Algorithm for Designing Waveforms Similar to Linear Frequency Modulation Using Polyphase-Coded Frequency Modulation
Abstract
1. Introduction
2. Problem Formulation
3. Problem Optimization
3.1. Discretizing the Objective Function
3.2. Gradient Descent
| Algorithm 1: Gradient optimization of . | |
| Step | Operation |
| 1: | Input: |
| 2: | Initialize: |
| 3: | Repeat |
| 4: | Evaluate: and using Equations (24) and (26) |
| 5: | |
| 6: | If |
| 7: | |
| 8: | End (If) |
| 9: | While |
| 10: | |
| 11: | End (While) |
| 12: | |
| 13: | |
| 14: | Until i = I |
| 15: | Output: x |
4. Simulations and Performance Analysis
4.1. Parameters Setting
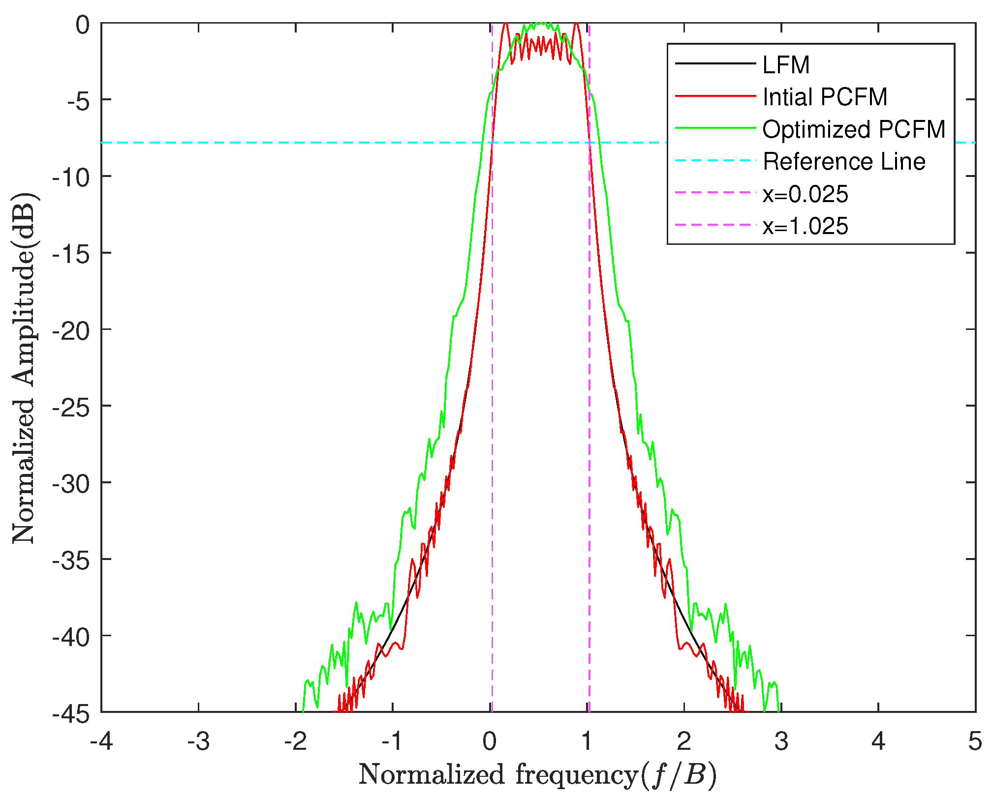
4.2. Results Analysis
4.2.1. Influence of p-Norm
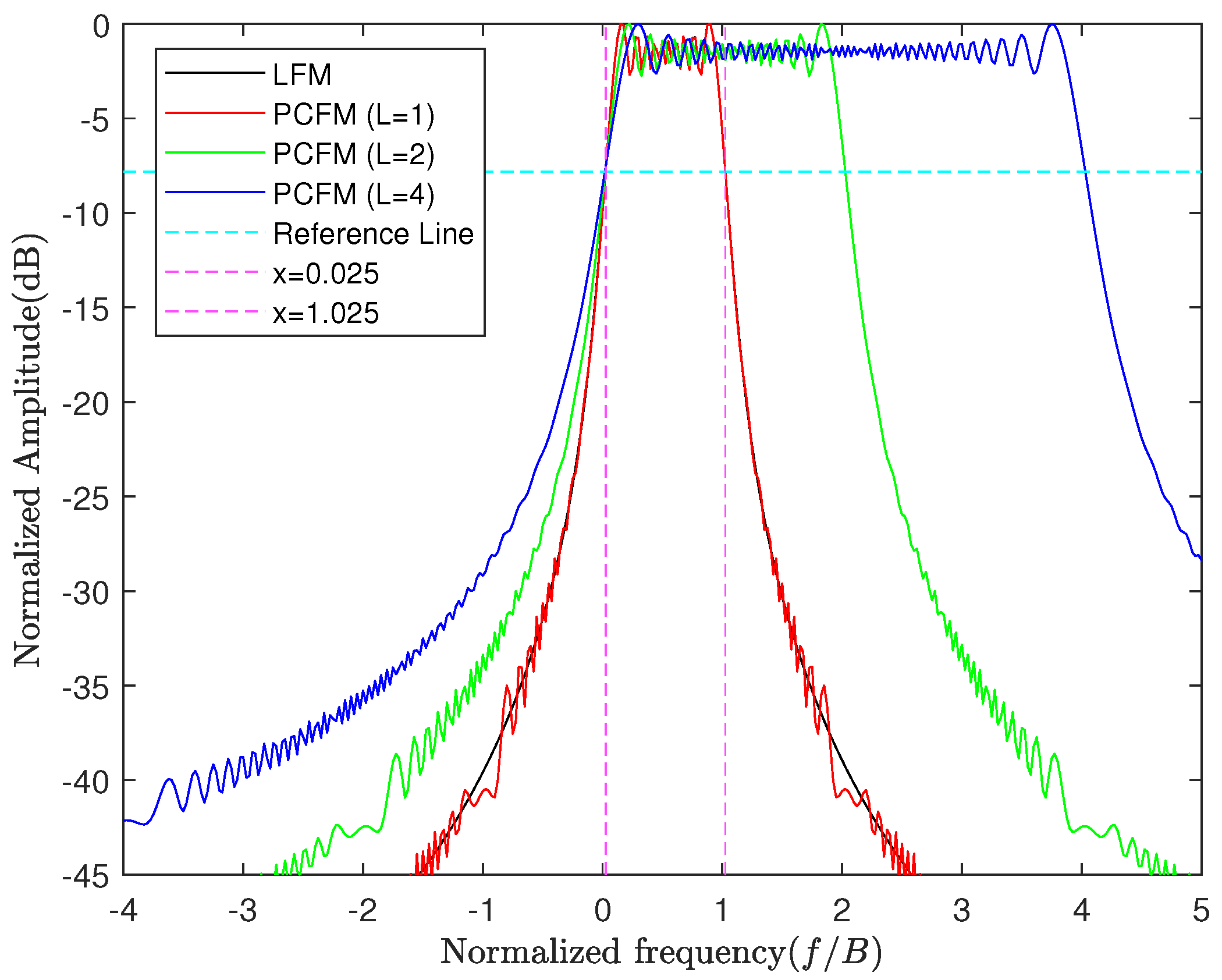
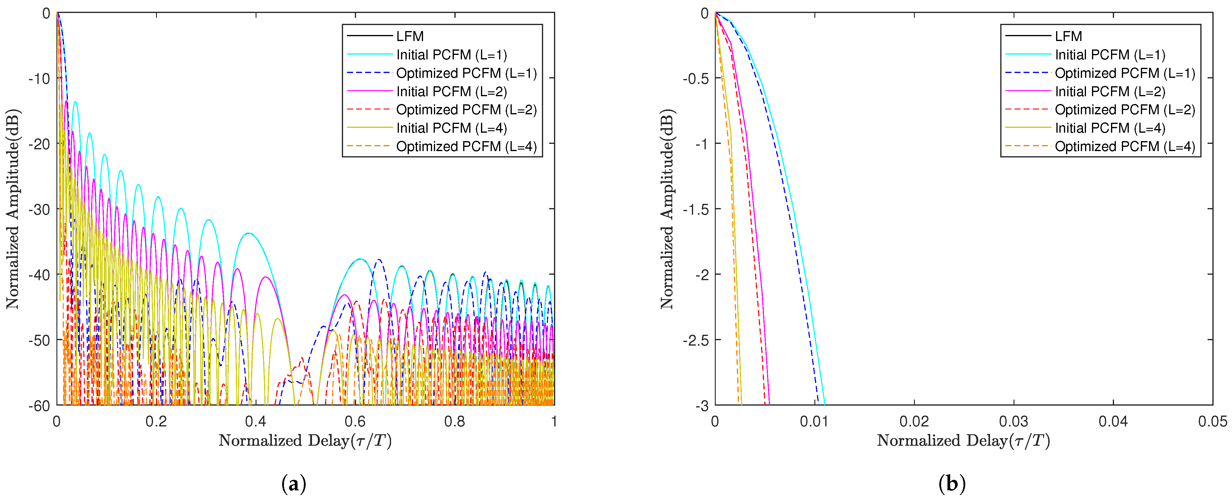
4.2.2. Influence of L
4.2.3. Influence of σ
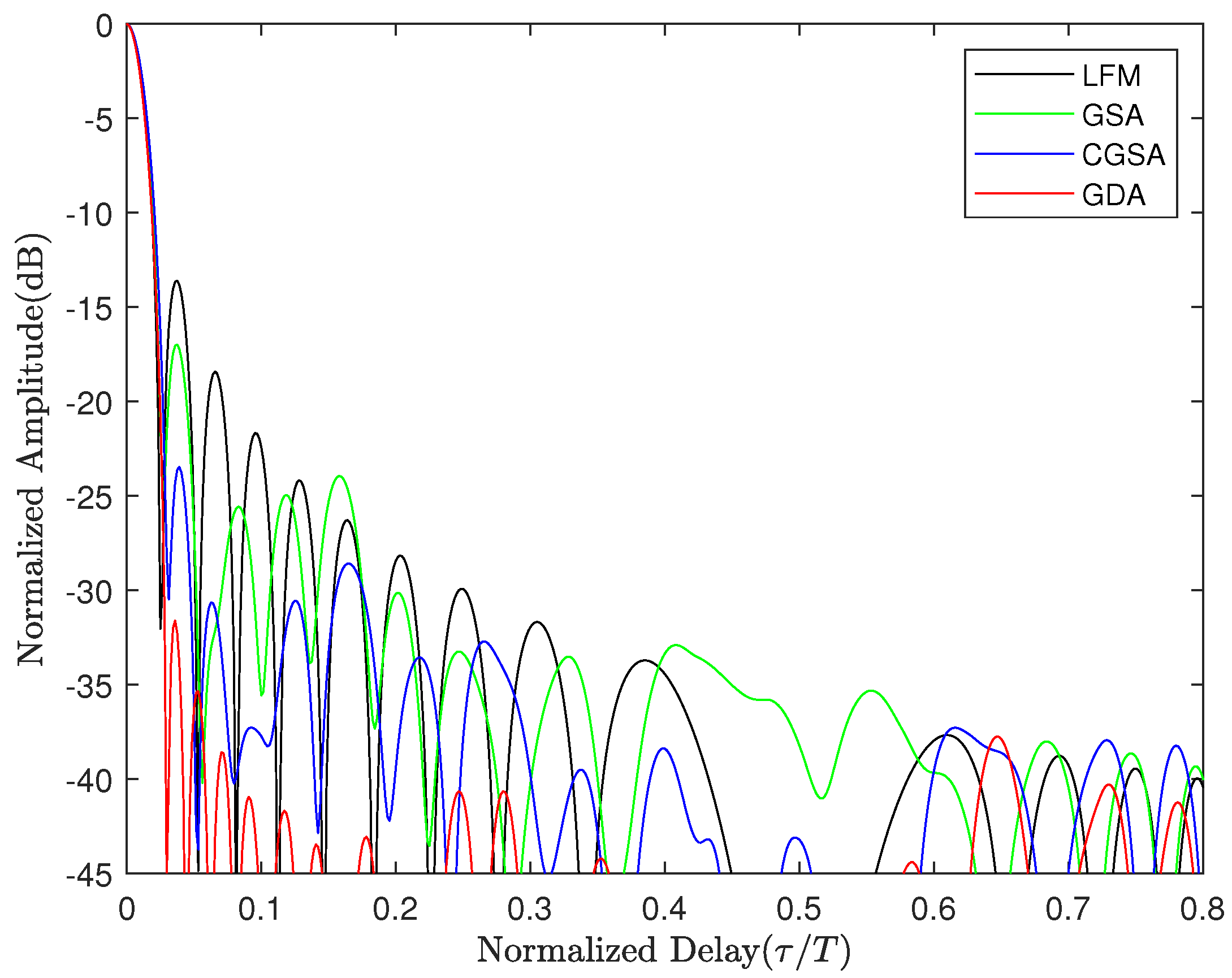
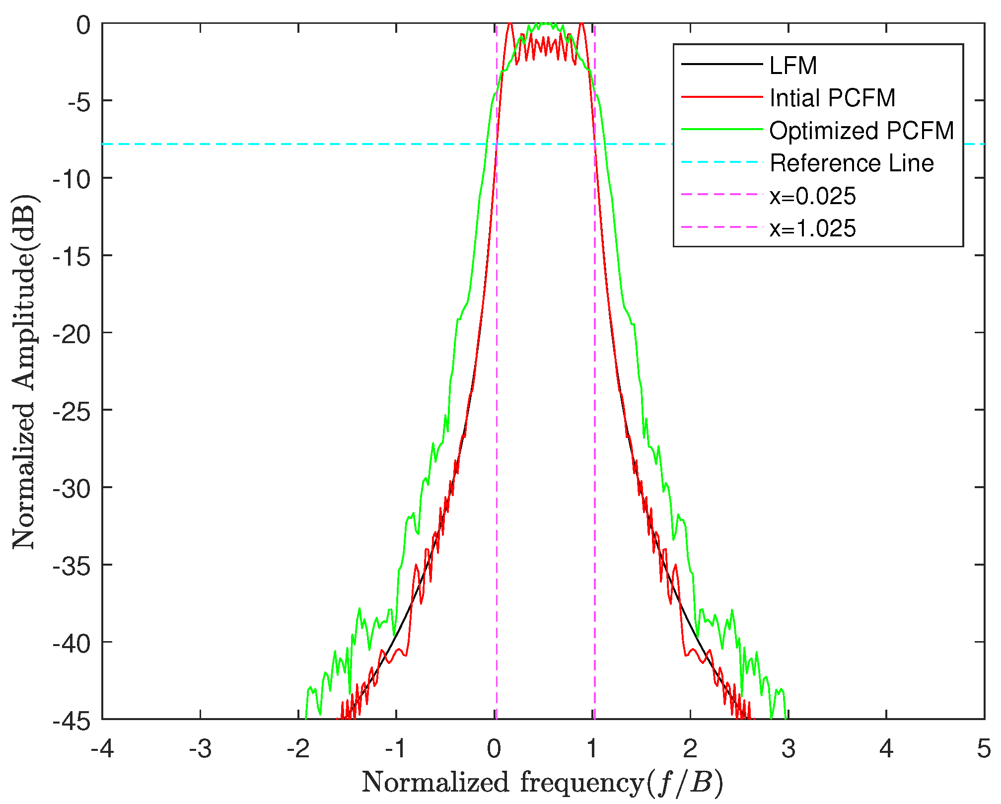
4.2.4. Algorithm Comparison
5. Conclusions
Author Contributions
Funding
Institutional Review Board Statement
Informed Consent Statement
Data Availability Statement
Acknowledgments
Conflicts of Interest
Appendix A
References
- Jakabosky, J.; Anglin, P.; Cook, M.R.; Blunt, S.D.; Stiles, J. Non-linear FM waveform design using marginal Fisher’s information within the CPM framework. In Proceedings of the 2011 IEEE RadarCon (RADAR), Kansas City, MO, USA, 23–27 May 2011; IEEE: Piscataway, NJ, USA, 2011; pp. 513–518. [Google Scholar]
- Jakabosky, J.; Blunt, S.D.; Cook, M.R.; Stiles, J.; Seguin, S.A. Transmitter-in-the-loop optimization of physical radar emissions. In Proceedings of the 2012 IEEE Radar Conference, Atlanta, GA, USA, 7–11 May 2012; IEEE: Piscataway, NJ, USA, 2012; pp. 874–879. [Google Scholar]
- Levanon, N.; Mozeson, E. Radar Signals; John Wiley & Sons: Hoboken, NJ, USA, 2004. [Google Scholar]
- Fowle, E. The design of FM pulse compression signals. IEEE Trans. Inf. Theory 1964, 10, 61–67. [Google Scholar] [CrossRef]
- de Buda, R. Stationary phase approximations of FM spectra. IEEE Trans. Inf. Theory 1966, 12, 305–311. [Google Scholar] [CrossRef]
- Collins, T.; Atkins, P. Nonlinear frequency modulation chirps for active sonar. IEE Proc.-Radar Sonar Navig. 1999, 146, 312–316. [Google Scholar] [CrossRef]
- Kroszczynski, J.J. Pulse compression by means of linear-period modulation. Proc. IEEE 1969, 57, 1260–1266. [Google Scholar] [CrossRef]
- Doerry, A.W. Generating Nonlinear FM Chirp Waveforms for Radar; Technical Report, SAND2006-5856; Sandia National Laboratories (SNL): Albuquerque, NM, USA; Livermore, CA, USA, 2006. [Google Scholar] [CrossRef]
- Gladkova, I. Design of frequency modulated waveforms via the Zak transform. IEEE Trans. Aerosp. Electron. Syst. 2004, 40, 355–359. [Google Scholar] [CrossRef]
- Johnston, J.; Fairhead, A. Waveform design and Doppler sensitivity analysis for nonlinear FM chirp pulses. In IEE Proceedings F (Communications, Radar and Signal Processing); IET: London, UK, 1986; Volume 133, pp. 163–175. [Google Scholar]
- Blunt, S.D.; Mokole, E.L. Overview of radar waveform diversity. IEEE Aerosp. Electron. Syst. Mag. 2016, 31, 2–42. [Google Scholar] [CrossRef]
- Hu, J.; Dong, X.; Tian, W.; Hu, C.; Feng, K.; Lu, J. A Novel Optimization Strategy of Sidelobe Suppression for Pulse Compression Weather Radar. Remote Sens. 2023, 15, 3188. [Google Scholar] [CrossRef]
- Duan, T.; Liang, H.; Dai, Z.; Yue, L. High-Resolution Wideband Waveform Design for Sonar Based on Multi-Parameter Modulation. Remote Sens. 2023, 15, 4603. [Google Scholar] [CrossRef]
- Richards, M. Principles of Modern Radar: Basic Principles; SciTech Publishing: Raleigh, NC, USA, 2010. [Google Scholar]
- Coxson, G.; Russo, J. Efficient exhaustive search for optimal-peak-sidelobe binary codes. IEEE Trans. Aerosp. Electron. Syst. 2005, 41, 302–308. [Google Scholar] [CrossRef]
- Nunn, C.J.; Coxson, G.E. Polyphase pulse compression codes with optimal peak and integrated sidelobes. IEEE Trans. Aerosp. Electron. Syst. 2009, 45, 775–781. [Google Scholar] [CrossRef]
- Blunt, S.D.; Cook, M.; Jakabosky, J.; De Graaf, J.; Perrins, E. Polyphase-coded FM (PCFM) radar waveforms, part I: Implementation. IEEE Trans. Aerosp. Electron. Syst. 2014, 50, 2218–2229. [Google Scholar] [CrossRef]
- Wang, F.; Li, N.; Pang, C.; Li, Y.; Wang, X. Algorithm for Designing PCFM Waveforms for Simultaneously Polarimetric Radars. IEEE Trans. Geosci. Remote Sens. 2023, 62, 1–16. [Google Scholar] [CrossRef]
- Blunt, S.D.; Jakabosky, J.; Cook, M.; Stiles, J.; Seguin, S.; Mokole, E. Polyphase-coded FM (PCFM) radar waveforms, part II: Optimization. IEEE Trans. Aerosp. Electron. Syst. 2014, 50, 2230–2241. [Google Scholar] [CrossRef]
- Mohr, C.A.; McCormick, P.M.; Topliff, C.A.; Blunt, S.D.; Baden, J.M. Gradient-based optimization of PCFM radar waveforms. IEEE Trans. Aerosp. Electron. Syst. 2020, 57, 935–956. [Google Scholar] [CrossRef]
- McCormick, P.M.; Blunt, S.D. Nonlinear conjugate gradient optimization of polyphase-coded FM radar waveforms. In Proceedings of the 2017 IEEE Radar Conference (RadarConf), Seattle, WA, USA, 8–12 May 2017; IEEE: Piscataway, NJ, USA, 2017; pp. 1675–1680. [Google Scholar]
- Zhao, D.; Wei, Y.; Liu, Y. PCFM radar waveform design with spectral and correlation considerations. IEEE Trans. Aerosp. Electron. Syst. 2017, 53, 2885–2898. [Google Scholar] [CrossRef]
- Song, J.; Babu, P.; Palomar, D.P. Sequence design to minimize the weighted integrated and peak sidelobe levels. IEEE Trans. Signal Process. 2015, 64, 2051–2064. [Google Scholar] [CrossRef]
- Kerahroodi, M.A.; Aubry, A.; De Maio, A.; Naghsh, M.M.; Modarres-Hashemi, M. A coordinate-descent framework to design low PSL/ISL sequences. IEEE Trans. Signal Process. 2017, 65, 5942–5956. [Google Scholar] [CrossRef]
- Mohr, C.A.; McCormick, P.M.; Blunt, S.D. Optimized complementary waveform subsets within an FM noise radar CPI. In Proceedings of the 2018 IEEE Radar Conference (RadarConf18), Oklahoma City, OK, USA, 23–27 April 2018; IEEE: Piscataway, NJ, USA, 2018; pp. 687–692. [Google Scholar]
- Mohr, C.A.; Blunt, S.D. Analytical spectrum representation for physical waveform optimization requiring extreme fidelity. In Proceedings of the 2019 IEEE Radar Conference (RadarConf), Toulon, France, 23–27 September 2019; IEEE: Piscataway, NJ, USA, 2019; pp. 1–6. [Google Scholar]
- Owen, J.; Mohr, C.; Blunt, S.D.; Gallagher, K. Nonlinear radar via intermodulation of jointly optimized FM noise waveform pairs. In Proceedings of the 2019 IEEE Radar Conference (RadarConf), Toulon, France, 23–27 September 2019; IEEE: Piscataway, NJ, USA, 2019; pp. 1–6. [Google Scholar]
- Mohr, C.A.; McCormick, P.M.; Blunt, S.D.; Mott, C. Spectrally-efficient FM noise radar waveforms optimized in the logarithmic domain. In Proceedings of the 2018 IEEE Radar Conference (RadarConf18), Oklahoma City, OK, USA, 23–27 April 2018; IEEE: Piscataway, NJ, USA, 2018; pp. 839–844. [Google Scholar]
- Mohr, C.A.; Blunt, S.D. FM noise waveforms optimized according to a temporal template error (TTE) metric. In Proceedings of the 2019 IEEE Radar Conference (RadarConf), Toulon, France, 23–27 September 2019; IEEE: Piscataway, NJ, USA, 2019; pp. 1–6. [Google Scholar]
- Mohr, C.A.; Blunt, S.D. Design and generation of stochastically defined, pulsed FM noise waveforms. In Proceedings of the 2019 International Radar Conference (RADAR), Toulon, France, 23–27 September 2019; IEEE: Piscataway, NJ, USA, 2019; pp. 1–6. [Google Scholar]
- Aulin, T.; Rydbeck, N.; Sundberg, C.E. Continuous phase modulation-Part II: Partial response signaling. IEEE Trans. Commun. 1981, 29, 210–225. [Google Scholar] [CrossRef]
- McCormick, P.M.; Blunt, S.D. Gradient-based coded-FM waveform design using Legendre polynomials. In Proceedings of the International Conference on Radar Systems (Radar 2017), Belfast, UK, 23–26 October 2017. [Google Scholar]
- Ghadimi, E.; Feyzmahdavian, H.R.; Johansson, M. Global convergence of the heavy-ball method for convex optimization. In Proceedings of the 2015 European Control Conference (ECC), Linz, Austria, 15–17 July 2015; IEEE: Piscataway, NJ, USA, 2015; pp. 310–315. [Google Scholar]
- Lewis, B.L.; Kretschmer, F.F. Linear frequency modulation derived polyphase pulse compression codes. IEEE Trans. Aerosp. Electron. Syst. 1982, AES-18, 637–641. [Google Scholar] [CrossRef]
- Lewis, B.; Kretschmer, F. A new class of polyphase pulse compression codes and techniques. IEEE Trans. Aerosp. Electron. Syst. 1981, AES-17, 364–372. [Google Scholar] [CrossRef]









| LFM (dB) | Initial PCFM (dB) | Optimized PCFM (dB) | |
|---|---|---|---|
| −13.6011 | −13.6016 | −31.6202 | |
| −13.6011 | −13.4988 | −32.1821 | |
| −13.6011 | −13.4733 | −40.8512 |
| 1 | 2 | 3 | |
|---|---|---|---|
| 0.9984 | 0.8369 | 0.8317 | |
| 0.1905 | 0.2150 | 0.6552 | |
| 0.1090 | 0.1055 | 0.4948 |
| LFM | GSA | CGSA | GDA | |
|---|---|---|---|---|
| PSL (dB) | −13.6011 | −16.9854 | −23.4733 | −31.6202 |
| 1.0000 | 0.8453 | 0.5812 | 0.8371 |
Disclaimer/Publisher’s Note: The statements, opinions and data contained in all publications are solely those of the individual author(s) and contributor(s) and not of MDPI and/or the editor(s). MDPI and/or the editor(s) disclaim responsibility for any injury to people or property resulting from any ideas, methods, instructions or products referred to in the content. |
© 2024 by the authors. Licensee MDPI, Basel, Switzerland. This article is an open access article distributed under the terms and conditions of the Creative Commons Attribution (CC BY) license (https://creativecommons.org/licenses/by/4.0/).
Share and Cite
Wang, P.; Wang, Z.; You, P.; An, M. Algorithm for Designing Waveforms Similar to Linear Frequency Modulation Using Polyphase-Coded Frequency Modulation. Remote Sens. 2024, 16, 3664. https://doi.org/10.3390/rs16193664
Wang P, Wang Z, You P, An M. Algorithm for Designing Waveforms Similar to Linear Frequency Modulation Using Polyphase-Coded Frequency Modulation. Remote Sensing. 2024; 16(19):3664. https://doi.org/10.3390/rs16193664
Chicago/Turabian StyleWang, Pengpeng, Zhan Wang, Peng You, and Mengyun An. 2024. "Algorithm for Designing Waveforms Similar to Linear Frequency Modulation Using Polyphase-Coded Frequency Modulation" Remote Sensing 16, no. 19: 3664. https://doi.org/10.3390/rs16193664
APA StyleWang, P., Wang, Z., You, P., & An, M. (2024). Algorithm for Designing Waveforms Similar to Linear Frequency Modulation Using Polyphase-Coded Frequency Modulation. Remote Sensing, 16(19), 3664. https://doi.org/10.3390/rs16193664

