Abstract
The Joint Polar Satellite System 3 (JPSS-3) and -4 (JPSS-4) Visible Infrared Imaging Radiometer Suite (VIIRS) instruments are the last in the series (S-NPP VIIRS launched in October 2011, JPSS-1 VIIRS launched in November 2017, and JPSS-2 VIIRS launched in November 2022) of highly advanced polar-orbiting environmental satellites. Both instruments underwent a comprehensive sensor-level thermal vacuum (TVAC) testing at the Raytheon Technologies El Segundo facility to characterize the spatial, spectral, and radiometric aspects of the VIIRS sensor performance. This paper focuses on the radiometric performance of the 14 reflective solar bands (RSBs) that cover the wavelength range from 0.41 to 2.3 µm. Key instrument calibration parameters such as instrument gain, signal-to-noise ratio (SNR), dynamic range, and radiometric calibration uncertainty were derived from the TVAC measurements for both the primary and redundant electronics at three instrument temperature plateaus: cold, nominal, and hot. This paper shows that all the JPSS-3 and -4 VIIRS RSB detectors have been well characterized, with key performance metrics comparable to the previous VIIRS instruments on-orbit. The radiometric calibration uncertainty of the RSBs is within the 2% requirement, except in the case of band M1 of JPSS-4. Comparison of the radiometric performance to sensor requirements, as well as a summary of key instrument testing and performance issues, is also presented.
1. Introduction
The Joint Polar Satellite System (JPSS) is a collaborative program between NASA and NOAA to provide scientific measurements from multiple polar-orbiting satellites. The development, testing, launch, and operation of the satellites in the JPSS program is jointly overseen by NASA and NOAA, with NASA responsible for developing and building the instruments, spacecraft, ground system, and launch into orbit [1]. The Suomi National Polar-Orbiting Partnership (S-NPP) satellite, launched in October 2011, was the first satellite created under this program and served as a bridge between the legacy Earth Observing System, that included the Terra and Aqua spacecraft, and the future JPSS constellation. Subsequent launches of the JPSS-1 (NOAA-20 after launch) and JPSS-2 (NOAA-21 after launch), were conducted in 2018 and 2022, respectively. The JPSS-3 and JPSS-4 satellites, also hosting a similar suite of instruments, are planned for launch in 2032 and 2027, respectively.
The Visible Infrared Imaging Radiometer Suite (VIIRS) is a cross-track scanning radiometer, currently on-board the S-NPP, JPSS-1, and JPSS-2 spacecraft and scheduled to be onboard the JPSS-3 and -4 spacecraft. Its reflective solar bands (RSBs) cover the spectral range of approximately 0.4 to 2.3 µm and are primarily calibrated using an on-board solar diffuser (SD) and an SD stability monitor (SDSM) system, with a deep space view (SV) used as a dark reference [2,3,4,5]. Regular lunar observations also aid the RSB calibration by tracking the long-term stability. A schematic of the optical paths into the SDSM and VIIRS rotating telescope assembly (RTA) during solar observations is shown in Figure 1. The VIIRS on-orbit RSB calibration is reflectance-based with reference to regular solar observations. Once per orbit, as the spacecraft traverses the night-to-day terminator (over the South Pole), the solar illumination passes through the solar attenuation screen (SAS) and diffusely reflects off the SD. Measurements of this signal are predictable, and deviations are used to correct the degradation in the instrument’s radiometric responsivity using a quantity known as the F factor [4]. The SD’s bidirectional reflectance factor (BRF), as well as the screen transmission functions for the SAS and SDSM screen, was characterized prelaunch for JPSS-3 and -4 VIIRS [6].
Figure 1.
Schematic of the optical paths into the VIIRS rotating telescope assembly (RTA) and SDSM during solar observations. The angles and positions are not drawn to scale and are for illustrative purposes.
In addition to the characterization related to the SD and SDSM systems, VIIRS RSBs also underwent intensive preflight characterization to evaluate the compliance against its various specifications, such as signal-to-noise ratio (SNR), saturation, dynamic range, and uniformity. Table 1 lists the spectral range for each VIIRS band along with their typical radiances, maximum radiances, and SNR specifications. To meet the stringent environmental data record (EDR) product application requirements that cover a wide range of scene types from dark oceans to bright clouds, VIIRS has a dual-gain band mechanism to ensure a sufficient SNR.
Table 1.
VIIRS band information that includes the ground field-of-view, spectral range, typical radiance (DNB, VNIR, and SWIR focal planes) or temperature (MWIR and LWIR focal planes) for each gain stage of the band, maximum radiance or temperature, and signal-to-noise ratio or Noise Equivalent delta Temperature. The typical/maximum radiance and temperature are in W/m2/Sr/µm and K, respectively.
In this paper, an overview of the prelaunch calibration methods for the RSBs is provided along with illustration and discussion of the results from the thermal vacuum (TVAC) testing for both JPSS-3 and -4 VIIRS instruments. In addition to the instrument gain, results from the noise characterization, dynamic range, saturation, uniformity, and uncertainty parameters are also discussed. Comparisons to the preflight characterization results from previous VIIRS instruments are also presented [7,8,9,10]. Furthermore, comparison of these parameters with the previous VIIRS builds is also shown along with the discussion of the readiness for on-orbit operations via the at-launch look-up tables (LUTs) that are derived using some of the measurements collected during the preflight testing.
2. Prelaunch Calibration Methods
Both VIIRS instruments underwent a rigorous ground test program at the vendor facility (Raytheon Technologies) in El Segundo, CA, that included component and instrument level testing in different test phases, key amongst which being the ambient and the TVAC testing phases Table 2. includes the key tests for RSB characterization and their corresponding timelines. The integration and alignment of the optomechanical module (OMM), which includes the onboard calibrators (BB, SD, and SDSM) and the focal plane interface electronics, is a key step in the sensor integration process. As described earlier, the SD and the SDSM facilitate the on-orbit radiometric calibration for the VIIRS RSBs and are therefore important to characterize. Prior to this sensor integration phase, both these calibrators are characterized at a component level that includes the characterization of the bidirectional reflectance distribution function (BRDF) and the attenuation of the SD and SDSM screens. The methods and results from these characterizations were previously discussed [6,11,12]. The parameters derived from these characterizations are required for the development of the at-launch look-up tables (LUTs) that are essential for the on-orbit operations. During the ambient phase of testing, several key RSB-related characterizations are performed. These characterizations include the instrument polarization sensitivity, response-versus-scan angle (RVS), near-field response, straylight, preliminary gain characterization, and most importantly, the relative spectral response characterization using laser-based measurements from the Goddard Laser for Absolute Measurement of Radiance (GLAMR) system [13,14,15,16,17,18,19,20]. A brief synopsis of the key sensor characteristics that were observed from these tests for the RSBs is discussed in this paper. The TVAC phase of testing provides the key characterization of the instrument gain at three different temperature plateaus, as well as the sensitivity of the gain in relation to changing Electronics Module (EM) and OMM temperatures during each transition. These measurements form the basis of the LUTs that are derived for on-orbit calibration of the RSBs. Furthermore, various performance metrics, such as signal-to-noise ratio (SNR), dynamic range, saturation, radiometric response uniformity, and radiometric characterization uncertainty, are also evaluated from this dataset and will serve as the focus of this paper. The Spectral Measurement Assembly (SpMA)-based measurements acquired during the TVAC testing, combined with the GLAMR-based measurements, culminate into an at-launch release version of the relative spectral response [18,19]. The detector electronic gains and dark noise are characterized regularly through each of the testing phases described in Table 2. In the case of JPSS-4 VIIRS, another iteration of limited ambient phase testing was performed that was focused on the DNB recharacterization.
Table 2.
Key testing timelines and test details for RSB characterization.
The ambient test phase (~295 K room temperature) is used to check detector health, dynamic range, noise, and dual-gain switching for both the primary and redundant electronic sides. Results from ambient testing allow adjustments or modifications to the hardware where non-compliant behavior is observed, as was seen for the JPSS-4 DNB MGS during ambient testing. TVAC testing measures the dynamic range, noise, and gain switching but also characterizes the detector response at three temperature plateaus: cold (−20 °C), nominal (−5 °C), and hot (10 °C). J3 and J4 VIIRS demonstrated the expected functionality and performance at cold focal plane assembly (CFPA) setpoints of 82 K and 80 K during TVAC testing. The instrument will be operated at these CFPA setpoints at launch.
The test setup and the methodology used to derive the calibration parameters and other metrics have largely remained unchanged through the testing of all VIIRS instruments and have been described in detail before [21,22]. A 100 cm spherical integration source (SIS-100) is used as the primary radiometric source for reflective band calibration during prelaunch testing. It consists of ten 10.4 W lamps, nine 45 W lamps, and eighteen 200 W lamps that can be turned on in various combinations to provide radiance coverage across the dynamic range of each VIIRS band [23]. The SIS-100 has two methods to monitor the radiance output of these lamps. A radiance monitor (RM) measures the radiance at five discrete wavelengths in the VNIR range and a fiber spectrometer measures the spectral output from 350 to 2500 nm. Prior to and after the TVAC testing, the SIS-100 was calibrated using a NIST-traceable FEL lamp to characterize any changes in the lamp output, particularly at the SWIR wavelengths that the RM does not cover. In the case of J3 and J4 testing, the radiance change at SWIR wavelengths was seen to be within 2% pre- and post-TVAC. The RSB prelaunch calibration methods from SNPP-J3 VIIRS employ the use of the RM data for the gain, noise, etc. characterization; however, for the J4 VIIRS trending, noisy behavior is observed in the RM data for a few wavelengths, so the radiance calculation uses the radiances derived from the fiber spectrometer instead. As both the RM and FSM radiances are adjusted based on the NIST-traceable FEL lamp calibration, this is not expected to cause any major discrepancies. Figure 2 shows a normalized radiance profile from the SIS-100 (red curve) where the peak response is around 800 nm and the normalized on-orbit solar irradiance peaks at around 450 nm. In the case of SNPP VIIRS, where several bands had large out-of-band (OOB) spectral responses, these differences affected the prelaunch calibration uncertainties. Several hardware modifications were adopted to mitigate these OOB responses in the JPSS instruments, resulting in reduced uncertainty.
Figure 2.
Comparison of the on-orbit solar spectral irradiance profile and the SIS-100 radiance profile.
The SIS-100 does not reach the top portion of the dynamic range for two of the short-wavelength low-gain bands, M1 and M2. To achieve these higher radiance values, a high-radiance SIS is used in conjunction with a three-mirror collimator to achieve the necessary radiance levels. Unlike the SIS-100, this high-radiance SIS employs light bulbs operated at the same level with neutral density filters of varying throughput to achieve the varying light levels required for the calibration of the M1 and M2 low-gain bands. Using concurrent SIS-100 measurements across the overlapping radiance levels, the high-radiance SIS measurements are effectively tied to those obtained from the SIS-100, therefore preserving the traceability of the radiance values that are used to estimate the gain and other key performance metrics. A space view source (SVS) is used as the dark offset source during thermal vacuum testing, to simulate deep space looks on-orbit. Figure 3 shows a cartoon of the TVAC test chamber setup.
Figure 3.
Cartoon of the TVAC test chamber setup. The Blackbody calibration source (BCS), SVS, TMC-SIS, and SIS-100 sources are shown with respect to the instrument location within the chamber.
Also included as part of the test setup is a linear attenuator assembly (LAA) that consists of a metal sheet with evenly spaced holes designed to provide a transmission of approximately 56%. The screen is mounted on a linear drive to move it in and out of the optical path of the source. Since the absolute radiance of the reflective sources are not known to the accuracy necessary for a direct radiance vs. dn polynomial fit, the and pairs are used to compute the shape of the calibration curve. This method is referred to as the “attenuator method”. Equation (1) presents the polynomial relationship of the VIIRS response to the SIS without the LAA in the optical path ( in terms of calibration coefficients c0, c1, and c2.
Equation (2) similarly relates the VIIRS response to the SIS with LAA attenuation () to the same coefficients. This requires an additional term to account for the signal attenuation (.
The SIS is cycled through a series of source levels to cover illumination levels in both fixed high gain and fixed low gain to ensure coverage across the entire dynamic range. The and for each SIS-100 source level are used in a least squares regression to determine the , , and values for each gain state, band, detector subframe, and HAM side. Equations (1) and (2) can be effectively used to remove the term and determine the shape of the detector response relative to and to be determined with the other fit parameter , which is expressed as follows:
In addition to mitigating the uncertainties associated with the SIS-100 radiance accuracy, the impact of any SIS-100 signal drift during this lengthy testing period is also reduced. Finally, a least squares regression using Equation (3) is performed with , , and as fit parameters to find the detector calibration coefficients relative to the linear term and rearranged to solve .
Table 3 shows the least squares regression, the from a SIS-100 level, and the SIS-100 radiance after monitor correction to estimate the linear response coefficient. VIIRS contains one spectral band centered at 1378 nm (M9) in a strong atmospheric absorption region (primarily due to water-vapor). Variations in the atmospheric transmittance cause the radiance reaching the detectors to fluctuate. To incorporate a correction to these radiances, measurements of temperature and humidity are recorded via a temperature and humidity monitor (THM) mounted near the exit aperture of the integrating sphere [24].
Table 3.
Prelaunch SNR characterization for JPSS-3 and -4 VIIRS RSBs.
The detector SNR was calculated for each SIS-100 radiance level by dividing the sample averaged over scans by the standard deviation and then fit to a quadratic form to estimate SNR at different radiance levels. This includes the typical radiance level to assess compliance with the specification. Also assessed using these SIS-100 measurements is the radiometric response uniformity (RRU) that determines the ability of the sensor calibration to eliminate detector striping in calibrated products. The requirement states that the calibrated output of all channels within a band shall be matched to the band mean output within the Noise Equivalent delta Radiance (NEdL) or Noise Equivalent delta Temperature (NEdT) (1 sigma) when viewing a uniform scene. RRU is derived for each SIS-100 radiance level between and and compared with the specification that is band- and gain-stage-dependent. During the JPSS-1 VIIRS testing, it was observed that a majority of the RSBs did not meet this specification, mainly because the SIS-100 did not provide the required uniformity for verification. As a result of this, an exception for bands that did not meet this specification was made via a waiver and subsequently, the specifications for subsequent builds were modified. While most of the JPSS-3 and -4 RSBs complied with the revised specifications, the uncertainties due to source (SIS-100) non-uniformity still exist. It is important to note that this is not expected to be an issue or a concern on-orbit where the solar diffuser is used as the calibration source.
Another key performance metric contributing to the total radiometric uncertainty is the detector response characterization uncertainty (RCU), which is based on the fit residuals between the true and estimated radiance within the dynamic range and is specified to be within 0.3%.
As introduced earlier, the RSBs are calibrated in every orbit over the South Pole using SD views. It is well known that the detector response is sensitive to instrument temperature variations; therefore, it is important to characterize the instrument’s response as a function of temperature, time, and bus voltage to verify whether the instrument complies with the stability requirement of 0.3% over a 90-minute period (approximately equivalent to one orbit). At each of the three plateaus (cold, nominal, and hot), stability testing is performed to evaluate the VIIRS response stability with respect to time and bus voltage to a fixed SIS-100 illumination level. The VIIRS response is also monitored between the plateau transition to derive the temperature sensitivity parameters that are incorporated in the post-launch LUTs.
As discussed above, the primary preflight characterization source for the VIIRS RSBs, during the ambient and sensor TVAC, is the SIS-100. On previous builds (SNPP and JPSS-1), the radiometric response has also been measured by the Flat Plate Illuminator (FPI) source after the sensor TVAC was completed [25]. Specifically, it was employed during the spacecraft-level testing of SNPP, JPSS-1, and JPSS-2 VIIRS to monitor the changes in the radiometric gain and signal-to-noise ratio (SNR) of the RSBs relative to the measurements performed during sensor TVAC. With the integration and testing of JPSS-3 and -4 VIIRS instruments underway simultaneously, obtaining measurements using the FPI, possibly at different physical locations (spacecraft integration facility, vendor facility) presented a challenge. A pathfinder study was initiated where measurements of the VIIRS radiometric response using different sources were performed successfully at different facilities with the source calibration tied to a common radiometric scale provided by a NASA-supplied spectrometer. The results from this effort are not discussed in this paper.
3. Results
In this section, the results from the TVAC phase of testing from J3 and J4 VIIRS are discussed in detail. The results from the nominal plateau measurements are discussed, as they serve as the best representation of the on-orbit operating conditions. Also, discussed are some of the results from the ambient phase of testing and any implications post-launch to the on-orbit calibration.
3.1. Gain Characterization
As the SIS-100 cycles through the different lamp illumination levels to ensure coverage across the VIIRS dynamic range, the VIIRS detector response post-background subtraction is used to trend against the SIS-100 radiance to estimate the linear gain, the offset, and non-linear terms using the attenuator method described in Section 2. Figure 4a–c show such an example for the detectors (in different colors) for the high-gain (HG) stage of band M4 (HAM-A) from the nominal plateau measurements from J3 VIIRS TVAC. The blue vertical dotted lines denote the and , whereas the pink dotted line denotes the typical radiance, . The quadratic fits are also plotted in Figure 4a along with the fractional residuals shown in Figure 4b that show no indication of any major non-linear behavior between and . Some quantization-related artifacts are observed for the measurements corresponding to the lowest SIS-100 radiance levels. No detectors are seen to show any out-of-family response compared to the other detectors within the band. In Figure 4c, the is plotted for all detectors, which also shows a stable trend across most of the dynamic range. The results for band M4, HG, from J4 TVAC’s nominal plateau measurements are shown in Figure 5a–c. It can be noted that there is an unsaturated VIIRS measurement beyond the , which is due to the SIS-100 generating slightly higher radiance levels compared to during J3 TVAC testing. The higher SIS-100 output is due to the recoating of the SIS-100 that occurred between the J3 and J4 TVAC tests. However, it should be noted that this does not impact on the gains or the non-linear and offset term calculations. The behavior seen in the fractional residual and plots is like that seen in J3 VIIRS. Shown in Figure 6 and Figure 7 are similar results from the low-gain (LG) stage of M4 from J3 and J4 TVAC, respectively. As expected, the SIS-100 radiance range is significantly different for the low-gain stage when compared to the HG results. In comparison with the HG stage results, a larger magnitude in the fractional residuals is observed in the LG stage results, but that is not expected to have any impacts on the scientific measurements on-orbit as it is below the . In both the J3 and J4 VIIRS LG results, response rollover is observed beyond , a feature that is common to all VIIRS builds, but has been significantly diminished in its magnitude since JPSS-2 VIIRS due to hardware changes. The on-orbit sensor data record (SDR) and environmental data record (EDR) products include algorithms to flag the pixels impacted by the rollover as it is a well-understood issue common to all VIIRS builds. It should also be noted that the response rollover observed in the case of M4 LG and in some other RSBs, such as M6 and LG stages of M5 and M7, does not impact the calculations of the gain and offset coefficients as they are excluded from the calculations. In all the M4 results shown below, the response saturation occurs beyond the specified , therefore meeting the requirements. More details about the dynamic-range coverage will be discussed in subsequent sub-sections.
Figure 4.
(a–c) dn vs. L with the fits, fractional residuals, tau vs. radiance for band M4H from J3 TVAC. The blue dotted lines represent Lmin and Lmax and the pink dotted line represents Ltyp.
Figure 5.
(a–c) dn vs. L with the fits, fractional residuals, tau vs. radiance for band M4H from J4 TVAC. The blue dotted lines represent Lmin and Lmax and the pink dotted line represents Ltyp.
Figure 6.
(a–c) dn vs. radiance with the fits, fractional residuals, tau vs. radiance for band M4L from J3 TVAC. The blue dotted lines represent Lmin and Lmax and the pink dotted line represents Ltyp.
Figure 7.
(a–c) dn vs. radiance with the fits, fractional residuals, tau vs. radiance for band M4L from J4 TVAC. The blue dotted lines represent Lmin and Lmax and the pink dotted line represents Ltyp.
Overall, the other bands of both J3 and J4 VIIRS, not presented here, show consistent (as-expected) trends with no out-of-family detectors, premature saturation, or incomplete coverage across the SIS-100 radiance range or VIIRS band dynamic range. As discussed in the earlier section, these measurements are used to derive the c-coefficients that will be used for on-orbit operations and are shown in Figure 8 and Figure 9 for J3 VIIRS bands M4H and M4L and Figure 10 and Figure 11 for J4 VIIRS bands M4H and M4L, respectively. The results in Figure 8, Figure 9, Figure 10 and Figure 11, along with their 2-sigma error bars, are shown for all the three plateaus, as well as for the primary (A) and redundant (B) electronic sides. Results show a very good agreement between the different plateaus and between the two electronic sides. The values for are straddling along the zero which indicates an absence of any non-linear behavior at the lower end of the dynamic range. Furthermore, the values are also very small in magnitude, indicating no non-linear behavior is present at the higher end of the dynamic range. As expected, the M4L gain trends for each instrument show larger fluctuations in comparison with the M4H trends, a feature that is common to all the dual-gain bands.
Figure 8.
(a–c) tau, c0/c1, and c2/c1 coefficients with 2-sigma error bars for band M4H from J3 TVAC.
Figure 9.
(a–c) tau, c0/c1, and c2/c1 coefficients with 2-sigma error bars for band M4L from J3 TVAC.
Figure 10.
(a–c) tau, c0/c1, and c2/c1 coefficients with 2-sigma error bars for band M4H from J4 TVAC.
Figure 11.
(a–c) tau, c0/c1, and c2/c1 coefficients with 2-sigma error bars for band M4L from J4 TVAC.
While only the representative bands are shown above, the remaining bands of both VIIRS instruments show similar behavior to band M4. One exception to this is the band I3, in the case of J4 VIIRS, where the c0/c1 coefficients show a noticeably lower value (around −1), indicating non-linear behavior. Such a behavior was previously observed in all the SWIR bands of J1 VIIRS during its prelaunch testing and was subsequently addressed via a modified fitting strategy adopted during the at-launch LUT generation process. The modified fitting strategy, involving a cubic polynomial approximation to estimate the radiance in the SDR products, has effectively maintained the quality of the SDR and the EDRs [21].
3.2. SNR Characterization
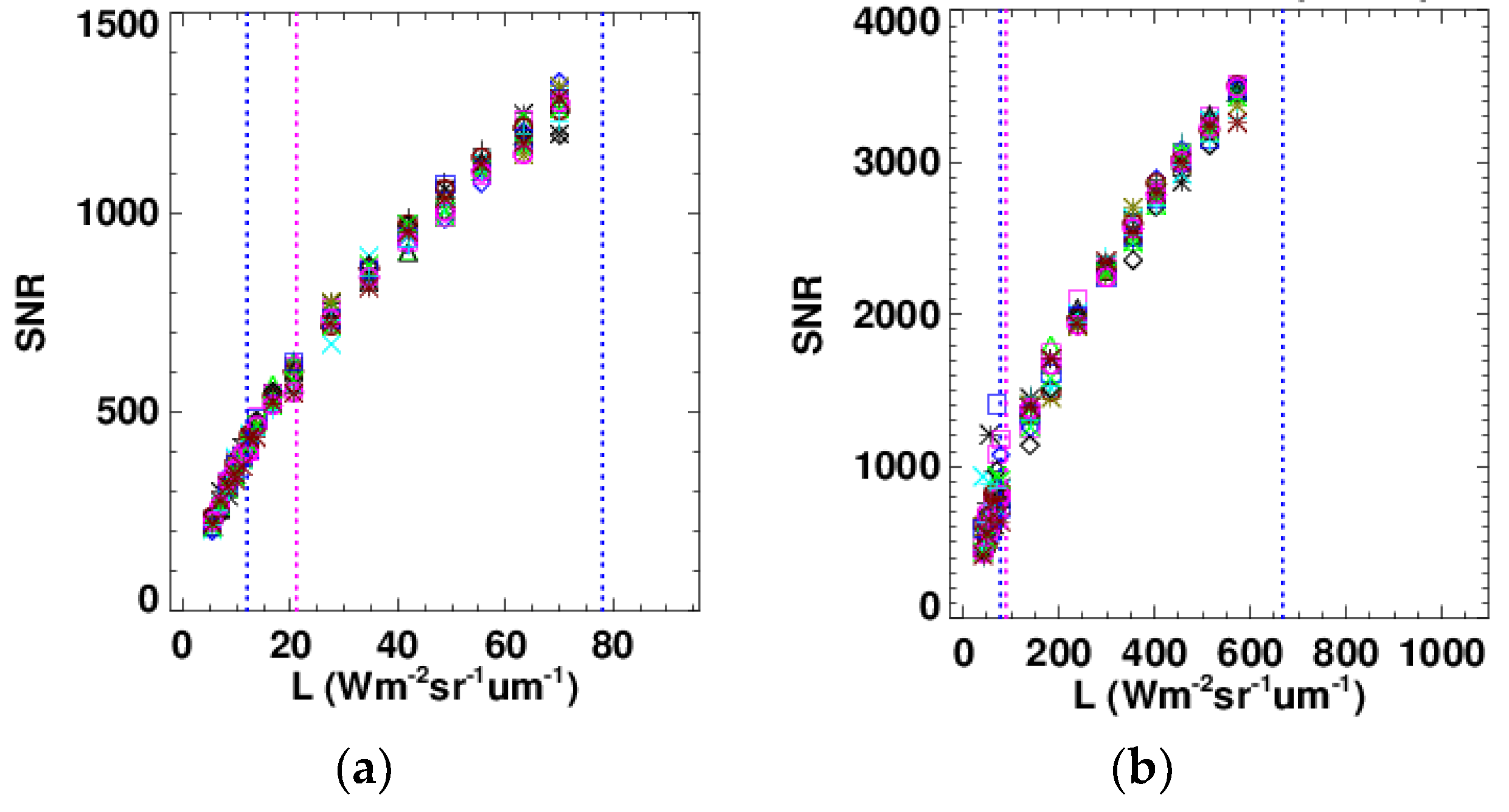
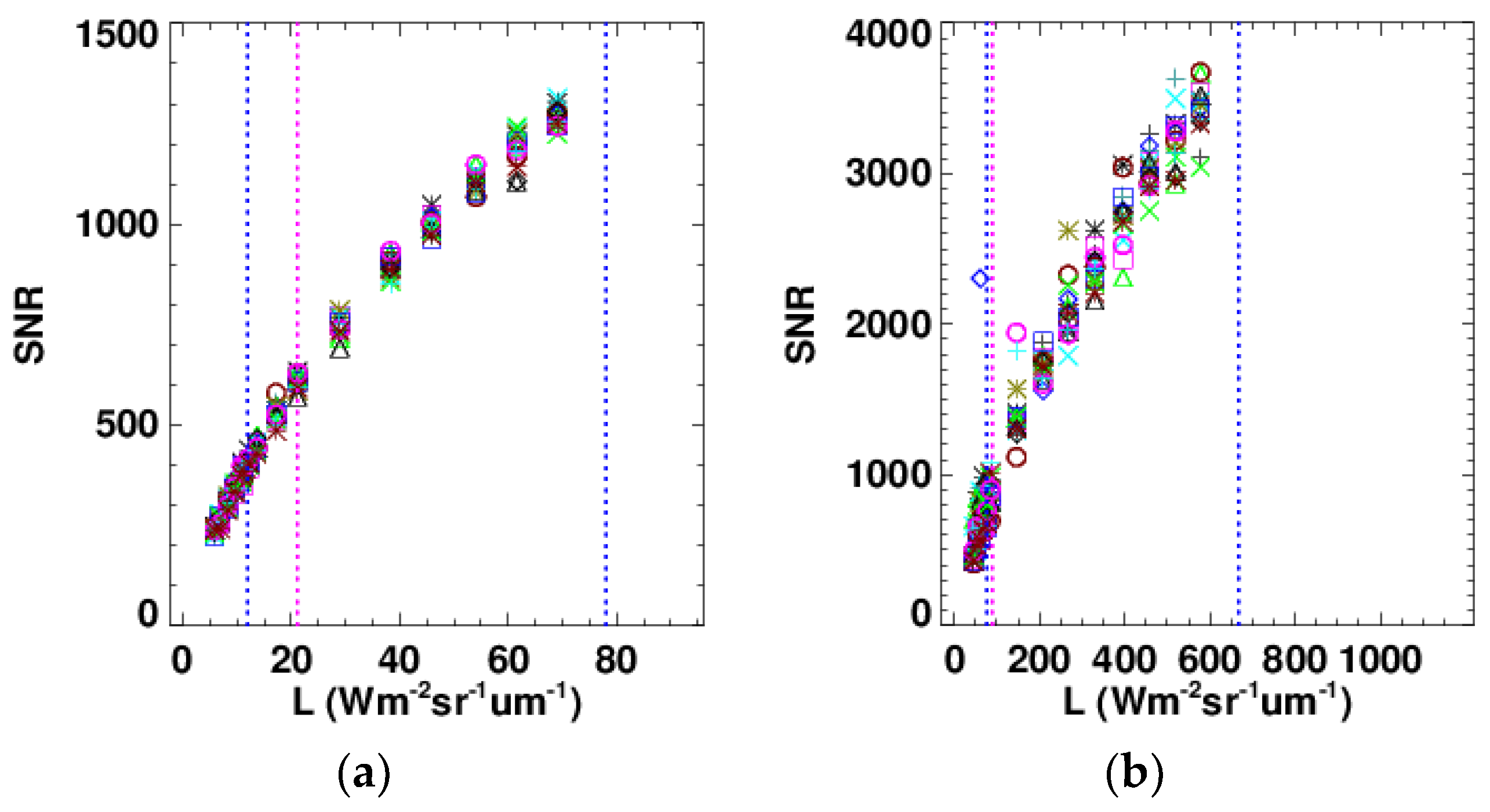
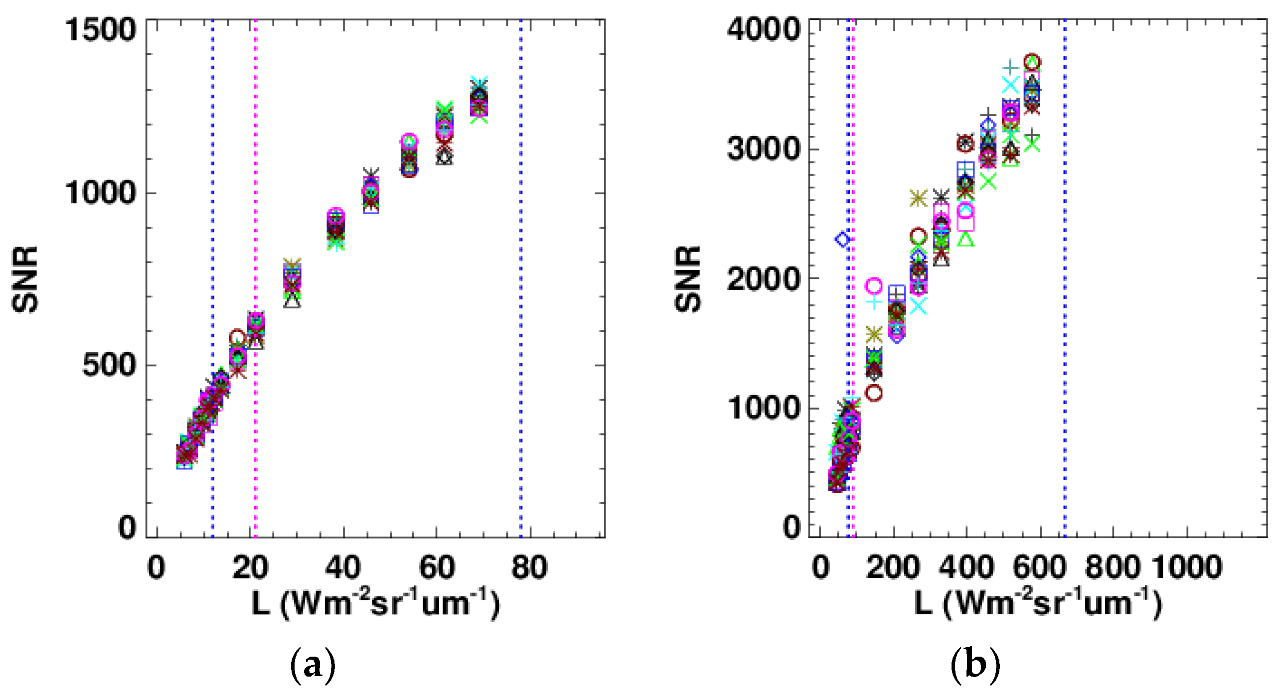
Shown in Figure 12 and Figure 13 are the SNR trends for band M4 (LG and HG) from the same nominal plateau measurements that were shown earlier. Like the versus plots, each symbol/color denotes different detectors. Some outliers, likely due to quantization effects, can be seen in both cases. The SNR is estimated using the method described in Section 2 and is plotted against the SIS-100 radiance for the LG and HG stages. Using a quadratic fit, the SNR is estimated at , denoted by the pink vertical line, and is compared against the specification to evaluate compliance. From Table 1, the specification of SNR for LG and HG of band M4 is 315 and 362, respectively, and Figure 8 and Figure 9 show that the performance well-exceeds the specification. SNR calculations are also performed for the other VIIRS RSBs of both instruments and the SNR is seen to exceed the specification by large margins. The SNR performance of JPSS-3 and JPSS-4 VIIRS RSBs is comparable with the results from the previous VIIRS builds. Table 3 provides a summary of the band-averaged SNR for each RSB from the three temperature plateaus for both instruments. Although some variations are observed in the SNRs between the plateaus, the values are seen to meet and exceed the specification by a reasonable margin and are expected to meet the requirements of the SDR and EDR, when on-orbit.
Figure 12.
(a,b) SNR vs. L for M4H and M4L from J3 TVAC.
Figure 13.
(a,b) SNR vs. L for M4H and M4L from J4 TVAC.
3.3. Stability and Temperature Sensitivity
The requirement for stability between two successive calibrations for the VIIRS RSBs is 0.3%. As stated earlier, the SD is the primary on-board calibrator that provides per-orbit calibration for the VIIRS RSBs. Typically, the instrument temperature varies only a few degrees between consecutive orbits and hence the stability criterion is expected to be met even if there is no compensation for effects due to temperature variations. As source stability is an issue during the radiometric calibration tests, the relative gain change between the three plateaus may not be well characterized and hence the radiometric stability tests play a vital role in characterizing these temperature variations.
During the pre-TVAC phase of testing, the VIIRS performance was evaluated while undergoing operational thermal cycles including dwells at select temperature plateaus. In addition to the detector response and noise, the offset, scan rate, SDSM detector noise, and offsets are also trended. During the dwells, the sensitivity against sensor bus voltage was evaluated and for all the RSBs of both J3 and J4 VIIRS, was found to meet the specification of 0.3%. The VIIRS RSB stability was also evaluated versus time using the SIS-100 at a constant illumination level and all bands from both J3 and J4 VIIRS were found to meet the 0.3% specification. During the detector response trending, a degradation in the gain was observed for the LWIR bands, likely due to icing in the dewar. To mitigate these impacts, a mid-mission outgas (MMOG) operation was performed, and effectively restored the gains to the level that was observed at the beginning of the test. The gain degradation in the LWIR bands was previously observed on-orbit for JPSS-1 VIIRS, and more recently observed in both SWIR and MWIR bands of JPSS-2 VIIRS. In both instances, a MMOG was employed to restore the gains to their at-launch levels. In the context of prelaunch testing, it is important to conduct the performance testing without having any effects due to icing and the MMOG ensured that any possible impacts, although minimal in case of RSB, were eliminated.
The response change versus component temperature change is also measured during the transitions between the TVAC plateaus for the analog signal processor (ASP) and the VNIR focal plane assembly (FPA). During this test, the SIS-100 is illuminated at a constant radiance level and VIIRS is operated in a fixed high-gain mode. Using these measurements, the rate of change in the response versus the delta temperature is computed to derive the correction applied to the calibration coefficients. This is required, as the SD calibration occurs only once per orbit, and the FPA and ASP temperatures from the previous VIIRS instruments have shown variations over an orbit on the order of ~0.5 K and ~1 K, respectively. Figure 14 and Figure 15 show the results for the VIS/NIR bands from these tests (cold to nominal plateau transition) for JPSS-3 and -4 VIIRS where the band-averaged gain for the VIS/NIR bands is plotted versus the FPA and ASP temperatures. As seen from the figures, the temperature sensitivity of the response to the ASP temperature is smaller in comparison with the FPA temperature, with the most sensitivity shown by the NIR bands I2 and M7. A linear fit of the response change versus temperature is computed and then combined with the expected change in the temperature over an orbit. This behavior is consistent with that observed on previous VIIRS builds and provides all necessary information to construct the at-launch LUT.
Figure 14.
(a,b) Normalized gain (band-averaged) versus the VNIR FPA and ASP temperatures for JPSS-3 VIIRS.
Figure 15.
(a,b) Normalized gain (band-averaged) versus the VNIR FPA and ASP temperatures for JPSS-4 VIIRS.
3.4. Dynamic Range and Gain Transition
Using the dn versus radiance relationship shown in Section 3.1, the saturation radiance (L_sat) can be estimated for every RSB detector and compared against the specification to ensure that the full dynamic range will be available for on-orbit operations. Table 4 and Table 5 show the L_sat and L_max from the specification, and a ratio of the two. The values of the ratio greater than unity ensure compliance.
Table 4.
Measured dynamic-range performance (nominal plateau) for the JPSS-3 VIIRS reflective solar bands. The saturation/maximum radiance is in W/m2/Sr/µm.
Table 5.
Measured dynamic-range performance (nominal plateau) for the JPSS-4 VIIRS reflective solar bands. The saturation/maximum radiance is in W/m2/Sr/µm.
The capacitive transimpedance amplifiers (CTIA) within SNPP and JPPS-1 VIIRS have exhibited anomalous behavior that manifests as a double-valued (rollover) response in the EDRs. This behavior was identified and well characterized during the prelaunch testing and predominantly impacts band M6. Subsequent hardware modifications on the VIIRS builds after JPSS-2 have largely mitigated this issue and are expected to cause minimal impact to the SDR and EDR products of JPSS-3 and -4 instruments.
For VIIRS instrument reflective bands M1, M2, M3, M4, M5, and M7, switching between gain settings should occur between +50% and -0% of the spectral radiance levels, as specified in the requirement listed in Table 6. The gain transition point, in digital counts, is determined from the SIS-100 profile where the lamp response saturates for the high-gain detectors and then transitions to low gain. Both the high- and low-gain DNs, at this switch point, are converted to radiance using the calibration coefficients derived in Section 3.1 and compared with the gain switch requirement. Table 6 lists the transition radiance upper and lower limits and the radiance values where JPSS-3 and -4 switched during the prelaunch testing. The gain switches occur within the margins of the requirements for all bands at each temperature plateau and electronic side.
Table 6.
JPSS-3 and -4 RSB dual-gain switch radiances along with specifications.
3.5. Straylight, Crosstalk Characterization, and Near-Field Response
VIIRS prelaunch testing also included characterization of straylight through the instrument nadir port. Tests were performed for each build in an ambient environment using a calibrated 1000 W studio lamp. To simulate potential straylight sources from an Earth scene, VIIRS measurements were collected while the lamp was in each of 33 positions within an annulus of roughly 4 to 69 degrees away from the center of view. The design specification states the measured signal should be less than 1% of Ltyp for each RSB and all builds meet that criterion. In general, band M7 has the highest influence from straylight, while band I1 has the largest spread in detector performance [16].
Similarly, VIIRS crosstalk characterization was performed as part of prelaunch testing. Multiple tests were performed aimed at measuring electronic or optical crosstalk between VIIRS bands. Improvements have been made in the VIIRS design over the JPSS program, including updates to detector design and procurement specifications for optical filters. Generally, each successive VIIRS instrument has shown improved crosstalk performance. However, JPSS-4 VIIRS did show two instances of unexpected increases in crosstalk compared to JPSS-3. Band M6 detectors show a stronger crosstalk response from bands I2 and M7. The response pattern observed for JPSS-4 VIIRS has been seen in past builds, where the along-scan aligned detector measures a larger signal than other detectors and the following detector measures a negative signal. The magnitude of these responses is much larger (over 3x) than seen previously and is representative of all other measured detectors for these bands. Band I2 detectors induce a similar larger response in the along-scan aligned M6 detectors for JPSS-4 VIIRS. The second instance of unexpected crosstalk occurs for band I3, where a strong signal in a single detector causes a larger-than-expected response three detectors away in the same band (band I3) [20].
The near-field response (NFR) is intended to characterize the response of VIIRS detectors due to a structured scene of high intensity outside its field-of-view. Similar to the previous builds, JPSS-3 and -4 also underwent rigorous NFR testing. The test combines measurements of a saturated signal and an SIS-100 response close to Ltyp for each band. These measurements are then stitched together to remove the saturated response to simulate the detector behavior when viewing a scene at Lmax. NFR performance has met expectations for most bands, with only a single detector for each of bands M7 and M10 in JPSS-4 RSBs, showing a higher-than-expected response. In both instances, the signal was recorded on the trailing side of the high-intensity signal, which exceeded Lmax [17].
3.6. Polarization, RVS, RSR Characterization
The RVS for the RSBs was tested in ambient conditions using the SIS-100 with VIIRS placed on a turntable and rotated to view the external sources at a range of scan angles covering the HAM angle of incidence (AOI) range used on-orbit, 28.6° to 60.5°. Both for JPSS-3 and -4 VIIRS, the largest variation over this range was seen for the short-wavelength bands M1–M3 with up to 1.5% change, and the smallest variation was observed for bands I2, M7, and M11 with less than 0.1% change observed. Unlike JPSS-1 VIIRS, where noticeable differences were observed in the RVS between the two HAM sides, the RVS for both HAM sides for the JPSS-3 and -4 RSBs showed very consistent behavior. The uncertainties on the measured RVS data were propagated through the fitting routines to provide an uncertainty estimate on the final RVS as a function of HAM AOI and is also included in the radiometric calibration uncertainty in Section 3.7. A detailed summary of the results from JPSS-3 and -4 RVS characterization can be found in [15].
Consistent with the previous VIIRS builds, the JPSS-3 and -4 VIIRS spectral measurements consisted of dual monochromator measurements using the SpMA during TVAC for all bands plus laser-based measurements using GLAMR for all RSBs. The SpMA and GLAMR measurements were consolidated to produce a final at-launch RSR characterization that has been released for early use for the scientific community. Overall, the VIIRS spectral characterization has remained very stable with characteristics and other compliance metrics in line with what was observed in previous builds. Due to the redesign of the focal planes in JPSS-2 VIIRS, also adopted in JPSS-3 and JPSS-4, spectral shifts were observed for several RSBs, with the most notable change (~10 nm) observed in band M9 [18,19].
The instrument’s polarization sensitivity was characterized using a specialized equipment called the polarization test source assembly, which has a 100 cm SIS with a wide field-of-view of unpolarized illumination. The VIIRS polarization specification consists of a requirement for the maximum amplitude over the ±45° scan angle range to be within 3% for bands M1, M7, I2 and within 2.5% for bands M2, M3, M4, M5, and I1, with a characterization uncertainty requirement of 0.5% across all the VIS/NIR bands. As a result of dichroic changes since JPSS-2 testing, both JPSS-3 and -4 met the polarization sensitivity requirements with margin along with improved uncertainties. This characterization information is expected to help correct for polarization sensitivity of VIIRS on-orbit and therefore improve the quality of the EDRs [14].
3.7. Radiometric Calibration Uncertainty
The determination of VIIRS performance for the RSB uncertainty is a root sum of squares (RSS) combination of the following major contributors: characterization uncertainty at typical radiance, response stability between calibrations, offset knowledge and stability, RVS uncertainty, spectral uncertainty, and solar diffuser uncertainty. Each of these contributors has subcategories that are listed in Table 7 for JPSS-3 VIIRS and Table 8 for JPSS-4 VIIRS. While some of the values come from the sensor level testing, the SD and SDSM uncertainties are provided by the instrument vendor from the subassembly measurements and modeled data. The primary contributor to the on-orbit reflectance accuracy is the uncertainty associated with the SD BRDF. In previous VIIRS builds (SNPP and JPSS-1), the characterization of the band M11 BRDF had a higher uncertainty due to limitations of vendor’s measurements equipment at 2.25 µm that prevents a direct measurement at 2.25 µm and therefore requires extrapolation. Recent improvements (JPSS-2 VIIRS onwards) in the extrapolation method have resulted in reducing this uncertainty from 1.70% to 0.72%. On-orbit results from the recently launched JPSS-2 (NOAA-21 on-orbit) VIIRS have shown a large bias (2–6%) in the TOA measurements of the SWIR bands relative to previous VIIRS instruments and efforts are underway to further investigate whether this is due to any possible biases in the prelaunch measurements.
Table 7.
Breakdown of the JPSS-3 VIIRS RSB uncertainty tree (in %) for each component and rollup (highlighted in green for pass and red for fail).
Table 8.
Breakdown of the JPSS-4 VIIRS RSB uncertainty tree (in %) for each component and rollup (highlighted in green for pass and red for fail).
On the JPSS-1 VIIRS SDSM, it was found that the filters allowed significant out-of-band (OOB) light onto the SDSM detectors, especially at short wavelengths (effecting the uncertainty for bands M1 and M2). This OOB source was eliminated by hardware modifications in JPSS-2 VIIRS; however, a different source of OOB signal was found that led to higher uncertainty in the spectral OOB category. Subsequently, these issues were addressed in JPSS-3 and -4 VIIRS, resulting in the elimination of these uncertainties. The response stability is computed using the worst-case uncertainty across detectors, HAM sides, and plateaus for each of the three uncertainties: response change over time, temperature, and bus voltage. All three uncertainty terms are RSS-ed to compute the total uncertainty in response stability.
Like previous builds, all the bands met the 2% specification except for bands M1 and M2 in JPSS-4, which marginally exceeded 2%. Based on the experiences of the on-orbit operations of the previous VIIRS builds that also showed a similar exceedance of the specification, this is not expected to have any major impact on the SDR and EDR products.
4. Conclusions
The VIIRS instruments, scheduled to be launched aboard the JPSS-3 and -4 platforms, underwent intensive sensor level TVAC testing at the instrument vendor facility in fall 2021 and fall 2023, respectively. This paper describes the test methodologies, primarily inherited from the testing of previous VIIRS builds, adopted to perform a comprehensive characterization of the VIIRS RSBs. Tests were performed at three performance plateaus to simulate on-orbit conditions. Performance parameters such as the instrument gain, SNR, dynamic range, and temperature sensitivity were derived from the collected data. Results show that both VIIRS met the required specifications, with minor non-compliances observed in the uncertainties for bands M1 and M2 in JPSS-4 VIIRS. Also, all derived parameters are comparable to the previous builds, and the two JPSS-3 and -4 VIIRS, scheduled to launch in 2032 and 2027, respectively, are expected to continue the legacy of the science products that are currently being generated by the three VIIRS instruments on-orbit. As the instruments go into the next phase of testing (integration to the spacecraft), the parameters derived here will serve as a baseline to monitor the instruments’ performance. More importantly, the parameters derived here will help prepare the LUTs used for on-orbit characterization.
Author Contributions
Conceptualization, A.A., D.M., X.X. and Q.J.; methodology, A.A. and D.M.; software, A.A., D.M. and Q.J.; validation, D.L.; formal analysis, A.A.; investigation, A.A.; resources, X.X.; data curation, A.A. and D.M.; writing—original draft preparation, A.A.; writing—review and editing, D.M., D.L. and X.X.; visualization, A.A.; supervision, X.X.; project administration, X.X.; funding acquisition, X.X. All authors have read and agreed to the published version of the manuscript.
Funding
This research received no external funding.
Data Availability Statement
The original contributions presented in this study are included in the article. Further inquiries can be directed to the corresponding author(s).
Acknowledgments
Raytheon Technologies for design, execution, and data dissemination for the preflight characterization of the JPSS-3 and -4 VIIRS instruments. James McCarthy and Jason Geis for their efforts as a part of the NASA onsite team. Ning Lei of VIIRS Characterization support team for technical review of this manuscript.
Conflicts of Interest
Author Amit Angal, Qiang Ji and Daniel Link were employed by the company Science Systems and Applications Inc. The remaining authors declare that the research was conducted in the absence of any commercial or financial relationships that could be construed as a potential conflict of interest.
References
- Zhou, L.; Divakarla, M.; Liu, X. An Overview of the Joint Polar Satellite System (JPSS) science data product calibration and validation. Remote Sens. 2016, 8, 139. [Google Scholar] [CrossRef]
- Welsch, C.; Swenson, H.; Cota, S.A.; DeLuccia, F.; Haas, J.M.; Schueler, C.; Durham, R.M.; Clement, J.E.; Ardanuy, P.E. VIIRS (Visible Infrared Imager Radiometer Suite): A Next-Generation Operational Environmental Sensor for NPOESS. In Proceedings of the International Geoscience and Remote Sensing Symposium (IGARSS), Sydney, Australia, 9–13 July 2001. [Google Scholar] [CrossRef]
- Rogers, M.A.; Miller, S.D.; Seaman, C.J.; Torres, J.; Hillger, D.; Szoke, E.; Line, W.E. VIIRS after 10 Years—A Perspective on Benefits to Forecasters and End-Users. Remote Sens. 2023, 15, 976. [Google Scholar] [CrossRef]
- Cao, C.; Xiong, J.; Blonski, S.; Liu, Q.; Uprety, S.; Shao, X.; Bai, Y.; Weng, F. Suomi NPP VIIRS sensor data record verification, validation, and long-term performance monitoring. J. Geophys. Res. Atmos. 2013, 118, 11664–11678. [Google Scholar] [CrossRef]
- Lei, N.; Wang, Z.; Xiong, X. On-orbit radiometric calibration of Suomi NPP VIIRS reflective solar bands through observations of a sunlit solar diffuser panel. IEEE Trans. Geosci. Remote Sens. 2015, 53, 5983–5990. [Google Scholar] [CrossRef]
- Valencia, A.; Klein, S.; Murgai, V. Solar attenuation screen transmittance, modulation, and albedo for JPSS J3 and J4. In Proceedings of the Earth Observing Systems XXV, Online, 24 August–4 September 2020; Volume 11501, pp. 148–156. [Google Scholar]
- Oudrari, H.; McIntire, J.; Xiong, X.; Butler, J.; Lee, S.; Lei, N.; Schwarting, T.; Sun, J. Prelaunch radiometric characterization and calibration of the S-NPP VIIRS sensor. IEEE Trans. Geosci. Remote Sens. 2014, 53, 2195–2210. [Google Scholar] [CrossRef]
- Oudrari, H.; McIntire, J.; Xiong, X.; Butler, J.; Ji, Q.; Schwarting, T.; Lee, S.; Efremova, B. JPSS-1 VIIRS radiometric characterization and calibration based on pre-launch testing. Remote Sens. 2016, 8, 41. [Google Scholar] [CrossRef]
- Oudrari, H.; McIntire, J.; Xiong, X.; Butler, J.; Ji, Q.; Schwarting, T.; Angal, A. An overall assessment of JPSS-2 VIIRS radiometric performance based on pre-launch testing. Remote Sens. 2018, 10, 1921. [Google Scholar] [CrossRef]
- McIntire, J.; Xiong, X.; Butler, J.J.; Angal, A.; Moyer, D.; Ji, Q.; Schwarting, T.; Link, D.; Sun, C. An overall assessment of JPSS-3 VIIRS radiometric performance based on pre-launch testing. Remote Sens. 2022, 14, 1999. [Google Scholar] [CrossRef]
- Murgai, V.; Klein, S. Spectralon Solar Diffuser BRDF extrapolation to 2.25 microns for JPSS J1, J2, and J3. In Proceedings of the Earth Observing Systems XXIV, San Diego, CA, USA, 11–15 August 2019; Volume 11127, pp. 75–85. [Google Scholar]
- Elgas, J.; Murgai, V. JPSS-3, -4 VIIRS solar diffuser stability monitor relative spectral response. In Proceedings of the Earth Observing Systems XXV, Online, 24 August–4 September 2020; Volume 11501, p. 115010U. [Google Scholar]
- Wang, Z.; Barsi, J.; Thome, K.; Wenny, B.N.; McAndrew, B.; Efremova, B.; McCorkel, J. Uncertainty budget for detector-based absolute radiometric calibration with GLAMR. Appl. Opt. 2024, 63, 3015–3028. [Google Scholar] [CrossRef] [PubMed]
- Moyer, D.; McIntire, J.; Angal, A.; Xiong, X. Pre-Launch Polarization Assessment of JPSS-3 and-4 VIIRS VNIR Bands and Comparison with Previous Builds. Remote Sens. 2024, 16, 2178. [Google Scholar] [CrossRef]
- McIntire, J.; Moyer, D.; Angal, A.; Xiong, X. JPSS-3/4 VIIRS response versus scan angle characterization and performance. Front. Remote Sens. 2023, 4, 1303347. [Google Scholar] [CrossRef]
- Ji, Q.; McIntire, J.; Link, D.; Xiong, X. Pre-launch characterization of VIIRS straylight. In Proceedings of the Earth Observing Systems XXVII, San Diego, CA, USA, 21–26 August 2022; Volume 12232, p. 122321B. [Google Scholar]
- Link, D.; Schwarting, T.; Angal, A.; Xiong, X. Assessment of the pre-launch JPSS-4 VIIRS near-field response in an ambient environment. In Proceedings of the Earth Observing Systems XXVII, San Diego, CA, USA, 21–26 August 2022; Volume 12232, p. 1223203. [Google Scholar]
- Moeller, C.; Schwarting, T.; Moyer, D.; Barsi, J. The JPSS-3 VIIRS version 2 at-launch relative spectral response characterization. In Proceedings of the Earth Observing Systems XXVIII, San Diego, CA, USA, 20–25 August 2023; Volume 12685, p. 126851F. [Google Scholar]
- Moeller, C.; Schwarting, T.; Moyer, D.; Barsi, J.; Angal, A. The JPSS-4 VIIRS version 2 (at-launch) relative spectral response characterization. In Proceedings of the Earth Observing Systems XXIX, San Diego, CA, USA, 18–23 August 2024; Volume 13143, p. 1314315. [Google Scholar]
- Link, D.; Ji, Q.; Schwarting, T.; Angal, A.; Xiong, X. Prelaunch characterization of JPSS VIIRS crosstalk. In Proceedings of the Earth Observing Systems XXIX, San Diego, CA, USA, 18–23 August 2024; Volume 13143, p. 131430E. [Google Scholar]
- Moyer, D.; Angal, A.; Oudrari, H.; Haas, E.; Ji, Q.; De Luccia, F.; Xiong, X. JPSS-1 VIIRS prelaunch reflective solar band testing and performance. Remote Sens. 2022, 14, 5113. [Google Scholar] [CrossRef]
- Moyer, D.; Angal, A.; Ji, Q.; McIntire, J.; Xiong, X. JPSS-2 VIIRS Pre-launch reflective solar band testing and performance. Remote Sens. 2022, 14, 6353. [Google Scholar] [CrossRef]
- Kim, E.D.; Murgai, V.; Menzel, R.W. Radiometric calibration of a 100 cm sphere integrating source for VIIRS solar diffuser stability monitor bands. In Proceedings of the Earth Observing Systems XVII, San Diego, CA, USA, 12–16 August 2012; Volume 8510, p. 851010. [Google Scholar]
- McIntire, J.; Moeller, C.; Oudrari, H.; Xiong, X. Atmospheric correction for JPSS-2 VIIRS response versus scan angle measurements. In Proceedings of the Earth Observing Systems XXII, San Diego, CA, USA, 6–10 August 2017; Volume 10402, p. 104021K. [Google Scholar]
- Schwarz, M.A.; Kent, C.J.; Bousquet, R.; Brown, S.W. Improved thermal-vacuum compatible flat plate radiometric source for system-level testing of remote optical sensors. In Proceedings of the Earth Observing Systems XXI, San Diego, CA, USA, 28 August–1 September 2016; Volume 9972, p. 997204. [Google Scholar]
Disclaimer/Publisher’s Note: The statements, opinions and data contained in all publications are solely those of the individual author(s) and contributor(s) and not of MDPI and/or the editor(s). MDPI and/or the editor(s) disclaim responsibility for any injury to people or property resulting from any ideas, methods, instructions or products referred to in the content. |
© 2024 by the authors. Licensee MDPI, Basel, Switzerland. This article is an open access article distributed under the terms and conditions of the Creative Commons Attribution (CC BY) license (https://creativecommons.org/licenses/by/4.0/).














