Estimation of Dissolved Organic Carbon Using Sentinel-2 in the Eutrophic Lake Ebinur, China
Abstract
1. Introduction
2. Research Area Overview
3. Data and Methods
3.1. Data Sources
3.2. Inherent Optical Characteristics of the Water Body
3.3. CDOM Inversion Model
QAA-CDOM Model
3.4. Technical Approach
4. Results
4.1. Analysis of Inherent Optical Characteristics of Lake Ebinur
4.2. Validation of CDOM Inversion Models
4.3. Estimation Model for DOC and Accuracy Verification
4.4. Spatial Variability Characteristics of DOC
4.5. Temporal Variation Characteristics of DOC
5. Discussion
5.1. Applicability of Data and Models
5.2. Uncertainties in DOC Estimate
5.3. Applications and Limitations of this Study
6. Conclusions
- (1)
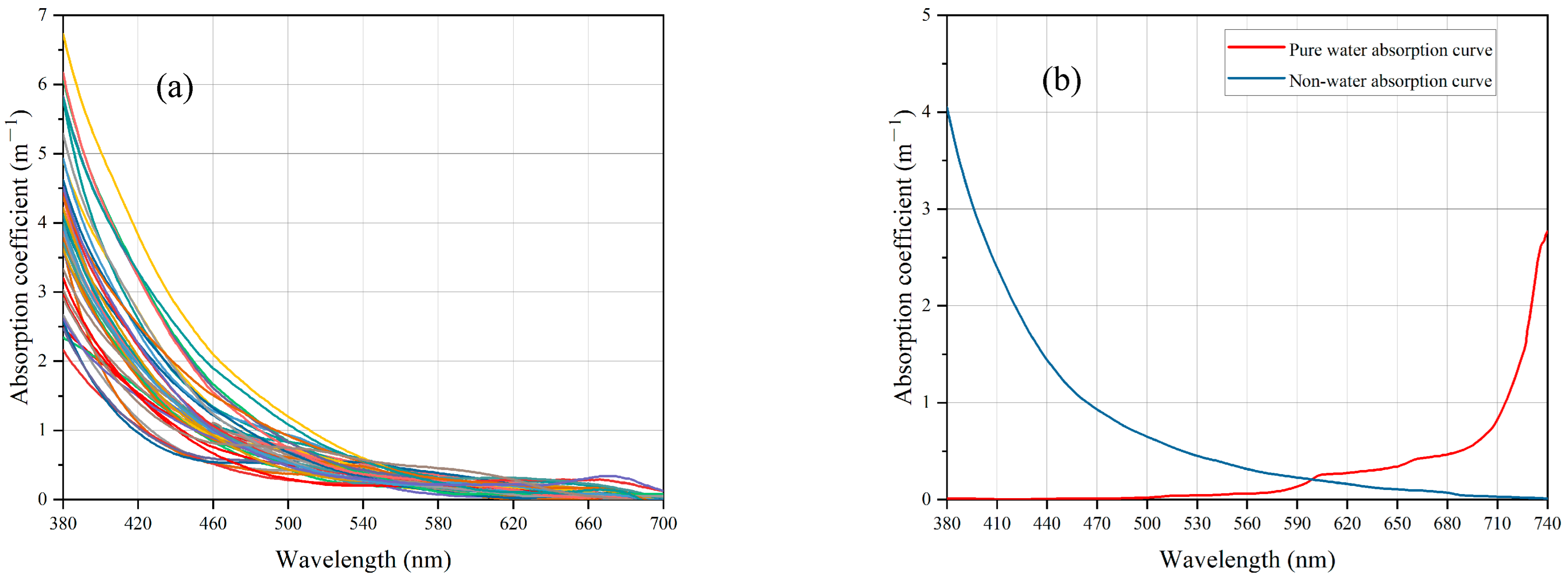
- By measuring the absorption coefficients of Lake Ebinur’s water body, the intrinsic optical characteristics of Lake Ebinur were investigated. Through this examination, it was observed that the absorption coefficients of SPM and CDOM approach zero at around 700 nm, where the dominance of pure water absorption coefficients in the total absorption of water becomes evident. In conjunction with the band configuration of Sentinel-2 remote sensing imagery, the wavelength of 833 nm was selected as the reference wavelength for Lake Ebinur.
- (2)
- In this study, observation data during 2021 and 2023 were used to verify the applicability of the QAA-CDOM model in Lake Ebinur, in which the validation set r2 value was 0.72 and the RMSE value was 0.13 m−1. Meanwhile, the independent verification sample r2 value was 0.51 and the RMSE value was 0.12 m−1. The above verification results show that the QAA-CDOM model is suitable for the inversion of the CDOM concentration in a long Lake Ebinur time series. In comparison with multiple DOC estimation models, the linear regression model demonstrated the most favorable performance, yielding an r2 value of 0.72. The measured data in 2022 were used as independent verification samples, and the verification results (r2 = 0.6 and RMSE = 11.4 mg/L) showed that the DOC estimation model could be used to estimate the long-term DOC concentration in Lake Ebinur.
- (3)
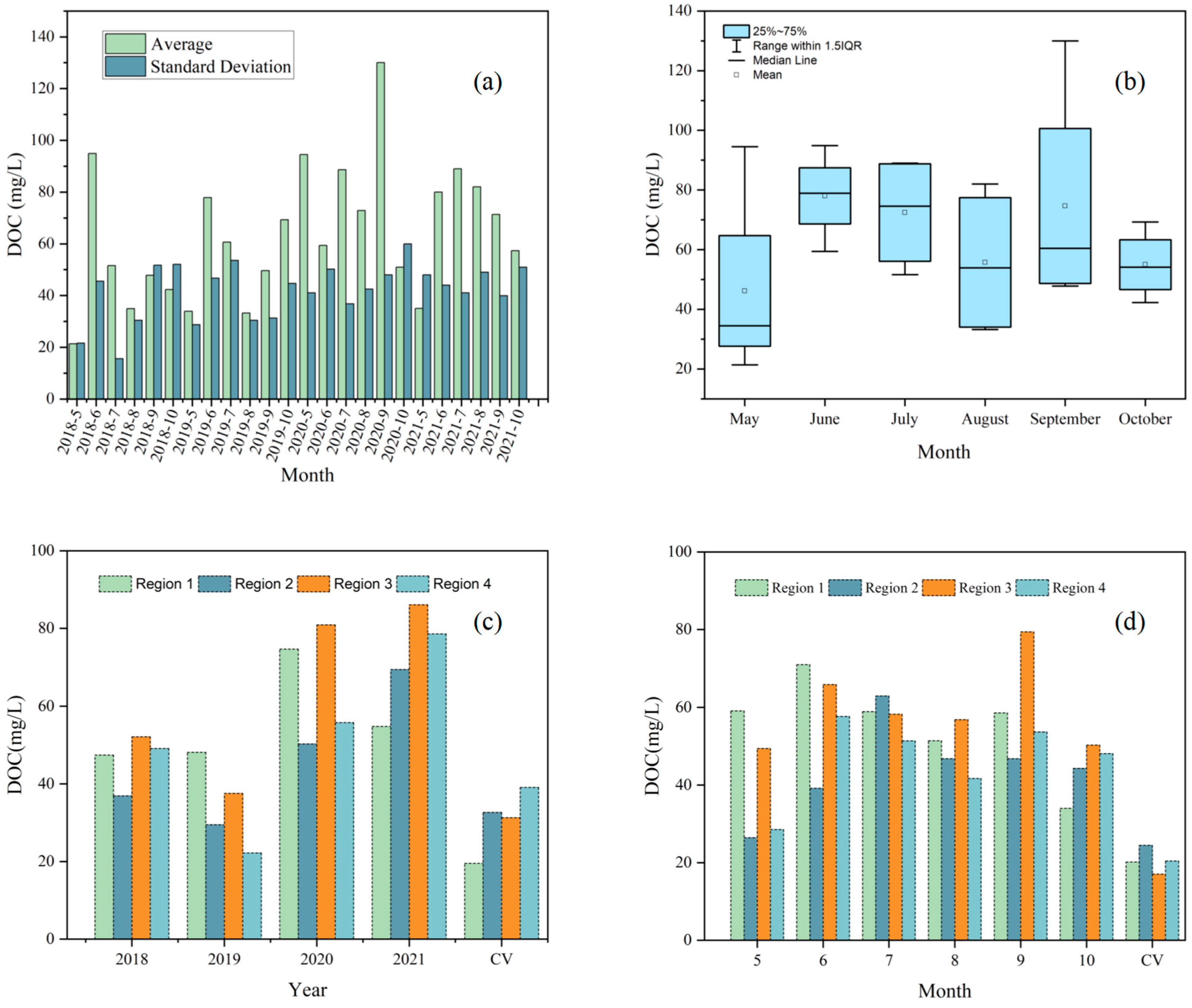
- By conducting a comparative analysis of the spatial variation in Lake Ebinur’s DOC, it could be inferred that from 2018 to 2022, Lake Ebinur’s DOC concentration exhibited an overall increasing trend. The concentration predominantly ranged between 30 and 90 mg/L, with a few regions displaying DOC concentrations exceeding 150 mg/L. Further comparison of Lake Ebinur’s spatial DOC variations from 2018 to 2021 revealed a year-on-year increase in DOC concentration. Additionally, upon contrasting the spatial distribution patterns of DOC across different months, it became evident that DOC concentrations in June and July of each year exceeded those in other months, while concentrations in May were notably lower.
- (4)
- Analyzing the temporal variations in Lake Ebinur’s DOC concentration revealed a distinct fluctuating trend, characterized by an overall increasing trajectory over time. Among these variations, the month of June stood out with the highest average DOC concentration (80 mg/L), whereas the lowest average concentration was observed in May (48 mg/L). From 2018 to 2021, the coefficient of variation in region 4 was the highest, and the coefficient of variation in region 1 was the smallest.
Author Contributions
Funding
Data Availability Statement
Acknowledgments
Conflicts of Interest
Abbreviations
| CDOM | Colored dissolved organic matter |
| DOC | Dissolved organic carbon |
| DOM | Dissolved organic matter |
| QAA | Quasi-analytical algorithm |
| SPM | Suspended particulate matter |
References
- Li, J.; Yu, Q.; Tian, Y.Q.; Becker, B.L. Remote sensing estimation of colored dissolved organic matter (CDOM) in optically shallow waters. ISPRS J. Photogramm. Remote Sens. 2017, 128, 98–110. [Google Scholar] [CrossRef]
- DelSontro, T.; Beaulieu, J.J.; Downing, J.A. Greenhouse gas emissions from lakes and impoundments: Upscaling in the face of global change. Limnol. Oceanogr. Lett. 2018, 3, 64–75. [Google Scholar] [CrossRef] [PubMed]
- Liu, D.; Yu, S.J.; Xiao, Q.T.; Duan, H.T. Satellite estimation of dissolved organic carbon in eutrophic Lake Taihu, China. Remote Sens. Environ. 2021, 264, 112572. [Google Scholar] [CrossRef]
- Ferrari, G.M.; Dowell, M.D.; Grossi, S.; Targa, C. Relationship between the optical properties of chromophoric dissolved organic matter and total concentration of dissolved organic carbon in the southern Baltic Sea region. Mar. Chem. 1996, 55, 299–316. [Google Scholar] [CrossRef]
- Mannino, A.; Russ, M.E.; Hooker, S.B. Algorithm development and validation for satellite-derived distributions of DOC and CDOM in the US Middle Atlantic Bight. J. Geophys. Res. Ocean. 2008, 113, 19. [Google Scholar] [CrossRef]
- Kutser, T. The possibility of using the Landsat image archive for monitoring long time trends in coloured dissolved organic matter concentration in lake waters. Remote Sens. Environ. 2012, 123, 334–338. [Google Scholar] [CrossRef]
- Juhls, B.; Matsuoka, A.; Lizotte, M. Seasonal dynamics of dissolved organic matter in the Mackenzie Delta, Canadian Arctic waters: Implications for ocean colour remote sensing. Remote Sens. Environ. 2022, 283, 113327. [Google Scholar] [CrossRef]
- Zhou, B.T.; Liu, X.L.; Wu, L. Retrieval model of colored dissolved organic matter concentration based on water color remote sensing in Hongkong Waters. Mar. Environ. Sci. 2013, 32, 115–119. [Google Scholar]
- Chen, J.; Zhu, W.N.; Tian, Y.Q.; Yu, Q. Estimation of colored dissolved organic matter from landsat-8 imagery for complex inland water: Case study of lake Huron. IEEE Trans. Geosci. Remote Sens. 2017, 55, 2201–2212. [Google Scholar] [CrossRef]
- Tian, Y.; Guo, Z.Q.; Qiao, Y.C. Remote sensing of water quality monitoring in Guanting Reservoir. Acta Ecol. Sin. 2015, 35, 2217–2226. [Google Scholar]
- Morel, A.; Louis, P. Analysis of variations in ocean color. Limnol. Oceanogr. 1997, 22, 709–722. [Google Scholar] [CrossRef]
- Chen, J.; Zhu, W.; Tian, Y.Q.; Yu, Q. Monitoring dissolved organic carbon by combining Landsat-8 and Sentinel-2 satellites: Case study in Saginaw River estuary, Lake Huron. Sci. Total Environ. 2020, 718, 137374. [Google Scholar] [CrossRef] [PubMed]
- Shang, Y.; Liu, G.; Wen, Z.D.; Jacinthe, P.A.; Song, K.S.; Zhang, B.; Lyu, L.L.; Li, S.J.; Wang, X.; Yu, X.F. Remote estimates of CDOM using Sentinel-2 remote sensing data in reservoirs with different trophic states across China. J. Environ. Manag. 2021, 286, 112275. [Google Scholar] [CrossRef] [PubMed]
- Liu, C.J.; Zhang, F.; Tan, M.L.; Jim, C.Y.; Song, K.S.; Shi, J.C.; Lin, X.W.; Kung, H.T. High spatiotemporal resolution reconstruction of suspended particulate matter concentration in arid brackish lake, China. J. Clean. Prod. 2023, 414, 137673. [Google Scholar] [CrossRef]
- Zhu, W.; Tian, Y.Q.; Yu, Q.; Becker, B.L. Using Hyperion imagery to monitor the spatial and temporal distribution of colored dissolved organic matter in estuarine and coastal regions. Remote Sens. Environ. 2013, 134, 342–354. [Google Scholar] [CrossRef]
- Harkort, L.; Duan, Z. Estimation of dissolved organic carbon from inland waters at a large scale using satellite data and machine learning methods. Water Res. 2022, 29, 119478. [Google Scholar] [CrossRef] [PubMed]
- Lv, H.; Zhou, L.Y.; Jiang, N. Estimation of Dissolved organic Carbon Concentration in Taihu Lake Using Reflectance Spectral and Simulated MERIS. J. Nanjing For. Univ. 2006, 40, 38. [Google Scholar]
- Brezonik, P.L.; Olmanson, L.G.; Finlay, J.C.; Bauer, M.E. Factors affecting the measurement of CDOM by remote sensing of optically complex inland waters. Remote Sens. Environ. 2015, 157, 199–215. [Google Scholar] [CrossRef]
- Zhang, Y.; Zhou, L.; Zhou, Y.; Zhang, L.; Yao, X.; Shi, K.; Jeppesen, E.; Yu, Q.; Zhu, W. Chromophoric dissolved organic matter in inland waters: Present knowledge and future challenges. Sci. Total Environ. 2021, 759, 143550. [Google Scholar] [CrossRef]
- Liu, C.J.; Zhang, F.; Jim, C.Y.; Johnson, V.C.; Tan, M.L.; Shi, J.C.; Lin, X.W. Controlled and driving mechanism of the SPM variation of shallow Brackish Lakes in arid regions. Sci. Total Environ. 2023, 878, 163127. [Google Scholar] [CrossRef]
- Kirk, J.T.O. Light and Photosynthesis in Aquatic Ecosystems; Cambridge University Press: Cambridge, UK, 1994. [Google Scholar]
- Buiteveld, H.; Donze, M.; Donze, M. Optical properties of pure water. Int. Soc. Opt. Eng. 1994, 2258, 174–183. [Google Scholar]
- Pinkerton, M.H.; Richardson, K.M.; Boyd, P.W. Inter-comparison of ocean colour band-ratio algorithms for chlorophyll concentration in the subtropical front east of New Zealand. Remote Sens. Environ. 2005, 97, 382–402. [Google Scholar] [CrossRef]
- Cleveland, J.S.; Weidemann, A.D. Quantifying absorption by aquatic particles: A multiple scattering correction for glass-fiber filters. Limnol. Oceanogr. 1993, 38, 1321–1327. [Google Scholar] [CrossRef]
- Bricaud, A.; Morel, A.; Prieur, L. Absorption by dissolved organic matter of the sea (yellow substance) in the UV and visible domain. Limnol. Oceanogr. 1981, 26, 43–53. [Google Scholar] [CrossRef]
- Lee, Z.P.; Carder, K.L.; Arnone, R.A. Deriving inherent optical properties from water color: A multiband quasi-analytical algorithm for optically deep waters. Appl. Opt. 2002, 41, 5755–5772. [Google Scholar] [CrossRef] [PubMed]
- Le, C.F.; Li, Y.M.; Zha, Y.; Yin, B.; Zhang, H. Study on Partitioning of Phytoplankton Absorption Coefficient from Total Spectral Absorption in Taihu. Acta Opt. Sin. 2010, 30, 3090–3096. (In Chinese) [Google Scholar]
- Araújo, C.A.S.; B’elanger, S. Variability of bio-optical properties in nearshore waters of the estuary and Gulf of St. Lawrence: Absorption and backscattering coefficients. Estuar. Coast. Shelf Sci. 2022, 264, 107688. [Google Scholar] [CrossRef]
- Wang, Z.; Zhang, F.; Zhang, X.L.; Chan, N.W.; Kung, H.; Zhou, X.H.; Wang, Y.S. Quantitative Evaluation of Spatial and Temporal Variation of Soil Salinization Risk Using GIS-Based Geostatistical Method. Remote Sens. 2020, 12, 2405. [Google Scholar] [CrossRef]
- Duan, P.; Zhang, F.; Jim, C.Y.; Tan, M.L.; Cai, Y.F.; Shi, J.C.; Liu, C.J.; Wang, W.W.; Wang, Z. Reconstruction of Sentinel Images for Suspended Particulate Matter Monitoring in Arid Regions. Remote Sens. 2023, 15, 872. [Google Scholar] [CrossRef]
- Vadeboncoeur, Y.; McIntyre, P.B.; Vander Zanden, M.J. Borders of biodiversity: Life at the edge of the world’s large lakes. Bioscience 2011, 61, 526–537. [Google Scholar] [CrossRef]
- Jiang, D.L.; Scholze, J.; Liu, X.H.; Simis, S.G.H.; Stelzer, K.; Müller, D.; Hunter, P.; Tyler, A.; Apyrakos, E. A data-driven approach to flag land-affected signals in satellite derived water quality from small lakes. Int. J. Appl. Earth Obs. Geoinf. 2023, 117, 103188. [Google Scholar] [CrossRef]
- Strock, K.E.; Saros, J.E.; Nelson, S.J.; Birkel, S.D.; Kahl, J.S.; McDowell, W.H. Extreme weather years drive episodic changes in lake chemistry: Implications for recovery from sulfate deposition and long-term trends in dissolved organic carbon. Biogeochemistry 2016, 127, 353–365. [Google Scholar] [CrossRef]
- Pedro, M.; Dale, S.; Pinto, R.L. The International Seabed Authority and the United Nations 2030 Agenda for Sustainable Development. Resour. Policy 2023, 86, 104166. [Google Scholar]
- Zhao, H.; Yao, B.; Wang, S.R.; Wang, G.Q. Remote sensing estimation of the concentration and sources of coloured dissolved organic matter based on MODIS: A case study of Erhai lake. Ecol. Indic. 2021, 131, 108180. [Google Scholar]
- Del, V.R.; Blouhgh, N.V. Spatial and seasonal distribution of chro-mophoric dissolved organic matter and dissolved organic carbon in the Middle Atlantic Bight. Mar. Chem. 2004, 89, 169–187. [Google Scholar]
- Wu, J.F.; Yao, H.X.; Wang, G.Q.; Chen, X.H.; Yuan, X.; Zhou, Y.L.; Zhang, D.J. Dynamics of DOC concentration and flux in different propagation stages of hydrological drought: Patterns and drivers. J. Hydrol. 2022, 617, 128939. [Google Scholar] [CrossRef]











| Step | Formula |
|---|---|
| (1) | |
| (2) | |
| (3) | |
| (4) | |
| (5) | |
| (6) | |
| (7) | |
| (8) | |
| (9) |
Disclaimer/Publisher’s Note: The statements, opinions and data contained in all publications are solely those of the individual author(s) and contributor(s) and not of MDPI and/or the editor(s). MDPI and/or the editor(s) disclaim responsibility for any injury to people or property resulting from any ideas, methods, instructions or products referred to in the content. |
© 2024 by the authors. Licensee MDPI, Basel, Switzerland. This article is an open access article distributed under the terms and conditions of the Creative Commons Attribution (CC BY) license (https://creativecommons.org/licenses/by/4.0/).
Share and Cite
Cao, N.; Lin, X.; Liu, C.; Tan, M.L.; Shi, J.; Jim, C.-Y.; Hu, G.; Ma, X.; Zhang, F. Estimation of Dissolved Organic Carbon Using Sentinel-2 in the Eutrophic Lake Ebinur, China. Remote Sens. 2024, 16, 252. https://doi.org/10.3390/rs16020252
Cao N, Lin X, Liu C, Tan ML, Shi J, Jim C-Y, Hu G, Ma X, Zhang F. Estimation of Dissolved Organic Carbon Using Sentinel-2 in the Eutrophic Lake Ebinur, China. Remote Sensing. 2024; 16(2):252. https://doi.org/10.3390/rs16020252
Chicago/Turabian StyleCao, Naixin, Xingwen Lin, Changjiang Liu, Mou Leong Tan, Jingchao Shi, Chi-Yung Jim, Guanghui Hu, Xu Ma, and Fei Zhang. 2024. "Estimation of Dissolved Organic Carbon Using Sentinel-2 in the Eutrophic Lake Ebinur, China" Remote Sensing 16, no. 2: 252. https://doi.org/10.3390/rs16020252
APA StyleCao, N., Lin, X., Liu, C., Tan, M. L., Shi, J., Jim, C.-Y., Hu, G., Ma, X., & Zhang, F. (2024). Estimation of Dissolved Organic Carbon Using Sentinel-2 in the Eutrophic Lake Ebinur, China. Remote Sensing, 16(2), 252. https://doi.org/10.3390/rs16020252

