A Novel Strategy Coupling Optimised Sampling with Heterogeneous Ensemble Machine-Learning to Predict Landslide Susceptibility
Abstract
1. Introduction
2. Study Region and Sources of Data
2.1. Overview of the Study Region and Source
2.2. Data Preparation and Analysis
2.2.1. Landslide Inventory
2.2.2. Landslide Impact Factors
2.3. Assessment Units
3. Methodology
3.1. Landslide Susceptibility Modelling Process
3.2. Optimised Sampling Approach for Non-Landslide Samples
3.2.1. Reliability of Non-Landslide Samples
Environmental Similarity of the Discrete Factors
Environmental Similarity of the Continuous Factors
Comprehensive Environmental Similarity
Calculation of Reliability of Non-Landslide Samples
3.2.2. Calculation of the CF Value
3.2.3. Unified Scalar Overlay Approach
3.3. Machine-Learning Model
3.3.1. Random Forest Model
3.3.2. Support Vector Machine Model
3.3.3. Back Propagation Neural Network Model
3.3.4. Heterogeneous Ensemble Machine-Learning Model
3.4. Validation of Landslide Susceptibility Prediction
4. Results and Analysis
4.1. Impact Factors Classification and Frequency Ratio
4.1.1. Topography
4.1.2. Geology
4.1.3. Human Engineering Activities
4.1.4. Meteorology and Hydrology
4.1.5. Geographic Environment
4.2. Multicollinearity Detection among Factors
4.3. Sample Selection Results
4.4. Machine Learning Parameter Settings
4.5. Prediction of Landslide Susceptibility
5. Validation of Prediction Models
6. Discussions and Reflections
6.1. Feature Importance of Factors
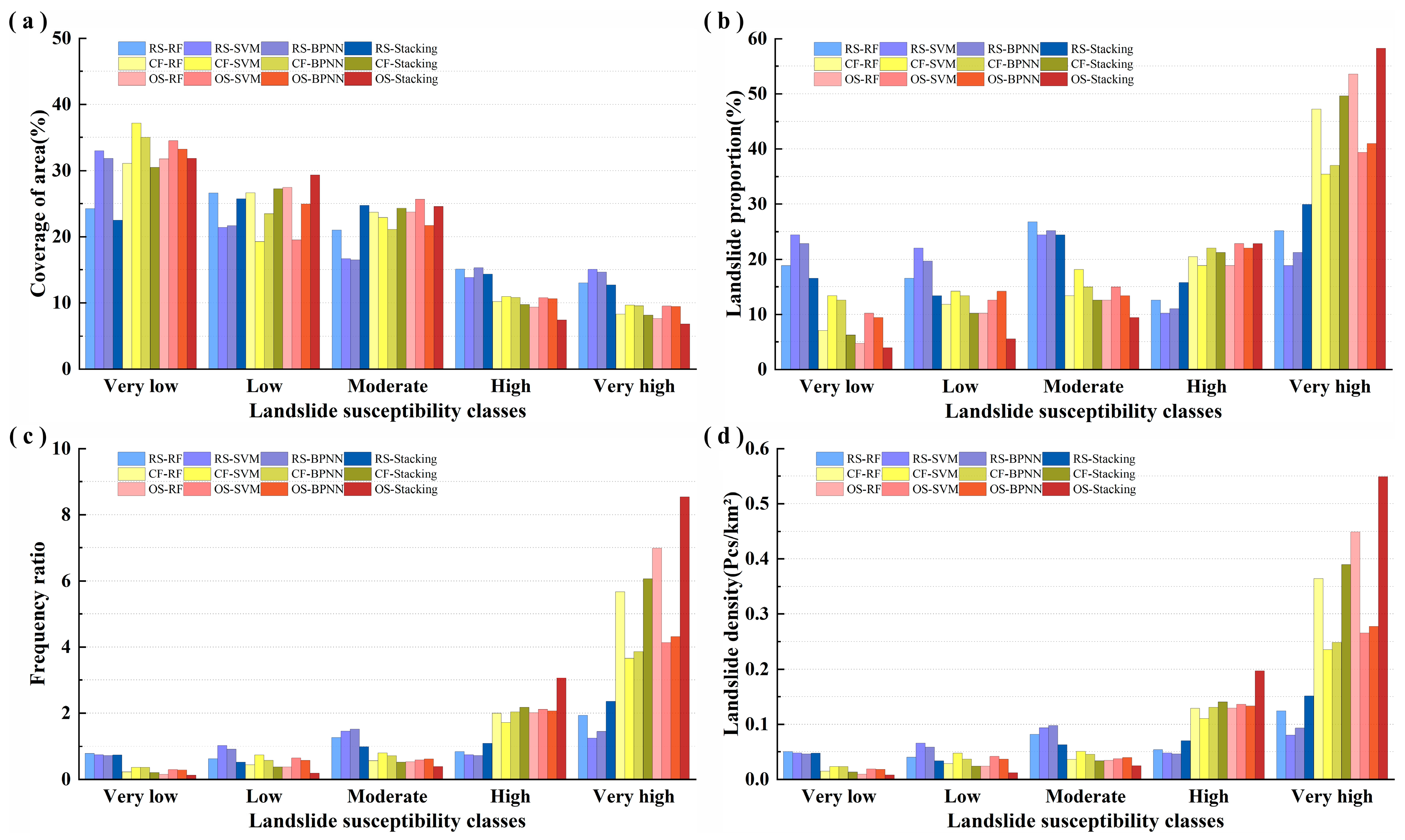
6.2. Comparison of Susceptibility-Zoning Statistics
6.3. Limitations and Ambiguities in Our Research
7. Conclusions
- By combining the reliability of non-landslide samples on the basis of environmental similarity and susceptibility zoning using the CF model, the OS method introduced in our study significantly enhanced the quality of negative samples. Also, it improved the accuracy of landslide susceptibility prediction compared with the conventional sampling methods.
- The stacking ensemble machine learning proposed in our study outperformed the baseline models (RF, SVM, and BPNN) in terms of accuracy, precision, recall, AUC, and F1-score by leveraging the strengths of the selected baseline models and employing logistic regression strategy to construct a prediction model with better performance.
- According to the zoning statistics of the landslide susceptibility maps produced by 12 prediction models and a comparative analysis with the historical landslides, the OS–Stacking model had the lowest coverage of high- and very-high-susceptibility areas, which was 14.25% only, while the historical landslides were most-distributed in the above areas, accounting for 81.10%. It was further verified that the integrated approach, the OS–Stacking model, which combined the OS method and stacking machine learning, was superior to the other hybrid models in terms of predicting precision and accuracy.
Author Contributions
Funding
Data Availability Statement
Acknowledgments
Conflicts of Interest
References
- Wu, S.; Ma, S.; Wang, H.; Wang, L.; Jiang, J. Spatiotemporal variations of ecosystem service value in the hill and mountain belt of southern China across different altitude gradients. Chin. J. Ecol. 2023, 42, 966. [Google Scholar]
- Sun, D.L.; Gu, Q.Y.; Wen, H.J.; Xu, J.H.; Zhang, Y.L.; Shi, S.X.; Xue, M.M.; Zhou, X.Z. Assessment of landslide susceptibility along mountain highways based on different machine learning algorithms and mapping units by hybrid factors screening and sample optimization. Gondwana Res. 2023, 123, 89–106. [Google Scholar] [CrossRef]
- Gorsevski, P.V.; Jankowski, P.; Gessler, P.E. An heuristic approach for mapping landslide hazard by integrating fuzzy logic with analytic hierarchy process. Control Cybern. 2006, 35, 121–146. [Google Scholar]
- Yang, H.; Robert, F.A.; Dalia, B.; George, H. Capacity Building for Disaster Prevention in Vulnerable Regions of the World: Development of a Prototype Global Flood/Landslide Prediction System. Disaster Adv. 2010, 3, 14–19. [Google Scholar]
- Ciurleo, M.; Ferlisi, S.; Foresta, V.; Mandaglio, M.C.; Moraci, N. Landslide Susceptibility Analysis by Applying TRIGRS to a Reliable Geotechnical Slope Model. Geosciences 2022, 12, 18. [Google Scholar] [CrossRef]
- Lin, W.; Yin, K.L.; Wang, N.T.; Xu, Y.; Guo, Z.Z.; Li, Y.Y. Landslide hazard assessment of rainfall-induced landslide based on the CF-SINMAP model: A case study from Wuling Mountain in Hunan Province, China. Nat. Hazards 2021, 106, 679–700. [Google Scholar] [CrossRef]
- Teixeira, M.; Bateira, C.; Marques, F.; Vieira, B. Physically based shallow translational landslide susceptibility analysis in Tibo catchment, NW of Portugal. Landslides 2015, 12, 455–468. [Google Scholar] [CrossRef]
- Zhang, H.R.; Zhang, G.F.; Jia, Q.W. Integration of Analytical Hierarchy Process and Landslide Susceptibility Index Based Landslide Susceptibility Assessment of the Pearl River Delta Area, China. IEEE J. Sel. Top. Appl. Earth Obs. Remote Sens. 2019, 12, 4239–4251. [Google Scholar] [CrossRef]
- Hong, H.Y.; Pourghasemi, H.R.; Pourtaghi, Z.S. Landslide susceptibility assessment in Lianhua County (China): A comparison between a random forest data mining technique and bivariate and multivariate statistical models. Geomorphology 2016, 259, 105–118. [Google Scholar] [CrossRef]
- Zhang, S.; Wang, F.W. Three-dimensional seismic slope stability assessment with the application of Scoops3D and GIS: A case study in Atsuma, Hokkaido. Geoenvironmental Disasters 2019, 6, 9. [Google Scholar] [CrossRef]
- Liu, S.L.; Wang, L.Q.; Zhang, W.A.; He, Y.W.; Pijush, S. A comprehensive review of machine learning-based methods in landslide susceptibility mapping. Geol. J. 2023, 58, 2283–2301. [Google Scholar] [CrossRef]
- Ng, C.W.W.; Yang, B.; Liu, Z.Q.; Kwan, J.S.H.; Chen, L. Spatiotemporal modelling of rainfall-induced landslides using machine learning. Landslides 2021, 18, 2499–2514. [Google Scholar] [CrossRef]
- Matougui, Z.; Djerbal, L.; Bahar, R. A comparative study of heterogeneous and homogeneous ensemble approaches for landslide susceptibility assessment in the Djebahia region, Algeria. Environ. Sci. Pollut. Res. 2023, 31, 40554–40580. [Google Scholar] [CrossRef] [PubMed]
- Dou, J.; Yunus, A.P.; Bui, D.T.; Merghadi, A.; Sahana, M.; Zhu, Z.F.; Chen, C.W.; Han, Z.; Pham, B.T. Improved landslide assessment using support vector machine with bagging, boosting, and stacking ensemble machine learning framework in a mountainous watershed, Japan. Landslides 2020, 17, 641–658. [Google Scholar] [CrossRef]
- Hu, X.D.; Mei, H.B.; Zhang, H.; Li, Y.Y.; Li, M.D. Performance evaluation of ensemble learning techniques for landslide susceptibility mapping at the Jinping county, Southwest China. Nat. Hazards 2021, 105, 1663–1689. [Google Scholar] [CrossRef]
- Guo, R.C.; Yu, L.Y.; Zhang, R.; Yuan, C.; He, P. Landslide Hazard Assessment Based on Improved Stacking Model. J. Appl. Sci. Eng. 2023, 27, 2383–2392. [Google Scholar] [CrossRef]
- Yu, L.B.; Wang, Y.; Pradhan, B. Enhancing landslide susceptibility mapping incorporating landslide typology via stacking ensemble machine learning in Three Gorges Reservoir, China. Geosci. Front. 2024, 15, 101802. [Google Scholar] [CrossRef]
- Oh, H.J.; Lee, S.; Hong, S.M. Landslide Susceptibility Assessment Using Frequency Ratio Technique with Iterative Random Sampling. J. Sens. 2017, 2017, 3730913. [Google Scholar] [CrossRef]
- Pradhan, B.; Lee, S. Landslide susceptibility assessment and factor effect analysis: Backpropagation artificial neural networks and their comparison with frequency ratio and bivariate logistic regression modelling. Environ. Model. Softw. 2010, 25, 747–759. [Google Scholar] [CrossRef]
- Xi, C.J.; Han, M.; Hu, X.W.; Liu, B.; He, K.; Luo, G.; Cao, X.C. Effectiveness of Newmark-based sampling strategy for coseismic landslide susceptibility mapping using deep learning, support vector machine, and logistic regression. Bull. Eng. Geol. Environ. 2022, 81, 174. [Google Scholar] [CrossRef]
- Dou, H.Q.; He, J.B.; Huang, S.Y.; Jian, W.B.; Guo, C.X. Influences of non-landslide sample selection strategies on landslide susceptibility mapping by machine learning. Geomat. Nat. Hazards Risk 2023, 14, 2285719. [Google Scholar] [CrossRef]
- Huang, F.M.; Yin, K.L.; Huang, J.S.; Gui, L.; Wang, P. Landslide susceptibility mapping based on self-organizing-map network and extreme learning machine. Eng. Geol. 2017, 223, 11–22. [Google Scholar] [CrossRef]
- Liu, L.L.; Zhang, Y.L.; Zhang, S.H.; Shu, B.; Xiao, T. Machine learning with a susceptibility index-based sampling strategy for landslide susceptibility assessment. Geocarto Int. 2022, 37, 15683–15713. [Google Scholar] [CrossRef]
- Kavzoglu, T.; Sahin, E.K.; Colkesen, I. Landslide susceptibility mapping using GIS-based multi-criteria decision analysis, support vector machines, and logistic regression. Landslides 2014, 11, 425–439. [Google Scholar] [CrossRef]
- Rabby, Y.W.; Li, Y.K.; Hilafu, H. An objective absence data sampling method for landslide susceptibility mapping. Sci. Rep. 2023, 13, 1740. [Google Scholar] [CrossRef] [PubMed]
- Lin, G.F.; Chang, M.J.; Huang, Y.C.; Ho, J.Y. Assessment of susceptibility to rainfall-induced landslides using improved self-organizing linear output map, support vector machine, and logistic regression. Eng. Geol. 2017, 224, 62–74. [Google Scholar] [CrossRef]
- Long, J.J.; Liu, Y.; Li, C.D.; Fu, Z.Y.; Zhang, H.K. A novel model for regional susceptibility mapping of rainfall-reservoir induced landslides in Jurassic slide-prone strata of western Hubei Province, Three Gorges Reservoir area. Stoch. Environ. Res. Risk Assess. 2021, 35, 1403–1426. [Google Scholar] [CrossRef]
- Ye, C.M.; Tang, R.; Wei, R.L.; Guo, Z.X.; Zhang, H.J. Generating accurate negative samples for landslide susceptibility mapping: A combined self-organizing-map and one-class SVM method. Front. Earth Sci. 2023, 10, 1054027. [Google Scholar] [CrossRef]
- Hong, H.Y.; Wang, D.S.; Zhu, A.X.; Wang, Y. Landslide susceptibility mapping based on the reliability of landslide and non-landslide sample. Expert Syst. Appl. 2024, 243, 122933. [Google Scholar] [CrossRef]
- Xu, Q.L.; Li, W.H.; Liu, J.; Wang, X. A geographical similarity-based sampling method of non-fire point data for spatial prediction of forest fires. For. Ecosyst. 2023, 1, 100104. [Google Scholar] [CrossRef]
- Zhu, A.X.; Miao, Y.M.; Liu, J.Z.; Bai, S.B.; Zeng, C.Y.; Ma, T.W.; Hong, H.Y. A similarity-based approach to sampling absence data for landslide susceptibility mapping using data-driven methods. CATENA 2019, 183, 104188. [Google Scholar] [CrossRef]
- Huan, Y.K.; Song, L.; Khan, U.; Zhang, B.Y. Stacking ensemble of machine learning methods for landslide susceptibility mapping in Zhangjiajie City, Hunan Province, China. Environ. Earth Sci. 2023, 82, 35. [Google Scholar] [CrossRef]
- Zhang, B.Y.; Tang, J.C.; Huan, Y.K.; Song, L.; Shah, S.Y.A.; Wang, L.F. Multi-scale convolutional neural networks (CNNs) for landslide inventory mapping from remote sensing imagery and landslide susceptibility mapping (LSM). Geomat. Nat. Hazards Risk 2024, 15, 2383309. [Google Scholar] [CrossRef]
- Sheng, Y.F.; Li, Y.Y.; Xu, G.L.; Li, Z.G. Threshold assessment of rainfall-induced landslides in Sangzhi County: Statistical analysis and physical model. Bull. Eng. Geol. Environ. 2022, 81, 388. [Google Scholar] [CrossRef]
- Pham, B.T.; Trung, N.T.; Qi, C.C.; Phong, T.V.; Dou, J.; Ho, L.S.; Le, H.V.; Prakash, I. Coupling RBF neural network with ensemble learning techniques for landslide susceptibility mapping. CATENA 2020, 195, 104805. [Google Scholar] [CrossRef]
- Wang, X.L.; Zhang, L.Q.; Wang, S.J.; Lari, S. Regional landslide susceptibility zoning with considering the aggregation of landslide points and the weights of factors. Landslides 2014, 11, 399–409. [Google Scholar] [CrossRef]
- Zêzere, J.L.; Pereira, S.; Melo, R.; Oliveira, S.C.; Garcia, R.A.C. Mapping landslide susceptibility using data-driven methods. Sci. Total Environ. 2017, 589, 250–267. [Google Scholar] [CrossRef]
- Gu, T.F.; Li, J.; Wang, M.G.; Duan, P. Landslide susceptibility assessment in Zhenxiong County of China based on geographically weighted logistic regression model. Geocarto Int. 2022, 37, 4952–4973. [Google Scholar] [CrossRef]
- Mind’je, R.; Li, L.H.; Nsengiyumva, J.B.; Mupenzi, C.; Nyesheja, E.M.; Kayumba, P.M.; Gasirabo, A.; Hakorimana, E. Landslide susceptibility and influencing factors analysis in Rwanda. Environ. Dev. Sustain. 2020, 22, 7985–8012. [Google Scholar] [CrossRef]
- Zhang, J.Y.; Ma, X.L.; Zhang, J.L.; Sun, D.L.; Zhou, X.Z.; Mi, C.L.; Wen, H.J. Insights into geospatial heterogeneity of landslide susceptibility based on the SHAP-XGBoost model. J. Environ. Manag. 2023, 332, 117357. [Google Scholar] [CrossRef] [PubMed]
- Reichenbach, P.; Rossi, M.; Malamud, B.D.; Mihir, M.; Guzzetti, F. A review of statistically-based landslide susceptibility models. Earth-Sci. Rev. 2018, 180, 60–91. [Google Scholar] [CrossRef]
- Yang, J.T.; Song, C.; Yang, Y.; Xu, C.D.; Guo, F.; Xie, L. New method for landslide susceptibility mapping supported by spatial logistic regression and GeoDetector: A case study of Duwen Highway Basin, Sichuan Province, China. Geomorphology 2019, 324, 62–71. [Google Scholar] [CrossRef]
- Zhao, Y.; Wang, R.; Jiang, Y.J.; Liu, H.J.; Wei, Z.L. GIS-based logistic regression for rainfall-induced landslide susceptibility mapping under different grid sizes in Yueqing, Southeastern China. Eng. Geol. 2019, 259, 105147. [Google Scholar] [CrossRef]
- Ma, W.L.; Dong, J.H.; Wei, Z.X.; Peng, L.; Wu, Q.H.; Wang, X.; Dong, Y.D.; Wu, Y.Z. Landslide susceptibility assessment using the certainty factor and deep neural network. Front. Earth Sci. 2023, 10, 1091560. [Google Scholar] [CrossRef]
- Khan, H.; Shafique, M.; Khan, M.A.; Bacha, M.A.; Shah, S.U.; Calligaris, C. Landslide susceptibility assessment using Frequency Ratio, a case study of northern Pakistan. Egypt. J. Remote Sens. Space Sci. 2019, 22, 11–24. [Google Scholar] [CrossRef]
- Lee, S.; Pradhan, B. Landslide hazard mapping at Selangor, Malaysia using frequency ratio and logistic regression models. Landslides 2007, 4, 33–41. [Google Scholar] [CrossRef]
- Li, L.P.; Lan, H.X.; Guo, C.B.; Zhang, Y.S.; Li, Q.W.; Wu, Y.M. A modified frequency ratio method for landslide susceptibility assessment. Landslides 2017, 14, 727–741. [Google Scholar] [CrossRef]
- Colubi, A.; González-Rodríguez, G.; Domínguez-Cuesta, M.J.; Jiménez-Sánchez, M. Favorability functions based on kernel density estimation for logistic models: A case study. Comput. Stat. Data Anal. 2008, 52, 4533–4543. [Google Scholar] [CrossRef]
- Domínguez-Cuesta, M.J.; Jiménez-Sánchez, M.; Colubi, A.; González-Rodríguez, G. Modelling shallow landslide susceptibility: A new approach in logistic regression by using favourability assessment. Int. J. Earth Sci. 2010, 99, 661–674. [Google Scholar] [CrossRef]
- Liu, J.K.; Shih, P.T.Y. Topographic Correction of Wind-Driven Rainfall for Landslide Analysis in Central Taiwan with Validation from Aerial and Satellite Optical Images. Remote Sens. 2013, 5, 2571–2589. [Google Scholar] [CrossRef]
- Shortliffe, E.H.; Buchanan, B.G. A model of inexact reasoning in medicine. Math. Biosci. 1975, 23, 351–379. [Google Scholar] [CrossRef]
- Chen, F.; Yu, B.; Xu, C.; Li, B. Landslide detection using probability regression, a case study of Wenchuan, northwest of Chengdu. Appl. Geogr. 2017, 89, 32–40. [Google Scholar] [CrossRef]
- Kim, J.C.; Lee, S.; Jung, H.S.; Lee, S. Landslide susceptibility mapping using random forest and boosted tree models in Pyeong-Chang, Korea. Geocarto Int. 2018, 33, 1000–1015. [Google Scholar] [CrossRef]
- Shirvani, Z.; Abdi, O.; Buchroithner, M. A Synergetic Analysis of Sentinel-1 and-2 for Mapping Historical Landslides Using Object-Oriented Random Forest in the Hyrcanian Forests. Remote Sens. 2019, 11, 2300. [Google Scholar] [CrossRef]
- Zhang, Q.H.; Liang, Z.; Liu, W.; Peng, W.P.; Huang, H.Z.; Zhang, S.W.; Chen, L.W.; Jiang, K.H.; Liu, L.X. Landslide Susceptibility Prediction: Improving the Quality of Landslide Samples by Isolation Forests. Sustainability 2022, 14, 16692. [Google Scholar] [CrossRef]
- Stumpf, A.; Kerle, N. Object-oriented mapping of landslides using Random Forests. Remote Sens. Environ. 2011, 115, 2564–2577. [Google Scholar] [CrossRef]
- Chen, W.; Pourghasemi, H.R.; Naghibi, S.A. A comparative study of landslide susceptibility maps produced using support vector machine with different kernel functions and entropy data mining models in China. Bull. Eng. Geol. Environ. 2018, 77, 647–664. [Google Scholar] [CrossRef]
- Hong, H.Y.; Pradhan, B.; Bui, D.T.; Xu, C.; Youssef, A.M.; Chen, W. Comparison of four kernel functions used in support vector machines for landslide susceptibility mapping: A case study at Suichuan area (China). Geomat. Nat. Hazards Risk 2017, 8, 544–569. [Google Scholar] [CrossRef]
- Huang, Y.; Zhao, L. Review on landslide susceptibility mapping using support vector machines. CATENA 2018, 165, 520–529. [Google Scholar] [CrossRef]
- Saha, S.; Saha, A.; Hembram, T.K.; Kundu, B.; Sarkar, R. Novel ensemble of deep learning neural network and support vector machine for landslide susceptibility mapping in Tehri region, Garhwal Himalaya. Geocarto Int. 2022, 37, 17018–17043. [Google Scholar] [CrossRef]
- Marjanovic, M.; Kovacevic, M.; Bajat, B.; Vozenílek, V. Landslide susceptibility assessment using SVM machine learning algorithm. Eng. Geol. 2011, 123, 225–234. [Google Scholar] [CrossRef]
- Chen, H.Q.; Zeng, Z.G. Deformation Prediction of Landslide Based on Improved Back-propagation Neural Network. Cogn. Comput. 2013, 5, 56–62. [Google Scholar] [CrossRef]
- Neaupane, K.M.; Achet, S.H. Use of backpropagation neural network for landslide monitoring: A case study in the higher Himalaya. Eng. Geol. 2004, 74, 213–226. [Google Scholar] [CrossRef]
- Ramakrishnan, D.; Singh, T.N.; Verma, A.K.; Gulati, A.; Tiwari, K.C. Soft computing and GIS for landslide susceptibility assessment in Tawaghat area, Kumaon Himalaya, India. Nat. Hazards 2013, 65, 315–330. [Google Scholar] [CrossRef]
- Ran, Y.F.; Xiong, G.C.; Li, S.S.; Ye, L.Y. Study on deformation prediction of landslide based on genetic algorithm and improved BP neural network. Kybernetes 2010, 39, 1245–1254. [Google Scholar] [CrossRef]
- Zhang, Y.G.; Tang, J.; Liao, R.P.; Zhang, M.F.; Zhang, Y.; Wang, X.M.; Su, Z.Y. Application of an enhanced BP neural network model with water cycle algorithm on landslide prediction. Stoch. Environ. Res. Risk Assess. 2021, 35, 1273–1291. [Google Scholar] [CrossRef]
- Fang, Z.C.; Wang, Y.; Peng, L.; Hong, H.Y. A comparative study of heterogeneous ensemble-learning techniques for landslide susceptibility mapping. Int. J. Geogr. Inf. Sci. 2021, 35, 321–347. [Google Scholar] [CrossRef]
- Lee, S.M.; Lee, S.J. Landslide susceptibility assessment of South Korea using stacking ensemble machine learning. Geoenvironmental Disasters 2024, 11, 7. [Google Scholar] [CrossRef]
- Wang, Y.M.; Feng, L.W.; Li, S.J.; Ren, F.; Du, Q.Y. A hybrid model considering spatial heterogeneity for landslide susceptibility mapping in Zhejiang Province, China. CATENA 2020, 188, 104425. [Google Scholar] [CrossRef]
- Zeng, T.R.; Wu, L.Y.; Peduto, D.; Glade, T.; Hayakawa, Y.S.; Yin, K.L. Ensemble learning framework for landslide susceptibility mapping: Different basic classifier and ensemble strategy. Geosci. Front. 2023, 14, 101645. [Google Scholar] [CrossRef]
- Chau, K.T.; Chan, J.E. Regional bias of landslide data in generating susceptibility maps using logistic regression: Case of Hong Kong Island. Landslides 2005, 2, 280–290. [Google Scholar] [CrossRef]
- Budimir, M.E.A.; Atkinson, P.M.; Lewis, H.G. A systematic review of landslide probability mapping using logistic regression. Landslides 2015, 12, 419–436. [Google Scholar] [CrossRef]
- Xie, W.; Nie, W.; Saffari, P.; Robledo, L.F.; Descote, P.Y.; Jian, W.B. Landslide hazard assessment based on Bayesian optimization-support vector machine in Nanping City, China. Nat. Hazards 2021, 109, 931–948. [Google Scholar] [CrossRef]
- He, L.F.; Coggan, J.; Francioni, M.; Eyre, M. Maximizing Impacts of Remote Sensing Surveys in Slope Stability-A Novel Method to Incorporate Discontinuities into Machine Learning Landslide Prediction. ISPRS Int. J. Geo-Inf. 2021, 10, 232. [Google Scholar] [CrossRef]
- Zhao, Z.A.; He, Y.; Yao, S.; Yang, W.; Wang, W.H.; Zhang, L.F.; Sun, Q. A comparative study of different neural network models for landslide susceptibility mapping. Adv. Space Res. 2022, 70, 383–401. [Google Scholar] [CrossRef]
- Fawcett, T. An introduction to ROC analysis. Pattern Recognit. Lett. 2006, 27, 861–874. [Google Scholar] [CrossRef]
- Lee, S.; Chwae, U.; Min, K.D. Landslide susceptibility mapping by correlation between topography and geological structure: The Janghung area, Korea. Geomorphology 2002, 46, 149–162. [Google Scholar] [CrossRef]
- Jiang, X.; Xu, D.P.; Rong, J.J.; Ai, X.Y.; Ai, S.H.; Su, X.Q.; Sheng, M.H.; Yang, S.Q.; Zhang, J.J.; Ai, Y.W. Landslide and aspect effects on artificial soil organic carbon fractions and the carbon pool management index on road-cut slopes in an alpine region. CATENA 2021, 199, 105094. [Google Scholar] [CrossRef]
- Tay, L.T.; Alkhasawneh, M.S.; Ngah, U.K.; Lateh, H. Landslide Hazard Mapping with Selected Dominant Factors: A Study Case of Penang Island, Malaysia. In Proceedings of the International Conference on Mathematics, Engineering and Industrial Applications (ICoMEIA), Penang, Malaysia, 28–30 May 2014. [Google Scholar]
- Wang, Y.; Sun, D.L.; Wen, H.J.; Zhang, H.; Zhang, F.T. Comparison of Random Forest Model and Frequency Ratio Model for Landslide Susceptibility Mapping (LSM) in Yunyang County (Chongqing, China). Int. J. Environ. Res. Public Health 2020, 17, 4206. [Google Scholar] [CrossRef]
- Li, J.Y.; Wang, W.D.; Li, Y.E.; Han, Z.; Chen, G.Q. Spatiotemporal Landslide Susceptibility Mapping Incorporating the Effects of Heavy Rainfall: A Case Study of the Heavy Rainfall in August 2021 in Kitakyushu, Fukuoka, Japan. Water 2021, 13, 3312. [Google Scholar] [CrossRef]
- Pradhan, A.M.S.; Kim, Y.T. Rainfall-Induced Shallow Landslide Susceptibility Mapping at Two Adjacent Catchments Using Advanced Machine Learning Algorithms. ISPRS Int. J. Geo-Inf. 2020, 9, 569. [Google Scholar] [CrossRef]
- Ye, P.; Yu, B.; Chen, W.H.; Liu, K.; Ye, L.Z. Rainfall-induced landslide susceptibility mapping using machine learning algorithms and comparison of their performance in Hilly area of Fujian Province, China. Nat. Hazards 2022, 113, 965–995. [Google Scholar] [CrossRef]
- Bravo-López, E.; Del Castillo, T.F.; Sellers, C.; Delgado-García, J. Analysis of Conditioning Factors in Cuenca, Ecuador, for Landslide Susceptibility Maps Generation Employing Machine Learning Methods. Land 2023, 12, 1135. [Google Scholar] [CrossRef]
- Liao, M.Y.; Wen, H.J.; Yang, L. Identifying the essential conditioning factors of landslide susceptibility models under different grid resolutions using hybrid machine learning: A case of Wushan and Wuxi counties, China. CATENA 2022, 217, 106428. [Google Scholar] [CrossRef]
- Liu, L.L.; Yang, C.; Wang, X.M. Landslide susceptibility assessment using feature selection-based machine learning models. Geomech. Eng. 2021, 25, 1–16. [Google Scholar] [CrossRef]
- Zhou, X.Z.; Wen, H.J.; Zhang, Y.L.; Xu, J.H.; Zhang, W.G. Landslide susceptibility mapping using hybrid random forest with GeoDetector and RFE for factor optimization. Geosci. Front. 2021, 12, 101211. [Google Scholar] [CrossRef]
- Wang, Y.; Lin, Q.G.; Shi, P.J. Spatial pattern and influencing factors of landslide casualty events. J. Geogr. Sci. 2018, 28, 259–274. [Google Scholar] [CrossRef]
- Yao, Z.W.; Chen, M.H.; Zhan, J.W.; Zhuang, J.Q.; Sun, Y.M.; Yu, Q.B.; Yu, Z.Y. Refined Landslide Susceptibility Mapping by Integrating the SHAP-CatBoost Model and InSAR Observations: A Case Study of Lishui, Southern China. Appl. Sci. 2023, 13, 12817. [Google Scholar] [CrossRef]
- Zhang, F.Y.; Huang, X.W. Trend and spatiotemporal distribution of fatal landslides triggered by non-seismic effects in China. Landslides 2018, 15, 1663–1674. [Google Scholar] [CrossRef]
- Bhagya, S.B.; Sumi, A.S.; Balaji, S.; Danumah, J.H.; Costache, R.; Rajaneesh, A.; Gokul, A.; Chandrasenan, C.P.; Quevedo, R.P.; Johny, A.; et al. Landslide Susceptibility Assessment of a Part of the Western Ghats (India) Employing the AHP and F-AHP Models and Comparison with Existing Susceptibility Maps. Land 2023, 12, 468. [Google Scholar] [CrossRef]
- Goto, E.A.; Clarke, K. Using expert knowledge to map the level of risk of shallow landslides in Brazil. Nat. Hazards 2021, 108, 1701–1729. [Google Scholar] [CrossRef]
- Peng, L.; Xu, S.N.; Hou, J.W.; Peng, J.H. Quantitative risk analysis for landslides: The case of the Three Gorges area, China. Landslides 2015, 12, 943–960. [Google Scholar] [CrossRef]
- Li, H.; Mao, Z.J.; Sun, J.W.; Zhong, J.X.; Shi, S.J. Landslide Susceptibility Mapping Using Weighted Linear Combination: A Case of Gucheng Town in Ningxia, China. Geotech. Geol. Eng. 2023, 41, 1247–1273. [Google Scholar] [CrossRef]
- Pham, B.T.; Vu, V.D.; Costache, R.; Phong, T.V.; Ngo, T.Q.; Tran, T.H.; Nguyen, H.D.; Amiri, M.; Tan, M.T.; Trinh, P.T.; et al. Landslide susceptibility mapping using state-of-the-art machine learning ensembles. Geocarto Int. 2022, 37, 5175–5200. [Google Scholar] [CrossRef]
- Wang, S.B.; Zhuang, J.Q.; Zheng, J.; Fan, H.Y.; Kong, J.X.; Zhan, J.W. Application of Bayesian Hyperparameter Optimized Random Forest and XGBoost Model for Landslide Susceptibility Mapping. Front. Earth Sci. 2021, 9, 712240. [Google Scholar] [CrossRef]
- Zhang, N.F.; Zhang, W.; Liao, K.; Zhu, H.H.; Li, Q.; Wang, J.T. Deformation prediction of reservoir landslides based on a Bayesian optimized random forest-combined Kalman filter. Environ. Earth Sci. 2022, 81, 197. [Google Scholar] [CrossRef]
- Zhou, C.; Wang, Y.; Cao, Y.; Singh, R.P.; Ahmed, B.; Motagh, M.; Wang, Y.; Chen, L.; Tan, G.C.; Li, S.S. Enhancing landslide susceptibility modelling through a novel non-landslide sampling method and ensemble learning technique. Geocarto Int. 2024, 39, 2327463. [Google Scholar] [CrossRef]
- Chang, K.T.; Merghadi, A.; Yunus, A.P.; Pham, B.T.; Dou, J. Evaluating scale effects of topographic variables in landslide susceptibility models using GIS-based machine learning techniques. Sci. Rep. 2019, 9, 12296. [Google Scholar] [CrossRef] [PubMed]
- Wang, Y.; Fang, Z.C.; Hong, H.Y. Comparison of convolutional neural networks for landslide susceptibility mapping in Yanshan County, China. Sci. Total Environ. 2019, 666, 975–993. [Google Scholar] [CrossRef]
- Dai, W.; Yang, X.; Na, J.M.; Li, J.W.; Brus, D.; Xiong, L.Y.; Tang, G.A.; Huang, X.L. Effects of DEM resolution on the accuracy of gully maps in loess hilly areas. CATENA 2019, 177, 114–125. [Google Scholar] [CrossRef]
- Sharma, N.; Saharia, M.; Ramana, G.V. High resolution landslide susceptibility mapping using ensemble machine learning and geospatial big data. CATENA 2024, 235, 107653. [Google Scholar] [CrossRef]
- Corominas, J.; van Westen, C.; Frattini, P.; Cascini, L.; Malet, J.P.; Fotopoulou, S.; Catani, F.; Van Den Eeckhaut, M.; Mavrouli, O.; Agliardi, F.; et al. Recommendations for the quantitative analysis of landslide risk. Bull. Eng. Geol. Environ. 2014, 73, 209–263. [Google Scholar] [CrossRef]
- Nurwatik, N.; Ummah, M.H.; Cahyono, A.B.; Darminto, M.R.; Hong, J.H. A Comparison Study of Landslide Susceptibility Spatial Modeling Using Machine Learning. ISPRS Int. J. Geo-Inf. 2022, 11, 602. [Google Scholar] [CrossRef]
- Ba, Q.Q.; Chen, Y.M.; Deng, S.S.; Yang, J.X.; Li, H.F. A comparison of slope units and grid cells as mapping units for landslide susceptibility assessment. Earth Sci. Inform. 2018, 11, 373–388. [Google Scholar] [CrossRef]
- Hussin, H.Y.; Zumpano, V.; Reichenbach, P.; Sterlacchini, S.; Micu, M.; van Westen, C.; Balteanu, D. Different landslide sampling strategies in a grid-based bi-variate statistical susceptibility model. Geomorphology 2016, 253, 508–523. [Google Scholar] [CrossRef]
- Wen, H.; Zhao, S.Y.; Liang, Y.H.; Wang, S.; Tao, L.; Xie, J.R. Landslide development and susceptibility along the Yunling-Yanjing segment of the Lancang River using grid and slope units. Nat. Hazards 2024, 120, 6149–6168. [Google Scholar] [CrossRef]
- Shao, X.Y.; Ma, S.Y.; Xu, C.; Zhou, Q. Effects of sampling intensity and non-slide/slide sample ratio on the occurrence probability of coseismic landslides. Geomorphology 2020, 363, 107222. [Google Scholar] [CrossRef]
- Yang, C.; Liu, L.L.; Huang, F.M.; Huang, L.; Wang, X.M. Machine learning-based landslide susceptibility assessment with optimized ratio of landslide to non-landslide samples. Gondwana Res. 2023, 123, 198–216. [Google Scholar] [CrossRef]















| Groups | Factors | Descriptions | Data Sources |
|---|---|---|---|
| Topography | Elevation | ASTER GDEM V2, 30 m resolution | http://www.gscloud.cn/ (accessed on 6 April 2024) |
| Slope | Obtained by using SAGA 7.0, 30 m resolution | Extracted by DEM | |
| Aspect | |||
| Curvature | |||
| Plane curvature | |||
| Profile curvature | |||
| Terrain roughness | |||
| TRI | |||
| TPI | |||
| RDLS | |||
| Geology | Distance to faults | Vector data | http://www.ngac.cn/ (accessed on 2 April 2024) |
| Engineering rock group | |||
| Meteorology and hydrology | Distance to rivers | Vector data | http://www.openstreetmap.org/ (accessed on 2 April 2024) |
| Rainfall | Interpolated from the online database, 1985–2020 | http://data.cma.cn/ (accessed on 2 April 2024) | |
| SPI | Obtained by using SAGA 7.0, 30 m resolution | Extracted by DEM | |
| TWI | |||
| Human activities | Distance to roads | Vector data | http://www.openstreetmap.org/ (accessed on 6 April 2024) |
| Population density | Reclassify to 30 m resolution | https://www.nasa.gov/ (accessed on 6 April 2024) | |
| LULC | 30 m resolution | http://www.resdc.cn/ (accessed on 2 April 2024) | |
| Geographic environment | Soil types | Reclassify to 30 m resolution | http://www.resdc.cn/ (accessed on 2 April 2024) |
| NDVI | Landsat 8, 30 m resolution | https://www.gscloud.cn/ (accessed on 6 April 2024) |
| Impact Factors | TOL | VIF | Impact Factors | TOL | VIF |
|---|---|---|---|---|---|
| Elevation | 0.485 | 2.062 | Distance to Faults | 0.718 | 1.393 |
| Slope angle | 0.250 | 3.502 | Engineering-Rock Group | 0.669 | 1.494 |
| Slope aspect | 0.651 | 1.536 | |||
| Slope curvature | 0.509 | 1.966 | Distance to Roads | 0.667 | 1.495 |
| Plane Curvature | 0.712 | 1.404 | Population Density | 0.774 | 1.292 |
| Profile Curvature | 0.714 | 1.401 | LULC | 0.364 | 2.750 |
| Terrain Roughness | 0.245 | 4.896 | Distance to Rivers | 0.736 | 1.357 |
| TRI | 0.317 | 4.398 | Rainfall | 0.733 | 1.362 |
| TPI | 0.745 | 1.342 | SPI | 0.436 | 2.291 |
| RDLS | 0.152 | 4.972 | TWI | 0.379 | 2.637 |
| NDVI | 0.375 | 2.665 | Soil types | 0.727 | 1.376 |
| Models | Precision | Accuracy | Recall | F1-Score |
|---|---|---|---|---|
| RS–RF | 0.767 | 0.755 | 0.768 | 0.761 |
| RS–SVM | 0.736 | 0.721 | 0.742 | 0.723 |
| RS–BPNN | 0.739 | 0.722 | 0.743 | 0.726 |
| RS–Stacking | 0.778 | 0.764 | 0.789 | 0.772 |
| CF–RF | 0.903 | 0.892 | 0.905 | 0.897 |
| CF–SVM | 0.878 | 0.865 | 0.882 | 0.866 |
| CF–BPNN | 0.881 | 0.869 | 0.884 | 0.874 |
| CF–Stacking | 0.911 | 0.898 | 0.915 | 0.902 |
| OS–RF | 0.924 | 0.901 | 0.927 | 0.908 |
| OS–SVM | 0.892 | 0.879 | 0.896 | 0.881 |
| OS–BPNN | 0.898 | 0.885 | 0.902 | 0.890 |
| OS–Stacking | 0.933 | 0.906 | 0.936 | 0.912 |
Disclaimer/Publisher’s Note: The statements, opinions and data contained in all publications are solely those of the individual author(s) and contributor(s) and not of MDPI and/or the editor(s). MDPI and/or the editor(s) disclaim responsibility for any injury to people or property resulting from any ideas, methods, instructions or products referred to in the content. |
© 2024 by the authors. Licensee MDPI, Basel, Switzerland. This article is an open access article distributed under the terms and conditions of the Creative Commons Attribution (CC BY) license (https://creativecommons.org/licenses/by/4.0/).
Share and Cite
Lu, Y.; Xu, H.; Wang, C.; Yan, G.; Huo, Z.; Peng, Z.; Liu, B.; Xu, C. A Novel Strategy Coupling Optimised Sampling with Heterogeneous Ensemble Machine-Learning to Predict Landslide Susceptibility. Remote Sens. 2024, 16, 3663. https://doi.org/10.3390/rs16193663
Lu Y, Xu H, Wang C, Yan G, Huo Z, Peng Z, Liu B, Xu C. A Novel Strategy Coupling Optimised Sampling with Heterogeneous Ensemble Machine-Learning to Predict Landslide Susceptibility. Remote Sensing. 2024; 16(19):3663. https://doi.org/10.3390/rs16193663
Chicago/Turabian StyleLu, Yongxing, Honggen Xu, Can Wang, Guanxi Yan, Zhitao Huo, Zuwu Peng, Bo Liu, and Chong Xu. 2024. "A Novel Strategy Coupling Optimised Sampling with Heterogeneous Ensemble Machine-Learning to Predict Landslide Susceptibility" Remote Sensing 16, no. 19: 3663. https://doi.org/10.3390/rs16193663
APA StyleLu, Y., Xu, H., Wang, C., Yan, G., Huo, Z., Peng, Z., Liu, B., & Xu, C. (2024). A Novel Strategy Coupling Optimised Sampling with Heterogeneous Ensemble Machine-Learning to Predict Landslide Susceptibility. Remote Sensing, 16(19), 3663. https://doi.org/10.3390/rs16193663

