad, M.; Shahzaman, M. Evaluating the meteorological drought characteristics over Pakistan using in situ observations and reanalysis products. Int. J. Climatol. 2021, 41, 4437–4459. [Google Scholar] [CrossRef]
- Sajjad, H.; Ghaffar, A. Observed, simulated and projected extreme climate indices over Pakistan in changing climate. Theor. Appl. Clim. 2019, 137, 255–281. [Google Scholar] [CrossRef]
- Adnan, S.; Ullah, K. Long-term trends in climate parameters and multiple indices for drought monitoring over Pakistan. Meteorol. Atmos. Phys. 2022, 134, 75. [Google Scholar] [CrossRef]
- Iqbal, M.F.; Athar, H. Validation of satellite based precipitation over diverse topography of Pakistan. Atmos. Res. 2018, 201, 247–260. [Google Scholar] [CrossRef]
- Adnan, M.; Nabi, G.; Kang, S.; Zhang, G.; Adnan, R.M.; Anjum, M.N.; Iqbal, M.; Ali, A.F. Snowmelt Runoff Modelling under Projected Climate Change Patterns in the Gilgit River Basin of Northern Pakistan. Pol. J. Environ. Stud. 2017, 26, 525–542. [Google Scholar] [CrossRef]
- Ahmed, K.; Shahid, S.; Nawaz, N. Impacts of climate variability and change on seasonal drought characteristics of Pakistan. Atmos. Res. 2018, 214, 364–374. [Google Scholar] [CrossRef]
- Khan, N.; Sachindra, D.A.; Shahid, S.; Ahmed, K.; Shiru, M.S.; Nawaz, N. Prediction of droughts over Pakistan using machine learning algorithms. Adv. Water Resour. 2020, 139, 103562. [Google Scholar] [CrossRef]
- Rahman, K.U.; Shang, S.; Zohaib, M. Assessment of merged satellite precipitation datasets in monitoring meteorological drought over Pakistan. Remote Sens. 2021, 13, 1662. [Google Scholar] [CrossRef]
- Hussain, A.; Hussain, I.; Rezaei, A.; Ullah, W.; Lu, M.; Zhou, J.; Guan, Y. Increasing monsoon precipitation extremes in relation to large-scale climatic patterns in Pakistan. Atmos. Res. 2024, 309, 107592. [Google Scholar] [CrossRef]
- Hussain, Y.; Satgé, F.; Hussain, M.B.; Martinez-Carvajal, H.; Bonnet, M.P.; Cárdenas-Soto, M.; Roig, H.L.; Akhter, G. Performance of CMORPH, TMPA, and PERSIANN rainfall datasets over plain, mountainous, and glacial regions of Pakistan. Theor. Appl. Clim. 2018, 131, 1119–1132. [Google Scholar] [CrossRef]
- Dahri, Z.H.; Ludwig, F.; Moors, E.; Ahmad, S.; Ahmad, B.; Shoaib, M.; Ali, I.; Iqbal, M.S.; Pomee, M.S.; Mangrio, A.G. Spatio-temporal evaluation of gridded precipitation products for the high-altitude Indus basin. Int. J. Clim. 2021, 41, 4283–4306. [Google Scholar] [CrossRef]
- New, M.; Hulme, M.; Jones, P. Representing twentieth-century space–time climate variability. Part II: Development of 1901–96 monthly grids of terrestrial surface climate. J. Clim. 2000, 13, 2217–2238. [Google Scholar] [CrossRef]
- Muñoz-Sabater, J.; Dutra, E.; Agustí-Panareda, A.; Albergel, C.; Arduini, G.; Balsamo, G.; Boussetta, S.; Choulga, M.; Harrigan, S.; Hersbach, H. ERA5-Land: A state-of-the-art global reanalysis dataset for land applications. Earth syst. Sci. Data 2021, 13, 4349–4383. [Google Scholar] [CrossRef]
- Huffman, G.J.; Stocker, E.F.; Bolvin, D.T.; Nelkin, E.J.; Tan, J. GPM IMERG Final Precipitation L3 1 Month 0.1 Degree × 0.1 Degree V07; Goddard Earth Sciences Data and Information Services Center (GES DISC): Greenbelt, MD, USA, 2023. [CrossRef]
- Beck, H.E.; Vergopolan, N.; Pan, M.; Levizzani, V.; Van Dijk, A.I.; Weedon, G.P.; Brocca, L.; Pappenberger, F.; Huffman, G.J.; Wood, E.F. Global-scale evaluation of 22 precipitation datasets using gauge observations and hydrological modeling. Hydrol. Earth Syst. Sci. 2017, 21, 6201–6217. [Google Scholar] [CrossRef]
- Abebe, S.A.; Qin, T.; Yan, D.; Gelaw, E.B.; Workneh, H.T.; Kun, W.; Liu, S.; Dong, B. Spatial and temporal evaluation of the latest high-resolution precipitation products over the Upper Blue Nile River Basin, Ethiopia. Water 2020, 12, 3072. [Google Scholar] [CrossRef]
- Hafizi, H.; Sorman, A.A. Assessment of satellite and reanalysis precipitation products for rainfall–runoff modelling in a mountainous basin. Environ. Sci. Proc. 2021, 8, 25. [Google Scholar] [CrossRef]
- Knoben, W.J.; Freer, J.E.; Woods, R.A. Inherent benchmark or not? Comparing Nash–Sutcliffe and Kling–Gupta efficiency scores. Hydrol. Earth Syst. Sci. 2019, 23, 4323–4331. [Google Scholar] [CrossRef]
- Zhao, N.; Chen, K. A Simple method of coupled merging and downscaling for multi-source daily precipitation data. Remote Sens. 2023, 15, 4377. [Google Scholar] [CrossRef]
- Gampe, D.; Ludwig, R. Evaluation of gridded precipitation data products for hydrological applications in complex topography. Hydrology 2017, 4, 53. [Google Scholar] [CrossRef]
- Knapp, K.R.; Ansari, S.; Bain, C.L.; Bourassa, M.A.; Dickinson, M.J.; Funk, C.; Helms, C.N.; Hennon, C.C.; Holmes, C.D.; Huffman, G.J.; et al. Globally gridded satellite observations for climate studies. Bull. Am. Meteorol. Soc. 2011, 92, 893–907. [Google Scholar] [CrossRef]
- Furl, C.; Ghebreyesus, D.; Sharif, H.O. Assessment of the performance of satellite-based precipitation products for flood events across diverse spatial scales using GSSHA modeling system. Geosciences 2018, 86, 191. [Google Scholar] [CrossRef]
- Hamza, A.; Anjum, M.N.; Masud Cheema, M.J.; Chen, X.; Afzal, A.; Azam, M.; Shaif, M.K.; Gulakhmadov, A. Assessment of IMERG-V06, TRMM-3B42V7, SM2RAIN-ASCAT, and PERSIANN-CDR precipitation products over the Hindu Kush Mountains of Pakistan, South Asia. Remote Sens. 2020, 12, 3871. [Google Scholar] [CrossRef]
- Song, L.; Xu, C.; Long, Y.; Lei, X.; Suo, N.; Cao, L. Performance of seven gridded precipitation products over Arid Central Asia and Subregions. Remote Sens. 2022, 14, 6039. [Google Scholar] [CrossRef]
- Sarfaraz, S.; Arsalan, M.H.; Fatima, H. Regionalizing the climate of Pakistan using Köppen classification system. Pak. Geogr. Rev. 2014, 69, 111–132. [Google Scholar]
- Ullah, W.; Wang, G.; Ali, G.; Tawia Hagan, D.F.; Bhatti, A.S.; Lou, D. Comparing multiple precipitation products against in-situ observations over different climate regions of Pakistan. Remote Sens. 2019, 11, 628. [Google Scholar] [CrossRef]
- Sarfaraz, S.; Khan, T.M.A. A study of anomalous wet and dry years in the winter precipitation of Pakistan and potential crop yields vulnerability. J. Basic Appl. Sci. 2015, 11, 637–644. [Google Scholar] [CrossRef]
- Javed, Z.H.; Khan, S.; Wahid, A.; Ranjha, A.N.; Hassan, M.U. Climate of the Gilgit-Baltistan province, Pakistan. Int. J. Econ. Environ. Geol. 2020, 11, 1621. [Google Scholar] [CrossRef]
- Dahri, Z.H.; Ludwig, F.; Moors, E.; Ahmad, B.; Khan, A.; Kabat, P. An appraisal of precipitation distribution in the high-altitude catchments of the Indus basin. Sci. Total Environ. 2016, 548–549, 289–306. [Google Scholar] [CrossRef]
- Tahir, A.A.; Chevallier, P.; Arnaud, Y.; Ashraf, M.; Bhatti, M.T. Snow cover trend and hydrological characteristics of the Astore River basin (Western Himalayas) and its comparison to the Hunza basin (Karakoram region). Sci. Total Environ. 2015, 505, 748–761. [Google Scholar] [CrossRef]
- Valencia, S.; Marín, D.E.; Gómez, D.; Hoyos, N.; Salazar, J.F.; Villegas, J.C. Spatio-temporal assessment of Gridded precipitation products across topographic and climatic gradients in Colombia. Atmos. Res. 2023, 285, 106643. [Google Scholar] [CrossRef]
- Chen, Y.; Sharma, S.; Zhou, X.; Yang, K.; Li, X.; Niu, X.; Hu, X.; Khadka, N. Spatial performance of multiple reanalysis precipitation datasets on the southern slope of central Himalaya. Atmos. Res. 2021, 250, 105365. [Google Scholar] [CrossRef]
- Beck, H.E.; Pan, M.; Roy, T.; Weedon, G.P.; Pappenberger, F.; Van Dijk, A.I.J.M.; Huffman, G.J.; Adler, R.F.; Wood, E.F. Daily evaluation of 26 precipitation datasets using Stage-IV gauge-radar data for the CONUS. Hydrol. Earth Syst. Sci. 2019, 23, 207–224. [Google Scholar] [CrossRef]
- Amjad, M.; Yilmaz, M.T.; Yucel, I.; Yilmaz, K.K. Performance evaluation of satellite-and model-based precipitation products over varying climate and complex topography. J. Hydrol. 2020, 584, 124707. [Google Scholar] [CrossRef]
- Xu, X.; Frey, S.K.; Boluwade, A.; Erler, A.R.; Khader, O.; Lapen, D.R.; Sudicky, E. Evaluation of variability among different precipitation products in the Northern Great Plains. J. Hydrol. Reg. Stud. 2019, 24, 100608. [Google Scholar] [CrossRef]
- Iqbal, S.W.; Latif, M.; Ahmed, R.; Adnan, S.; Umar, M.; Ahmad, B.; Azam, M.; Syed, J.H. Performance evaluation and comparison of observed and reanalysis gridded precipitation datasets over Pakistan. Theor. Appl. Clim. 2022, 149, 1093–1116. [Google Scholar] [CrossRef]
- Islam, M.A.; Yu, B.; Cartwright, N. Assessment and comparison of five satellite precipitation products in Australia. J. Hydrol. 2020, 590, 125474. [Google Scholar] [CrossRef]











| S. No | Stations | Longitude | Latitude | Elevation (m) | S. No | Stations | Longitude | Latitude | Elevation (m) |
|---|---|---|---|---|---|---|---|---|---|
| S1. | Skardu | 75.683 | 35.300 | 2209 | S23. | Larkana | 68.233 | 27.533 | 52 |
| S2. | Astore | 74.900 | 35.333 | 2167 | S24. | Moen-jo-daro | 68.100 | 27.367 | 51 |
| S3. | Chilas | 74.100 | 35.416 | 1251 | S25. | Padidan | 68.133 | 26.850 | 46 |
| S4. | Bunji | 74.633 | 35.666 | 1372 | S26. | Dadu | 67.783 | 26.717 | 38 |
| S5. | Gilgit | 74.333 | 35.916 | 1460 | S27. | Nawabshah | 68.367 | 26.250 | 37 |
| S6. | Gupis | 73.400 | 36.166 | 2155 | S28. | Mirpur_khas | 69.000 | 25.517 | 15 |
| S7. | Chitral | 71.830 | 35.850 | 4198 | S29. | Hyderabad | 68.417 | 25.383 | 28 |
| S8. | Saidu | 72.350 | 34.730 | 961 | S30. | Karachi | 66.933 | 24.900 | 22 |
| S9. | Peshawar | 71.580 | 34.020 | 359 | S31. | Thatta | 67.900 | 24.750 | 15 |
| S10. | Parachinar | 70.080 | 33.900 | 1725 | S32. | Badin | 68.900 | 24.633 | 10 |
| S11. | D.I.Khan | 70.920 | 31.820 | 171 | S33. | Mithi | 69.800 | 24.750 | 30 |
| S12. | Kakul | 73.250 | 34.180 | 21 | S34. | Chhor | 69.776 | 25.518 | 5 |
| S13. | Islamabad | 73.080 | 33.700 | 55 | S35. | Lasbella | 66.170 | 26.270 | 87 |
| S14. | Jhelum | 73.730 | 32.930 | 56 | S36. | Pasni | 63.480 | 25.270 | 9 |
| S15. | Sargodha | 72.670 | 32.050 | 187 | S37. | Jiwani | 61.800 | 25.070 | 56 |
| S16. | Lahore | 74.400 | 31.520 | 283 | S38. | Panjgur | 64.100 | 26.970 | 968 |
| S17. | Bahawalnagar | 73.330 | 29.970 | 161 | S39. | Nokkundi | 62.750 | 28.820 | 2015 |
| S18. | Multan | 71.430 | 30.200 | 122 | S40. | Dalbandin | 64.400 | 28.880 | 848 |
| S19. | Khanpur | 70.680 | 28.650 | 88 | S41. | Kalat | 66.580 | 29.030 | 2015 |
| S20. | Sukkur | 69.450 | 28.133 | 68 | S42. | Quetta | 66.880 | 30.250 | 1719 |
| S21. | Jacobabad | 68.467 | 28.300 | 287 | S43. | Zhob | 69.470 | 31.350 | 1405 |
| S22. | Rohri | 68.900 | 27.667 | 66 |
| Datasets | Latest Version | Spatial Resolution | Modified Resolution | Time Span |
|---|---|---|---|---|
| CRU TS | CRU TS v4.08 | 0.5° × 0.5° | 0.1° × 0.1° | 1901–2023 |
| ERA-5 | ERA5-Land | 0.1° × 0.1° | 0.1° × 0.1° | 1950–2024 |
| IMERG | IMERG v07B | 0.1° × 0.1° | 0.1° × 0.1° | 1979–2020 |
| MSWEP | MSWEP v2.8 | 0.1° × 0.1° | 0.1° × 0.1° | 2000–2024 |
| Region | Datasets | Correlation | RMSE (mm) | PBias (%) | KGE |
|---|---|---|---|---|---|
| GB | CRU TS | 0.54 | 28.37 | 89.19 | −0.11 |
| ERA−5 | 0.47 | 84.79 | 450.57 | −3.67 | |
| IMERG7 | 0.62 | 27.46 | 76.65 | −0.07 | |
| MSWEP2.8 | 0.61 | 26.93 | 108.03 | −0.19 | |
| KPK | CRU TS | 0.76 | 50.19 | 4.74 | 0.53 |
| ERA-5 | 0.75 | 59.91 | 34.87 | 0.32 | |
| IMERG7 | 0.88 | 39.24 | 12.54 | 0.65 | |
| MSWEP2.8 | 0.80 | 43.51 | −8.24 | 0.57 | |
| Punjab | CRU TS | 0.74 | 41.22 | −4.92 | 0.59 |
| ERA-5 | 0.77 | 42.18 | 7.38 | 0.63 | |
| IMERG7 | 0.91 | 28.34 | 13.64 | 0.75 | |
| MSWEP2.8 | 0.84 | 37.18 | −9.15 | 0.64 | |
| Sindh | CRU TS | 0.65 | 32.58 | −20.57 | 0.42 |
| ERA-5 | 0.80 | 27.10 | 14.92 | 0.60 | |
| IMERG7 | 0.90 | 20.19 | 30.22 | 0.63 | |
| MSWEP2.8 | 0.85 | 22.89 | −0.65 | 0.69 | |
| Balochistan | CRU TS | 0.66 | 17.52 | −11.96 | 0.48 |
| ERA-5 | 0.76 | 16.54 | 8.17 | 0.60 | |
| IMERG7 | 0.90 | 11.43 | 20.76 | 0.71 | |
| MSWEP2.8 | 0.81 | 14.57 | 5.25 | 0.69 |
| Time Series | Datasets | Correlation | RMSE (mm) | PBias (%) | KGE |
|---|---|---|---|---|---|
| Monthly | CRU TS | 0.66 | 32.71 | 2.62 | 0.40 |
| ERA-5 | 0.73 | 39.35 | 75.82 | −0.03 | |
| IMERG7 | 0.86 | 23.35 | 29.55 | 0.57 | |
| MSWEP2.8 | 0.79 | 26.91 | 13.30 | 0.54 | |
| Winter | CRU | 0.63 | 52.59 | 14.42 | 0.42 |
| ERA-5 | 0.77 | 87.42 | 82.82 | −0.16 | |
| IMERG7 | 0.80 | 45.13 | 35.91 | 0.45 | |
| MSWEP2.8 | 0.78 | 42.51 | 23.68 | 0.44 | |
| Pre-Monsoon | CRU | 0.42 | 48.55 | −3.52 | 0.07 |
| ERA-5 | 0.57 | 67.62 | 45.36 | −0.01 | |
| IMERG7 | 0.78 | 36.88 | 35.24 | 0.44 | |
| MSWEP2.8 | 0.61 | 42.72 | 9.90 | 0.34 | |
| Monsoon | CRU | 0.57 | 93.02 | 15.45 | 0.16 |
| ERA-5 | 0.65 | 127.50 | 115.33 | −0.54 | |
| IMERG7 | 0.83 | 70.23 | 49.94 | 0.27 | |
| MSWEP2.8 | 0.72 | 79.18 | 21.15 | 0.33 | |
| Post-Monsoon | CRU | 0.54 | 22.76 | −0.11 | −0.04 |
| ERA-5 | 0.75 | 35.91 | 193.64 | −1.39 | |
| IMERG7 | 0.90 | 17.13 | 57.94 | 0.09 | |
| MSWEP2.8 | 0.82 | 21.10 | 85.112 | −0.19 |
| Region | Datasets | Correlation | RMSE (mm) | PBias (%) | KGE |
|---|---|---|---|---|---|
| Region I | CRU TS | 0.570 | 30.584 | 86.067 | −0.065 |
| ERA-5 | 0.525 | 81.285 | 404.794 | −3.198 | |
| IMERG7 | 0.653 | 26.852 | 67.275 | 0.042 | |
| MSWEP2.8 | 0.633 | 27.248 | 95.477 | −0.087 | |
| Region II | CRU TS | 0.758 | 67.213 | −6.430 | 0.627 |
| ERA-5 | 0.769 | 71.205 | −6.750 | 0.507 | |
| IMERG7 | 0.898 | 55.018 | −1.182 | 0.640 | |
| MSWEP2.8 | 0.817 | 59.442 | −20.910 | 0.583 | |
| Region III | CRU TS | 0.669 | 31.884 | −16.737 | 0.456 |
| ERA-5 | 0.781 | 29.507 | 13.604 | 0.598 | |
| IMERG7 | 0.895 | 20.494 | 26.418 | 0.677 | |
| MSWEP2.8 | 0.834 | 24.777 | −2.217 | 0.673 | |
| Region IV | CRU TS | 0.718 | 15.736 | −4.774 | 0.561 |
| ERA-5 | 0.777 | 16.333 | 16.844 | 0.615 | |
| IMERG7 | 0.914 | 10.599 | 19.636 | 0.711 | |
| MSWEP2.8 | 0.819 | 14.107 | 7.526 | 0.690 |
Disclaimer/Publisher’s Note: The statements, opinions and data contained in all publications are solely those of the individual author(s) and contributor(s) and not of MDPI and/or the editor(s). MDPI and/or the editor(s) disclaim responsibility for any injury to people or property resulting from any ideas, methods, instructions or products referred to in the content. |
© 2024 by the authors. Licensee MDPI, Basel, Switzerland. This article is an open access article distributed under the terms and conditions of the Creative Commons Attribution (CC BY) license (https://creativecommons.org/licenses/by/4.0/).
Share and Cite
Abbas, H.; Song, W.; Wang, Y.; Xiang, K.; Chen, L.; Feng, T.; Linghu, S.; Alam, M. Validation of CRU TS v4.08, ERA5-Land, IMERG v07B, and MSWEP v2.8 Precipitation Estimates Against Observed Values over Pakistan. Remote Sens. 2024, 16, 4803. https://doi.org/10.3390/rs16244803
Abbas H, Song W, Wang Y, Xiang K, Chen L, Feng T, Linghu S, Alam M. Validation of CRU TS v4.08, ERA5-Land, IMERG v07B, and MSWEP v2.8 Precipitation Estimates Against Observed Values over Pakistan. Remote Sensing. 2024; 16(24):4803. https://doi.org/10.3390/rs16244803
Chicago/Turabian StyleAbbas, Haider, Wenlong Song, Yicheng Wang, Kaizheng Xiang, Long Chen, Tianshi Feng, Shaobo Linghu, and Muneer Alam. 2024. "Validation of CRU TS v4.08, ERA5-Land, IMERG v07B, and MSWEP v2.8 Precipitation Estimates Against Observed Values over Pakistan" Remote Sensing 16, no. 24: 4803. https://doi.org/10.3390/rs16244803
APA StyleAbbas, H., Song, W., Wang, Y., Xiang, K., Chen, L., Feng, T., Linghu, S., & Alam, M. (2024). Validation of CRU TS v4.08, ERA5-Land, IMERG v07B, and MSWEP v2.8 Precipitation Estimates Against Observed Values over Pakistan. Remote Sensing, 16(24), 4803. https://doi.org/10.3390/rs16244803
