The Improved U-STFM: A Deep Learning-Based Nonlinear Spatial-Temporal Fusion Model for Land Surface Temperature Downscaling
Abstract
1. Introduction
- Develop a deep learning component (DyNet) for nonlinear unmixing of LST within the U-STFM framework.
- Improve the anti-noise capability of the weighting function by leveraging the data distribution captured by a deep learning component (RatioNet).
- Extend the original U-STFM model from surface reflectance downscaling to accommodate sensors with higher temporal variability, enabling the production of daily LST products at a 30 m scale.
2. Study Area and Datasets
2.1. Study Area
2.2. Dataset
3. Methodology
3.1. The Original U-STFM
3.2. Problems with the Original U-STFM
3.3. The Nonlinear U-STFM
3.3.1. The Nonlinear Unmixing Model (DyNet)
3.3.2. The Nonlinear Weighting Model (RatioNet)
3.3.3. Predicting Daily Higher Resolution LST with the Nonlinear U-STFM
3.4. Evaluation
4. Results
4.1. DyNet and RatioNet Training Processes
4.2. LST Prediction on a Cloud Day
4.3. The LST Prediction after Land Cover Change
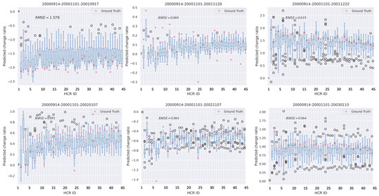
4.4. Model Generalization for Multiple Date Prediction
4.5. The Performance of the Model under Different HCR Levels
4.6. RatioNet Performance
4.7. Compare with the STARFM, ESTARFM, and the Original U-STFM
5. Discussion
5.1. Truncation Error between the Change Ratio at the HCR and the Pixel Levels
5.2. Baseline Length Effect
6. Conclusions
Author Contributions
Funding
Data Availability Statement
Acknowledgments
Conflicts of Interest
References
- Li, Z.-L.; Tang, B.-H.; Wu, H.; Ren, H.; Yan, G.; Wan, Z.; Trigo, I.F.; Sobrino, J.A. Satellite-derived land surface temperature: Current status and perspectives. Remote Sens. Environ. 2013, 131, 14–37. [Google Scholar] [CrossRef]
- Voogt, J.A.; Oke, T.R. Thermal remote sensing of urban climates. Remote Sens. Environ. 2003, 86, 370–384. [Google Scholar] [CrossRef]
- Zhou, D.; Xiao, J.; Bonafoni, S.; Berger, C.; Deilami, K.; Zhou, Y.; Frolking, S.; Yao, R.; Qiao, Z.; Sobrino, J. Satellite Remote Sensing of Surface Urban Heat Islands: Progress, Challenges, and Perspectives. Remote Sens. 2018, 11, 48. [Google Scholar] [CrossRef]
- Yue, L.; Shen, H.; Li, J.; Yuan, Q.; Zhang, H.; Zhang, L. Image super-resolution: The techniques, applications, and future. Signal Process. 2016, 128, 389–408. [Google Scholar] [CrossRef]
- Takeda, H.; Farsiu, S.; Milanfar, P. Kernel Regression for Image Processing and Reconstruction. IEEE Trans. Image Process. 2007, 16, 349–366. [Google Scholar] [CrossRef] [PubMed]
- Vivone, G.; Simoes, M.; Dalla Mura, M.; Restaino, R.; Bioucas-Dias, J.; Licciardi, G.; Chanussot, J. Pansharpening Based on Semiblind Deconvolution. IEEE Trans. Geosci. Remote Sens. 2015, 53, 1997–2010. [Google Scholar] [CrossRef]
- Huang, B.; Song, H. Spatiotemporal Reflectance Fusion via Sparse Representation. IEEE Trans. Geosci. Remote Sens. 2012, 50, 3707–3716. [Google Scholar] [CrossRef]
- Peng, Y.; Li, W.; Luo, X.; Du, J.; Zhang, X.; Gan, Y.; Gao, X. Spatiotemporal Reflectance Fusion via Tensor Sparse Representation. IEEE Trans. Geosci. Remote Sens. 2022, 60, 1–18. [Google Scholar] [CrossRef]
- Song, H.; Huang, B. Spatiotemporal satellite image fusion through one-pair image learning. IEEE Trans. Geosci. Remote Sens. 2013, 51, 1883–1896. [Google Scholar] [CrossRef]
- Zhang, H.; Huang, B. Support Vector Regression-Based Downscaling for Intercalibration of Multiresolution Satellite Images. IEEE Trans. Geosci. Remote Sens. 2013, 51, 1114–1123. [Google Scholar] [CrossRef]
- Dong, C.; Loy, C.C.; He, K.; Tang, X. Learning a Deep Convolutional Network for Image Super-Resolution. In Computer Vision—ECCV 2014; Fleet, D., Pajdla, T., Schiele, B., Tuytelaars, T., Eds.; Springer International Publishing: Cham, Switzerland, 2014; pp. 184–199. [Google Scholar]
- Ledig, C.; Theis, L.; Huszár, F.; Caballero, J.; Cunningham, A.; Acosta, A.; Aitken, A.; Tejani, A.; Totz, J.; Wang, Z.; et al. Photo-Realistic Single Image Super-Resolution Using a Generative Adversarial Network. In Proceedings of the 2017 IEEE Conference on Computer Vision and Pattern Recognition (CVPR), Honolulu, HI, USA, 21–26 July 2017; pp. 105–114. [Google Scholar] [CrossRef]
- Song, H.; Liu, Q.; Wang, G.; Hang, R.; Huang, B. Spatiotemporal Satellite Image Fusion Using Deep Convolutional Neural Networks. IEEE J. Sel. Top. Appl. Earth Obs. Remote Sens. 2018, 11, 821–829. [Google Scholar] [CrossRef]
- Tan, Z.; Yue, P.; Di, L.; Tang, J. Deriving High Spatiotemporal Remote Sensing Images Using Deep Convolutional Network. Remote Sens. 2018, 10, 1066. [Google Scholar] [CrossRef]
- Liu, X.; Deng, C.; Chanussot, J.; Hong, D.; Zhao, B. StfNet: A Two-Stream Convolutional Neural Network for Spatiotemporal Image Fusion. IEEE Trans. Geosci. Remote Sens. 2019, 57, 6552–6564. [Google Scholar] [CrossRef]
- Tan, Z.; Di, L.; Zhang, M.; Guo, L.; Gao, M. An Enhanced Deep Convolutional Model for Spatiotemporal Image Fusion. Remote Sens. 2019, 11, 2898. [Google Scholar] [CrossRef]
- Hu, J.-F.; Huang, T.-Z.; Deng, L.-J.; Jiang, T.-X.; Vivone, G.; Chanussot, J. Hyperspectral Image Super-Resolution via Deep Spatiospectral Attention Convolutional Neural Networks. IEEE Trans. Neural Netw. Learn. Syst. 2022, 33, 7251–7265. [Google Scholar] [CrossRef]
- Xiong, Y.; Guo, S.; Chen, J.; Deng, X.; Sun, L.; Zheng, X.; Xu, W. Improved SRGAN for Remote Sensing Image Super-Resolution Across Locations and Sensors. Remote Sens. 2020, 12, 1263. [Google Scholar] [CrossRef]
- Zhang, H.; Song, Y.; Han, C.; Zhang, L. Remote Sensing Image Spatiotemporal Fusion Using a Generative Adversarial Network. IEEE Trans. Geosci. Remote Sens. 2021, 59, 4273–4286. [Google Scholar] [CrossRef]
- Chen, J.; Wang, L.; Feng, R.; Liu, P.; Han, W.; Chen, X. CycleGAN-STF: Spatiotemporal Fusion via CycleGAN-Based Image Generation. IEEE Trans. Geosci. Remote Sens. 2021, 59, 5851–5865. [Google Scholar] [CrossRef]
- Tan, Z.; Gao, M.; Li, X.; Jiang, L. A Flexible Reference-Insensitive Spatiotemporal Fusion Model for Remote Sensing Images Using Conditional Generative Adversarial Network. IEEE Trans. Geosci. Remote Sens. 2022, 60, 1–13. [Google Scholar] [CrossRef]
- Guo, F.; Hu, D.; Schlink, U. A new nonlinear method for downscaling land surface temperature by integrating guided and Gaussian filtering. Remote Sens. Environ. 2022, 271, 112915. [Google Scholar] [CrossRef]
- Kustas, W.P.; Norman, J.M.; Anderson, M.C.; French, A.N. Estimating subpixel surface temperatures and energy fluxes from the vegetation index–radiometric temperature relationship. Remote Sens. Environ. 2003, 85, 429–440. [Google Scholar] [CrossRef]
- Agam, N.; Kustas, W.P.; Anderson, M.C.; Li, F.; Neale, C.M.U. A vegetation index based technique for spatial sharpening of thermal imagery. Remote Sens. Environ. 2007, 107, 545–558. [Google Scholar] [CrossRef]
- Jeganathan, C.; Hamm, N.A.S.; Mukherjee, S.; Atkinson, P.M.; Raju, P.L.N.; Dadhwal, V.K. Evaluating a thermal image sharpening model over a mixed agricultural landscape in India. Int. J. Appl. Earth Obs. Geoinf. 2011, 13, 178–191. [Google Scholar] [CrossRef]
- Hutengs, C.; Vohland, M. Downscaling land surface temperatures at regional scales with random forest regression. Remote Sens. Environ. 2016, 178, 127–141. [Google Scholar] [CrossRef]
- Xu, J.; Zhang, F.; Jiang, H.; Hu, H.; Zhong, K.; Jing, W.; Yang, J.; Jia, B. Downscaling Aster Land Surface Temperature over Urban Areas with Machine Learning-Based Area-To-Point Regression Kriging. Remote Sens. 2020, 12, 1082. [Google Scholar] [CrossRef]
- Xu, S.; Cheng, J. A new land surface temperature fusion strategy based on cumulative distribution function matching and multiresolution Kalman filtering. Remote Sens. Environ. 2021, 254, 112256. [Google Scholar] [CrossRef]
- Ma, J.; Shen, H.; Wu, P.; Wu, J.; Gao, M.; Meng, C. Generating gapless land surface temperature with a high spatio-temporal resolution by fusing multi-source satellite-observed and model-simulated data. Remote Sens. Environ. 2022, 278, 113083. [Google Scholar] [CrossRef]
- Chen, B.; Huang, B.; Xu, B. Comparison of Spatiotemporal Fusion Models: A Review. Remote Sens. 2015, 7, 1798–1835. [Google Scholar] [CrossRef]
- Wu, P.; Yin, Z.; Zeng, C.; Duan, S.-B.; Gottsche, F.-M.; Ma, X.; Li, X.; Yang, H.; Shen, H. Spatially Continuous and High-Resolution Land Surface Temperature Product Generation: A review of reconstruction and spatiotemporal fusion techniques. IEEE Geosci. Remote Sens. Mag. 2021, 9, 112–137. [Google Scholar] [CrossRef]
- Zhu, X.; Cai, F.; Tian, J.; Williams, T. Spatiotemporal Fusion of Multisource Remote Sensing Data: Literature Survey, Taxonomy, Principles, Applications, and Future Directions. Remote Sens. 2018, 10, 527. [Google Scholar] [CrossRef]
- Feng, G.; Masek, J.; Schwaller, M.; Hall, F. On the blending of the Landsat and MODIS surface reflectance: Predicting daily Landsat surface reflectance. IEEE Trans. Geosci. Remote Sens. 2006, 44, 2207–2218. [Google Scholar] [CrossRef]
- Weng, Q.; Fu, P.; Gao, F. Generating daily land surface temperature at Landsat resolution by fusing Landsat and MODIS data. Remote Sens. Environ. 2014, 145, 55–67. [Google Scholar] [CrossRef]
- Hilker, T.; Wulder, M.A.; Coops, N.C.; Linke, J.; McDermid, G.; Masek, J.G.; Gao, F.; White, J.C. A new data fusion model for high spatial- and temporal-resolution mapping of forest disturbance based on Landsat and MODIS. Remote Sens. Environ. 2009, 113, 1613–1627. [Google Scholar] [CrossRef]
- Zhu, X.; Chen, J.; Gao, F.; Chen, X.; Masek, J.G. An enhanced spatial and temporal adaptive reflectance fusion model for complex heterogeneous regions. Remote Sens. Environ. 2010, 114, 2610–2623. [Google Scholar] [CrossRef]
- Wang, Q.; Atkinson, P.M. Spatio-temporal fusion for daily Sentinel-2 images. Remote Sens. Environ. 2018, 204, 31–42. [Google Scholar] [CrossRef]
- Zhukov, B.; Oertel, D.; Lanzl, F.; Reinhackel, G. Unmixing-based multisensor multiresolution image fusion. IEEE Trans. Geosci. Remote Sens. 1999, 37, 1212–1226. [Google Scholar] [CrossRef]
- Mingquan, W. Use of MODIS and Landsat time series data to generate high-resolution temporal synthetic Landsat data using a spatial and temporal reflectance fusion model. J. Appl. Remote Sens. 2012, 6, 063507. [Google Scholar] [CrossRef]
- Zhang, W.; Li, A.; Jin, H.; Bian, J.; Zhang, Z.; Lei, G.; Qin, Z.; Huang, C. An Enhanced Spatial and Temporal Data Fusion Model for Fusing Landsat and MODIS Surface Reflectance to Generate High Temporal Landsat-Like Data. Remote Sens. 2013, 5, 5346–5368. [Google Scholar] [CrossRef]
- Huang, B.; Zhang, H. Spatio-temporal reflectance fusion via unmixing: Accounting for both phenological and land-cover changes. Int. J. Remote Sens. 2014, 35, 6213–6233. [Google Scholar] [CrossRef]
- Gevaert, C.M.; García-Haro, F.J. A comparison of STARFM and an unmixing-based algorithm for Landsat and MODIS data fusion. Remote Sens. Environ. 2015, 156, 34–44. [Google Scholar] [CrossRef]
- Lu, M.; Chen, J.; Tang, H.; Rao, Y.; Yang, P.; Wu, W. Land cover change detection by integrating object-based data blending model of Landsat and MODIS. Remote Sens. Environ. 2016, 184, 374–386. [Google Scholar] [CrossRef]
- Wu, M.; Wu, C.; Huang, W.; Niu, Z.; Wang, C.; Li, W.; Hao, P. An improved high spatial and temporal data fusion approach for combining Landsat and MODIS data to generate daily synthetic Landsat imagery. Inf. Fusion 2016, 31, 14–25. [Google Scholar] [CrossRef]
- Zhu, X.; Helmer, E.H.; Gao, F.; Liu, D.; Chen, J.; Lefsky, M.A. A flexible spatiotemporal method for fusing satellite images with different resolutions. Remote Sens. Environ. 2016, 172, 165–177. [Google Scholar] [CrossRef]
- Guo, D.; Shi, W.; Hao, M.; Zhu, X. FSDAF 2.0: Improving the performance of retrieving land cover changes and preserving spatial details. Remote Sens. Environ. 2020, 248, 111973. [Google Scholar] [CrossRef]
- Wang, J.; Schmitz, O.; Lu, M.; Karssenberg, D. Thermal unmixing based downscaling for fine resolution diurnal land surface temperature analysis. ISPRS J. Photogramm. Remote Sens. 2020, 161, 76–89. [Google Scholar] [CrossRef]
- Shi, W.; Guo, D.; Zhang, H. A reliable and adaptive spatiotemporal data fusion method for blending multi-spatiotemporal-resolution satellite images. Remote Sens. Environ. 2022, 268, 112770. [Google Scholar] [CrossRef]
- Xu, C.; Du, X.; Yan, Z.; Zhu, J.; Xu, S.; Fan, X. VSDF: A variation-based spatiotemporal data fusion method. Remote Sens. Environ. 2022, 283, 113309. [Google Scholar] [CrossRef]
- Li, M.; Guo, S.; Chen, J.; Chang, Y.; Sun, L.; Zhao, L.; Li, X.; Yao, H. Stability Analysis of Unmixing-Based Spatiotemporal Fusion Model: A Case of Land Surface Temperature Product Downscaling. Remote Sens. 2023, 15, 901. [Google Scholar] [CrossRef]
- Guo, S.; Sun, B.; Zhang, H.K.; Liu, J.; Chen, J.; Wang, J.; Jiang, X.; Yang, Y. MODIS ocean color product downscaling via spatio-temporal fusion and regression: The case of chlorophyll-a in coastal waters. Int. J. Appl. Earth Obs. Geoinf. 2018, 73, 340–361. [Google Scholar] [CrossRef]


























| Date | Landsat7 LST and MODIS LST Data Names | Spatial Resolution (m) |
|---|---|---|
| 14 September 2000 | LE71220442000258SGS00 | 30 |
| MOD11A1.A2000258.h28v06.061 | 1000 | |
| 1 November 2000 | LE71220442000306SGS00 | 30 |
| MOD11A1.A2000306.h28v06.061 | 1000 | |
| 17 September 2001 | LE71220442001260SGS00 | 30 |
| MOD11A1.A2001260.h28v06.061 | 1000 | |
| 20 November 2001 | LE71220442001324SGS00 | 30 |
| MOD11A1.A2001324.h28v06.061 | 1000 | |
| 22 December 2001 | LE71220442001356BKT00 | 30 |
| MOD11A1.A2001356.h28v06.061 | 1000 | |
| 7 January 2002 | LE71220442002007SGS00 | 30 |
| MOD11A1.A2002007.h28v06.061 | 1000 | |
| 7 November 2002 | LE71220442002311EDC00 | 30 |
| MOD11A1.A2002311.h28v06.061 | 1000 | |
| 10 January 2003 | LE71220442003010EDC00 | 30 |
| MOD11A1.A2003010.h28v06.061 | 1000 |
| PNSR | SSIM | CC | RMSE | MAE | Mean Baseline Length (SD) | |
|---|---|---|---|---|---|---|
| 20000914-20001101-20010917 | 40.276 | 0.985 | 0.611 | 3.875 | 3.178 | 6.156 (1.673) |
| 20000914-20001101-20011120 | 46.198 | 0.995 | 0.801 | 1.960 | 1.205 | 7.690 (1.920) |
| 20000914-20001101-20011222 | 47.443 | 0.997 | 0.851 | 1.698 | 0.959 | 17.586 (2.244) |
| 20000914-20001101-20020107 | 46.584 | 0.996 | 0.809 | 1.874 | 1.144 | 10.242 (2.850) |
| 20000914-20001101-20021107 | 40.137 | 0.980 | 0.573 | 3.937 | 3.055 | 3.015 (1.660) |
| 20000914-20001101-20030110 | 47.139 | 0.997 | 0.839 | 1.758 | 1.014 | 13.851 (2.336) |
| Pixel median value combination | 47.241 | 0.997 | 0.844 | 1.738 | 1.004 |
| Date | Models | PNSR | SSIM | CC | RMSE | MAE |
| 1 November 2000 | U-STFM | 46.970 | 0.996 | 0.939 | 1.797 | 1.020 |
| STARFM | 46.441 | 0.995 | 0.927 | 1.905 | 1.053 | |
| ESTARFM | 46.913 | 0.996 | 0.934 | 1.805 | 1.038 | |
| The nonlinear U-STFM (DyNet) | 47.211 | 0.996 | 0.935 | 1.744 | 0.987 | |
| The nonlinear U-STFM (DyNet+RatioNet) | 47.241 | 0.997 | 0.844 | 1.738 | 1.004 | |
| 17 September 2001 | U-STFM | 38.787 | 0.991 | 0.936 | 4.610 | 4.243 |
| STARFM | 38.919 | 0.993 | 0.939 | 4.530 | 4.103 | |
| ESTARFM | 38.218 | 0.994 | 0.931 | 4.911 | 4.601 | |
| The nonlinear U-STFM (DyNet) | 42.807 | 0.979 | 0.895 | 2.896 | 2.210 | |
| The nonlinear U-STFM (DyNet+RatioNet) | 45.895 | 0.992 | 0.863 | 2.029 | 1.348 | |
| 20 November 2001 | U-STFM | 51.105 | 0.996 | 0.942 | 1.114 | 0.844 |
| STARFM | 50.976 | 0.996 | 0.926 | 1.130 | 0.815 | |
| ESTARFM | 51.498 | 0.996 | 0.936 | 1.064 | 0.754 | |
| The nonlinear U-STFM (DyNet) | 52.128 | 0.997 | 0.924 | 0.990 | 0.758 | |
| The nonlinear U-STFM (DyNet+RatioNet) | 52.567 | 0.997 | 0.947 | 0.941 | 0.713 | |
| 22 December 2001 | U-STFM | 46.829 | 0.992 | 0.839 | 1.822 | 1.372 |
| STARFM | 49.592 | 0.995 | 0.894 | 1.326 | 0.941 | |
| ESTARFM | 50.456 | 0.996 | 0.897 | 1.200 | 0.790 | |
| The nonlinear U-STFM (DyNet) | 49.582 | 0.993 | 0.755 | 1.327 | 1.002 | |
| The nonlinear U-STFM (DyNet+RatioNet) | 50.665 | 0.996 | 0.905 | 1.172 | 0.858 | |
| 7 January 2002 | U-STFM | 50.709 | 0.997 | 1.000 | 1.166 | 0.858 |
| STARFM | 49.472 | 0.996 | 1.000 | 1.344 | 0.954 | |
| ESTARFM | 50.420 | 0.997 | 1.000 | 1.205 | 0.864 | |
| The nonlinear U-STFM (DyNet) | 50.796 | 0.996 | 0.905 | 1.154 | 0.840 | |
| The nonlinear U-STFM (DyNet+RatioNet) | 50.501 | 0.997 | 0.816 | 1.194 | 0.875 | |
| 7 November 2002 | U-STFM | 49.200 | 0.994 | 0.931 | 1.387 | 1.023 |
| STARFM | 49.699 | 0.995 | 0.928 | 1.310 | 0.945 | |
| ESTARFM | 48.969 | 0.996 | 0.914 | 1.424 | 1.083 | |
| The nonlinear U-STFM (DyNet) | 50.788 | 0.995 | 0.923 | 1.155 | 0.847 | |
| The nonlinear U-STFM (DyNet+RatioNet) | 51.021 | 0.996 | 0.923 | 1.125 | 0.822 |
Disclaimer/Publisher’s Note: The statements, opinions and data contained in all publications are solely those of the individual author(s) and contributor(s) and not of MDPI and/or the editor(s). MDPI and/or the editor(s) disclaim responsibility for any injury to people or property resulting from any ideas, methods, instructions or products referred to in the content. |
© 2024 by the authors. Licensee MDPI, Basel, Switzerland. This article is an open access article distributed under the terms and conditions of the Creative Commons Attribution (CC BY) license (https://creativecommons.org/licenses/by/4.0/).
Share and Cite
Guo, S.; Li, M.; Li, Y.; Chen, J.; Zhang, H.K.; Sun, L.; Wang, J.; Wang, R.; Yang, Y. The Improved U-STFM: A Deep Learning-Based Nonlinear Spatial-Temporal Fusion Model for Land Surface Temperature Downscaling. Remote Sens. 2024, 16, 322. https://doi.org/10.3390/rs16020322
Guo S, Li M, Li Y, Chen J, Zhang HK, Sun L, Wang J, Wang R, Yang Y. The Improved U-STFM: A Deep Learning-Based Nonlinear Spatial-Temporal Fusion Model for Land Surface Temperature Downscaling. Remote Sensing. 2024; 16(2):322. https://doi.org/10.3390/rs16020322
Chicago/Turabian StyleGuo, Shanxin, Min Li, Yuanqing Li, Jinsong Chen, Hankui K. Zhang, Luyi Sun, Jingwen Wang, Ruxin Wang, and Yan Yang. 2024. "The Improved U-STFM: A Deep Learning-Based Nonlinear Spatial-Temporal Fusion Model for Land Surface Temperature Downscaling" Remote Sensing 16, no. 2: 322. https://doi.org/10.3390/rs16020322
APA StyleGuo, S., Li, M., Li, Y., Chen, J., Zhang, H. K., Sun, L., Wang, J., Wang, R., & Yang, Y. (2024). The Improved U-STFM: A Deep Learning-Based Nonlinear Spatial-Temporal Fusion Model for Land Surface Temperature Downscaling. Remote Sensing, 16(2), 322. https://doi.org/10.3390/rs16020322

