Next Article in Journal
Active Hyperspectral Scanning of Rock Face with a Supercontinuum Laser
Next Article in Special Issue
Prelaunch Reflective Solar Band Radiometric Performance of JPSS-3 and -4 VIIRS
Previous Article in Journal
A Review of Research on Cloud Detection Methods for Hyperspectral Infrared Radiances
Previous Article in Special Issue
Early Mission Calibration Performance of NOAA-21 VIIRS Reflective Solar Bands
 
 
Font Type:
Arial Georgia Verdana
Font Size:
Aa Aa Aa
Line Spacing:
Column Width:
Background:
Article

Pre-Launch Thermal Emissive Band Radiometric Performance for JPSS-3 and -4 VIIRS

1
The Aerospace Corporation, 2310 El Segundo Blvd., El Segundo, CA 90245, USA
2
Science Systems and Applications Inc., 10210 Greenbelt Road, Suite 600, Lanham, MD 20706, USA
3
Sciences and Exploration Directorate, National Aeronautics and Space Administration (NASA)/Goddard Space Flight Center (GSFC), Greenbelt, MD 20771, USA
*
Author to whom correspondence should be addressed.
Remote Sens. 2024, 16(24), 4630; https://doi.org/10.3390/rs16244630
Submission received: 15 October 2024 / Revised: 11 November 2024 / Accepted: 8 December 2024 / Published: 11 December 2024
(This article belongs to the Collection The VIIRS Collection: Calibration, Validation, and Application)

Abstract

The Joint Polar Satellite System 3 (JPSS-3) and 4 (JPSS-4) Visible Infrared Imaging Radiometer Suite (VIIRS) are the fourth and fifth in its series of instruments designed to provide high-quality data products for environmental and climate data records. The VIIRS instrument must be calibrated and characterized prior to launch to meet the data product needs. A comprehensive test program was conducted at the Raytheon Technologies facility in 2020 (JPSS-3) and 2023 (JPSS-4) that included extensive functional and environmental testing. The thermal band radiometric pre-launch performance and stability are the focus of this article, which also compares several instrument performance metrics to the design requirements. Brief comparisons with the JPSS-1 and -2 VIIRS instrument performance will also be discussed.

1. Introduction

The Visible Infrared Imaging Radiometer Suite (VIIRS) is an electro-optical infra-red instrument onboard the Suomi National Polar-orbiting Partnership (S-NPP), National Oceanic and Atmospheric Administration 20 (NOAA-20), and NOAA-21 spacecrafts with launches in 2011, 2017, and 2022, respectively [1]. The two remaining VIIRS instruments on-board, Joint Polar Satellite System 3 (JPSS-3) and JPSS-4, will be launched in 2032 and 2027, respectively. VIIRS is in a sun-synchronous low Earth orbit with twice a day temporal frequency. Its mission is to provide highly calibrated observations of different geophysical phenomena of the land, ocean, and atmospheric systems [2]. Land products, such as surface albedo, Normalized Difference Vegetation Index (NDVI), active fires, ocean products, such as sea surface temperature and ocean color/chlorophyll, and atmospheric products, such as cloud cover, aerosol optical thickness, and cloud top temperature, are important inputs to weather forecasting and global climate modeling [3,4,5,6,7]. The historical climate dataset, that spans more than 40 years, includes instruments such as Advanced Very High Resolution Radiometer (AVHRR) [8], Moderate Resolution Imaging Spectroradiometer (MODIS) [9], and VIIRS. Climate models use this historical dataset to monitor human activity in the Earth’s ecosystem and predict its future global impacts. This requires AVHRR, MODIS, and VIIRS to have radiometric and calibration consistency between instruments over their missions. The improved calibration of the most recent instrument, VIIRS, can be applied to heritage instruments, such as AVHRR, to improve the calibration quality across the entire dataset. This is performed through vicarious calibration methods that propagate the VIIRS calibration through each AVHRR instrument. This can be performed for both the reflective solar bands (RSBs) and thermal emissive bands (TEBs) [10,11]. This makes the radiometric calibration of VIIRS important for both weather forecasting and climate monitoring. The VIIRS instrument produces sensor data records (SDRs) with radiance, reflectance, and brightness temperature information that is geolocated and calibrated. The SDRs feed into the environmental data record (EDR) algorithms that produce the land, ocean, and atmospheric products.

1.1. VIIRS Emissive Band Overview

VIIRS has seven TEBs located on two focal planes, the midwave infra-red (MWIR) and the longwave infra-red (LWIR). Bands I4, M12, and M13 are on the MWIR and bands M14–M16 on the LWIR. The TEBs have two spatial resolutions with five moderate-resolution (M-) bands with a nadir dynamic field of view (DFOV) of 750 m and two imaging (I-) bands with a nadir DFOV of 375 m. The spectral, DFOV, and dynamic range information is listed in Table 1. Their dynamic ranges cover anywhere from 190 K to 350 K to allow atmosphere, land, and ocean measurements to be acquired without saturation. Band M13 is a dual gain band with the high gain (HG) used for typical Earth observations and the low gain (LG) for fire detection. The noise equivalent delta temperature (NEdT) values, listed in Table 1, are for the typical scene temperature Ttyp and were determined to be the highest noise values that would provide the desired EDR performance. The radiometric uncertainty is listed in Table 2. The SDR uncertainty is stratified to fit the EDR needs such as warm sea surface temperature or cold cloud scenes. To meet the uncertainty requirements, VIIRS has an on-board calibration blackbody (OBCBB) and space view (SV) calibration targets. The SV is an open port on the dark side of the instrument to look at cold space. This view is used to remove most of the internal optical emission of the instrument during an Earth observation. The OBCBB is a v-grooved blackbody that is set to ~292 K and is used to track the gain change of the TEBs. Figure 1 is a cartoon of the VIIRS instrument showing the locations of the internal calibrators and the cryocooler that is used to keep the MWIR and LWIR FPAs at their operational temperatures. Figure 2 illustrates the scan of VIIRS and where each collection window lies within the scan.
VIIRS is a cross-track scanner with the M- and I-bands having 16 and 32 detectors, respectively, in the track direction sweeping across the Earth each scan. A half-angle mirror (HAM) combined with the rotating telescope assembly (RTA) are the optical elements used as the cross-track scanner system. The HAM is a two-sided mirror that spins at half the speed of the RTA and directs the collimated light from the RTA to the aft-optics telescope. Each side of the HAM requires its own calibration and its change in reflectance as a function of scan angle must be understood. The response versus scan angle (RVS) captures the angular reflectance dependence of the HAM and is discussed in further detail in [12]. The aft optics have two dichroic beam splitters that spectrally filter the visible near infra-red (VNIR), shortwave midwave infra-red (SMIR), and LWIR spectral energy to the appropriate focal plane assembly (FPA). The SMIR and LWIR FPAs are cooled to 82 K for JPSS-3 and 80 K for JPSS-4 using a dewar system with a unique window for each. The FPA temperature set points are determined by the cryoradiator efficiency and heater margins. For JPSS-3, the cryoradiator margin was lower and therefore a higher FPA set point is used to ensure cooling capability throughout the mission life. The SMIR FPA has both the shortwave infra-red (SWIR) and MWIR bands with only the MWIR part of the TEB calibration. The thermal emission from the aft optics does not change with scan angle and can be removed with the cold SV subtraction. The HAM’s RVS variation does not allow the full thermal emission from the RTA and HAM to be fully subtracted using the cold SV subtraction. This residual emission must be accounted for in the SDR radiometric calibration and will be discussed in Section 2 in more detail.
Table 1. VIIRS thermal bands with DFOV at nadir, wavelength range, gain mode, upper and lower dynamic range limits, and typical scene temperature as defined by the sensor specification [13].
Table 1. VIIRS thermal bands with DFOV at nadir, wavelength range, gain mode, upper and lower dynamic range limits, and typical scene temperature as defined by the sensor specification [13].
BandGround FOV [m]Spectral Range [µm]Band GainTmin [K]Ttyp [K]Tmax [K]NEdT [K]
M127503.660–3.840Single2302703530.396
M137503.973–4.128High2303003430.107
Low3433806340.423
I43753.550–3.930Single2102703532.5
M147508.400–8.700Single1902703360.091
M1575010.263–11.263Single1903003430.07
I537510.500–12.400Single1902103401.5
M1675011.538–12.488Single1903003400.072
Table 2. JPSS VIIRS radiometric uncertainty requirements for each TEB and scene temperature.
Table 2. JPSS VIIRS radiometric uncertainty requirements for each TEB and scene temperature.
Band190 K230 K267 K270 K310 K340 K
I45.0
I52.5
M127.00.70.70.7
M13 HG5.70.70.70.7
M13 LG
M1412.32.40.60.40.5
M152.10.60.40.40.4
M161.60.60.40.40.4

1.2. Pre-Launch Testing Overview

The instrument vendor Raytheon Technologies conducted a comprehensive set of thermal vacuum (TV) environment radiometric performance tests in late 2020 and 2023 for JPSS-3 and -4, respectively. The bulk of TV testing was performed at three instrument temperature plateaus (cold, nominal, and hot) that cover the expected temperature range over the 5-year mission of each instrument. The test programs used for JPSS-3 and -4 VIIRS were consistent with the JPSS-1 and -2 VIIRS approaches [14,15]. They used a combination of four blackbodies to characterize the instrument’s performance. An external cavity blackbody located within the TV chamber called the blackbody calibration source (BCS) was used as the National Institute of Standards and Technology (NIST) traceable reference. It can control its temperature within the 190 K to 345 K range and has an emissivity of ~99.96%. It is located at an approximately 41° scan angle in the Earth view (EV). With the BCS maximum temperature at 345 K, another external blackbody is required to characterize the M13 LG performance. The three-mirror collimator blackbody (TMCBB) source was used for the M13 LG calibration. It is placed external to the TV chamber, at ~7° in the EV scan, and has a three-mirror telescope, fold mirror, and TV chamber window between the blackbody and the instrument. It is external to the chamber because it also serves as the spatial characterization source for the RSBs and TEBs. The RSB TMC spherical integration source would not function properly inside the TV chamber, so the TMC is placed external to the TV chamber and a steering mirror guides its output through the appropriate chamber window. The TMCBB can reach temperatures above 700 K, but its actual radiometric output is unknown due to the aforementioned optics in the path. Therefore, a cross-calibration approach between the BCS and TMCBB is used to transfer the BCS calibration to the TMCBB. This allows the M13 LG calibration to trace back to the BCS and provide consistency with the M13 HG measurements. The cold reference is called the space view source (SVS) and is a cavity blackbody that was cooled to ~90 K. It was located at the SV scan position of ~65.7°. The last blackbody source used during testing was the OBCBB. The OBCBB was fixed at 292 K during the BCS calibration testing and the NIST traceability is transferred to the OBCBB using the BCS simultaneous measurements. The radiometric testing for the TEBs is divided into two types: stability and performance. Stability testing entailed a fixed BCS temperature while instrument conditions, like temperature or bus voltage, were varied. Performance testing had stable instrument conditions and the blackbody sources were cycled through discrete temperature levels. Finally, the performance testing was performed at three FPA set temperatures. This allows for flexibility on-orbit where the cyroradiator performance might require an adjustment in the FPA set point as was observed in the case of JPSS-2 VIIRS. Table 3 lists the stability and performance test configurations for both JPSS-3 (upper portion) and -4 (lower portion). The table identifies the instrument electronics side, bus voltage, FPA temperature, and TV temperature plateau configurations. JPSS-3 has more test configurations than JPSS-4 because the cryoradiator margin for JPSS-3 was less than expected and complete characterization at both 80 K and 82 K FPA set points over instrument plateaus was performed. The instrument temperature transitions happen once between each plateau, allowing one FPA temperature setting to be used during for characterization purposes.

2. Materials and Methods

The methodology used to characterize the TEBs has been thoroughly detailed for the JPSS-1 VIIRS instrument [14]. The equations to obtain the radiometric model coefficients and compute the stability and performance metrics have not changed for JPSS-3 and -4 VIIRS and will only be summarized here.

2.1. Radiometric Performance

The calibration uses a blackbody differential approach. This allows the instrument’s internal emission to be removed and an at-aperture radiance to be estimated. The path difference between an external source and the SVS is
L S o u r c e = R V S s o u r c e   ·   ϵ s o u r c e   ·   L s o u r c e R V S S V S R V S s o u r c e ρ r t a 1 ρ r t a L r t a L h a m ,
where the product of the four RTA mirrors’ reflectance is ρ r t a and ϵ s o u r c e is the source’s emissivity. The R V S s o u r c e and R V S S V S are the relative reflectance change of the HAM at the source and SVS scan positions, respectively. The RVS difference between the two blackbodies scales the emission of the RTA optics, L r t a , combined with its emissivity 1 ρ r t a and the HAM emission L h a m . The SVS radiance is not included in Equation (1) due to the near zero radiance at 90 K. The radiances mentioned above are computed using Planck’s law, with the band’s relative spectral response (RSR) and source temperature as inputs [16,17].
When the source is the OBCBB, the lower emissivity of ~0.997 requires that an additional term,
L O B C B B r e f l = R V S O B C B B 1 ϵ O B C B B F r t a L r t a + F s h L s h + F c a v L c a v
be added to the end of Equation (1). This term accounts for the instrument’s internal emission that is reflected off the OBCBB. The internal emissions of the RTA, OBCBB shield, and instrument cavity are L r t a , L s h , and L c a v , respectively, with Planck’s law used to estimate their values. The F r t a , F s h , and F c a v are the view factors of each emission source with respect to the OBCBB and the radiance terms are scaled to weight their contributions to the reflected radiance off the OBCBB.
The TMCBB also has an additional term added to the end of Equation (1). The TMC optics and TV window emission are captured with
L T M C B B e m i s s = R V S T M C B B 1 τ T M C o p L T M C o p + R V S T M C B B 1 ρ w i n d o w L w i n d o w
where τ T M C o p is the transmission of the TMC optics, L T M C o p is the emission of the TMC optics, and ρ w i n d o w is the reflectance and L w i n d o w the emitted radiance of the TV window, respectively. These values are estimated using external temperature sensors near the optics of interest and modeled values of the reflectance/transmission of the surfaces.
The blackbody source difference is modeled using a quadradic polynomial function,
L = c 0 + c 1 · d n + c 2 · d n 2
with the d n corresponding to the instrument’s digital number difference between the source and the SVS. The c i are the calibration coefficients used for on-orbit SDR instrument response to radiance conversion. The BCS and TMCBB are transitioned over a series of temperatures and were used in a polynomial fitting regression to obtain the calibration coefficients. The OBCBB was also put through a warm-up and cool-down cycle, with the BCS at a fixed temperature of 292 K, that allowed the calibration coefficients to be computed using a limited portion of the instrument’s dynamic range. While these calibration coefficients are not used on-orbit for SDR calibration, it is important to understand the differences from the coefficients derived using the BCS. If the coefficients need to be rederived on-orbit, the OBCBB will need to be used and the limitations of those coefficients can be assessed by comparing the pre-launch BCS and OBCBB values. The detector linearity is computed using Equation (4) and the specified dynamic range maximum radiance Lmax.
Equation (1) can be rearranged to solve for the source radiance and Equation (4) substituted for the L to obtain the EV retrieved radiance,
L E V r e t = F · c 0 + c 1 · d n + c 2 · d n 2 R V S E V + R V S S V R V S E V R V S E V ·   ρ r t a 1 ρ r t a L r t a L h a m .
The F corresponds to the on-orbit scan-to-scan gain correction using the OBCBB and can be computed by taking the ratio of Equation (1), with Equation (2) on the end by Equation (4).
F = R V S O B C B B · ϵ O B C B B · L O B C B B R V S S V S R V S O B C B B ρ r t a 1 ρ r t a L r t a L h a m + L O B C B B r e f l c 0 + c 1 · d n O B C B B + c 2 · d n O B C B B 2
Pre-launch uncertainty estimates are applied to Equations (5) and (6) to assess the expected on-orbit performance and are discussed in Section 2.3. The pre-launch calibration coefficients used in Equations (5) and (6) assume an F of 1 during their characterization. Detector-to-detector uniformity was evaluated using the detector averaged retrieved radiance in Equation (5) divided by the noise equivalent differential radiance (NEdL) computed using
N E d L = L S o u r c e S N R s o u r c e
where the S N R s o u r c e is the signal-to-noise ratio (SNR) of the d n averaged over scans divided by the standard deviation of d n over scans. The NEdT is computed using
N E d T = N E d L δ L δ T
where the δ L δ T is the derivative of Planck’s law with respect to source temperature.

2.2. Radiometric Stability

Radiometric stability testing was performed to verify the instrument meets its performance requirements and does not need to be included in the on-orbit SDR calibration algorithm. The stability testing examined how the instrument behaved with the changing instrument conditions listed in Table 3. The stability was trended using the linear gain assumption of
1 c 1 d n L S o u r c e
where the offset and nonlinear calibration coefficients were considered negligible. The gain trending was performed during tests of stability versus time, instrument or FPA temperatures, and bus voltage.

2.3. Radiometric Uncertainty

The radiometric uncertainty was estimated in a consistent manner with previous instrument builds using the methodology outlined in [18,19] where the terms in Equation (5) were propagated to a top-level one-sigma uncertainty. A detailed description of the uncertainty analysis can be found in [14] for JPSS-1 VIIRS with only a brief discussion covered here. The TEB radiometric uncertainty uses the worst-case Schwarz inequality estimate as the upper bound. This includes the covariance terms but has its limitations due to the difficulty in estimating the covariance terms between the parameters in Equation (5). A baseline uncertainty estimate, that did not include the covariance terms, was also computed and is discussed in the next section. The uncertainty is computed for each electronics side and TV plateau for both the external and internal sources. To further explore the quality of the 2nd order polynomial response model in Equation (4), an uncertainty analysis using a linear and cubic model was performed. The results of the different models are compared to understand the optimum response fitting technique. The fit model used in the SDRs is from the BCS and the uncertainty analysis here will use the BCS data. An update to this analysis would be needed if the calibration coefficients are updated on-orbit using the OBCBB warm-up/cool-down.

3. Results

3.1. Data Quality and Reduction

The test data reduction methodology has not changed much from JPSS-1 or JPSS-2 VIIRS with respect to the JPSS-3 and -4 builds. A detailed description of the test data methodology is described in [14] and this section covers a brief overview of the radiometric fitting coefficient performance and stability metrics data reduction approaches. For this work, all the data with quality SNR levels, above 5, were used in determining the performance metrics and were not bound to the design requirements listed in Table 1. This allowed additional data to be included in the analysis and interpolation of data metrics close to the design requirements.
TEB radiometric performance data were collected at various source temperature levels, while the sensor response, telemetry, and external telemetry information was recorded. The instrument detector samples, when viewing the source of interest, were averaged and the SVS background offset was subtracted for each scan. The data were then averaged over all valid scans in the data collection for each HAM side individually.
The resulting d n B C S , d n T M C B B , and d n O B C B B were used in Equation (4). The internal and external telemetry temperature data were used to compute the L s o u r c e , L r t a , L h a m , L s h , L c a v , L T M C o p , and L w i n d o w radiances in Equations (1)–(3) that create the L in Equation (4). The radiances use the internal and external temperatures along with the band’s spectral response functions as inputs into Planck’s law to estimate their emission values. Additional temperature telemetry such as FPA, electronics, and internal instrument temperatures are used to assess stability during the data collections. Some of the input parameters, such as R V S [12], ϵ O B C B B , and ρ r t a [20], were determined using other measurements and not discussed here.
Fits of the radiometric calibration coefficients c i were performed over all unsaturated and high-SNR data within the measurement dynamic range. These calibration coefficients were then used to determine the retrieved radiance, performance metrics, and uncertainties. The detector SNR was fit over the same temperature range and used to interpolate the SNR and NEdT at TTYP. The saturation and gain transition used scene temperatures with partial views of the BCS or TMCBB as VIIRS scanned across the source. After SVS dark subtraction, the maximum d n was averaged over all scans in the data collected and converted to scene radiance using Equation (5). The saturation scene temperature was computed from this radiance value as an input into Planck’s law.

3.2. Radiometric Performance Results

The OBCBB was set to ~292 K for most of TV testing and has six thermistors embedded in its backplate to monitor uniformity across the surface. The standard deviation of the six thermistor readings was used to monitor uniformity and stability change as a function of VIIRS optical temperature. The OBCBB design requirement is for less than 30 mK of uniformity over the instrument’s mission. Figure 3 plots this standard deviation of the OBCBB thermistors as a function of the instrument temperature. The four JPSS VIIRS builds are shown with -1 in black, -2 in red, -3 in green, and -4 in blue. JPSS-1 VIIRS has the best performance and is below 10 mK for all instrument temperatures. JPSS-4 also is below the instrument requirement with 29.5 mK at cold temperatures and ~20 mK when the instrument is warm. Both JPSS-2 and -3 exceed the 30 mK requirement with -3 staying above it for most instrument temperatures. The cause of these exceedances is believed to be issues with the bonding of the heater to the back of the v-groove blackbody. The OBCBB nonuniformity observed in Figure 3 will have an additional increase from day/night cycling that is observed in earlier VIIRS instruments on-orbit [21,22] of up to about 30 mK. This expected JPSS-3 nonuniformity of up to 50 mK could potentially lead to biases in the TEBs that are dependent on latitude. The separation of the JPSS-3 temperature uniformity between ~257 K from 264 K indicates that the temperature gradient across the OBCBB is sensitive to temperatures other than the OMM. The temperature gradients within the instrument change at different rates during the plateau transitions. This shows that an internal temperature changing at a rate different than the OMM temperature is influencing the uniformity of the OBCBB. The shorter OMM temperature range for JPSS-4 is due to the narrower TV plateau temperature range than JPSS-1 and -2. JPSS-3 is similar to JPSS-4 but has a slightly higher hot plateau temperature.
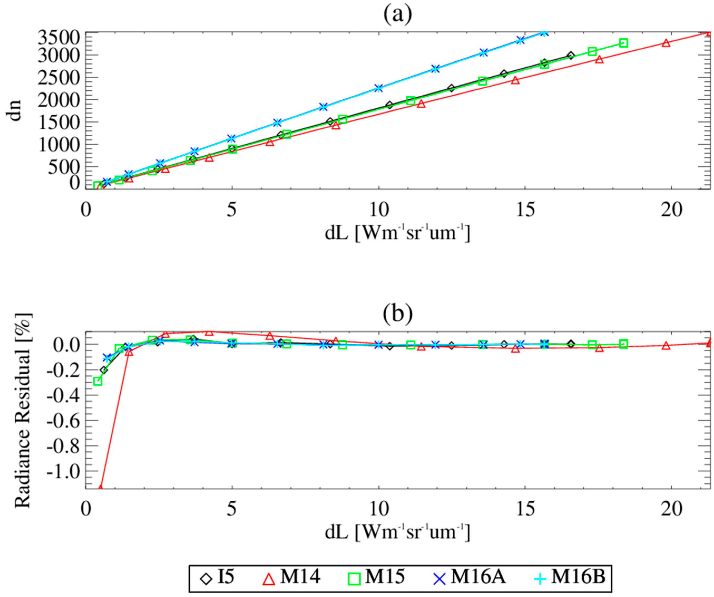
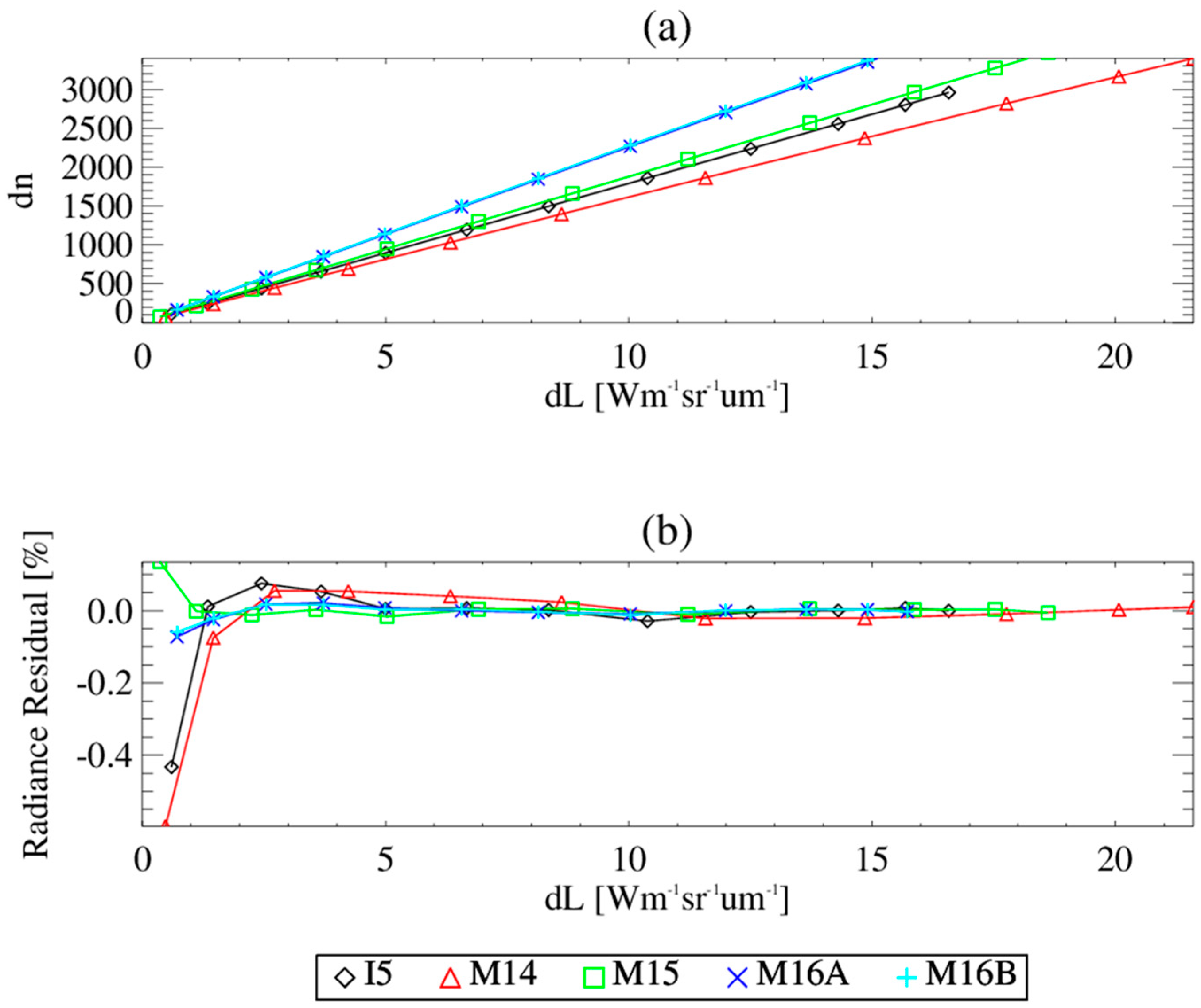
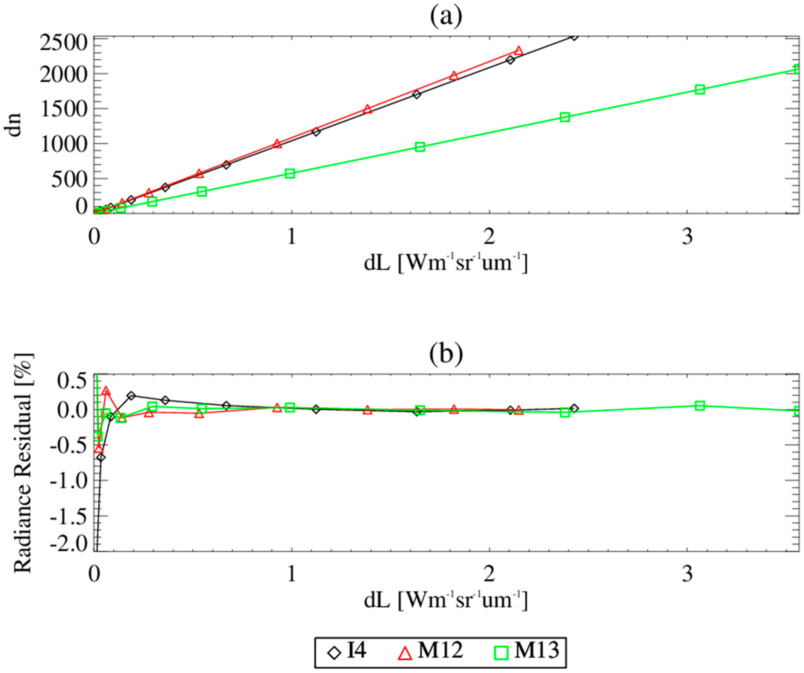
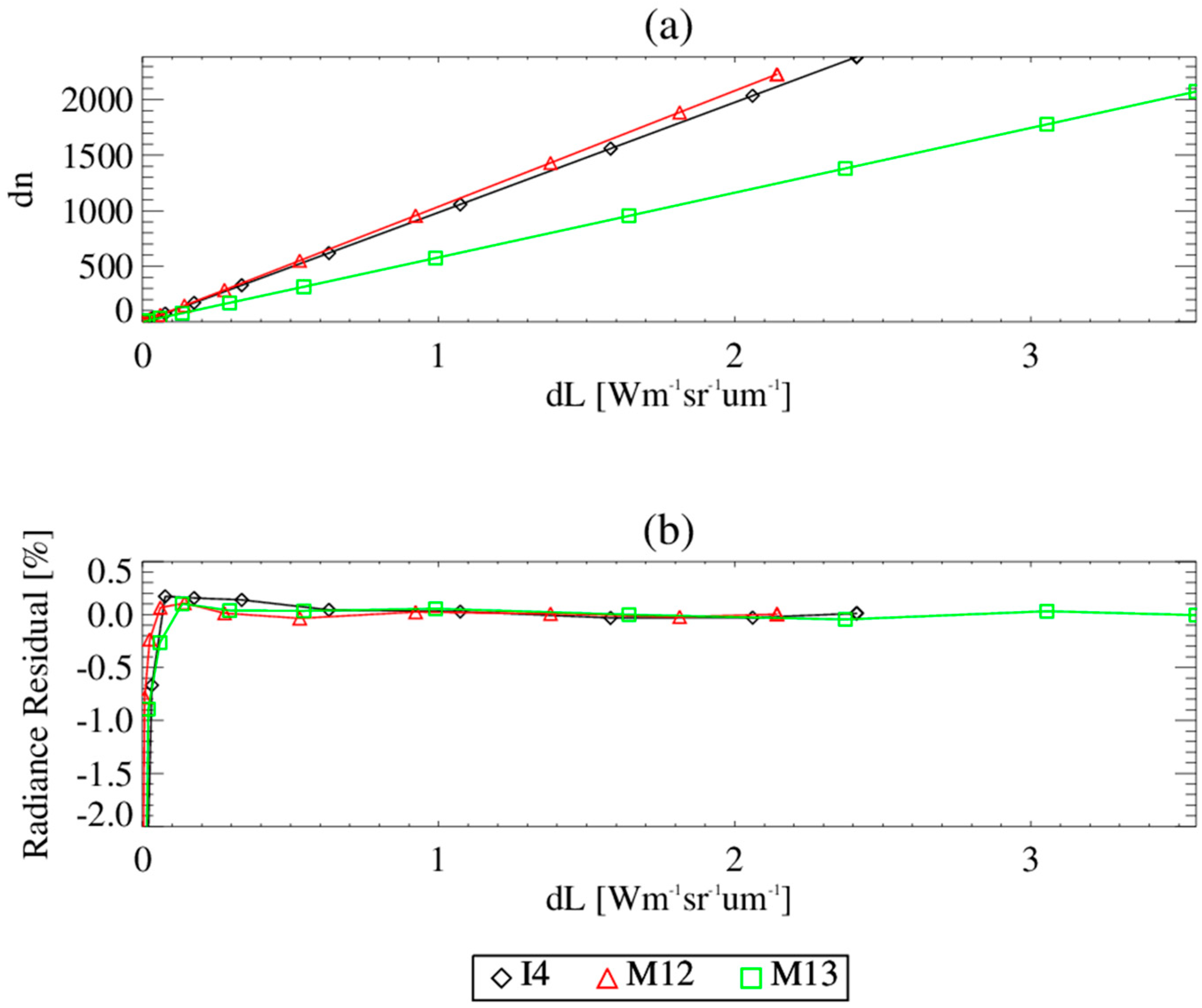
The detector response versus path difference radiance ( L ) is shown in Figure 4, Figure 5, Figure 6 and Figure 7. The points in the upper panels (a) correspond to the d n B C S values measured during the TV radiometric testing and the lines are the c i coefficient fits plotted over the points. The lower panels (b) show the fit residuals between the points in (a) with the fit values. Figure 4 and Figure 5 are the MWIR bands for JPSS-3 and -4, respectively. Figure 6 and Figure 7 are the LWIR bands for JPSS-3 and -4, respectively. The radiance residuals were small apart from the low radiance levels where the instrument noise begins to impact the fitting quality. For the MWIR, the noise was a strong contributor to the fit quality below BCS temperatures of 230 K and caused those residuals to be greater than 4%. The LWIR behaved better at low temperatures and had residuals less than 2% at 190 K source temperature. The M13 low gain also had this issue at scene temperatures below ~350 K due to noise contamination during fitting. The MWIR fit residuals at scene temperatures above 245 K were less than ~0.15% and ~0.10% for JPSS-3 and -4, respectively. The LWIR fit residuals above 245 K were below 0.1% for both JPSS-3 and -4. Band M14 did have larger residuals at the cold scene temperatures but was still within the instrument requirements listed in Table 2. The other LWIR bands were ~0.2% or better at cold temperatures and were within their requirements as well. Band I5 for JPSS-3 did show a larger residual at a cold temperature when compared with JPSS-4 but was still below the 2.5 K uncertainty requirement with margin. Both the JPSS-3 and -4 results shown in Figure 4, Figure 5, Figure 6 and Figure 7 are for an FPA temperature of 80 K on electronics side A at the nominal TV plateau. The fit quality was similar for the other FPA, electronics side, and TV plateau collections. The dynamic range did vary between these different configurations due to FPA response change versus temperature, internal background emission at each TV plateau, and different electronic analog-to-digital conversions. The results of JPSS-3 and -4 were consistent with previous builds and should provide similar performance on-orbit [14].
The TEB calibration coefficients defined in Equation (4) were computed by fitting the radiance in Equation (1) with the offset corrected instrument response as the independent variable. The linear coefficient was the most significant fit parameter and indicates that the system response was very linear. Table 4 and Table 5 list the band average gains ( 1 c 1 ) for all the TV test instrument configurations for JPSS-3 and -4, respectively. The gains were consistent between JPSS-3 and -4 to within ~1% for bands I5, M13 HG, M16A, and M16B. Bands I4, M12, and M15 have ~5% decreases in gain for JPSS-4 when compared to -3 and band M14 has ~3% increases over the same comparison. The MWIR bands tend to show little change or a slight increase in gain as a function of FPA temperature while the LWIR is sensitive to the FPA set point and shows ~5–10% increases as the temperature increases. Both JPSS-3 and -4 show little sensitivity to instrument temperature with less than 1% variation between cold and hot plateau values. The electronics side gain variation is within the two-sigma error bars and is considered negligible. There is some difference in JPSS-3 and -4 compared to JPSS-1 and -2 but it is within the ~10% range that is considered the build-to-build workmanship margin. The gain temperature sensitivities are combined with the stability values discussed in the next subsection to create the on-orbit calibration coefficient LUTs that adjust for the different instrument temperatures. Separate LUTs are made for each FPA temperature set point and electronics side configuration.
The offset ( c 0 ) and nonlinear term ( c 2 ) were small factors in the calibration coefficients when compared to the linear term ( c 1 ). The offset term is a mechanism to capture calibration errors in the thermal model described in Equations (1)–(3). The thermal model requires many modeled and measured inputs that have some uncertainty. Errors in these inputs are balanced by the offset term and its magnitude provides insight into how well the thermal model was working. The nonlinear term provides information about the linear performance of the detectors and was also used to balance the thermal model errors in conjunction with the offset term. Large nonlinear terms could be caused by the detector’s behavior or uncertainties from the thermal model input parameters. The offset was on the order of 10−2 in magnitude for the MWIR bands and the two-sigma error bars overlap for the different TV temperature plateaus and electronics sides. The error bars tended to straddle the zero line indicating that the thermal model input uncertainties for the MWIR have low impact on the radiometric calibration coefficients. The nonlinear term for the MWIR was also small with values less than 10−8. This shows that these detectors have good linearity and do not need to compensate for thermal model input uncertainties. The values were consistently negative for all the MWIR bands for both JPSS-3 and -4. Their two-sigma error bars straddled each other over the TV plateau but were not near the zero line. This indicates that the nonlinear term for the MWIR was capturing a small nonlinear behavior of the detectors. The behavior for the MWIR offset and nonlinear terms is consistent with JPSS-1 and -2 performance. The LWIR offset term was nonzero and highly detector dependent. It was not TV plateau dependent, except for band M14 which did show some sensitivity to instrument temperature. The offset values ranged from −0.07 to 0.03 over detectors for band I5 on JPSS-3 to a more stable situation for band M16A where the range was −0.004 to 0.006 on JPSS-4. This indicates there were residual errors in the thermal model that cause large offsets that are detector dependent. The nonlinear term was also larger than the MWIR values and were on the order of 10−7 and all positive in nature. They did have some TV instrument sensitivities that exceeded the two-sigma uncertainty bars indicating that the thermal model compensation is TV temperature dependent. These results are consistent with JPSS-1 and -2 and should provide similar on-orbit performance. The discussed calibration coefficients were derived using BCS data, which are traceable according to NIST standards. However, on-orbit, the calibration is maintained using the OBCBB and it is important to compare measurements from the two sources pre-launch. The OBCBB calibration coefficients determined using an OBCBB warm-up/cool-down were compared to the BCS results using a truncated fitting range that approximated the measured warm-up/cool-down from the instrument ambient to 315 K range. The two-sigma error bars overlapped for the MWIR bands, but the LWIR bands showed exceedance of the two-sigma error bars. This is consistent with the JPSS-1 and -2 performance between the BCS and OBCBB.
The TEB saturation and minimum temperatures, NEdT at the typical temperatures, and the measured nonlinearity are listed for each band in Table 6 and Table 7 for JPSS-3 and -4, respectively. All the TEBs saturate above their design requirements, and all digitally saturate first. However, bands I4 and M12 did exhibit analog saturation at higher radiances within the measurement range. The analog saturation caused the response to decrease as the radiance increases until it reaches zero. On-orbit, this behavior causes bright scene temperatures to improperly report as low temperature values. Fortunately, these scenes are usually fires and can be identified by using the M13 response. In JPSS-4 VIIRS TV, a special test was conducted with the TMCBB to better characterize the I4 rollover behavior. This would allow for a saturated fire measurement to be converted to a brightness temperature with lower uncertainties than the previous VIIRS builds. The TEBs show less than 3 K variation across all the TV and electronics side conditions. Bands I4 and M12 saturate less than 10 K above their design requirement with the remaining bands having large saturation margins.
The Tmin lower bound on the dynamic range is estimated using the radiance corresponding to an SNR of 5 and Planck’s law to compute the scene brightness temperature. The values listed in Table 6 (JPSS-3) and Table 7 (JPSS-4) are the maximum Tmin over detectors and HAM sides of nominal plateau 80 K FPA data. For most cases, Tmin was below the design requirements with the exception being band I4 for both JPSS-3 and -4. Bands M12 and M13 had less than a 10 K margin compared to the requirement. Note Tmin values below 190 K were computed using extrapolation and have some uncertainty in their computed values. The I4 Tmin being above the requirement is due to higher dark noise for this band. This is a focal plane characteristic of the instrument that is consistent throughout its builds. It will affect the SDR performance at the edge of scan, but the noise limitation improves in the 2 × 1 and 3 × 1 aggregation zones within the EV scan.
Band M13 gain transition was determined to occur between 343 K and 348 K. There was about a 3.5 K spread in transition temperature due to detector differences and about a 3 K change across instrument temperature from background emission effects. The M13 LG behavior is consistent with the JPSS-1 and -2 VIIRS instruments.
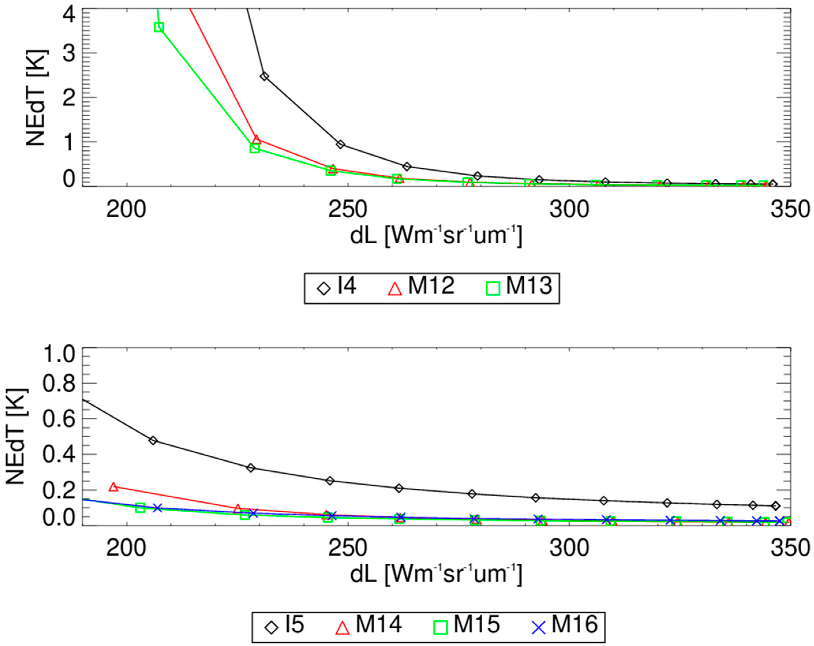
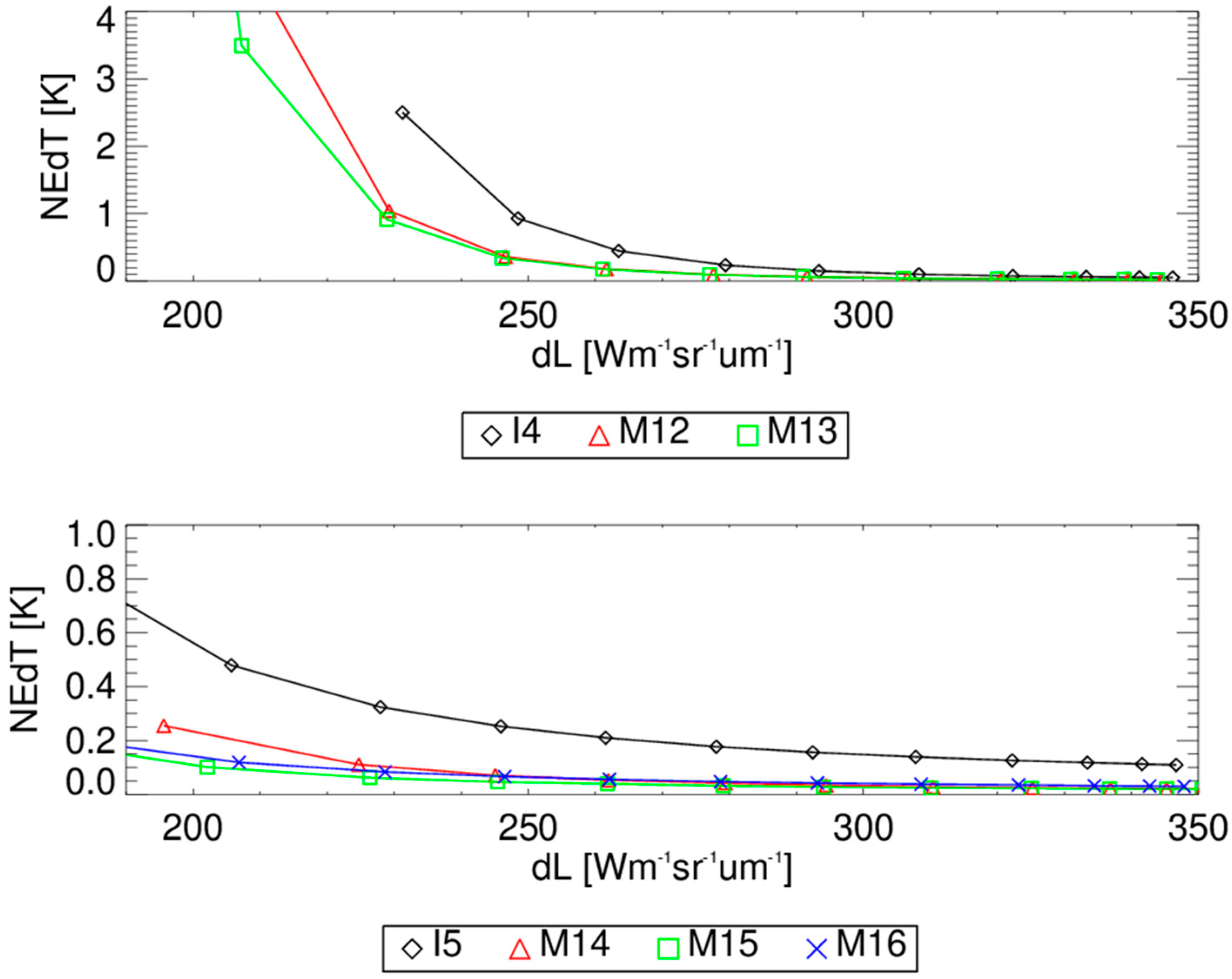
Figure 8 and Figure 9 are the NEdT as a function of scene temperature for JPSS-3 and -4, respectively (excluding M13 LG). The decrease in NEdT as the scene temperature increases is due to the derivative of the Planck function in Equation (8). The NEdT is above 1 K for the MWIR bands for scene temperatures below 240 K and less than 1 K at higher temperatures. The LWIR bands maintain an NEdT of ~0.2 K at scene temperatures of 190 K with improvements as the scenes become warmer. There was no significant sensitivity to different instrument conditions, except for the LWIR bands as, when the FPA temperature was increased, the NEdT also increased. M13 low gain is not shown here but was similar in behavior to the other MWIR bands.
The band maximum NEdT values at TTYP for nominal plateau and electronics side A are listed in Table 6 and Table 7 for JPSS-3 and -4, respectively. All bands met the instrument requirements with a large margin. The NEdT at TTYP was consistent cross the different instrument conditions tested, both in terms of detector dependence and magnitude. A minor increase in NEdT over TV temperature was observed due to an increase in internal background emission within the instrument. The NEdT at TTYP also has a minor but noticeable increase with focal plane temperature for the LWIR bands due to the change in dark noise current at different FPA set points. The behaviors of the NEdT and NEdT at TTYP were very similar to JPSS-1 and -2 VIIRS.
The maximum detector response nonlinearity metric (NL) is shown in Table 6 and Table 7 along with the instrument requirement. In general, there is insignificant variation over instrument TV temperature and electronics sides. There is an increase in nonlinearity over FPA temperatures with the impact largest on band M14, and it is present but smaller on bands M15 and M16. Band M14 had the largest nonlinearity at around 0.7% for JPSS-3 and 0.5% for JPSS-4. The remaining LWIR bands were at 0.3% or less and the MWIR was at 0.1%.
Figure 10 and Figure 11 show the detector-to-detector striping as measured by the uniformity metric for the band’s worst-case detector case. A value of one indicates a potential for striping and is shown as a horizontal red line in the figures. The nonuniformity increased with scene temperature and indicates striping may be present for warm scenes. The uniformity performance exceeds the requirement due to the small uncertainties in the radiometric calibration being larger than the NEdL values that are well below the instrument performance requirement. M13 low gain is not included here and will have very little opportunity for striping due to the small spatial extent of hot targets like fires. JPSS-1 and -2 VIIRS also exceeded their uniformity requirements due to their very good detector noise performances.

3.3. Radiometric Stability Results

Several radiometric stability tests were performed for JPSS-3 and JPSS-4 VIIRS where stability was measured versus time, instrument temperature, bus voltage, and FPA temperature. The performance testing of JPSS-3 VIIRS was at three CFPA set points, 78 K, 80 K, and 82 K. However, post-TV due to thermal margin-related constraints, these set points were rewired to 80 K, 82 K, and 84 K with limited testing performed via a mini-TV on these set points. However, the stability assessments were primarily performed during the first TV with most of the testing at 82 K (the chosen CFPA set point for operation on-orbit). Unlike JPSS-3 VIIRS, the chosen set points in J4 VIIRS were 78 K, 80 K, and 82 K, with most of the stability assessments performed at 80 K (the chosen CFPA set point for on-orbit operation). The design requirements limit the variation to 0.1% between successive calibrations. For the stability versus time tests, the change in the linear gain between successive calibrations was measured (on-orbit successive calibrations occur every other scan for the thermal bands or every fourth scan for band M13 through observations of the OBCBB). The maximum change for each band was measured over the length of the test was divided by the test time (usually 6–8 h) multiplied by twice the scan period; for all cases the maximum linear gain variation was 0.0002%.
Three transitions between instrument temperature plateaus were performed during which stability measurements were made in terms of two different instrument temperatures (electronics and optical modules or ELEC and OMM): the first from the lowest instrument temperature settings to the cold performance plateau (OMM temperatures ranging from 250–253 K and ELEC temperatures ranging from 262–268 K); the second from cold to nominal performance plateaus (OMM temperatures ranging from 253–262 K and ELEC temperatures ranging from 268–281 K); and the last from nominal to hot performance plateaus (OMM temperatures ranging from 263–273 K and ELEC temperatures ranging from 281–295 K). The transitions were performed such that while the ELEC temperature was increasing the OMM temperature was relatively stable and vice versa; thus, the effects of the two instrument temperatures on the sensor stability were separated to a large degree. During these transitions between instrument temperature plateaus, the stability of the linear gain was determined per degree K. The gain variation for all bands was 0.01–0.03% (ELEC) and 0.18–0.06% (OMM) per degree K. The variation with ELEC temperatures was generally flat or very small, while the trending with OMM temperature was slightly positive for the MWIR bands and negative for the LWIR bands. On-orbit, the sensitivity to instrument temperature variation determined in these tests will be used to remove residual influences in the thermal model. The bus voltage was also varied in stability testing, where the voltage was reduced from 32 Volts to 27 Volts in 1-Volt intervals. The observed variation was less than 0.1% per volt for all bands. Lastly, a test was performed where the FPA temperature was set to 82 K and then cooled down to 78 K. The change in linear gain for the MWIR bands was small (below 0.11%) whereas the linear gain for the LWIR bands varied between 1.8% for band M15 and 5.7% for band M14.

3.4. Uncertainty

The uncertainty of the EV retrieved radiance of a single un-aggregated pixel for the worst-case detector and scan angle is shown in Figure 12 and Figure 13 for JPSS-3 and -4, respectively. Both the MWIR and LWIR have higher temperature uncertainties for cold scenes below ~250 K. This is where the magnitude of radiometric thermal model background values begins to match the scene radiance contribution. For the LWIR moderate bands, the uncertainty is below ~0.2 K above scene temperatures of 240 K for both JPSS-3 and -4. Band I5 uncertainty tracks the LWIR moderate bands with a bias due to the increased detector noise for this band. The cold scene temperature uncertainty increase for each LWIR band is proportional to the magnitude of the RVS difference between the EV scene and the SV cold view. Band M14 has the largest RVS variation and therefore is the most sensitive to the thermal model background residual radiance from Equation (1). Any errors in the estimation of the RTA, HAM, or RVS information will cause this residual background radiance to be off with respect to the estimate scene radiance. The behavior of the temperature uncertainty with scene temperature is similar between JPSS-3 and -4 VIIRS. Table 8 lists the estimated uncertainty in percent radiance of the source for all the JPSS-3 and -4 TEBs. Both JPSS-3 and -4 VIIRS meet the instrument requirements for the LWIR bands. The uncertainty error requirement is larger at the colder scene temperatures and allows the small thermal model errors to be present without failing the instrument requirement.
The MWIR band temperature uncertainty with scene temperature is below 0.2 K for scenes brighter than 260 K. The temperature uncertainty rises for scenes colder than 260 K in a similar fashion to the LWIR bands. Band I4 has a slightly higher temperature uncertainty due to a higher detector noise than the moderate MWIR bands. Unlike the LWIR where the RVS was a main driver for the uncertainties, the MWIR bands had much smaller RVS values than the LWIR. However, the MWIR band’s spectral location on the Planck function curve has a steep slope that makes it more sensitive to spectral and temperature errors than the LWIR. Temperature uncertainties were one of the main drivers of the MWIR uncertainty with the estimation of the OBCBB radiance the biggest factor in warm temperature scenes. At colder scene temperatures the d n uncertainty (noise) also contributed to the total uncertainty and drives the errors up as the scene temperature decreases.
The uncertainty variation across the EV scan was also evaluated. This included the EV pixel aggregation (1:1, 2:1, and 3:1) variation across the scan that affects the detector noise proportional to the number of pixels aggregated and the RVS variation across the scan that determines the contributions from the thermal model background. The MWIR bands and I5 band uncertainties were driven by detector noise that makes it sensitive to the aggregation configuration. The RVS change across the scan affects LWIR bands where the highest uncertainties are at the end of the scan and the lowest at the beginning of the scan.
The calibration characterization model validity was evaluated by performing linear, quadratic, and cubic fits and propagating the errors separately for each. There was marginal improvement in the uncertainty by increasing the polynomial order. The MWIR bands had improvements at low temperatures due to the non-linear temperature/spectral errors being captured by the 3rd order fit and the LWIR bands benefited from the 2nd order fits over the linear because it better captured the RVS residual thermal model errors and detector non-linearities.

4. Discussion

The JPSS-3 and -4 VIIRS TEB pre-launch radiometric performance is consistent with previous instrument builds, JPSS-1 and -2. The calibration uncertainty, stability, and detector sensitivity are on par with the prior instrument builds and should provide the same on-orbit capabilities. The on-orbit performance of JPSS-1 and -2 VIIRS instruments has enabled high-quality TEB SDRs for EDR products. On-orbit calibration and validation activities will be used to evaluate the pre-launch characterization quality and its impact on the SDR and EDR products. The previous VIIRS instrument builds did not require significant updates to the pre-launch calibration, and it is expected to be the same for the JPSS-3 and -4 instruments. This indicates that the JPSS-3 and -4 VIIRS instruments will continue the time series of high-quality radiometrically calibrated thermal observations for the historical climate dataset. JPSS-3 and -4 should have on-orbit overlap with JPSS-2 and cross-calibration of these instruments should allow any biases to be removed from the climate dataset and provide calibration continuity across the mission.

5. Conclusions

The performances of the JPSS-3 and -4 VIIRS TEBs were tested and characterized prior to launch at the Raytheon Technologies facility in 2020 and 2023, respectively. This testing is critical for providing high-quality SDR products on-orbit. The pre-launch TEB radiometric calibration met its design requirements for most cases with the minor requirement exceedances having no significant impact on SDR product performance. The measured dynamic range exceeded the designed maximum temperature, but band I4 did not meet the minimum temperature requirement due to high noise. The NEdT was well below the specified limits at the typical scene temperature and the detector-to-detector uniformity was within the required limits. The radiometric stability over all instrument and TV conditions met the requirements. The radiometric calibration uncertainty was below the design requirements for most bands with a few exceptions at low scene temperatures. The on-board blackbody did show higher than expected non-uniformity on JPSS-3, but not JPSS-4, and will have a small radiometric impact on-orbit. Overall, the JPSS-3 and -4 VIIRS performance is consistent with JPSS-1 and -2 VIIRS that currently provide high-quality SDR products on-orbit.
In the future, the analysis results from this article will be used to create on-orbit SDR LUTs for JPSS-3 and -4 instruments. Any refinements to the characterization inputs of the TEB calibration, such as RVS or RSR, will require an update to the TEB LUTs before launch. On-orbit monitoring of these instruments through calibration and validation activities will provide information about the quality of these data and whether modifications to the LUTs are necessary. The information from the JPSS VIIRS pre-launch TEB radiometric characterization performance also flows into NOAA next generation low Earth orbit weather monitoring future architecture studies.

Author Contributions

Conceptualization, D.M. and J.M.; methodology, D.M., J.M. and X.X.; software, D.M., J.M. and A.A.; validation, D.M. and A.A.; formal analysis, D.M. and A.A.; investigation, D.M. and A.A.; resources, X.X.; data curation, D.M. and A.A.; writing—original draft preparation, D.M.; writing—review and editing, A.A. and X.X.; visualization, D.M.; supervision, X.X.; project administration, X.X.; funding acquisition, X.X. All authors have read and agreed to the published version of the manuscript.

Funding

This research received no external funding.

Data Availability Statement

Data (results) presented in this manuscript will be delivered to and made available through the NOAA VIIRS SDR team and NASA VCST.

Acknowledgments

Raytheon Intelligence and Space for design, execution, and data dissemination for the radiometric testing. James McCarthy for his support of the NASA test and integration team.

Conflicts of Interest

Authors Jeff McIntire and Amit Angal were employed by the company Science Systems and Applications Inc. Author David Moyer was employed by the company The Aerospace Corporation. The remaining authors declare that the research was conducted in the absence of any commercial or financial relationships that could be construed as potential conflicts of interest.

References

  1. Welsch, C.; Swenson, H.; Cota, S.A.; DeLuccia, F.; Haas, J.M.; Schueler, C.; Durham, R.M.; Clement, J.E.; Ardanuy, P.E. VIIRS (Visible Infrared Imager Radiometer Suite): A Next-Generation Operational Environmental Sensor for NPOESS. In Proceedings of the IGARSS 2001. Scanning the Present and Resolving the Future. Proceedings. IEEE 2001 International Geoscience and Remote Sensing Symposium (Cat. No.01CH37217), Sydney, NSW, Australia, 9–13 July 2001. [Google Scholar] [CrossRef]
  2. Joint Polar Satellite System: A Collaborative Mission between NOAA and NASA. Available online: http://www.jpss.noaa.gov (accessed on 19 March 2024).
  3. Cao, C.; Xiong, J.; Blonski, S.; Liu, Q.; Uprety, S.; Shao, X.; Bai, Y.; Weng, F. Suomi NPP VIIRS sensor data record verification, validation, and long-term performance monitoring. J. Geophys. Res. Atmos. 2013, 118, 11664–11678. [Google Scholar] [CrossRef]
  4. Zhou, L.; Divakarla, M.; Liu, X.; Layns, A.; Goldberg, M. An Overview of the Science Performances and Calibration/Validation of Joint Polar Satellite System Operational Products. Remote Sens. 2019, 11, 698. [Google Scholar] [CrossRef]
  5. Hillger, D.; Line, W.E.; Seaman, C.; Miller, S.D.; Finley, S.; Kopp, T.J. Ten Years of VIIRS EDR Imagery Validation and User Interactions. Remote Sens. 2022, 14, 4167. [Google Scholar] [CrossRef]
  6. Zhou, L.; Divakarla, M.; Liu, X. An Overview of the Joint Polar Satellite System (JPSS) Science Data Product Calibration and Validation. Remote Sens. 2016, 8, 139. [Google Scholar] [CrossRef]
  7. JPSS Satellite and Instruments. Available online: https://www.nesdis.noaa.gov/our-satellites/currently-flying/joint-polar-satellite-system/jpss-satellite-and-instruments (accessed on 19 March 2024).
  8. Holben, B.N.; Kaufman, Y.J.; Kendall, J.D. NOAA-11 AVHRR visible and near-IR inflight calibration. Int. J. Remote Sens. 1990, 11, 1511–1519. [Google Scholar] [CrossRef]
  9. Salomonson, V.; Barnes, W.; Xiong, X.; Kempler, S.; Masuoka, E. An Overview of the Earth Observing System MODIS Instrument and Associated Data Systems Performance. In Proceedings of the IEEE International Geoscience and Remote Sensing Symposium, Toronto, ON, Canada, 24–28 June 2002. [Google Scholar] [CrossRef]
  10. Wu, A.; Xiong, X.; Bhatt, R.; Haney, C.; Doelling, D.R.; Angal, A.; Mu, Q. An Assessment of SNPP and NOAA20 VIIRS RSB Calibration Performance in NASA SIPS Reprocessed Collection-2 L1B Data Products. Remote Sens. 2022, 14, 4134. [Google Scholar] [CrossRef]
  11. Wang, L.; Han, Y.; Tremblay, D.; Weng, F.; Goldberg, M. Inter-comparison of NPP/CrIS radiances with VIIRS, AIRS, and IASI: A post-launch calibration assessment. In Earth Observing Missions and Sensors: Development, Implementation, and Characterization II; SPIE: Kyoto, Japan, 2012; Volume 85280J. [Google Scholar] [CrossRef]
  12. McIntire, J.; Moyer, D.; Angal, A.; Xiong, X. JPSS-3/4 VIIRS response versus scan angle characterization and performance. Front. Remote Sens. 2023, 4, 1303347. [Google Scholar] [CrossRef]
  13. Joint Polar Satellite System (JPSS). VIIRS Product Requirement Document (PRD); Technical Report, Revision D; Goddard Space Flight Center: Greenbelt, MD, USA, 2014. [Google Scholar]
  14. McIntire, J.; Moyer, D.; Oudrari, H.; Xiong, X. Pre-launch radiometric characterization of JPSS-1 VIIRS thermal emissive bands. Remote Sens. 2016, 8, 47. [Google Scholar] [CrossRef]
  15. McIntire, J.; Moyer, D.; Oudrari, H.; Xiong, X. Pre-launch Radiometric Characterization of JPSS-2 VIIRS Thermal Emissive Bands. Remote Sens. 2019, 11, 732. [Google Scholar] [CrossRef]
  16. Moeller, C.; Schwarting, T.; Moyer, D.; Barsi, J. The JPSS-3 VIIRS version 2 at-launch relative spectral response characterization. In Earth Observing Systems XXVIII; SPIE: San Diego, CA, USA, 2023; Volume 126851. [Google Scholar] [CrossRef]
  17. Moeller, C.; Schwarting, T.; Moyer, D.; Barsi, J.; Angal, A. The JPSS-4 VIIRS version 2 (at-launch) relative spectral response characterization. In Earth Observing Systems XXIX; SPIE: San Diego, CA, USA, 2024; Volume 13143. [Google Scholar] [CrossRef]
  18. Taylor, J.R. An Introduction to Error Analysis, 2nd ed.; University Science Books: New York, NY, USA, 1997. [Google Scholar]
  19. Taylor, B.N.; Kuyatt, C.E. Guidelines for Evaluating and Expressing the Uncertainty of NIST Measurement Results; US Department of Commerce: Washington, DC, USA, 1994. [Google Scholar]
  20. Monroy, E. Performance Verification Report—VIIRS J1 Emissive Band Calibration; Technical Report; Raytheon: El Segundo, CA, USA, 2015. [Google Scholar]
  21. Xiong, X.; Butler, J.; Chiang, K.; Efremova, B.; Fulbright, J.; Lei, N.; McIntire, J.; Oudrari, H.; Sun, J.; Wang, Z.; et al. VIIRS on-orbit calibration methodology and performance. J. Geophys. Res. Atmos. 2014, 119, 5065–5078. [Google Scholar] [CrossRef]
  22. Xiong, X.; Angal, A.; Butler, J.; Chen, H.; Chiang, K.; Lei, N.; Li, Y.; Twedt, K. Performance assessments and comparisons of S-NPP and NOAA-20 (JPSS-1) VIIRS on-orbit calibration. In Proceedings of the International Society for Optics and Photonics, Sensors, Systems, and Next-Generation Satellites XXII, Berlin, Germany, 11 October 2018; Volume 10785, p. 1078514. [Google Scholar]
Figure 1. VIIRS internal layout showing the optical elements, FPAs, and calibration target locations.
Figure 1. VIIRS internal layout showing the optical elements, FPAs, and calibration target locations.
Remotesensing 16 04630 g001
Figure 2. VIIRS sector views showing where the EV, SV, and OBCBB view are within the scan.
Figure 2. VIIRS sector views showing where the EV, SV, and OBCBB view are within the scan.
Remotesensing 16 04630 g002
Figure 3. The standard deviation of the six thermistors in the on-board blackbody (OBCBB) plotted versus instrument temperature for each JPSS instrument build.
Figure 3. The standard deviation of the six thermistors in the on-board blackbody (OBCBB) plotted versus instrument temperature for each JPSS instrument build.
Remotesensing 16 04630 g003
Figure 4. The JPSS-3 VIIRS offset corrected detector response (a) and the radiance residual in percent (b) are shown versus path difference radiance for the MWIR. The symbols in (a) represent measured data and the lines indicate quadratic fits. The data are from nominal plateau, electronics side A, FPA temperature 80 K averaged over all detectors.
Figure 4. The JPSS-3 VIIRS offset corrected detector response (a) and the radiance residual in percent (b) are shown versus path difference radiance for the MWIR. The symbols in (a) represent measured data and the lines indicate quadratic fits. The data are from nominal plateau, electronics side A, FPA temperature 80 K averaged over all detectors.
Remotesensing 16 04630 g004
Figure 5. The JPSS-4 VIIRS offset corrected detector response (a) and the radiance residual in percent (b) are shown versus path difference radiance for the MWIR. The symbols in (a) represent measured data and the lines indicate quadratic fits. The data are from nominal plateau, electronics side A, FPA temperature 80 K averaged over all detectors.
Figure 5. The JPSS-4 VIIRS offset corrected detector response (a) and the radiance residual in percent (b) are shown versus path difference radiance for the MWIR. The symbols in (a) represent measured data and the lines indicate quadratic fits. The data are from nominal plateau, electronics side A, FPA temperature 80 K averaged over all detectors.
Remotesensing 16 04630 g005
Figure 6. The JPSS-3 VIIRS offset corrected detector response (a) and the radiance residual in percent (b) are shown versus path difference radiance for the LWIR. The symbols in (a) represent measured data and the lines indicate quadratic fits. The data are from nominal plateau, electronics side A, FPA temperature 80 K averaged over all detectors.
Figure 6. The JPSS-3 VIIRS offset corrected detector response (a) and the radiance residual in percent (b) are shown versus path difference radiance for the LWIR. The symbols in (a) represent measured data and the lines indicate quadratic fits. The data are from nominal plateau, electronics side A, FPA temperature 80 K averaged over all detectors.
Remotesensing 16 04630 g006
Figure 7. The JPSS-4 VIIRS offset corrected detector response (a) and the radiance residual in percent (b) are shown versus path difference radiance for the LWIR. The symbols in (a) represent measured data and the lines indicate quadratic fits. The data are from nominal plateau, electronics side A, FPA temperature 80 K averaged over all detectors.
Figure 7. The JPSS-4 VIIRS offset corrected detector response (a) and the radiance residual in percent (b) are shown versus path difference radiance for the LWIR. The symbols in (a) represent measured data and the lines indicate quadratic fits. The data are from nominal plateau, electronics side A, FPA temperature 80 K averaged over all detectors.
Remotesensing 16 04630 g007
Figure 8. JPSS-3 VIIRS detector averaged NEdT as a function of scene temperature for the MWIR (top) and LWIR bands (bottom) from nominal plateau, HAM side A, electronics side A, FPA temperature 80 K.
Figure 8. JPSS-3 VIIRS detector averaged NEdT as a function of scene temperature for the MWIR (top) and LWIR bands (bottom) from nominal plateau, HAM side A, electronics side A, FPA temperature 80 K.
Remotesensing 16 04630 g008
Figure 9. JPSS-4 VIIRS detector averaged NEdT as a function of scene temperature for the MWIR (top) and LWIR bands (bottom) from nominal plateau, HAM side A, electronics side A, FPA temperature 80 K.
Figure 9. JPSS-4 VIIRS detector averaged NEdT as a function of scene temperature for the MWIR (top) and LWIR bands (bottom) from nominal plateau, HAM side A, electronics side A, FPA temperature 80 K.
Remotesensing 16 04630 g009
Figure 10. JPSS-3 VIIRS TEB uniformity metric as a function of scene temperature for the MWIR (top) and LWIR (bottom) bands for nominal TV plateau, HAM side A, electronics side A, FPA temperature 80 K using the worst-case detector. The solid horizontal red line corresponds to the instrument uniformity requirement.
Figure 10. JPSS-3 VIIRS TEB uniformity metric as a function of scene temperature for the MWIR (top) and LWIR (bottom) bands for nominal TV plateau, HAM side A, electronics side A, FPA temperature 80 K using the worst-case detector. The solid horizontal red line corresponds to the instrument uniformity requirement.
Remotesensing 16 04630 g010
Figure 11. JPSS-4 VIIRS TEB uniformity metric as a function of scene temperature for the MWIR (top) and LWIR (bottom) bands for nominal TV plateau, HAM side A, electronics side A, FPA temperature 80 K using the worst-case detector. The solid horizontal red line corresponds to the instrument uniformity requirement.
Figure 11. JPSS-4 VIIRS TEB uniformity metric as a function of scene temperature for the MWIR (top) and LWIR (bottom) bands for nominal TV plateau, HAM side A, electronics side A, FPA temperature 80 K using the worst-case detector. The solid horizontal red line corresponds to the instrument uniformity requirement.
Remotesensing 16 04630 g011
Figure 12. JPSS-3 VIIRS TEB modeled brightness temperature uncertainty as a function of scene temperature for the MWIR (a) and LWIR bands (b).
Figure 12. JPSS-3 VIIRS TEB modeled brightness temperature uncertainty as a function of scene temperature for the MWIR (a) and LWIR bands (b).
Remotesensing 16 04630 g012
Figure 13. JPSS-4 VIIRS TEB modeled brightness temperature uncertainty as a function of scene temperature for the MWIR (a) and LWIR bands (b).
Figure 13. JPSS-4 VIIRS TEB modeled brightness temperature uncertainty as a function of scene temperature for the MWIR (a) and LWIR bands (b).
Remotesensing 16 04630 g013
Table 3. Radiometric testing performed for JPSS-3 (upper) and -4 (lower) VIIRS emissive bands during environmental testing. C, N, and H denote the cold, nominal, and hot instrument plateaus; transitions between instrument plateaus are denoted with a T; A and B identify the primary and redundant electronic hardware setting. Ambient TOBCBB values are 250 K, 255 K, and 260 K for cold, nominal, and hot, respectively.
Table 3. Radiometric testing performed for JPSS-3 (upper) and -4 (lower) VIIRS emissive bands during environmental testing. C, N, and H denote the cold, nominal, and hot instrument plateaus; transitions between instrument plateaus are denoted with a T; A and B identify the primary and redundant electronic hardware setting. Ambient TOBCBB values are 250 K, 255 K, and 260 K for cold, nominal, and hot, respectively.
JPSS-3 VIIRS
Test TypeInstrument PlateausElectronics SidesTBCS [K]TTMCBB [K]TOBCBB [K]TPFA [K]TBUS [V]
PerformanceC, N, HA, B190–345294–3752928228
PerformanceC, N, HA, B190–345294–3752928028
PerformanceNA190–345294–3752927828
PerformanceC, N, HA345388–7632928028
PerformanceN, HB345388–7632928028
PerformanceC, N, HA300294Amb-3158028
StabilityC, N, HA, B2702942928028
StabilityTA27029429280, 8228
StabilityC, HA, B2702942928027–32
StabilityNA27029429278–8228
JPSS-4 VIIRS
Test TypeInstrument PlateausElectronics SidesTBCS [K]TTMCBB [K]TOBCBB [K]TPFA [K]TBUS [V]
PerformanceC, N, HA, B190–345294–3752928028
PerformanceNA190–345294–3752927828
PerformanceN, HA190–345294–3752928228
PerformanceC, N, HA, B345388–7632928028
PerformanceC, N, HA300294Amb-3158028
StabilityC, N, HA, B2702942928028
StabilityTA2702942928028
StabilityC, HA, B2702942928027–32
StabilityNA27029429278–8228
Table 4. JPSS-3 averaged gains ( 1 c 1 ) over all detectors and HAM sides for all TV plateaus (cold, nominal, and hot), electronics sides (A or B), and FPA temperatures using BCS data.
Table 4. JPSS-3 averaged gains ( 1 c 1 ) over all detectors and HAM sides for all TV plateaus (cold, nominal, and hot), electronics sides (A or B), and FPA temperatures using BCS data.
JPSS-3 VIIRS
BandColdColdNominalNominalNominalHotHotColdColdNominalNominalHotHot
AAAAAAABBBBBB
80 K82 K78 K80 K82 K80 K82 K80 K82 K80 K82 K80 K82 K
I41038.71040.01039.21038.61038.81036.91037.91038.51039.51038.71039.21039.41039.7
I5179.7165.1193.4179.3164.5178.7163.9179.3164.4178.9163.8178.5163.2
M121082.01084.61081.01081.61082.21081.71083.21084.41086.31083.81085.21083.81083.9
M13576.5576.7576.4575.8576.8575.4576.0577.4577.4577.3576.9576.8576.9
M14165.9152.3177.0165.6151.2164.6150.2163.7149.1163.0148.1162.4147.4
M15188.4182.5193.8188.1181.7187.7181.2187.7181.4187.2180.8186.9180.3
M16A229.0213.8243.6228.3212.2227.4211.2228.5212.9227.6211.7227.1210.8
M16B230.8214.7246.2230.1213.2229.1212.1230.2213.8229.4212.6228.7211.6
Table 5. JPSS-4 averaged gains ( 1 c 1 ) over all detectors and HAM sides for all TV plateaus (cold, nominal, and hot), electronics sides (A or B), and FPA temperatures using BCS data.
Table 5. JPSS-4 averaged gains ( 1 c 1 ) over all detectors and HAM sides for all TV plateaus (cold, nominal, and hot), electronics sides (A or B), and FPA temperatures using BCS data.
JPSS-4 VIIRS
BandColdNominalNominalNominalHotHotColdNominalHot
AAAAAABBB
80 K78 K80 K82 K80 K82 K80 K80 K80 K
I4983.9983.2983.7982.7983.5982.8981.4981.2981.1
I5182.8197.9182.1165.0181.4164.3181.4180.7179.7
M121036.01041.91035.31043.71034.61043.61034.21032.91032.7
M13580.1582.8579.1583.0579.0582.4578.1578.3577.4
M14171.1175.9170.8162.4169.7161.6170.4169.8168.9
M15179.1181.5178.7175.3178.3174.8179.1178.7178.3
M16A230.2242.6229.0213.8227.9212.7229.4228.3226.9
M16B229.5241.7228.4213.4227.3212.2228.8227.7226.3
Table 6. JPSS-3 band maximum NL, TTYP, Tmin as well as the minimum TMAX are listed for nominal TV plateau, electronics sides A, and 80 K focal plane temperature along with their respective sensor specifications.
Table 6. JPSS-3 band maximum NL, TTYP, Tmin as well as the minimum TMAX are listed for nominal TV plateau, electronics sides A, and 80 K focal plane temperature along with their respective sensor specifications.
BandNL [%]NEdT at Ttyp [K]Tsat [K]Tmin [K]
MeasSpecMeasSpecMeasSpecMeasSpec
I40.11.00.3762.500358353230210
I50.31.00.5531.500366340148190
M120.11.00.1590.396361353225230
M13 HG0.11.00.0520.107367343225230
M13 LG 1.0 0.423 634 343
M140.71.00.0580.091352336167190
M150.21.00.0280.700352340149190
M16A0.21.00.0450.072352340141190
M16B0.31.00.0440.072353340133190
Table 7. JPSS-4 band maximum NL, TTYP, Tmin as well as the minimum TMAX are listed for nominal TV plateau, electronics sides A, and 80 K focal plane temperature along with their respective sensor specifications.
Table 7. JPSS-4 band maximum NL, TTYP, Tmin as well as the minimum TMAX are listed for nominal TV plateau, electronics sides A, and 80 K focal plane temperature along with their respective sensor specifications.
BandNL [%]NEdT at Ttyp [K]Tsat [K]Tmin [K]
MeasSpecMeasSpecMeasSpecMeasSpec
I40.11.00.3702.500360353230210
I50.21.00.5511.500366340147190
M120.11.00.1640.396362353226230
M13 HG0.11.00.0510.107367343221230
M13 LG 1.0 0.423 634 343
M140.51.00.0430.091350336178190
M150.11.00.0280.700358340159190
M16A0.31.00.0370.072353340141190
M16B0.31.00.0380.072353340139190
Table 8. Estimated uncertainty (% radiance) compared to the sensor specifications for JPSS-3 and -4 VIIRS.
Table 8. Estimated uncertainty (% radiance) compared to the sensor specifications for JPSS-3 and -4 VIIRS.
Band 190 K230 K267 K270 K310 K340 K
I4Spec5.00
J3 Meas0.37
J4 Meas0.43
I5Spec2.50
J3 Meas0.08
J4 Meas0.08
M12Spec7.000.700.700.70
J3 Meas3.180.350.410.40
J4 Meas2.590.240.310.21
M13Spec5.700.700.700.70
J3 Meas2.580.380.330.32
J4 Meas2.950.300.210.24
M14Spec12.302.400.600.400.50
J3 Meas2.430.310.230.280.27
J4 Meas2.080.180.140.200.18
M15Spec2.100.600.400.400.40
J3 Meas0.450.090.110.120.10
J4 Meas0.170.10.070.070.08
M16ASpec1.600.600.400.400.40
J3 Meas0.330.090.060.080.10
J4 Meas0.250.10.020.040.05
M16BSpec1.600.600.400.400.40
J3 Meas0.380.090.060.080.08
J4 Meas0.350.070.030.060.06
Disclaimer/Publisher’s Note: The statements, opinions and data contained in all publications are solely those of the individual author(s) and contributor(s) and not of MDPI and/or the editor(s). MDPI and/or the editor(s) disclaim responsibility for any injury to people or property resulting from any ideas, methods, instructions or products referred to in the content.

Share and Cite

MDPI and ACS Style

Moyer, D.; Angal, A.; McIntire, J.; Xiong, X. Pre-Launch Thermal Emissive Band Radiometric Performance for JPSS-3 and -4 VIIRS. Remote Sens. 2024, 16, 4630. https://doi.org/10.3390/rs16244630

AMA Style

Moyer D, Angal A, McIntire J, Xiong X. Pre-Launch Thermal Emissive Band Radiometric Performance for JPSS-3 and -4 VIIRS. Remote Sensing. 2024; 16(24):4630. https://doi.org/10.3390/rs16244630

Chicago/Turabian Style

Moyer, David, Amit Angal, Jeff McIntire, and Xiaoxiong Xiong. 2024. "Pre-Launch Thermal Emissive Band Radiometric Performance for JPSS-3 and -4 VIIRS" Remote Sensing 16, no. 24: 4630. https://doi.org/10.3390/rs16244630

APA Style

Moyer, D., Angal, A., McIntire, J., & Xiong, X. (2024). Pre-Launch Thermal Emissive Band Radiometric Performance for JPSS-3 and -4 VIIRS. Remote Sensing, 16(24), 4630. https://doi.org/10.3390/rs16244630

Note that from the first issue of 2016, this journal uses article numbers instead of page numbers. See further details here.

Article Metrics

Back to TopTop