Abstract
Monitoring seaweed growth rates and biomass is crucial for optimizing harvest strategies in aquaculture systems. While such a task can be managed manually on a small farm with a few seaweed tanks, it is not feasible on a commercial farm with 1000s of tanks. To this end, an Internet of Things (IoT) based seaweed growth monitoring system is being developed at Harbor Branch Oceanographic Institute (HBOI) at Florida Atlantic University (FAU). Using the Integrated Multi-Trophic Aquaculture (IMTA) system at HBOI as the test site, the project aims to develop a solution that allows farm managers to monitor seaweed growth remotely using automated sensors. An important component of this IoT solution is the machine learning-based prediction model. This study introduces an advanced Long Short-Term Memory (LSTM)-based approach for forecasting seaweed growth and biomass. In particular, an algae growth mathematical model driven by readily available environmental and aquaculture conditions has been integrated as a physical constraint in the LSTM model. This design addresses a principal challenge in this study—the lack of continuous ground truth measurements, as the biomass is recorded only at discrete intervals (e.g., initial, weekly partial harvests, and final harvest). The LSTM models are trained and evaluated for their predictive performance using experimental and synthetic data. Compared with the LSTM models with MSE loss function alone, the results showed that the model with a loss function under physics constraint achieved a significantly lower error in predicting seaweed growth. The rationale behind choosing LSTM over other state-of-the-art models is presented in the paper. This study highlights the potential of integrating machine learning with physical models to optimize seaweed cultivation and support sustainable aquaculture practices. The proposed methodology can seamlessly extend to the remote sensing data in other aquaculture settings.
Keywords:
Integrated Multi-Trophic Aquaculture (IMTA); seaweed growth prediction; Long Short-Term Memory (LSTM); loss function with physics constraint; deep learning; synthetic data generation; sensor data augmentation; Internet of Things; biomass estimation; environmental monitoring; robotic system 1. Introduction
The three common types of aquaculture systems are pond-based, open-water, and recirculating aquaculture systems (RAS). RAS farms employ a controlled environment where water is recirculated after mechanical and biological filtration to remove suspended matter and other wastes. One desirable feature of RAS is that the farm is insulated from external environmental factors. Therefore, it can operate with fewer geographical constraints than ponds or offshore farms. Since 2012, the Harbor Branch Oceanographic Institute at Florida Atlantic University (HBOI) has been at the forefront of developing land-based marine Integrated Multi-Trophic Aquaculture (IMTA) systems []. IMTA facilitates a symbiotic co-culture of various species, where the waste products of one serve as resources for another, enhancing system efficiency and sustainability. Compared with traditional RAS solutions, IMTA provides superior energy efficiency and water utilization, as it leverages the natural biological interactions among species to recycle nutrients and reduce waste. The HBOI IMTA system includes species such as fish, shrimp, urchins, oysters, and macroalgae, also known as seaweed. Figure 1 provides an overview of the IMTA system, illustrating its framework and layout.

Figure 1.
Overview of the IMTA IoT framework and layout at the HBOI Aquaculture Research Facility, highlighting advancements in biomass sensor integration for enhanced aquaculture analytics. Reprinted from []. Traditional biomass estimation methods, such as nonlinear regression models, have shown promise yet often produce high error margins due to the limited availability of comprehensive datasets []. This constraint signals the need for advanced modeling approaches to extract meaningful patterns from sparse data to enhance predictive reliability.
Seaweed, particularly the fast-growing Ulva lactuca (sea lettuce), is a crucial component in many IMTA systems due to its rapid growth and efficient nutrient absorption. Regularly monitoring seaweed biomass is essential to maintain optimal nutrient levels within the tanks. With its short growth cycle, seaweed provides an ideal candidate for testing biomass monitoring protocols within the IMTA system. Currently, technicians perform labor-intensive physical inspections of seaweed biomass—a process that, while manageable within HBOI’s research-scale system of eight cultivation tanks, becomes cost-prohibitive on a commercial scale involving hundreds or thousands of tanks. An Internet of Things (IoT) framework is being developed within the HBOI IMTA system to address this challenge. The foundational technology for this system leverages the success of the Hybrid Aerial Underwater Robotic System (HAUCS) project []. The HAUCS ecosystem consists of a cloud-based decision support system that integrates measurements from drone-based mobile sensing robotic systems and environmental parameters such as weather data, enabling predictive analysis to preemptively address potential water quality issues across the farm.
Another advancement in the HBOI IMTA system is the Pseudorandom Encoded Light for Evaluating Biomass (PEEB) sensor. The PEEB sensor measures the reflectance of the seaweed from a laser source to derive the seaweed biomass concentration. This remote sensing technique presents a cost-effective, non-intrusive solution for real-time biomass assessment []. The study’s principal challenge is the lack of continuous ground truth measurements, as biomass is recorded only at discrete intervals (e.g., initial, weekly partial harvests, and final harvests). Consequently, this limitation of ground truth data necessitates sophisticated modeling to forecast growth trajectories accurately.
Sequential models, notably Long Short-Term Memory (LSTM) networks, excel in time-series forecasting by capturing temporal dependencies, rendering them highly applicable for aquaculture settings where continuous ground truth data are sparse. LSTM’s capacity to extract short- and long-term patterns from time-dependent data positions it as a promising solution for seaweed growth prediction under challenging data conditions.
This research aims to advance predictive methodologies for seaweed biomass in IMTA systems by integrating natural and synthetic data within an LSTM-based framework tailored to overcome data limitations. The contributions of this study are twofold:
- Synthetic Data Generation: To mitigate data scarcity, synthetic sensor data is generated based on actual weather and water quality measurements, with added noise to simulate real-world sensor variability, resulting in a robust training dataset.
- Sequential Model Prediction with LSTM with Physics Constraint Loss Function: An LSTM model, trained on experimental and synthetic data, integrates a Physics-Constrained Loss Function, combining conventional Mean Squared Error (MSE) with physical principles to enhance predictive accuracy and model robustness.
The paper is organized as follows: In Section 2, we provide background information about the project and review some related works. Section 3 discusses the proposed physics constraint neural network-based seaweed growth prediction framework. We present our results in Section 4 and Section 5 and conclusions in Section 6.
2. Background and Related Works
This section provides a background overview and technology review. It discusses the sensor technologies developed at HBOI for automated seaweed biomass monitoring, the physical model of seaweed growth, and the candidate machine learning and hybrid models assessed for biomass prediction in IMTA systems.
2.1. Advanced Sensor Technology in Aquaculture
At HBOI, the Pseudorandom Encoded Light for Evaluating Biomass (PEEB) sensor has been developed to automate biomass monitoring, demonstrating the viability of cost-effective, compact, and energy-efficient sensor solutions for large-scale IMTA systems [,,]. The illustration of the PEEB sensor shows in Figure 2.

Figure 2.
Illustration of the PEEB Sensor. (a) The sensor design is based on the principle of underwater LiDAR, which relates optical reflectance to seaweed density; (b) The electro-optical configuration of the sensor head is shown; (c) The overall sensor package comprises modules for the payload/sensor head, topside (which provides power and data relay), and magnet mount. Reprinted from [].
The PEEB sensor quantifies seaweed biomass concentration by measuring optical reflectance. Higher concentrations of seaweed correspond to increased reflectance. This sensor employs a laser source to illuminate the seaweed and a photodiode to measure the reflected light, operating on a principle similar to underwater LiDAR []. However, it effectively measures the intensity of a single pixel. An infrared (IR) laser source at 808 nm is utilized to minimize interference from ambient sunlight, as IR light attenuates quickly in water. To further reduce ambient light interference, the sensors are positioned one meter below the waterline orthogonal to the face of the tank. Additionally, the laser is modulated using a Golay code-based pulse compression scheme []. This technique, commonly used in radar systems, enhances the signal-to-noise ratio. The sensor readings are calculated as follows:
These measures ensure accurate sensor readings when using the IR light source, even in strong ambient light.
For this study, the tanks measure 5.5 m in length, 1.5 m in width, and 1 m in height, yielding a volume of 8.25 cubic meters, with an initial biomass of 22.11 kg per cycle. Data is collected every 11 min and transmitted to a Firebase database via a LoRa wireless link [], ensuring a continuous, high-integrity dataset for analysis. Figure 3 illustrates the sensor setup and installation within the tank.

Figure 3.
Configuration and installation of the sensor within the seaweed cultivation tank, showing the tank layout and sensor positioning in the cultivation environment. Reprinted from [].
Restocking and harvest events are documented systematically to maintain consistent baseline data. Weekly harvests, conducted every Thursday, provide regular insights into biomass progression, while comprehensive harvests every three months enable a thorough evaluation of seaweed growth.
2.2. Seaweed Growth Physical Model
At the core of the proposed prediction scheme is a physical model capable of relying on readily available environmental and biological factors to estimate seaweed biomass growth. To this end, we will briefly discuss the seaweed growth model proposed by Jayaraman and Rhinehart [], which is adopted in this study.
2.2.1. Incident Light and Photosynthesis
Accurately simulating seaweed biomass growth necessitates accounting for incident light intensity, particularly photosynthetically active radiation (PAR), as it drives photosynthesis. The attenuation of PAR within the water column is described by the Beer-Lambert law:
where represents the maximum incident light intensity (W/m2) and is the extinction coefficient.
2.2.2. Photosynthetic Rate Calculation
The photosynthetic rate is further described by:
where is the maximum photosynthetic rate, and is a fitting parameter.
2.2.3. Temperature Effect
Temperature affects growth, modeled by a Gaussian function centered around the optimal temperature :
where is the water temperature (K) and is the standard deviation.
2.2.4. Nutrient Concentration
Nutrient availability, particularly nitrogen, is a critical factor in seaweed growth. The Monod equation is applied to model nutrient-limited growth:
where is the nutrient concentration, and is the half-saturation constant.
2.2.5. Von Bertalanffy Growth Function
The von Bertalanffy Growth Function (VBGF) [] is utilized to model the growth dynamics of seaweed biomass, capturing the decelerating growth as biomass approaches saturation:
where is the current biomass concentration (g/L), is the asymptotic biomass concentration, and is the growth rate constant. This function accounts for decelerating growth as biomass approaches saturation.
These interconnected components establish a comprehensive model for simulating seaweed growth across varying environmental conditions, integrating light, temperature, and nutrient dependencies to achieve accurate biomass predictions.
2.3. Sequential Model Networks Overview
Sequential model networks are foundational in applications where the sequential order of inputs is essential, such as time series forecasting and natural language processing (NLP). These models are particularly effective in predicting sequences with variable lengths and content, allowing for dynamic input processing that is critical in real-world applications.
The development of sequential model networks began with Recurrent Neural Networks (RNNs), which are designed to capture temporal dependencies within data. However, RNNs are inherently limited by the vanishing gradient problem, which restricts their ability to learn long-term dependencies effectively []. To address these shortcomings, Long Short-Term Memory (LSTM) networks were introduced, featuring forget gates that enable the network to selectively retain or discard information, thereby facilitating learning over longer sequences [].
LSTM networks have since been refined and adapted into specialized architectures for various tasks, demonstrating substantial success in sequential data prediction across fields []. Despite these improvements, LSTM networks can remain computationally intensive and present challenges in training, especially when applied to very long sequences [,,,,].
2.4. Sequential Model Networks in Aquaculture
Traditionally, statistical methods such as Autoregressive Integrated Moving Average (ARIMA) have been employed to forecast environmental parameters like water temperature, dissolved oxygen, and nutrient levels. While effective for linear relationships and small datasets, these methods struggle with nonlinear, highly variable data common in aquaculture settings [,].
Advancements in deep learning, notably Recurrent Neural Networks (RNNs) and Long Short-Term Memory (LSTM) networks have introduced higher accuracy and flexibility in aquaculture applications. LSTM networks are particularly suited for capturing short-term fluctuations and long-term trends in environmental variables directly affecting organism growth and health, such as water quality and temperature []. They have been utilized to predict complex biological outcomes like fish biomass and feed consumption by learning from sequential environmental data and adapting to the high variability inherent in aquaculture environments.
Hybrid approaches that integrate sequential model networks, such as Convolutional Neural Networks (CNN) combined with Long Short-Term Memory (LSTM) and Gated Recurrent Unit (GRU) models, have demonstrated improved prediction accuracy for aquatic system monitoring []. For instance, using CNN to capture water quality characteristics and GRU and LSTM to model long-term dependencies in water flow and nutrient absorption outperforms traditional methods in predicting key aquaculture metrics.
Techniques like DeepAR, Temporal Convolutional Networks (TCNs) and Temporal Fusion Transformers (TFTs) have the potential to improve predictive accuracy by selectively weighting relevant inputs and learning from multiple time series simultaneously [,,].
DeepAR [] offers a probabilistic forecasting method based on autoregressive recurrent neural networks. DeepAR generates distributions over future outcomes by learning across multiple time series, providing a robust approach in highly dynamic environments like aquaculture.
Temporal Convolutional Networks (TCNs) [] utilize dilated causal convolutions, enabling the capture of long-range dependencies more efficiently than RNNs. This architecture supports faster training and improved accuracy in scenarios that demand long-term context, such as extended seaweed growth predictions.
Introducing attention mechanisms in networks like Temporal Fusion Transformers (TFTs) [] allows selective focus on relevant parts of input sequences. This technique is particularly valuable when dealing with multivariate inputs (e.g., solar radiation, air temperature), where not all factors hold equal relevance throughout the forecast.
Recent research [,,,,] has demonstrated that combining sequential networks with attention mechanisms yields state-of-the-art results. These models may effectively address the noise, incompleteness, and complex dependencies prevalent in real-world aquaculture data, offering reliable predictions for applications like seaweed biomass forecasting in IMTA systems.
Despite these advancements, challenges remain, particularly regarding data scarcity. Ground truth data for variables like seaweed biomass are often available only at key intervals, making it difficult for models to capture intermediate growth dynamics accurately.
Unfortunately, one key constraint of the techniques mentioned above is that they all are “data hungry”—requiring a large amount of training data, which makes it challenging to employ them in our current study.
Techniques such as data augmentation and synthetic data generation have been explored to address this gap []; however, reliance on synthetic data introduces uncertainty, especially under unpredictable environmental conditions or variable biological responses.
2.5. Physics Constraint in Neural Network
Combining empirical data with theoretical constraints, hybrid loss functions have emerged as powerful tools in neural networks, especially in domains where data-driven learning and adherence to physical laws are essential. These functions enable networks to integrate real-world data while respecting domain-specific principles, enhancing robustness and generalization in scenarios with noisy, sparse, or incomplete datasets. In environmental monitoring and agriculture, hybrid loss functions have proven effective in ensuring network predictions align with known physical behaviors across diverse conditions [,].
One important consideration of adopting a physics constraint neural network (PCNN) is to reduce the amount of labeled data required to train the network. Bai et al. extensively reviewed different applications that adopted PCNN motivated by this consideration []. As alluded to above, this study faces a similar obstacle.
Another advantage of hybrid loss functions is their capacity to mitigate overfitting common in networks trained solely on limited or noisy datasets. By incorporating physical laws as a secondary loss component, networks can generalize more effectively, maintaining predictive reliability even when data quality or quantity is inconsistent. For instance, Lutter et al. [] demonstrated the benefits of physics constraints in reinforcement learning, where integrating control theory principles maintained system stability while optimizing performance.
In this study, a hybrid loss function is applied to ensure the LSTM model leverages both sensor data and ideal seaweed growth patterns governed by physical laws:
where is a weighting factor that balances the influence of empirical measurements and theoretical growth dynamics. Here, denotes actual biomass measurements, represents theoretical biomass derived from growth models and is the model’s prediction. Setting too high overemphasizes real-world data, which may introduce noise; conversely, a low prioritizes theoretical consistency, potentially neglecting external environmental factors. The optimal balances both aspects, allowing the network to “fill in gaps” when sensor data is sparse by leveraging theoretical growth trends.
Hybrid loss functions have been effectively applied in agriculture and environmental monitoring, where sensor data often faces interruptions and noise. For instance, Faruk et al. [] demonstrated the utility of hybrid models for water quality prediction, combining neural networks with autoregressive techniques. Bai et al. [] and Ojo et al. [] also used hybrid deep learning models in agriculture, blending physical laws with empirical data to improve predictive accuracy. Additionally, Jawad et al. [] reviewed wireless sensor networks and hybrid modeling in precision agriculture, underscoring the value of integrating theoretical knowledge to enhance model reliability.
By incorporating physical constraints and real-world data, hybrid loss functions strengthen predictive accuracy and robustness, making them indispensable in fields where direct measurement is limited, but theoretical models provide critical insights.
3. Materials
This section provides a comprehensive overview of the data acquisition and preparation processes essential for simulating environmental conditions and predicting seaweed growth in aquaculture systems. The data sources include weather observations, experimental measurements, and nutrient and water quality monitoring, each of which plays a critical role in creating robust input datasets. Additionally, synthetic datasets were generated to supplement limited experimental data, ensuring consistency and reproducibility across all modeling efforts.
The data collection process in this research is divided into two main cases: collecting sensor data from operational seaweed tanks for testing purposes and collecting data to generate synthetic data for training. The details of the data collection process are as follows:
3.1. Weather Data Collection
Weather data is collected from the HBOI AQUA 1 sensor that is part of the SenseStream network []. The data includes air temperature, photosynthetically active radiation (PAR), humidity, precipitation intensity (mm/h), and total precipitation (millimeters). The sensor collects samples at a five-minute interval.
3.2. Collecting Experimental Data for Testing
The collection of experimental data for testing is based on the data collection methods described in previous research [], with the following details:
- Data Collected from Sensors: Seaweed reflectance data was systematically collected from May 2023 to January 2024, covering three complete cultivation cycles. Infrared (IR) sensors capture readings every 11 min, providing a comprehensive dataset essential for precise predictive modeling of seaweed growth. The data collection process included detailed documentation of restocking and harvesting, with initial seaweed weights serving as benchmarks and weekly harvest weights offering insights into growth progression. A Golay smoothing technique was applied to the sensor data to minimize noise and correct potential errors, enhancing the accuracy of the collected data.
- Restocking and Harvesting Schedules: Restocking events were documented to ensure baseline data reliability, while weekly and quarterly harvests provided consistent insights into seaweed growth and overall productivity. This structured data acquisition was crucial for evaluating cultivation methods and biomass viability.
The experimental data include timestamped sensor data, restocking and harvesting information measured in kilograms. The sensor data and harvesting weights were combined with weather data. However, since the timestamps of the weather and sensor data do not align, the sensor timestamps were used as the primary reference, with the closest weather data timestamps being matched accordingly.
Five of the eleven collected datasets were incomplete due to missing early-stage data, leaving six usable datasets. Since this is insufficient for training deep learning models, synthetic data was generated to supplement the experimental data.
3.3. Nutrient and Water Temperature Data Collection for Data Generation
Water quality and nutrients can significantly influence the prediction of seaweed growth. However, daily water quality measurements are often not feasible, limiting their direct use in training models. Nevertheless, this data is valuable for generating synthetic data for training purposes.
Nutrient and water temperature data were recorded daily, including total ammonia nitrogen (TAN), nitrite, nitrate, pH, and water temperature. These data were collected through continuous monitoring by the IMTA project’s biology team from 16 July 2012 to 7 June 2024, providing a robust and extensive dataset that captures variations in water quality over time. Missing data due to manual measurements were processed using the Kalman filter [], a recursive algorithm that estimates system states from noisy and incomplete measurements.
The Kalman filter operates in two steps: prediction and update. The prediction step estimates the current state of the system based on previous data, while the update step refines the estimate using new observations. This allowed for accurate interpolation of missing nutrient and temperature data, which was then combined with weather data to generate synthetic datasets for training. (For a detailed explanation of the Kalman filter, including the prediction and update equations, refer to []).
4. Methods
This section presents network architecture and training methodologies. Physically modeled and synthetic datasets were used to simulate environmental conditions affecting seaweed growth, with the LSTM model selected for its effectiveness in capturing sequential dependencies. Hybrid loss functions integrated empirical data with theoretical growth models to enhance robustness, and rigorous preprocessing and evaluation ensured predictive accuracy. The following subsections detail each component.
4.1. Physics Constraint Neural Network
The structure of the proposed Physics Constraint Neural Network (PCNN) is illustrated in Figure 4. This design addresses a significant challenge in the project: the limited availability of ground truth measurements, such as the physical weight of seaweed biomass. Conversely, environmental and weather data are readily accessible and can serve as inputs to the seaweed biomass growth model. However, these physics-based models may not fully capture the seaweed growth dynamics detected by sensor data. Therefore, the proposed implementation aims to integrate the seaweed growth physical model into a data-driven machine-learning prediction network. In this approach, the physical model will augment the training data and act as an additional constraint term in the loss function.

Figure 4.
Illustration of the PCNN configuration. The seaweed growth model, representing the physical model, is integrated into the LSTM network to augment the training data and provide an additional constraint.
4.2. Seaweed Growth Synthetic Dataset
The synthetic data generated for seaweed growth is based on the measurements of nutrients, solar irradiance, and water temperature—factors directly influencing the biological processes of seaweed growth. We also incorporated environmental factors such as solar radiation, rainfall, and air temperature to train the predictive network alongside sensor values. While these environmental variables do not directly measure seaweed growth, they are more suitable for real-time prediction due to their continuous availability through the weather station.
The data generation process follows the modeling techniques described in Section 2.2, with adjustments made to align with available data. To simulate realistic seaweed growth rates, the model was designed with the following key parameters:
- Fixed Parameters (Manually Set)
- 1.
- Tank Dimensions: Seaweed cultivation takes place in tanks with dimensions of 1.5 m in width, 5.5 m in length, and 1 m in depth, totaling a volume of 8.25 m3.
- 2.
- Initial Biomass: Starting biomass is set at 22.11 kg, which equates to an initial concentration of 2.68 g/L. Our biology research team calculated this value as optimal for promoting growth under the controlled nutrient and environmental conditions specific to this cultivation system. Adjusting this parameter would impact growth dynamics, as it serves as a baseline that interacts with the system’s nutrient availability and tank capacity.
- 3.
- Optimal Environmental Conditions: The target growth temperature is maintained at 24.86 °C, with a pH of 8.1, and maximum solar radiation levels, as recorded, reach 1430 W/m2.
- 4.
- Asymptotic Biomass Concentration: The maximum sustainable biomass in the tank reaches 90 kg, corresponding to a saturation concentration of 10.91 g/L.
- Variable Parameters (Randomized for Simulation)
- 5.
- Cultivation Period: Cultivation spans 8 weeks, with weekly harvests except in the final week. Harvest weights are randomized to reflect practical scenarios, following a normal distribution with a mean of 18.5 kg and constrained between 12 kg and 25 kg. In approximately 5% of cases, no harvest occurs, simulating operational variability.
These parameters were used to compute the seaweed growth rate, incorporating real-time solar irradiance data from the weather station. Figure 5 illustrates the simulated seaweed growth rate over eight weeks.

Figure 5.
Simulated seaweed growth rate over an eight-week cultivation period, incorporating tank dimensions, initial biomass, and environmental conditions. The model includes weekly harvests with variable weights and integrates real-time solar irradiance data from weather sensors. The growth rate reflects biomass changes under both optimal and varying environmental factors, simulating the conditions in the IMTA system.
Once the growth rate data was generated, it was converted into sensor readings. The IR sensors that measure biomass are sensitive to seaweed density, where higher density results in higher sensor readings. Gaussian noise was added to the simulated growth rate to reflect realistic sensor behavior, accounting for the inherent variability in IR sensors. Specifically, the noise distribution was based on a normal distribution with a standard deviation (). During periods with solar radiation, the added noise was increased to 2SD to account for higher variability due to sunlight interference, whereas, in the absence of solar radiation, the noise was set to . This approach mimics the fluctuating accuracy of IR sensors under varying light conditions.
The growth rate was then converted into sensor values using the equation:
where is the average sensor calibration factor and is the minimum sensor reading. Figure 6 shows the results after converting the seaweed growth rate into sensor data.

Figure 6.
Generated sensor data reflecting seaweed growth rates with added noise for realism. The sensor readings, derived from simulated growth rates, account for IR sensor sensitivity to seaweed density. The conversion equation integrates the average calibration factor and minimum sensor reading, ensuring the generated data mimics the sensor output in the IMTA system.
4.3. Network Architecture
The network employed in this study is based on the LSTM architecture. The LSTM network is particularly well-suited for sequential data and time series prediction due to its ability to capture long-term dependencies. The input to the network consists of eight features: timestamp, sensor, air temperature, solar radiation, humidity, precipitation intensity, total precipitation, and harvest weight. These features are derived from sensor measurements and environmental data, making them critical for predicting seaweed mass in the tank at any given time.
The LSTM network comprises five layers, each with a hidden size of 64. The network processes the eight input features through the LSTM layers, ultimately producing a single output: the predicted seaweed mass in the tank at the current time step.
Figure 7 provides a schematic representation of the LSTM model architecture, showcasing the stacked layers and the internal flow of information within the network.

Figure 7.
Schematic representation of the LSTM model architecture used for predicting seaweed mass in the tank, with 5 hidden layers and various input features like solar radiation, air temperature, and sensor values.
4.4. Injecting Physical Constraint in the Loss Function
We employed a hybrid loss function for the training process to enhance the network’s predictive accuracy. Initially, the model was trained using only the Mean Squared Error (MSE) loss function (), which is commonly used for regression tasks.
To address this limitation, we introduced a loss function with physical constraint (), based on ideal growth rates derived from the physical laws governing seaweed growth. This ideal growth rate was computed at each time step and combined with the MSE loss function to create the hybrid loss function. The hybrid loss helps the network better align with the biological dynamics of seaweed growth throughout the cultivation cycle.
Various values of were tested (0.5, 0.7, 0.8, 0.9, 0.95) to balance the MSE loss with the physical loss, where represents the weight of the MSE loss. This allowed us to experiment with different levels of influence between the actual sensor data and the physical growth model. The training aimed to optimize to achieve the best balance between these two components to predict seaweed growth dynamics accurately.
As a result, the network provides accurate predictions of final seaweed biomass and understands growth dynamics, allowing for proactive interventions, such as harvesting recommendations. This hybrid loss approach is particularly valuable for monitoring seaweed growth continuously over time, ensuring optimized aquaculture management.
Figure 8 shows the hybrid loss function used in the LSTM model, integrating both physical loss and Mean Squared Error (MSE) loss for optimal prediction accuracy in seaweed growth estimation. The physical loss is calculated as:
where represents the ideal weight of seaweed at each time step, calculated from the theoretical growth model, is the predicted weight of seaweed at each time step from the LSTM model, and is the total number of time steps in the sequence.

Figure 8.
The architecture of the LSTM model incorporates the hybrid loss function, which combines physical loss and MSE loss. : Ideal weight of seaweed at each time step, : Predicted weight at each time step, : Ground truth weight at the final time step and : Predicted weight at the final time step.
The Mean Squared Error loss is defined as:
where is the ground truth weight of seaweed at the final time step, measured from experimental data and is the predicted seaweed weight at the final time step from the LSTM model. These two losses are combined into the hybrid loss function:
where is the weighting factor between the MSE loss and the physical loss.
5. Results
This section presents the outcomes of training and testing the LSTM model for seaweed growth prediction. The results include the network’s performance in loss reduction during training, the accuracy of predictions on the validation set, and the comparison between networks trained with and without the hybrid loss function. Additionally, we include the results from having ground truth data available through synthetic data and compare the network’s behavior as the availability of ground truth data decreases. This comparison highlights how the two approaches—hybrid loss and traditional loss—perform under different levels of data availability. Furthermore, we present results from other techniques for comparison to demonstrate the robustness of the LSTM model.
5.1. Network Training Performance
In total, 120,000 simulated data points were used for network training. The dataset was randomly split, with 90% (108,000 data points) allocated to the training set and 10% (12,000 data points) reserved for validation. A fixed random seed was applied during this split to ensure consistency, allowing the same data to be used for training and validation across different training runs. This approach helps maintain reproducibility and stability when evaluating model performance.
5.1.1. Training Loss over Time
The network trained using only the MSE loss function initially showed a steady reduction in loss during the first few epochs. However, the loss quickly plateaued, indicating that the network struggled to minimize errors beyond a certain point. This plateau suggests that the MSE-only network fails to fully capture the complexities of seaweed growth over time.
In contrast, when training with the hybrid loss function, which combines MSE loss with physical loss (representing ideal growth rates based on physical laws), the network’s loss continued to decrease consistently over a longer training duration. This extended training time is compensated by the hybrid network’s ability to generalize better, achieving a significantly lower final loss than the MSE-only network. Figure 9 illustrates this behavior, where Figure 9a shows the MSE-only loss reaching a plateau, and Figure 9b demonstrates the continuous improvement of the hybrid network as it incorporates both real and ideal growth patterns.

Figure 9.
Training loss over 150 epochs: (a) The network trained with only MSE loss plateaus around 15, showing limited further improvement; (b) The network trained with hybrid loss (80% MSE, 20% physical loss) exhibits continuous improvement, better capturing the temporal dynamics of seaweed growth.
5.1.2. Predicting Validation Accuracy
The network’s performance was further evaluated on the validation set, and the results indicate that the hybrid loss function significantly improves predictive accuracy. Two different loss functions were tested individually before combining them. Figure 10 compares the predictions of the LSTM model trained using only MSE loss Figure 10a with the network trained using a hypothetical history of data points at every time step Figure 10b. In the case of the MSE-only network Figure 10a, the predictions are less accurate, as the network does not account for the underlying physical growth processes and relies solely on the final harvest data, leading to less accurate predictions. In contrast, the network trained using a synthetic dataset Figure 10b demonstrates that, when sufficient data generated by the physical model is available, the LSTM model can effectively capture growth trends and improve predictive performance.

Figure 10.
Comparison of seaweed growth prediction results: (a) Network trained with only MSE loss, where the prediction fails to follow the growth trends throughout the cultivation period, relying solely on final data points; (b) Network trained on a synthetic dataset generated using the physical model []. This demonstrates the effectiveness of the LSTM model when there is sufficient data to train the network.
Additionally, we evaluated the network’s performance using a simulated dataset where the seaweed weight data was available at different intervals, specifically every one day and every three days, as shown in Figure 11. When seaweed weight data is available daily, the traditional data-driven LSTM approach (using only the MSE loss function) maintains high predictive accuracy, as it benefits from sufficient data points to learn from. However, as the frequency of available seaweed weight data decreases—such as every three days—the performance of the LSTM model trained solely with MSE begins to decline. The predictions become less aligned with the actual growth patterns due to the reduced number of ground truth data points. Despite this, the LSTM model continues demonstrating robust performance by leveraging sequential data from other environmental inputs, such as temperature, humidity, and solar radiation.

Figure 11.
Seaweed growth prediction with varying frequencies of seaweed weight data availability: (a) Predictions with daily data; (b) Predictions with data available every three days. As the data becomes less frequent, the predictive accuracy declines; however, the LSTM model still preserves a reasonable level of performance by utilizing sequential data from other environmental factors.
A hybrid loss function was introduced to address these issues, combining both MSE loss and physics constraint loss to balance real-world sensor data with theoretical growth networks. The hybrid approach allows the network to learn from empirical data while respecting physical growth patterns, providing more reliable predictions that generalize better across different growth scenarios. Figure 12 illustrates how the hybrid loss function enables the network to produce significantly more accurate predictions, closely aligning with actual seaweed growth rates over time. This combination prevents overfitting to either the sensor noise or the theoretical network alone, leading to more balanced predictions.

Figure 12.
Seaweed growth prediction using the hybrid loss function, which combines MSE loss and physics constraint loss. The hybrid network shows significantly more accurate predictions aligned with actual growth data, avoiding overfitting and underfitting by balancing real-world sensor data with theoretical growth networks.
It is important to note that certain sections in the ideal data points generated by the theoretical model showed unexpectedly low growth during validation. Upon further investigation, it was found that these anomalies were associated with specific environmental conditions, such as abnormally high humidity or unusually low solar radiation. These environmental factors caused the theoretical model to deviate from expected growth patterns, highlighting the importance of accounting for real-world variations when using purely physics-based constraints. The hybrid network’s ability to adapt to these anomalies while maintaining overall accuracy further underscores its robustness and applicability in real-world aquaculture systems.
5.2. Evaluating the Network Performance Using Experimental Data
After training the LSTM model using generated data, the network was evaluated on real-world data to assess its performance in predicting actual seaweed growth rates. The test set consists of six datasets collected from three different sensors, allowing for a comprehensive evaluation of the network’s predictive accuracy.
5.2.1. Training with Raw Data
Table 1 shows the error results for the test data without preprocessing (i.e., no moving average applied to the sensor values). Each LSTM model was trained using a hybrid loss function with different values of . The parameter in the hybrid loss function controls the balance between the sensor data (MSE loss) and the physical growth laws (physical loss). For example, LSTM () places more emphasis on the sensor data, while LSTM () gives equal importance to both the sensor data and the physical growth laws.

Table 1.
Error results on non-preprocessed sensor data.
The table demonstrates how sensor noise can significantly impact network performance, especially when the hybrid loss function is skewed towards emphasizing the sensor data (e.g., ). LSTM with () provides the best balance between sensor data and physical growth laws, resulting in the lowest prediction error. Interestingly, the network with () shows a higher error, indicating that reducing the weight of the sensor data too much can cause the network to rely excessively on physical laws, leading to less accurate predictions.
5.2.2. Training with Preprocessed Data (Moving Average)
Table 2 presents the error results after applying a 6-h moving average to the sensor data (preprocessed). The moving average helps smooth out fluctuations, allowing the network to make more accurate predictions by reducing the impact of sensor noise.

Table 2.
Error results on preprocessed sensor data (6-h moving average).
The preprocessed data, with the application of the 6-h moving average, significantly improves prediction accuracy, especially for the hybrid network with . This network best captures both real-world sensor data and physical growth patterns. For , the error is slightly higher, suggesting that while this weighting provides reasonable predictions, it still over-emphasizes physical laws.
Figure 13 visually compares seaweed growth predictions from sensor 5 using the same dataset. In Figure 13a, the prediction reflects the day-to-day fluctuations in seaweed growth but fails to closely track the actual sensor values, as shown in Figure 13c. These high variations confuse the network, preventing it from accurately correlating sensor readings with seaweed growth. In contrast, Figure 13b shows predictions that follow the sensor values more closely after applying a 6-h moving average, with the corresponding sensor values shown in Figure 13d. The moving average reduces the impact of extreme variations, allowing the network to interpret the sensor data more effectively and predict seaweed growth more accurately. Preprocessing techniques such as moving averages significantly enhance prediction performance by mitigating the effects of noisy sensor data.

Figure 13.
Seaweed growth prediction with sensor values (Sensor 5): (a) Seaweed growth prediction without applying a moving average; (b) Seaweed growth prediction with a 6-h moving average; (c) Raw sensor data; (d) Sensor data after a 6-h moving average.
5.3. Effect of Varying in Hybrid Loss Function
Experiments with different values of in the hybrid loss function (, 0.70, 0.80, 0.90, 0.95) reveal the importance of balancing the influence of sensor data and physical growth laws. When the network overfits the physical growth patterns, it results in lower accuracy when applied to real-world sensor data. The network relied too heavily on the theoretical physical constraints, ignoring sensor measurements that could reflect real-time variations and unexpected environmental conditions.
On the other hand, with the network overfits sensor noise, diminishing the physical loss’s contribution to guiding the predictions. This led to predictions that closely followed the noisy sensor data but deviated from the expected growth patterns based on the laws of seaweed growth.
For , the network showed moderate improvements compared to , slightly reducing the overfitting to sensor noise. However, the prediction accuracy was still suboptimal compared to , where the network achieved the best balance between relying on the experimental sensor measurements and adhering to the ideal growth dynamics provided by the physical laws.
Interestingly, the results for indicated that while the network still adhered well to physical growth laws, it began to place too little emphasis on sensor data, causing higher errors in scenarios where external environmental factors such as humidity and solar radiation significantly affected growth. The network was overly constrained by the idealized growth patterns, leading to less flexibility in adapting to the variations observed in real-world conditions.
The best performance was observed with . This value offered the most balanced trade-off between sensor data and physical growth patterns, providing better predictive performance for real-world seaweed growth. This balance allowed the network to generalize well to unseen data while maintaining the theoretical understanding of seaweed growth, making it the most reliable choice for aquaculture prediction.
5.4. Relationship Between Input Variables and Predicted Growth Rate
We examined the relationship between the input variables and the predicted seaweed growth rate. This analysis aims to illustrate how each environmental and sensor variable contributes to the prediction results while assessing the influence of preprocessing techniques, such as applying a six-hour moving average to the sensor values.
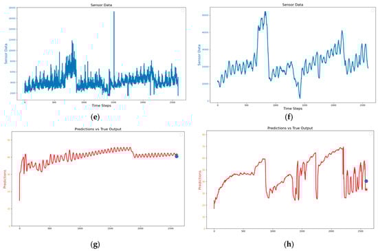
This model’s input variables consist of sensor data and environmental factors. These variables were collected in real-time and played a significant role in determining the seaweed growth rates predicted by the LSTM model. The seven key input variables are visualized in Figure 14a–f, which include:


Figure 14.
Input variables used for prediction: (a) Air temperature; (b) Humidity; (c) Precipitation intensity; (d) Solar radiation; (e) Sensor values without preprocessing; (f) Sensor values with a 6-h moving average. Predicted seaweed growth rate: (g) Prediction using raw sensor data (without preprocessing); and (h) Prediction using sensor data with a 6-h moving average.
- Air Temperature (Figure 14): Seaweed growth is influenced by temperature variations, which can affect the metabolic rates of seaweed.
- Humidity (Figure 14b): High humidity levels can impact evaporation rates and indirectly affect the water quality in the aquaculture tanks.
- Precipitation Intensity (Figure 14c): These variables are related to rainfall events, which can introduce changes in water quality and temperature, indirectly affecting growth.
- Solar radiation (Figure 14d): Solar radiation provides the energy required for photosynthesis, a critical factor for seaweed growth.
- Sensor Values: The raw sensor values (Figure 14e) capture high-frequency variations in seaweed growth, particularly in response to daily changes in environmental conditions, such as daylight and nighttime cycles. When a 6-h moving average is applied (Figure 14f), the fluctuations are smoothed out, reducing noise and improving the consistency of predictions.
The output predictions, shown in Figure 14g,h, compare the results from using raw sensor data (without preprocessing) and sensor data with a 6-h moving average:
- Without preprocessing (Figure 14g): The predicted growth rate follows the sensor values closely, but high-frequency noise can cause deviations. In some cases, sensor fluctuations do not fully align with the expected growth pattern, leading to less accurate predictions.
- With a 6-h moving average (Figure 14h), The network can generate more stable and accurate predictions that reflect the underlying growth rate by smoothing the sensor data. This is especially useful in filtering out the noise from daily fluctuations, enabling the network to focus on longer-term trends in seaweed growth.
The network’s predictions are primarily influenced by sensor values, which track high-frequency variations associated with seaweed growth. These variations are particularly evident during high and low solar irradiance periods, corresponding to the day-night cycle. However, predictions do not always strictly follow the sensor values. Upon further investigation, discrepancies often occur due to external weather conditions, such as heavy rainfall. These events can temporarily alter the growth conditions, leading to deviations in the predicted growth rate.
Moreover, our analysis revealed a consistent pattern of reduced predicted growth during increased rainfall. While the precipitation data impacts the model’s predictions, the degree to which the growth rate decreases is not fully interpretable due to the “black box” nature of the neural network. This challenge is typical of deep learning models, where it can be difficult to understand the exact contribution of each input variable to the final prediction. Nonetheless, precipitation consistently appears to lower predicted growth, although the precise magnitude of this reduction remains unclear.
5.5. Harvesting Decision Support
An interesting observation in Figure 14h is the noticeable decline in seaweed growth rates during specific periods, reducing the overall seaweed biomass. This could be attributed to several factors, such as the saturation of seaweed in the tank or a deterioration in water quality. Such drops in growth rates may indicate that the seaweed has reached a point of diminishing returns in terms of biomass growth or that environmental conditions in the tank are no longer optimal for sustained growth.
5.6. Comparison with Previous Algorithm
This study extends upon previous research utilizing Polynomial Regression and RANSAC to predict final seaweed mass. Polynomial regression relies solely on the current and prior data points to make predictions. However, if data is missing or there is a sudden error, the prediction accuracy is immediately compromised. Even with RANSAC and moving averages applied to reduce noise, these methods fail to handle such issues effectively.
In contrast, the LSTM model follows the timeline of the data, using sequential information and incorporating a forget gate mechanism. This allows the network to filter out irrelevant data and learn which parts of the data should or should not be used. The LSTM’s performance improves significantly when noise is reduced using a moving average, as it can focus on the actual growth patterns more effectively.
The comparison between these older methods and the proposed LSTM model with hybrid loss is shown in Table 3.

Table 3.
Comparison of Average Prediction Error.
The results demonstrate that the LSTM model with hybrid loss provides significantly better predictions than the traditional regression methods, even though it was not trained on experimental data.
6. Discussion
A primary consideration in this study is the selection of variables used for network training. While nutrient levels, solar irradiance, and water temperature directly influence seaweed growth, these variables are challenging to measure continuously in large-scale aquaculture systems. Therefore, we incorporated readily available environmental factors—solar radiation, rainfall, and air temperature—into the network. Although these are indirect indicators of seaweed growth, they provide a practical solution for real-time prediction, as they can be reliably measured by environmental sensors. This approach enables the network to utilize real-time data, ensuring that predictions are timely and applicable to practical aquaculture scenarios.
We explored alternative architectures in initial evaluations, including Transformer and GPT-2 models. However, the LSTM model demonstrated the most effective balance between performance and computational feasibility. Transformer models, for instance, showed minimal loss reduction, likely due to their limited capacity to interpret physical data in isolation. While GPT-2 effectively tracked growth rates in noise-free simulations, training this model presented significant computational demands. Specifically, attempts using an RTX2080 Ti with 12 GB of RAM resulted in frequent CUDA memory overflow errors, underscoring hardware limitations for extended GPT-2 training. Accordingly, LSTM emerged as the optimal choice, offering a feasible trade-off between predictive accuracy and computational efficiency.
A fundamental challenge in developing AI models for aquaculture is the limited availability of ground truth data. Our proposed hybrid approach, which combines physics-based constraints with machine learning, addresses this limitation by enhancing predictive accuracy even under data scarcity. The LSTM network performed robustly with generated data, showing superior results compared to regression techniques. However, relying solely on generated data can be risky when environmental conditions or seaweed species vary. Therefore, fine-tuning the pre-trained model on real-world data before practical application is advisable. Future work may explore further optimization through models like GPT under more advanced computational configurations [].
Mitigating noise in sensor data remains a key challenge. Sensor readings may exhibit large, unpredictable variations, occasionally marked by extreme spikes or prolonged stagnation. These anomalies, potentially caused by seaweed accumulation on the sensor viewport, compromise prediction accuracy by introducing spurious signals. This issue underscores the need to refine sensor designs to ensure consistent, reliable measurements of seaweed density.
As illustrated in Figure 15, sensor data often displays significant noise, marked by erratic fluctuations that hinder accurate predictions. Even with preprocessing methods, such as a six-hour moving average, the network’s predictions do not align closely with the sensor output due to the magnitude of noise interference. This emphasizes the importance of addressing sensor anomalies to enhance the reliability of seaweed growth forecasts.

Figure 15.
An example of sensor data with significant noise where large spikes and erratic readings impede accurate seaweed growth predictions, even with preprocessing.
Experiments with GPT-2 exhibited potential performance improvements (see Figure 16). However, the current analysis did not include the high computational demands and extensive setup required for GPT-based models. The results will be presented in future work.

Figure 16.
GPT-2 result after training with dummy data without noise.
An additional advantage of the LSTM model is its ability to evaluate seaweed growth across day and night cycles. By accounting for data over entire diurnal periods, including intervals of solar radiation, LSTM provides a more accurate representation of growth rates. In contrast, regression models often filter out high levels of daytime noise at the expense of excluding valuable information and underestimating growth rates. LSTM’s sequential learning framework thus offers a more refined perspective on seaweed growth dynamics than regression methods, which are limited in their capacity to manage temporal dependencies effectively.
Application to Support Seaweed Harvesting Decision
The ability of the proposed model to detect fluctuations in growth rates presents an opportunity for real-time decision support in aquaculture operations. Notably, as seen in Figure 14h, there are periods where the seaweed growth rate declines significantly, suggesting factors such as growth saturation or suboptimal water quality. These trends may indicate a growth plateau or less favorable environmental conditions.
An automated monitoring system, leveraging this network, could alert operators to optimal harvesting times or recommend environmental adjustments to maximize growth potential. Since the IMTA system is recirculating, with a water turnover every two hours, growth plateaus may not directly result from water quality. Still, they could arise from density-dependent limitations, such as reduced light penetration due to high seaweed density. Implementing such a decision support system would enhance efficiency and sustainability within IMTA systems.
7. Conclusions
This study presents a novel approach for predicting seaweed growth in Integrated Multi-Trophic Aquaculture (IMTA) systems by applying Long Short-Term Memory (LSTM) models augmented with physics-based constraints. Our model integrates experimental and synthetic datasets, incorporating key environmental variables such as air temperature, solar radiation, and nutrient levels to simulate realistic growth conditions. Crucially, these key parameters employed in the physical model are readily available. The proposed network employs a hybrid loss function that supplements the traditional Mean Squared Error (MSE) with physical laws governing seaweed growth to enhance the predictive accuracy.
The results indicate that the LSTM model trained with hybrid loss consistently outperformed networks trained solely with MSE and traditional regression techniques like RANSAC, particularly in managing noisy sensor data. The hybrid loss function enabled the model to better capture the underlying physical processes of seaweed growth, delivering accurate predictions across diverse environmental conditions. Furthermore, preprocessing methods, including the moving average, proved essential in reducing noise impact and bolstering prediction reliability.
Experiments evaluating different values of in the hybrid loss function underscored the importance of balancing empirical sensor data with theoretical growth laws. Optimal performance was achieved at , where the model effectively integrated both data sources to enhance predictive precision.
This research highlights the potential of integrating machine learning with domain-specific physical knowledge to optimize seaweed growth prediction in aquaculture systems. Most crucially, the technique addresses the most significant challenge in this study: the lack of ground truth data.
Beyond its predictive accuracy, the model’s capability to support real-time harvesting decisions underscores its practical value. Integrating advanced predictive networks with sensor technology presents a promising pathway toward more sustainable and efficient aquaculture practices, enabling real-time monitoring and biomass management.
It is worth noting that this methodology can be seamlessly adapted to provide reliable forecasting of critical parameters in aquaculture ponds, where the similar challenge of lacking ground truth data persists. This aligns with the objectives of the HAUCS and “Intelligent Resource Efficient Pond Aquaculture (IREPA)” projects [].
Nevertheless, despite these promising results, challenges remain. Future efforts will focus on refining sensor design, potentially by exploring alternate laser wavelengths. Additionally, we will examine advanced architectures, such as GPT-based networks, which may offer improved handling of sequential data in this context.
Author Contributions
Conceptualization, B.O.; methodology, A.K. and W.F.; software, A.K.; validation, P.S.W., D.H. and B.O.; formal analysis, A.K.; investigation, A.K.; resources, W.F., P.S.W., D.H. and B.O.; data curation, W.F.; writing—original draft preparation, A.K.; writing—review and editing, B.O.; visualization, A.K.; supervision, B.O.; project administration, B.O.; funding acquisition, B.O. All authors have read and agreed to the published version of the manuscript.
Funding
This research was funded in part by the USDA-NIFA Grants 2019-67022-29204 and 2024-67022-41580, as well as the Florida Specialty License Plate funds for Aquaculture, Protect Florida Whales, and Save Our Sea granted through the Harbor Branch Oceanographic Institute Foundation.
Data Availability Statement
The data supporting the reported results, including scripts and partially generated datasets, can be found at: https://github.com/Alisa-Kunapinun/BiomassLSTM (accessed on 27 August 2024). Additional data, including raw experimental datasets or specific subsets, may be shared upon reasonable request to the corresponding author.
Acknowledgments
The authors would like to express their deepest gratitude to Denis Hanisak for his invaluable contributions to this work. His dedication and expertise greatly advanced the research, and his passing is a profound loss to the scientific community. This paper is dedicated to his memory. The authors also extend their appreciation to the IMTA research team at Harbor Branch Oceanographic Institute for their support in collecting and providing essential data, including environmental and water quality metrics. Additionally, the authors thank the SenseStream network team for facilitating access to the HBOI AQUA 1 sensor data, which played a critical role in this study. Finally, we acknowledge the collaboration and guidance of all colleagues and researchers who contributed to the development of this project.
Conflicts of Interest
The authors declare no conflicts of interest. The funders had no role in the design of the study, in the collection, analyses, or interpretation of data, in the writing of the manuscript, or in the decision to publish the results.
Abbreviations
The following abbreviations are used in this manuscript:
DOAJ | Directory of open access journals |
TLA | Three letter acronym |
LD | Linear dichroism |
References
- Fairman, W.; Wills, P.S.; Hanisak, D.; Ouyang, B. Pseudorandom Encoded-Light for Evaluating Biomass (PEEB): A Robust COTS Macroalgal Biomass Sensor for the Integrated Multi-Trophic Aquaculture (IMTA) System. In Proceedings of the Big Data IV: Learning, Analytics, and Applications, SPIE Proceedings, Orlando, FL, USA, 3 April–13 June 2022; Volume 12097, pp. 165–173. [Google Scholar]
- Kunapinun, A.; Fairman, W.; Wills, P.S.; Hanisak, D.; Singh, S.; Ouyang, B. Quantifying Sea Lettuce Density in an Integrated Multi-Trophic Aquaculture (IMTA) System: Understanding the Complex Physical Process through Multi-Modality Data Modeling. In Proceedings of the Big Data VI: Learning, Analytics, and Applications, SPIE Proceedings, National Harbor, MD, USA, 21–26 April 2024. [Google Scholar]
- Ouyang, B.; Wills, P.S.; Tang, Y.; Hallstrom, J.O.; Su, T.-C.; Namuduri, K.; Mukherjee, S.; Rodriguez-Labra, J.I.; Li, Y.; Ouden, C.J.D. Initial Development of the Hybrid Aerial Underwater Robotic System (HAUCS): Internet of Things (IoT) for Aquaculture Farms. IEEE Internet Things J. 2021, 8, 14013–14027. [Google Scholar] [CrossRef]
- Fairman, W.; Wills, P.S.; Hanisak, D.; Karim, A.; Singh, S.; Ouyang, B. Deployment of the Pseudorandom Encoded-Light for Evaluating Biomass (PEEB) Sensor in an Integrated Multi-Trophic Aquaculture (IMTA) System. In Proceedings of the Big Data V: Learning, Analytics, and Applications, SPIE Proceedings, Orlando, FL, USA, 30 April–5 May 2023. [Google Scholar]
- Estrada, D.C.; Dalgleish, F.R.; Den Ouden, C.J.; Ramos, B.; Li, Y.; Ouyang, B. Underwater LiDAR Image Enhancement Using a GAN Based Machine Learning Technique. IEEE Sens. J. 2022, 22, 4438–4451. [Google Scholar] [CrossRef]
- Budisin, S. Efficient pulse compressor for Golay complementary sequences. Electron. Lett. 1991, 31, 219–220. [Google Scholar] [CrossRef]
- LoRa Alliance. What Is LoRaWAN? 2020. Available online: https://lora-alliance.org/wp-content/uploads/2020/11/what-is-lorawan.pdf (accessed on 1 November 2015).
- Jayaraman, S.K.; Rhinehart, R.R. Modeling and Optimization of Algae Growth. Ind. Eng. Chem. Res. 2015, 54, 8063–8071. [Google Scholar] [CrossRef]
- Ogle, D.H.; Isermann, D.A. Estimating Age at a Specified Length from the von Bertalanffy Growth Function. N. Am. J. Fish. Manag. 2017, 37, 1176–1180. [Google Scholar] [CrossRef]
- Bengio, Y.; Simard, P.; Frasconi, P. Learning Long-Term Dependencies with Gradient Descent is Difficult. IEEE Trans. Neural Netw. 1994, 5, 157–166. [Google Scholar] [CrossRef]
- Schmidhuber, J.; Hochreiter, S. Long Short-Term Memory. Neural Comput. 1997, 9, 1735–1780. [Google Scholar] [CrossRef]
- Kawakami, K. Supervised Sequence Labelling with Recurrent Neural Networks. Ph.D. Thesis. 2008. Available online: https://www.cs.toronto.edu/~graves/phd.pdf (accessed on 21 November 2024).
- Gers, F.A.; Schraudolph, N.N.; Schmidhuber, J. Learning Precise Timing with LSTM Recurrent Networks. J. Mach. Learn. Res. 2002, 3, 115–143. [Google Scholar]
- Graves, A.; Schmidhuber, J. Framewise Phoneme Classification with Bidirectional LSTM and Other Neural Network Architectures. Neural Netw. 2005, 18, 602–610. [Google Scholar] [CrossRef]
- Lipton, Z.C. A Critical Review of Recurrent Neural Networks for Sequence Learning. arXiv 2015, arXiv:1506.00019. [Google Scholar]
- Kalchbrenner, N.; Blunsom, P. Recurrent Continuous Translation Models. In Proceedings of the 2013 Conference on Empirical Methods in Natural Language Processing, Seattle, DC, USA, 18–21 October 2013; pp. 1700–1709. [Google Scholar]
- Graves, A.; Mohamed, A.-r.; Hinton, G. Speech Recognition with Deep Recurrent Neural Networks. In Proceedings of the 2013 IEEE International Conference on Acoustics, Speech and Signal Processing (ICASSP), Vancouver, BC, Canada, 26–31 May 2013; pp. 6645–6649. [Google Scholar] [CrossRef]
- Faruk, D.Ö. A Hybrid Neural Network and ARIMA Model for Water Quality Time Series Prediction. Eng. Appl. Artif. Intell. 2010, 23, 586–594. [Google Scholar] [CrossRef]
- Nazmi, H.; Siau, N.Z.; Bramantoro, A.; Suhaili, W.S. Predictive Modeling of Marine Fish Production in Brunei Darussalam’s Aquaculture Sector: A Comparative Analysis of Machine Learning and Statistical Techniques. Int. J. Adv. Appl. Sci. 2023, 10, 109–126. [Google Scholar] [CrossRef]
- Li, T.; Lu, J.; Wu, J.; Zhang, Z.; Chen, L. Predicting Aquaculture Water Quality Using Machine Learning Approaches. Water 2022, 14, 2836. [Google Scholar] [CrossRef]
- Haq, K.; Abdul, R.; Harigovindan, V.P. Water Quality Prediction for Smart Aquaculture Using Hybrid Deep Learning Models. IEEE Access 2022, 10, 60078–60098. [Google Scholar] [CrossRef]
- Salinas, D.; Flunkert, V.; Gasthaus, J.; Januschowski, T. DeepAR: Probabilistic Forecasting with Autoregressive Recurrent Networks. Int. J. Forecast. 2020, 36, 1181–1191. [Google Scholar] [CrossRef]
- Borovykh, A.; Bohte, S.; Oosterlee, C.W. Conditional Time Series Forecasting with Convolutional Neural Networks. arXiv 2017, arXiv:1703.04691. [Google Scholar]
- Lim, B.; Arık, S.Ö.; Loeff, N.; Pfister, T. Temporal Fusion Transformers for Interpretable Multi-Horizon Time Series Forecasting. Int. J. Forecast. 2021, 37, 1748–1764. [Google Scholar] [CrossRef]
- Rangapuram, S.S.; Seeger, M.W.; Gasthaus, J.; Stella, L.; Wang, Y.; Januschowski, T. Deep State Space Models for Time Series Forecasting. In Proceedings of the Advances in Neural Information Processing Systems, Montreal, QC, Canada, 3–8 December 2018; pp. 7785–7794. [Google Scholar]
- Hewamalage, H.; Bergmeir, C.; Bandara, K. Recurrent Neural Networks for Time Series Forecasting: Current Status and Future Directions. Int. J. Forecast. 2021, 37, 388–427. [Google Scholar] [CrossRef]
- Smyl, S. A Hybrid Method of Exponential Smoothing and Recurrent Neural Networks for Time Series Forecasting. Int. J. Forecast. 2020, 36, 75–85. [Google Scholar] [CrossRef]
- Shih, S.-Y.; Sun, F.-K.; Lee, H.-y. Temporal Pattern Attention for Multivariate Time Series Forecasting. Adv. Neural Inf. Process. Syst. 2019, 32, 10470–10481. [Google Scholar] [CrossRef]
- Yu, X.; Li, D.; Shen, Y. Forecasting Stock Index Using a Volume-Aware Positional Attention-Based Recurrent Neural Network. Int. J. Softw. Eng. Knowl. Eng. 2021, 31, 1783–1801. [Google Scholar] [CrossRef]
- Lee, J.; Jeon, W.; Sung, J.; Kwon, K.; Kim, Y.; Park, K.; Paik, J.; Cho, S. Design of an Aquaculture Decision Support Model for Improving Profitability of Land-Based Fish Farm Based on Statistical Data. KSII Trans. Internet Inf. Syst. 2024, 18, 2431–2449. [Google Scholar] [CrossRef]
- Raissi, M.; Perdikaris, P.; Karniadakis, G.E. Physics-Informed Neural Networks: A Deep Learning Framework for Solving Forward and Inverse Problems Involving Nonlinear Partial Differential Equations. J. Comput. Phys. 2019, 378, 686–707. [Google Scholar] [CrossRef]
- Lutter, M.; Ritter, C.; Peters, J. Deep Lagrangian Networks: Using Physics as Model Prior for Deep Learning. arXiv 2019, arXiv:1907.04490. [Google Scholar]
- Bai, J.; Alzubaidi, L.; Wang, Q.; Kuhl, E.; Bennamoun, M.; Gu, Y. Utilising Physics-guided Deep Learning to Overcome Data Scarcity. arXiv 2023, arXiv:2211.15664. [Google Scholar]
- Jin, X.-B.; Yang, N.-X.; Wang, X.-Y.; Bai, Y.-T.; Su, T.-L.; Kong, J.-L. Hybrid Deep Learning Predictor for Smart Agriculture Sensing Based on Empirical Mode Decomposition and Gated Recurrent Unit Group Model. Sensors 2020, 20, 1334. [Google Scholar] [CrossRef]
- Ojo, M.O.; Zahid, A. Deep Learning in Controlled Environment Agriculture: A Review of Recent Advancements, Challenges, and Prospects. Sensors 2022, 22, 7965. [Google Scholar] [CrossRef]
- Jawad, H.M.; Nordin, R.; Gharghan, S.K.; Jawad, A.M.; Ismail, M. Energy-Efficient Wireless Sensor Networks for Precision Agriculture: A Review. Sensors 2017, 17, 1781. [Google Scholar] [CrossRef]
- Levy, M.; Hallstrom, J.O. A New Approach to Data Center Infrastructure Monitoring and Management (DCIMM). In Proceedings of the 2017 IEEE 7th Annual Computing and Communication Workshop and Conference (CCWC), Las Vegas, NV, USA, 9–11 January 2017; pp. 1–6. [Google Scholar] [CrossRef]
- Kalman, R.E. A New Approach to Linear Filtering and Prediction Problems. J. Basic Eng. 1960, 82, 35–45. [Google Scholar] [CrossRef]
- Bishop, G.; Welch, G. An Introduction to the Kalman Filter; Technical Report TR 95-041; University of North Carolina at Chapel Hill: Chapel Hill, NC, USA, 1995. [Google Scholar]
- Radford, A.; Narasimhan, K.; Salimans, T.; Sutskever, I. Improving Language Understanding by Generative Pre-Training. OpenAI. 2018. Available online: https://cdn.openai.com/research-covers/language-unsupervised/language_understanding_paper.pdf (accessed on 21 November 2024).
- Ouyang, B.; Wills, P.S.; Yufei, T.; Su, T.-C.; Garvey, J. Intelligent Resource Efficient Pond Aquaculture (IREPA): Cyber-Physical Systems to Improve the Fish Farms Productivity in the US. In Proceedings of the NSF 2024 Cyber-Physical Systems (CPS) Principal Investigators’ Meeting, Nashville, TN, USA, 20–21 March 2024. [Google Scholar]
Disclaimer/Publisher’s Note: The statements, opinions and data contained in all publications are solely those of the individual author(s) and contributor(s) and not of MDPI and/or the editor(s). MDPI and/or the editor(s) disclaim responsibility for any injury to people or property resulting from any ideas, methods, instructions or products referred to in the content. |
© 2024 by the authors. Licensee MDPI, Basel, Switzerland. This article is an open access article distributed under the terms and conditions of the Creative Commons Attribution (CC BY) license (https://creativecommons.org/licenses/by/4.0/).