UAV-Based Phenotyping: A Non-Destructive Approach to Studying Wheat Growth Patterns for Crop Improvement and Breeding Programs
Abstract
1. Introduction
2. Materials and Methods
2.1. Plant Material and Study Site
2.2. Field Trait Measurements
2.3. Image Acquisition and Processing
3. Results and Analysis
3.1. Growth and Flowering Characteristics—Field Observations
3.2. Association among Morphological Features Agronomic Traits and Spectral Reflectance
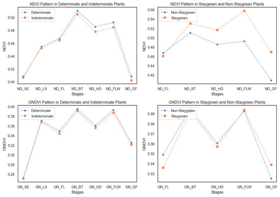
3.3. How NDVI Changes during Different Growth Stages
3.4. Association between Grain Yield, Vegetation Indices, and Growth Pattern
4. Conclusions and Future Directions
Author Contributions
Funding
Data Availability Statement
Acknowledgments
Conflicts of Interest
References
- Jung, J.; Maeda, M.; Chang, A.; Bhandari, M.; Ashapure, A.; Landivar-Bowles, J. The potential of remote sensing and artificial intelligence as tools to improve the resilience of Agriculture Production Systems. Curr. Opin. Biotechnol. 2021, 70, 15–22. [Google Scholar] [CrossRef] [PubMed]
- Kakaei, H.; Nourmoradi, H.; Bakhtiyari, S.; Jalilian, M.; Mirzaei, A. Chapter One—Effect of COVID-19 on food security, hunger, and food crisis. In COVID-19 and the Sustainable Development Goals, 1st ed.; Dehghani, M.H., Karri, R.R., Roy, S., Eds.; Elsevier: Amsterdam, The Netherlands, 2022; pp. 3–29. [Google Scholar]
- Kell, D.B. Breeding crop plants with deep roots: Their role in sustainable carbon, nutrient and water sequestration. Ann. Bot. 2011, 108, 407–418. [Google Scholar] [CrossRef] [PubMed]
- Tao, H.; Xu, S.; Tian, Y.; Li, Z.; Ge, Y.; Zhang, J.; Wang, Y.; Zhou, G.; Deng, X.; Zhang, Z.; et al. Proximal and remote sensing in plant phenomics: 20 years of progress, challenges, and perspectives. Plant Commun. 2022, 3, 2590–3462. [Google Scholar] [CrossRef]
- Delgado, A.; Novo, A.; Hays, D.B. Data Acquisition Methodologies Utilizing Ground Penetrating Radar for Cassava (Manihot esculenta Crantz) Root Architecture. Geosciences 2019, 9, 171. [Google Scholar] [CrossRef]
- Malambo, L.; Popescu, S.; Ku, N.W.; Rooney, W.; Zhou, T.; Moore, S. A Deep Learning Semantic Segmentation-Based Approach for Field-Level Sorghum Panicle Counting. Remote Sens. 2019, 11, 2939. [Google Scholar] [CrossRef]
- Davison, S.; Donoghue, D.N.; Galiatsatos, N. The effect of leaf-on and leaf-off forest canopy conditions on LiDAR derived estimations of forest structural diversity. Int. J. Appl. Earth Obs. Geoinf. 2020, 92, 102160. [Google Scholar] [CrossRef]
- Sarlikioti, V.; Visser, P.H.; Buck-Sorlin, G.H.; Marcelis, L.F. How plant architecture affects light absorption and photosynthesis in tomato: Towards an ideotype for plant architecture using a functional-structural plant model. Ann. Bot. 2011, 108, 1065–1073. [Google Scholar] [CrossRef]
- Zhang, Z.; Zhu, L. A Review on Unmanned Aerial Vehicle Remote Sensing: Platforms, Sensors, Data Processing Methods, and Applications. Drones 2023, 7, 398. [Google Scholar] [CrossRef]
- Barton, C.V.; Montagu, K.D. Detection of tree roots and determination of root diameters by ground penetrating radar under optimal conditions. Tree Physiol. 2004, 24, 1323–1331. [Google Scholar] [CrossRef]
- Fellahi, Z.A.; Hannachi, A.; Bouzerzour, H. Analysis of Direct and Indirect Selection and Indices in Bread Wheat (Triticum aestivum L.) Segregating Progeny. Int. J. Agron. 2018, 2018, 8312857. [Google Scholar] [CrossRef]
- Martre, P.; Quilot-Turion, B.; Luquet, D.; Memmah, M.O.-S.; Chenu, K.; Debaeke, P. Chapter 14—Model-assisted phenotyping and ideotype design. In Crop Physiology, 2nd ed.; Sadras, V.O., Calderini, D.F., Eds.; Academic Press: London, UK, 2015; pp. 349–373. [Google Scholar]
- Donald, C.M. The breeding of crop ideotypes. Euphytica 1968, 17, 385–403. [Google Scholar] [CrossRef]
- Tao, F.; Zhang, S.; Zhang, Z. Spatiotemporal changes of wheat phenology in China under the effects of temperature, day length and cultivar thermal characteristics. Eur. J. Agron. 2012, 43, 201–212. [Google Scholar] [CrossRef]
- Semenov, M.A.; Stratonovitch, P.; Alghabari, F.; Gooding, M.J. Adapting wheat in Europe for climate change. J. Cereal Sci. 2014, 59, 245–256. [Google Scholar] [CrossRef] [PubMed]
- González, F.G.; Slafer, G.A.; Miralles, D.J. Vernalization and photoperiod responses in wheat pre-flowering reproductive phases. Field Crops Res. 2002, 74, 183–195. [Google Scholar] [CrossRef]
- Roy, S.K.; Gallagher, J.N. Production and Survival of Wheat Tillers in Relation to Plant Growth and Development. In Wheat Growth Modelling; Day, W., Atkin, R.K., Eds.; NATO ASI Science; Springer: Boston, MA, USA, 1984; Volume 86, pp. 59–67. [Google Scholar]
- Lopes, M.S.; Reynolds, M.P. Stay-green in spring wheat can be determined by spectral reflectance measurements (normalized difference vegetation index) independently from phenology. J. Exp. Bot. 2012, 63, 3789–3798. [Google Scholar] [CrossRef]
- Zhang, P.; Huang, J.; Ma, Y.; Wang, X.; Kang, M.; Song, Y. Crop/Plant Modeling Supports Plant Breeding: II. Guidance of Functional Plant Phenotyping for Trait Discovery. Plant Phenomics 2023, 5, 0091. [Google Scholar] [CrossRef]
- Yang, J.; Zhang, J. Simultaneously improving grain yield and water and nutrient use efficiencies by enhancing the harvest index in Rice. Crop Environ. 2023, 2, 157–164. [Google Scholar] [CrossRef]
- Prasad, B.; Carver, B.F.; Stone, M.L.; Babar, M.A.; Raun, W.R.; Klatt, A.R. Genetic analysis of indirect selection for winter wheat grain yield using spectral reflectance indices. Crop Sci. 2007, 47, 1416–1425. [Google Scholar] [CrossRef]
- Keating, B.; Carberry, P. Resource capture and use in intercropping: Solar radiation. Field Crops Res. 1993, 34, 273–301. [Google Scholar] [CrossRef]
- Borrell, A.K.; Mullet, J.E.; George-Jaeggli, B.; van Oosterom, E.J.; Hammer, G.L.; Klein, P.E.; Jordan, D.R. Drought adaptation of staygreen sorghum is associated with canopy development, leaf anatomy, root growth, and water uptake. J. Exp. Bot. 2014, 65, 6251–6263. [Google Scholar] [CrossRef]
- Christopher, J.T.; Christopher, M.J.; Borrell, A.K.; Fletcher, S.; Chenu, K. Staygreen traits to improve wheat adaptation in well-watered and water-limited environments. J. Exp. Bot. 2016, 67, 5159–5172. [Google Scholar] [CrossRef] [PubMed]
- Christopher, M.; Chenu, K.; Jennings, R.; Fletcher, S.; Butler, D.; Borrell, A.; Christopher, J. QTL for stay-green traits in wheat in well-watered and water-limited environments. Field Crops Res. 2018, 217, 32–44. [Google Scholar] [CrossRef]
- Bogard, M.; Jourdan, M.; Allard, V.; Martre, P.; Perretant, M.R.; Ravel, C.; Heumez, E.; Orford, S.; Snape, J.; Griffiths, S.; et al. Anthesis date mainly explained correlations between post-anthesis leaf senescence, grain yield, and grain protein concentration in a winter wheat population segregating for flowering time QTLs. J. Exp. Bot. 2011, 62, 3621–3636. [Google Scholar] [CrossRef]
- Hyles, J.; Bloomfield, M.T.; Hunt, J.R.; Trethowan, R.M.; Trevaskis, B. Phenology and related traits for wheat adaptation. Heredity 2020, 125, 417–430. [Google Scholar] [CrossRef]
- Zadocks, J.C.; Chang, T.T.; Konzak, C.F. A decimal code for the growth stages of cereals. Weed Res. 1974, 14, 415–421. [Google Scholar] [CrossRef]
- Jia, Y.; Liu, G.; Jia, M.H.; McClung, A.M. Registration of a Rice Gene Mapping Population of Lemont × Jasmine 85 Recombinant Inbred Lines. J. Plant Reg. 2015, 9, 128–132. [Google Scholar] [CrossRef]
- Houshmandfar, A.; Ota, N.; O’Leary, G.J.; Zheng, B.; Chen, Y.; Tausz-Posch, S.; Fitzgerald, G.J.; Richards, R.; Rebetzke, G.J.; Tausz, M. A reduced-tillering trait shows small but important yield gains in dryland wheat production. Glob. Chang. Biol. 2020, 26, 4056–4067. [Google Scholar] [CrossRef]
- Shah, L.; Yahya, M.; Shah, S.M.A.; Nadeem, M.; Ali, A.; Wang, J.; Riaz, M.W.; Rehman, S.; Wu, W.; Khan, R.M.; et al. Improving Lodging Resistance: Using Wheat and Rice as Classical Examples. Int. J. Mol. Sci. 2019, 20, 4211. [Google Scholar] [CrossRef]
- Hendriks, P.W.; Kirkegaard, J.A.; Lilley, J.M.; Gregory, P.J.; Rebetzke, G.J. A tillering inhibition gene influences root-shoot carbon partitioning and pattern of water use to improve wheat productivity in rainfed environments. J. Exp. Bot. 2016, 67, 327–340. [Google Scholar] [CrossRef]
- Kamran, A.; Iqbal, M.; Spaner, D. Flowering time in wheat (Triticum aestivum L.): A key factor for global adaptability. Euphytica 2014, 197, 1–26. [Google Scholar] [CrossRef]
- Hu, P.; Chapman, S.C.; Dreisigacker, S.; Sukumaran, S.; Reynolds, M.; Zheng, B. Using a gene-based phenology model to identify optimal flowering periods of spring wheat in irrigated mega-environments. J. Exp. Bot. 2021, 72, 7203–7218. [Google Scholar] [CrossRef] [PubMed]
- Talbert, L.E.; Lanning, S.P.; Murphy, R.L.; Martin, J.M. Grain Fill Duration in Twelve Hard Red Spring Wheat Crosses. Crop Sci. 2001, 41, 1390–1395. [Google Scholar] [CrossRef]
- Kusuma, P.; Bugbee, B. Improving the Predictive Value of Phytochrome Photoequilibrium: Consideration of Spectral Distortion Within a Leaf. Front. Plant Sci. 2021, 12, 596943. [Google Scholar] [CrossRef] [PubMed]
- Samborski, S.M.; Gozdowski, D.; Walsh, O.S.; Lamb, D.W.; Stępień, M.; Gacek, E.S.; Drzazga, T. Winter Wheat Genotype Effect on Canopy Reflectance: Implications for Using NDVI for In-Season Nitrogen Topdressing Recommendations. Agron. J. 2015, 107, 2097–2106. [Google Scholar] [CrossRef]
- Cheng, E.; Zhang, B.; Peng, D.; Zhong, L.; Yu, L.; Liu, Y.; Xiao, C.; Li, C.; Li, X.; Chen, Y.; et al. Wheat yield estimation using remote sensing data based on machine learning approaches. Front. Plant Sci. 2022, 13, 1090970. [Google Scholar] [CrossRef] [PubMed]
- Fei, S.; Hassan, M.A.; Xiao, Y.; Su, X.; Chen, Z.; Cheng, Q.; Duan, F.; Chen, R.; Ma, Y. UAV-based multi-sensor data fusion and machine learning algorithm for yield prediction in wheat. Precis. Agric. 2023, 24, 187–212. [Google Scholar] [CrossRef]
- Zhang, L.; Jin, J.; Wang, L.; Rehman, T.U.; Gee, M.T. Elimination of Leaf Angle Impacts on Plant Reflectance Spectra Using Fusion of Hyperspectral Images and 3D Point Clouds. Sensors 2023, 23, 44. [Google Scholar] [CrossRef]
- Mamaghani, B.; Saunders, M.G.; Salvaggio, C. Inherent Reflectance Variability of Vegetation. Agriculture 2019, 9, 246. [Google Scholar] [CrossRef]
- Gu, Y.; Wylie, B.K.; Howard, D.M.; Phuyal, K.P.; Ji, L. NDVI saturation adjustment: A new approach for improving cropland performance estimates in the Greater Platte River Basin, USA. Ecol. Indic. 2013, 30, 1–6. [Google Scholar] [CrossRef]
- Lu, S.; Lu, F.; You, W.; Wang, Z.; Liu, Y.; Omasa, K. A robust vegetation index for remotely assessing chlorophyll content of dorsiventral leaves across several species in different seasons. Plant Methods 2018, 14, 15. [Google Scholar] [CrossRef]












| Object Distance (Altitude above Ground Level) | Grand Resolution (mm per Pixel) | |
|---|---|---|
| (a) | 122 m | 72.36 |
| 213.4 m | 126.54 | |
| 365.8 m | 216.91 | |
| (b) | Sensor Dimention | 6.59 × 4.9 mm |
| Pixel Size | 5 micron | |
| Camera Lens Focal Length | 8.43 mm |
| No of RILS | Flowering Time (Days) | Tiller Length (cm) | |
|---|---|---|---|
| Determinate | 88 | 65–70 | 12–15 |
| Indeterminate | 94 | 70–75 | 25–35 |
Disclaimer/Publisher’s Note: The statements, opinions and data contained in all publications are solely those of the individual author(s) and contributor(s) and not of MDPI and/or the editor(s). MDPI and/or the editor(s) disclaim responsibility for any injury to people or property resulting from any ideas, methods, instructions or products referred to in the content. |
© 2024 by the authors. Licensee MDPI, Basel, Switzerland. This article is an open access article distributed under the terms and conditions of the Creative Commons Attribution (CC BY) license (https://creativecommons.org/licenses/by/4.0/).
Share and Cite
Zahra, S.; Ruiz, H.; Jung, J.; Adams, T. UAV-Based Phenotyping: A Non-Destructive Approach to Studying Wheat Growth Patterns for Crop Improvement and Breeding Programs. Remote Sens. 2024, 16, 3710. https://doi.org/10.3390/rs16193710
Zahra S, Ruiz H, Jung J, Adams T. UAV-Based Phenotyping: A Non-Destructive Approach to Studying Wheat Growth Patterns for Crop Improvement and Breeding Programs. Remote Sensing. 2024; 16(19):3710. https://doi.org/10.3390/rs16193710
Chicago/Turabian StyleZahra, Sabahat, Henry Ruiz, Jinha Jung, and Tyler Adams. 2024. "UAV-Based Phenotyping: A Non-Destructive Approach to Studying Wheat Growth Patterns for Crop Improvement and Breeding Programs" Remote Sensing 16, no. 19: 3710. https://doi.org/10.3390/rs16193710
APA StyleZahra, S., Ruiz, H., Jung, J., & Adams, T. (2024). UAV-Based Phenotyping: A Non-Destructive Approach to Studying Wheat Growth Patterns for Crop Improvement and Breeding Programs. Remote Sensing, 16(19), 3710. https://doi.org/10.3390/rs16193710

