Vegetation Water Content Retrieval from Spaceborne GNSS-R and Multi-Source Remote Sensing Data Using Ensemble Machine Learning Methods
Abstract
1. Introduction
- (1)
- On the basis of considering DDM, CYGNSS variables and surface auxiliary parameter information, the influence of images (BRCS, effective scattering area) was also considered.
- (2)
- We consider the importance of seasonal parameters in building a VWC retrieval model.
- (3)
- We explore the impact of different input strategies on the model, and it is proven that GNSS-R variables have a positive impact on improving the accuracy of VWC retrieval.
- (4)
- In addition to selecting Australia as the research area, we also selected southeastern South America and southeastern Africa to verify the applicability and universality of its model.
- (5)
- This article removes the influence of inland water bodies on VWC retrieval.
2. Dataset Description and Data Processing
2.1. Dataset Description
2.1.1. CYGNSS L1B Datasets
2.1.2. Reference and Validation Data
2.1.3. Auxiliary Data for the Retrieval Process
- (1)
- GPM IMERG precipitation product
- (2)
- ECMWF data
- (3)
- AMSRU data
- (4)
- Land cover data (MCD12C1)
- (5)
- GSW data
2.2. Quality Control of Spaceborne GNSS-R Observation Data and Reflectivity Calculate
2.2.1. Quality Control of GNSS-R Data
2.2.2. CYGNSS Reflectivity Calculation
3. Construction of Ensemble ML Model for Retrieval of VWC
4. Model Verification and Performance Analysis
4.1. Evaluation Indicators and Verification Strategies
4.2. Comparison with SMAP Data
4.3. Discussion
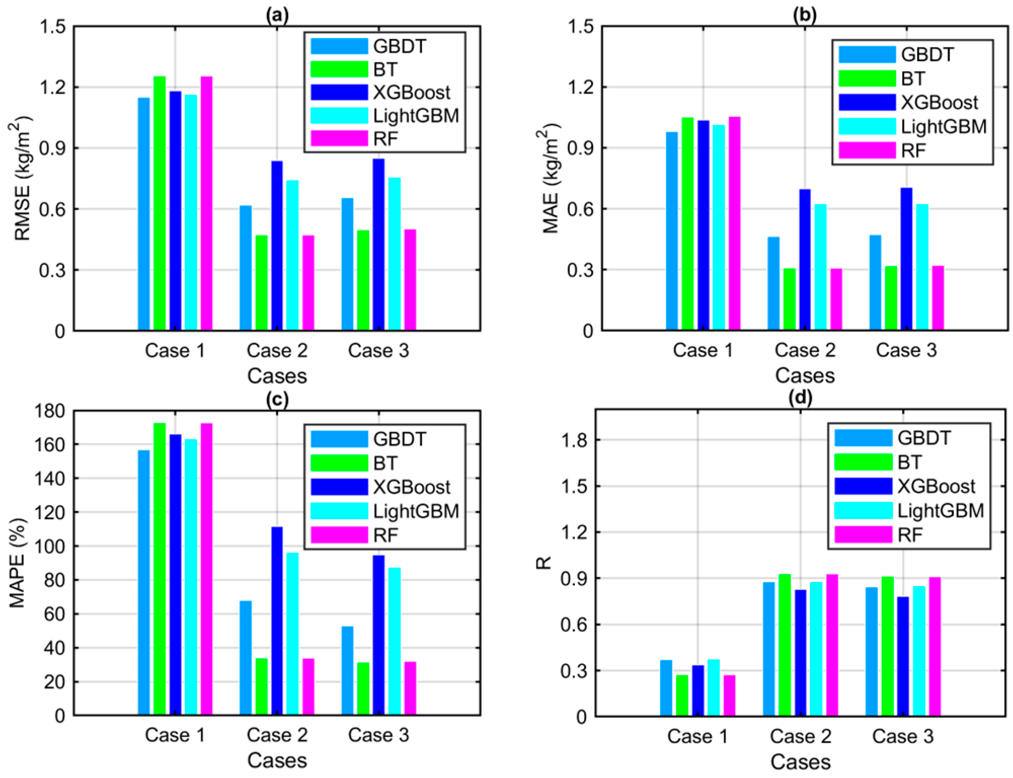
4.3.1. Performance Using Different Input Strategies
- (1)
- The position information of the SP, incidence angle, receiver antenna gain, RCG, and ERIP contribute to the retrieval of VWC (Case 1, Case 2). The RMSE of the corresponding five models in Case 2 is decreased by 46.19%, 62.42%, 29.05%, 36.16%, and 62.37%, respectively, compared to Case 1; MAE is decreased by 52.88%, 70.71%, 32.59%, 38.57%, and 70.80%, respectively; MAPE is decreased by 56.71%, 80.39%, 32.98%, 40.99%, and 80.31%, respectively. This improvement is clearly reasonable, and similar to some other studies on the retrieval of geophysical parameters from spaceborne GNSS-R. GNSS-R variables have a positive impact on improving the retrieval performance of geophysical parameters (e.g., SM) [49,77].
- (2)
- In addition to the GNSS-R variables, four surface auxiliary parameters (precipitation, SM, SST, and RC) were entered into five models in Case 3. We find that these four parameters have little effect on improving the accuracy of the model. Only the MAPE values of the five models are decreased by 22.24%, 7.05%, 14.88%, 9.27%, and 5.71%, respectively.
4.3.2. Cross-Validation Performance in Different Seasons
- (1)
- In spring, the GBDT model had the best retrieval performance for VWC, while the other models show a VWC retrieval performance of LightGBM > XGBoost > BT > RF. In terms of RMSE, the GBDT model improved the retrieval accuracy of VWC by 11.71%, 14.35%, 43.33%, and 46.15% compared to the LightGBM, XGBoost, BT and RF methods, respectively. In terms of MAE, the accuracy was improved by 13.11%, 10.96%, 32.97%, and 35.28%, respectively. In terms of MAPE, the accuracy was improved by 17.38%, 14.60%, 39.33%, and 41.98%, respectively. In terms of R value, the accuracy was improved by 2.89%, 3.91%, 12.75%, and 13.41%, respectively.
- (2)
- In summer, VWC retrieval performance was best for the RF model, followed by BT > LightGBM > GBDT > XGBoost, The RF model improved the accuracy in terms of RMSE by 1.04%, 2.67%, 9.27%, and 11.72% compared to the BT, LightGBM, GBDT and XGBoost models, respectively. In terms of R value, the accuracy improved by 0.26%, 1.64%, 3.67%, and 3.95%, respectively. In terms of MAE, the accuracy improved by 3.72%, and 9.66% and 11.21% compared to the LightGBM, GBDT and XGBoost models, respectively. In the autumn, the best VWC retrieval performance was achieved by the LightGBM model, followed by BT > XGBoost > RF > GBDT. The accuracy of the LightGBM model compared to the BT, XGBoost, RF, and GBDT models in terms of RMSE improved by 4.52%, 4.56%, 6.96%, and 29.14% respectively. In terms of R value, the accuracy was improved by 0.79%, 1.45%, 1.56%, and 10.78%, respectively. In terms of MAE, the accuracy was improved by 4.25%, 1.97%, and 31.27%, respectively, compared to XGBoost, RF, and GBDT.
- (3)
- In winter, the VWC retrieval performance showed LightGBM > XGBoost > GBDT > BT > RF, and the LightGBM model improved the accuracy in terms of RMSE by 9.34%, 15.03%, 18.01%, and 18.84% compared to the XGBoost, GBDT, BT, and RF models, respectively. In terms of MAE, the accuracy was improved by 8.83%, 21.80%, 14.35% and 16.02%, respectively. In terms of MAPE, the accuracy was improved by 8.22%, 40.19%, 13.18%, and 14.51%, respectively. In terms of R value, the accuracy was improved by 2.60%, 4.07%, 4.43%, and 4.64%, respectively.
4.3.3. Spatial Variations
4.3.4. Performance Comparison of Different Degrees of Vegetation Coverage
- (1)
- In low vegetation cover, the XGBoost model exhibits the highest accuracy in VWC retrieval among the five models, which corresponds to RMSE, MAE, R, and MAPE of 0.16 kg/m2, 0.09 kg/m2, 0.70, and 31.99%, respectively. Conversely, the worst retrieval accuracy is with the RF model, which corresponds to RMSE, MAE, R, and MAPE of 0.20 kg/m2, 0.11 kg/m2, 0.54, and 37.88%, respectively.
- (2)
- In medium vegetation cover, the RF model shows the best accuracy in retrieving VWC among the five models, with corresponding RMSE, MAE, R, and MAPE of 0.44 kg/m2, 0.28 kg/m2, 0.81, and 31.93%, respectively. The GBDT model has the worst retrieval performance, which is consistent with sparse vegetation. Its corresponding RMSE, MAE, R, and MAPE are 0.48 kg/m2, 0.36 kg/m2, 0.77, and 44.94%, respectively. The high MAPE values can be attributed to the model’s tendency to overestimate VWC in this range.
- (3)
- In high vegetation cover, among the models evaluated, the BT and RF models exhibit the most favorable retrieval performance, demonstrating R values of 0.84. Conversely, the GBDT model consistently displays the poorest retrieval performance, yielding R values of 0.71.
5. Conclusions
Supplementary Materials
Author Contributions
Funding
Data Availability Statement
Acknowledgments
Conflicts of Interest
References
- Konings, A.G.; Saatchi, S.S.; Frankenberg, C.; Keller, M.; Leshyk, V.; Anderegg, W.R.L.; Humphrey, V.; Matheny, A.M.; Trugman, A.; Sack, L.; et al. Detecting forest response to droughts with global observations of vegetation water content. Glob. Change Biol. 2021, 27, 6005–6024. [Google Scholar] [CrossRef] [PubMed]
- Wang, X.; Zhang, Z.; Lu, S.; Zhen, S.; Zhao, H.; Yin, Y. Combining Microwave and Optical Remote Sensing to Characterize Global Vegetation Water Status. IEEE Trans. Geosci. Remote Sens. 2023, 61, 5301719. [Google Scholar] [CrossRef]
- Saeed, F.; Bethke, I.; Fischer, E.; Legutke, S.; Shiogama, H.; Stone, D.A.; Schleussner, C.-F. Robust changes in tropical rainy season length at 1.5 °C and 2 °C. Environ. Res. Lett. 2018, 13, 064024. [Google Scholar] [CrossRef]
- Yebra, M.; Scortechini, G.; Badi, A.; Beget, M.E.; Boer, M.M.; Bradstock, R.; Chuvieco, E.; Danson, F.M.; Dennison, P.; Resco de Dios, V.; et al. Globe-LFMC, a global plant water status database for vegetation ecophysiology and wildfire applications. Sci. Data 2019, 6, 155. [Google Scholar] [CrossRef] [PubMed]
- Jackson, R.D. Remote Sensing of Biotic and Abiotic Plant Stress. Annu. Rev. Phytopathol. 1986, 24, 265–287. [Google Scholar] [CrossRef]
- Doughty, R.; Köhler, P.; Frankenberg, C.; Magney, T.S.; Xiao, X.; Qin, Y.; Wu, X.; Moore, B. TROPOMI reveals dry-season increase of solar-induced chlorophyll fluorescence in the Amazon forest. Proc. Natl. Acad. Sci. USA 2019, 116, 22393–22398. [Google Scholar] [CrossRef]
- Brando, P.M.; Goetz, S.J.; Baccini, A.; Nepstad, D.C.; Beck, P.S.A.; Christman, M.C. Seasonal and interannual variability of climate and vegetation indices across the Amazon. Proc. Natl. Acad. Sci. USA 2010, 107, 14685–14690. [Google Scholar] [CrossRef] [PubMed]
- Wang, H.; Wigneron, J.-P.; Ciais, P.; Yao, Y.; Fan, L.; Liu, X.; Li, X.; Green, J.K.; Tian, F.; Tao, S.; et al. Seasonal variations in vegetation water content retrieved from microwave remote sensing over Amazon intact forests. Remote Sens. Environ. 2023, 285, 113409. [Google Scholar] [CrossRef]
- Ma, S.; Zhou, Y.; Gowda, P.H.; Dong, J.; Zhang, G.; Kakani, V.G.; Wagle, P.; Chen, L.; Flynn, K.C.; Jiang, W. Application of the water-related spectral reflectance indices: A review. Ecol. Indic. 2019, 98, 68–79. [Google Scholar] [CrossRef]
- Huang, Y.; Walker, J.P.; Gao, Y.; Wu, X.; Monerris, A. Estimation of Vegetation Water Content From the Radar Vegetation Index at L-Band. IEEE Trans. Geosci. Remote Sens. 2016, 54, 981–989. [Google Scholar] [CrossRef]
- Srivastava, P.K.; Neill, P.O.; Cosh, M.; Lang, R.; Joseph, A. Evaluation of radar vegetation indices for vegetation water content estimation using data from a ground-based SMAP simulator. In Proceedings of the 2015 IEEE International Geoscience and Remote Sensing Symposium (IGARSS), Milan, Italy, 26–31 July 2015; pp. 1296–1299. [Google Scholar]
- Santi, E.; Paloscia, S.; Pampaloni, P.; Pettinato, S.; Nomaki, T.; Seki, M.; Sekiya, K.; Maeda, T. Vegetation Water Content Retrieval by Means of Multifrequency Microwave Acquisitions From AMSR2. IEEE J. Sel. Top. Appl. Earth Obs. Remote Sens. 2017, 10, 3861–3873. [Google Scholar] [CrossRef]
- Entekhabi, D.; Njoku, E.G.; Neill, P.E.O.; Kellogg, K.H.; Crow, W.T.; Edelstein, W.N.; Entin, J.K.; Goodman, S.D.; Jackson, T.J.; Johnson, J.; et al. The Soil Moisture Active Passive (SMAP) Mission. Proc. IEEE 2010, 98, 704–716. [Google Scholar] [CrossRef]
- Wang, Q.; Chai, L.; Zhao, S.; Zhang, Z. Gravimetric Vegetation Water Content Estimation for Corn Using L-Band Bi-Angular, Dual-Polarized Brightness Temperatures and Leaf Area Index. Remote Sens. 2015, 7, 10543–10561. [Google Scholar] [CrossRef]
- Zavorotny, V.U.; Gleason, S.; Cardellach, E.; Camps, A. Tutorial on Remote Sensing Using GNSS Bistatic Radar of Opportunity. IEEE Geosci. Remote Sens. Mag. 2014, 2, 8–45. [Google Scholar] [CrossRef]
- Cygnss. CYGNSS Level 1 Science Data Record Version 3.0. 2020. Available online: https://catalog.data.gov/dataset/cygnss-level-1-science-data-record-version-3-0-340fb (accessed on 25 February 2024).
- Yan, Q.; Huang, W.; Jin, S.; Jia, Y. Pan-tropical soil moisture mapping based on a three-layer model from CYGNSS GNSS-R data. Remote Sens. Environ. 2020, 247, 111944. [Google Scholar] [CrossRef]
- Shi, Y.; Liang, Y.; Ren, C.; Lai, J.; Ding, Q.; Hu, X. Investigating the Effects of Meteorological Data Rainfall and Temperature on GNSS-R Soil Moisture Inversion. In Proceedings of the 2021 IEEE Specialist Meeting on Reflectometry Using GNSS and Other Signals of Opportunity (GNSS+R), Virtual, 14–17 September 2021; pp. 97–100. [Google Scholar]
- Bu, J.; Yu, K.; Zuo, X.; Ni, J.; Li, Y.; Huang, W. GloWS-Net: A Deep Learning Framework for Retrieving Global Sea Surface Wind Speed Using Spaceborne GNSS-R Data. Remote Sens. 2023, 15, 590. [Google Scholar] [CrossRef]
- Bu, J.; Yu, K.; Ni, J.; Huang, W. Combining ERA5 data and CYGNSS observations for the joint retrieval of global significant wave height of ocean swell and wind wave: A deep convolutional neural network approach. J. Geod. 2023, 97, 81. [Google Scholar] [CrossRef]
- Komjathy, A.; Maslanik, J.; Zavorotny, V.U.; Axelrad, P.; Katzberg, S.J. Sea ice remote sensing using surface reflected GPS signals. In Proceedings of the IGARSS 2000. IEEE 2000 International Geoscience and Remote Sensing Symposium. Taking the Pulse of the Planet: The Role of Remote Sensing in Managing the Environment. Proceedings (Cat. No.00CH37120), Honolulu, HI, USA, 24–28 July 2000; Volume 2857, pp. 2855–2857. [Google Scholar]
- Yan, Q.; Huang, W. Spaceborne GNSS-R Sea Ice Detection Using Delay-Doppler Maps: First Results From the U.K. TechDemoSat-1 Mission. IEEE J. Sel. Top. Appl. Earth Obs. Remote Sens. 2016, 9, 4795–4801. [Google Scholar] [CrossRef]
- Larson, K.M.; Ray, R.D.; Nievinski, F.G.; Freymueller, J.T. The Accidental Tide Gauge: A GPS Reflection Case Study From Kachemak Bay, Alaska. IEEE Geosci. Remote Sens. Lett. 2013, 10, 1200–1204. [Google Scholar] [CrossRef]
- Cardellach, E.; Fabra, F.; Rius, A.; Pettinato, S.; D’Addio, S. Characterization of dry-snow sub-structure using GNSS reflected signals. Remote Sens. Environ. 2012, 124, 122–134. [Google Scholar] [CrossRef]
- Yan, Q.; Liu, S.; Chen, T.; Jin, S.; Xie, T.; Huang, W. Mapping Surface Water Fraction Over the Pan-Tropical Region Using CYGNSS Data. IEEE Trans. Geosci. Remote Sens. 2024, 62, 1–14. [Google Scholar] [CrossRef]
- Li, S.; Jing, H.; Yuan, Q.; Yue, L.; Li, T. Investigating the spatio-temporal variation of vegetation water content in the western United States by blending GNSS-IR, AMSR-E, and AMSR2 observables using machine learning methods. Sci. Remote Sens. 2022, 6, 100061. [Google Scholar] [CrossRef]
- Loria, E.; O’Brien, A.; Zavorotny, V.; Lavalle, M.; Chew, C.; Shah, R.; Zuffada, C. Analysis of Wetland Extent Retrieval Accuracy Using Cygnss. In Proceedings of the IGARSS 2019—2019 IEEE International Geoscience and Remote Sensing Symposium, Yokohama, Japan, 28 July–2 August 2019; pp. 8684–8687. [Google Scholar]
- Chew, C.; Small, E.E.; Larson, K.M. An algorithm for soil moisture estimation using GPS-interferometric reflectometry for bare and vegetated soil. GPS Solut. 2016, 20, 525–537. [Google Scholar] [CrossRef]
- Rodriguez-Alvarez, N.; Bosch-Lluis, X.; Camps, A.; Ramos-Perez, I.; Valencia, E.; Park, H.; Vall-llossera, M. Vegetation Water Content Estimation Using GNSS Measurements. IEEE Geosci. Remote Sens. Lett. 2012, 9, 282–286. [Google Scholar] [CrossRef]
- Rodriguez-Alvarez, N.; Camps, A.; Vall-llossera, M.; Bosch-Lluis, X.; Monerris, A.; Ramos-Perez, I.; Valencia, E.; Marchan-Hernandez, J.F.; Martinez-Fernandez, J.; Baroncini-Turricchia, G.; et al. Land Geophysical Parameters Retrieval Using the Interference Pattern GNSS-R Technique. IEEE Trans. Geosci. Remote Sens. 2011, 49, 71–84. [Google Scholar] [CrossRef]
- Pierdicca, N.; Guerriero, L.; Caparrini, M.; Egido, A.; Paloscia, S.; Santi, E.; Floury, N. GNSS Reflectometry as a tool to retrieve soil moisture and vegetation biomass: Experimental and theoretical activities. In Proceedings of the 2013 International Conference on Localization and GNSS (ICL-GNSS), Turin, Italy, 25–27 June 2013; pp. 1–5. [Google Scholar]
- Egido, A.; Paloscia, S.; Motte, E.; Guerriero, L.; Pierdicca, N.; Caparrini, M.; Santi, E.; Fontanelli, G.; Floury, N. Airborne GNSS-R Polarimetric Measurements for Soil Moisture and Above-Ground Biomass Estimation. IEEE J. Sel. Top. Appl. Earth Obs. Remote Sens. 2014, 7, 1522–1532. [Google Scholar] [CrossRef]
- Motte, E.; Fanise, P.; Zribi, M. GLORI (GLObal navigation satellite system Reflectometry Instrument). In Proceedings of the 2015 IEEE International Geoscience and Remote Sensing Symposium (IGARSS), Milan, Italy, 26–31 July 2015; pp. 4773–4776. [Google Scholar]
- Zribi, M.; Matte, E.; Fanise, P.; Guyon, D.; Wigneron, J.P.; Baghdadi, N.; Pierdicca, N. Performances of GNSS-R Glori Data Over Lande Forest. In Proceedings of the IGARSS 2018—2018 IEEE International Geoscience and Remote Sensing Symposium, Valencia, Spain, 22–27 July 2018; pp. 2039–2042. [Google Scholar]
- Jia, Y.; Savi, P. Polarimetric GNSS-R measurements for soil moisture and vegetation sensing. In Proceedings of the 2016 IEEE International Geoscience and Remote Sensing Symposium (IGARSS), Beijing, China, 10–15 July 2016; pp. 5260–5263. [Google Scholar]
- Park, H.; Camps, A.; Castellvi, J.; Muro, J. Generic Performance Simulator of Spaceborne GNSS-Reflectometer for Land Applications. IEEE J. Sel. Top. Appl. Earth Obs. Remote Sens. 2020, 13, 3179–3191. [Google Scholar] [CrossRef]
- Munoz-Martin, J.F.; Pascual, D.; Onrubia, R.; Park, H.; Camps, A.; Rüdiger, C.; Walker, J.P.; Monerris, A. Vegetation Canopy Height Retrieval Using L1 and L5 Airborne GNSS-R. IEEE Geosci. Remote Sens. Lett. 2022, 19, 2502405. [Google Scholar] [CrossRef]
- Wu, X.; Guo, P.; Sun, Y.; Liang, H.; Zhang, X.; Bai, W. Recent Progress on Vegetation Remote Sensing Using Spaceborne GNSS-Reflectometry. Remote Sens. 2021, 13, 4244. [Google Scholar] [CrossRef]
- Bu, J.; Wang, Q.; Wang, Z.; Fan, S.; Liu, X.; Zuo, X. Land Remote Sensing Applications Using Spaceborne GNSS Reflectometry: A Comprehensive Overview. IEEE J. Sel. Top. Appl. Earth Obs. Remote Sens. 2024, 17, 12811–12841. [Google Scholar] [CrossRef]
- Ferrazzoli, P.; Guerriero, L.; Pierdicca, N.; Rahmoune, R. Forest biomass monitoring with GNSS-R: Theoretical simulations. Adv. Space Res. 2011, 47, 1823–1832. [Google Scholar] [CrossRef]
- Camps, A.; Park, H.; Pablos, M.; Foti, G.; Gommenginger, C.P.; Liu, P.W.; Judge, J. Sensitivity of GNSS-R Spaceborne Observations to Soil Moisture and Vegetation. IEEE J. Sel. Top. Appl. Earth Obs. Remote Sens. 2016, 9, 4730–4742. [Google Scholar] [CrossRef]
- Carreno-Luengo, H.; Lowe, S.; Zuffada, C.; Esterhuizen, S.; Oveisgharan, S. Spaceborne GNSS-R from the SMAP Mission: First Assessment of Polarimetric Scatterometry over Land and Cryosphere. Remote Sens. 2017, 9, 362. [Google Scholar] [CrossRef]
- Santi, E.; Clarizia, M.P.; Comite, D.; Dente, L.; Guerriero, L.; Pierdicca, N.; Floury, N. Combining Cygnss and Machine Learning for Soil Moisture and Forest Biomass Retrieval in View of the ESA Scout Hydrognss Mission. In Proceedings of the IGARSS 2022—2022 IEEE International Geoscience and Remote Sensing Symposium, Kuala Lumpur, Malaysia, 17–22 July 2022; pp. 7433–7436. [Google Scholar]
- Santi, E.; Pettinato, S.; Paloscia, S.; Clarizia, M.P.; Dente, L.; Guerriero, L.; Comite, D.; Pierdicca, N. Soil Moisture and Forest Biomass retrieval on a global scale by using CyGNSS data and Artificial Neural Networks. In Proceedings of the IGARSS 2020—2020 IEEE International Geoscience and Remote Sensing Symposium, Virtual, 26 September–2 October 2020; pp. 5905–5908. [Google Scholar]
- Carreno-Luengo, H.; Luzi, G.; Crosetto, M. Above-Ground Biomass Retrieval over Tropical Forests: A Novel GNSS-R Approach with CyGNSS. Remote Sens. 2020, 12, 1368. [Google Scholar] [CrossRef]
- Santi, E.; Paloscia, S.; Pettinato, S.; Fontanelli, G.; Clarizia, M.P.; Comite, D.; Dente, L.; Guerriero, L.; Pierdicca, N.; Floury, N. Remote Sensing of Forest Biomass Using GNSS Reflectometry. IEEE J. Sel. Top. Appl. Earth Obs. Remote Sens. 2020, 13, 2351–2368. [Google Scholar] [CrossRef]
- Pilikos, G.; Clarizia, M.P.; Floury, N. Biomass Estimation with GNSS Reflectometry Using a Deep Learning Retrieval Model. Remote Sens. 2024, 16, 1125. [Google Scholar] [CrossRef]
- Chen, F.; Liu, L.; Guo, F.; Huang, L. A New Vegetation Observable Derived from Spaceborne GNSS-R and Its Application to Vegetation Water Content Retrieval. Remote Sens. 2024, 16, 931. [Google Scholar] [CrossRef]
- Nabi, M.M.; Senyurek, V.; Gurbuz, A.C.; Kurum, M. Deep Learning-Based Soil Moisture Retrieval in CONUS Using CYGNSS Delay–Doppler Maps. IEEE J. Sel. Top. Appl. Earth Obs. Remote Sens. 2022, 15, 6867–6881. [Google Scholar] [CrossRef]
- Al-Khaldi, M.M.; Johnson, J.T.; Gleason, S.; Loria, E.; O’Brien, A.J.; Yi, Y. An algorithm for detecting coherence in cyclone global navigation satellite system mission level-1 delay-Doppler maps. IEEE Trans. Geosci. Remote Sens. 2020, 59, 4454–4463. [Google Scholar] [CrossRef]
- Jia, Y.; Jin, S.; Savi, P.; Yan, Q.; Li, W. Modeling and theoretical analysis of GNSS-R soil moisture retrieval based on the random forest and support vector machine learning approach. Remote Sens. 2020, 12, 3679. [Google Scholar] [CrossRef]
- Yan, Q.; Gong, S.; Jin, S.; Huang, W.; Zhang, C. Near real-time soil moisture in China retrieved from CyGNSS reflectivity. IEEE Geosci. Remote Sens. Lett. 2020, 19, 1–5. [Google Scholar] [CrossRef]
- O’Neill, P.; Chan, S.; Njoku, E.G.; Jackson, T.; Bindlish, R.; Chaubell, J.; Colliander, A. SMAP enhanced L3 radiometer global and polar grid daily 9 km ease-grid soil moisture version 5. Natl. Snow Ice Data Cent. 2021. [Google Scholar] [CrossRef]
- Huffman, G.; Stocker, E.; Bolvin, D.; Nelkin, E.; Tan, J. GPM IMERG late precipitation L3 1 day 0.1 degree × 0.1 degree V05, Edited by Andrey Savtchenko, Greenbelt, MD Goddard Earth Sci. Data Inf. Serv. Cent. 2016. [Google Scholar] [CrossRef]
- Muñoz Sabater, J. ERA5-Land Hourly Data from 1981 to Present. Copernicus Climate Change Service (C3S) Climate Data Store (CDS). 2019, Volume 10. Available online: https://cds.climate.copernicus.eu/cdsapp#!/dataset/10.24381/cds.e2161bac?tab=overview (accessed on 25 February 2024).
- Friedl, M.; Sulla-Menashe, D. MODIS/Terra+ Aqua Land Cover Type Yearly L3 Global 500m SIN Grid V061. NASA EOSDIS Land Processes DAAC. 2022. Available online: https://lpdaac.usgs.gov/products/mcd12c1v061/ (accessed on 26 February 2024).
- Du, J.; Kimball, J.S.; Jones, L.A.; Kim, Y.; Glassy, J.; Watts, J.D. A global satellite environmental data record derived from AMSR-E and AMSR2 microwave Earth observations. Earth Syst. Sci. Data 2017, 9, 791–808. [Google Scholar] [CrossRef]
- Pekel, J.-F.; Cottam, A.; Gorelick, N.; Belward, A.S. High-resolution mapping of global surface water and its long-term changes. Nature 2016, 540, 418–422. [Google Scholar] [CrossRef] [PubMed]
- Cook, B.I.; Smerdon, J.E.; Seager, R.; Coats, S. Global warming and 21st century drying. Clim. Dyn. 2014, 43, 2607–2627. [Google Scholar] [CrossRef]
- Zhang, S.; Guo, Q.; Liu, Q.; Ma, Z.; Liu, N.; Hu, S.; Bao, L.; Zhou, X.; Zhao, H.; Wang, L.; et al. Improvement of CYGNSS soil moisture retrieval model considering water and surface temperature. Adv. Space Res. 2023, 72, 3048–3064. [Google Scholar] [CrossRef]
- Calvet, J.C.; Wigneron, J.P.; Walker, J.; Karbou, F.; Chanzy, A.; Albergel, C. Sensitivity of Passive Microwave Observations to Soil Moisture and Vegetation Water Content: L-Band to W-Band. IEEE Trans. Geosci. Remote Sens. 2011, 49, 1190–1199. [Google Scholar] [CrossRef]
- Zhang, Y.; Zhou, S.; Gentine, P.; Xiao, X. Can vegetation optical depth reflect changes in leaf water potential during soil moisture dry-down events? Remote Sens. Environ. 2019, 234, 111451. [Google Scholar] [CrossRef]
- Lei, F.; Senyurek, V.; Kurum, M.; Gurbuz, A.C.; Boyd, D.; Moorhead, R.; Crow, W.T.; Eroglu, O. Quasi-global machine learning-based soil moisture estimates at high spatio-temporal scales using CYGNSS and SMAP observations. Remote Sens. Environ. 2022, 276, 113041. [Google Scholar] [CrossRef]
- Senyurek, V.; Lei, F.; Boyd, D.; Kurum, M.; Gurbuz, A.C.; Moorhead, R. Machine Learning-Based CYGNSS Soil Moisture Estimates over ISMN sites in CONUS. Remote Sens. 2020, 12, 1168. [Google Scholar] [CrossRef]
- Bu, J.; Yu, K.; Park, H.; Huang, W.; Han, S.; Yan, Q.; Qian, N.; Lin, Y. Estimation of Swell Height Using Spaceborne GNSS-R Data from Eight CYGNSS Satellites. Remote Sens. 2022, 14, 4634. [Google Scholar] [CrossRef]
- Al-Khaldi, M.M.; Johnson, J.T.; O’Brien, A.J.; Balenzano, A.; Mattia, F. Time-Series Retrieval of Soil Moisture Using CYGNSS. IEEE Trans. Geosci. Remote Sens. 2019, 57, 4322–4331. [Google Scholar] [CrossRef]
- Lu, C.; Wang, Z.; Wu, Z.; Zheng, Y.; Liu, Y. Global Ocean Wind Speed Retrieval From GNSS Reflectometry Using CNN-LSTM Network. IEEE Trans. Geosci. Remote Sens. 2023, 61, 1–12. [Google Scholar] [CrossRef]
- Clarizia, M.P.; Pierdicca, N.; Costantini, F.; Floury, N. Analysis of CYGNSS Data for Soil Moisture Retrieval. IEEE J. Sel. Top. Appl. Earth Obs. Remote Sens. 2019, 12, 2227–2235. [Google Scholar] [CrossRef]
- Pierdicca, N.; Comite, D.; Camps, A.; Carreno-Luengo, H.; Cenci, L.; Clarizia, M.P.; Costantini, F.; Dente, L.; Guerriero, L.; Mollfulleda, A.; et al. The Potential of Spaceborne GNSS Reflectometry for Soil Moisture, Biomass, and Freeze–Thaw Monitoring: Summary of a European Space Agency-funded study. IEEE Geosci. Remote Sens. Mag. 2022, 10, 8–38. [Google Scholar] [CrossRef]
- Wang, B.; Cha, H.; Zhou, Z.; Tian, B. Clutter Cancellation and Long Time Integration for GNSS-Based Passive Bistatic Radar. Remote Sens. 2021, 13, 701. [Google Scholar] [CrossRef]
- Wang, C.; Yu, K.; Qu, F.; Bu, J.; Han, S.; Zhang, K. Spaceborne GNSS-R Wind Speed Retrieval Using Machine Learning Methods. Remote Sens. 2022, 14, 3507. [Google Scholar] [CrossRef]
- Friedman, J.H. Greedy Function Approximation: A Gradient Boosting Machine. Ann. Stat. 2001, 29, 1189–1232. [Google Scholar] [CrossRef]
- Min, X.F.; Wang, A.Q.; Yang, L.X. Parameter Inversion of Rough Surface based on GBDT Model. In Proceedings of the 2022 International Applied Computational Electromagnetics Society Symposium (ACES-China), Xuzhou, China, 9–12 December 2022; pp. 1–2. [Google Scholar]
- Prasad, A.M.; Iverson, L.R.; Liaw, A. Newer Classification and Regression Tree Techniques: Bagging and Random Forests for Ecological Prediction. Ecosystems 2006, 9, 181–199. [Google Scholar] [CrossRef]
- Wang, C.; Yu, K.; Zhang, K.; Bu, J.; Qu, F. Significant Wave Height Retrieval Based on Multivariable Regression Models Developed With CYGNSS Data. IEEE Trans. Geosci. Remote Sens. 2023, 61, 1–15. [Google Scholar] [CrossRef]
- Bu, J.; Yu, K.; Zhu, Y.; Qian, N.; Chang, J. Developing and Testing Models for Sea Surface Wind Speed Estimation with GNSS-R Delay Doppler Maps and Delay Waveforms. Remote Sens. 2020, 12, 3760. [Google Scholar] [CrossRef]
- Nabi, M.M.; Senyurek, V.; Lei, F.; Kurum, M.; Gurbuz, A.C. Quasi-Global Assessment of Deep Learning-Based CYGNSS Soil Moisture Retrieval. IEEE J. Sel. Top. Appl. Earth Obs. Remote Sens. 2023, 16, 5629–5644. [Google Scholar] [CrossRef]
- Gao, L.; Wang, X.; Johnson, B.A.; Tian, Q.; Wang, Y.; Verrelst, J.; Mu, X.; Gu, X. Remote sensing algorithms for estimation of fractional vegetation cover using pure vegetation index values: A review. ISPRS J. Photogramm. Remote Sens. 2020, 159, 364–377. [Google Scholar] [CrossRef] [PubMed]
- Gamon, J.A.; Field, C.B.; Goulden, M.L.; Griffin, K.L.; Hartley, A.E.; Joel, G.; Penuelas, J.; Valentini, R. Relationships Between NDVI, Canopy Structure, and Photosynthesis in Three Californian Vegetation Types. Ecol. Appl. 1995, 5, 28–41. [Google Scholar] [CrossRef]
- Kim, S.; Garrison, J.L.; Kurum, M. Retrieval of Subsurface Soil Moisture and Vegetation Water Content From Multifrequency SoOp Reflectometry: Sensitivity Analysis. IEEE Trans. Geosci. Remote Sens. 2023, 61, 1–18. [Google Scholar] [CrossRef]
- Zribi, M.; Motte, E.; Baghdadi, N.; Baup, F.; Dayau, S.; Fanise, P.; Guyon, D.; Huc, M.; Wigneron, J.P. Potential Applications of GNSS-R Observations over Agricultural Areas: Results from the GLORI Airborne Campaign. Remote Sens. 2018, 10, 1245. [Google Scholar] [CrossRef]
- Zhang, Y.; Ling, F.; Foody, G.M.; Ge, Y.; Boyd, D.S.; Li, X.; Du, Y.; Atkinson, P.M. Mapping annual forest cover by fusing PALSAR/PALSAR-2 and MODIS NDVI during 2007–2016. Remote Sens. Environ. 2019, 224, 74–91. [Google Scholar] [CrossRef]











| Category | Datasets | Spatial Resolution | Time Resolution | Parameters | Reference |
|---|---|---|---|---|---|
| CYGNSS L1B data | CYGNSS L1B | 25 km | 1 s (sampling point time interval) | power_analog, ddm_snr, ddm_nbrcs, GNSS-R observables, metadata variables | [16] |
| Reference and validation data | SMAP | 9 km | daily | SM, VWC, SST, roughness coefficient (RC) | [53] |
| Auxiliary data for the retrieval process | GPM IMERG | 0.1° | daily | precipitation | [54] |
| ECMWF | 0.1° | hourly | SST | [55] | |
| MCD12C1 | 0.05° | yearly | deciduous coniferous forests, water bodies, snow and ice, etc. | [56] | |
| AMSRU | 25 km | daily | SM | [57] | |
| GSW | 100 m | 3 months | inland water data | [58] |
| Indicators | Setting |
|---|---|
| s_band_powered_up | 0 |
| large_sc_attitude_err | 0 |
| black_body_ddm | 0 |
| ddmi_reconFigd | 0 |
| spacewire_crc_invalid | 0 |
| ddm_is_test_pattern | 0 |
| channel_idle | 0 |
| sp_over_land | 1 |
| direct_signal_in_ddm | 0 |
| low_confidence_gps_eirp_estimate | 0 |
| rfi_detected | 0 |
| sp_non_existent_error | 0 |
| bb_framing_error | 0 |
| fsw_comp_shift_error | 0 |
| RCG | >0 |
| sp_rx_gain | >0 |
| ddm_BRCS_uncert | <1 |
| ddm_snr | >2 |
| sp_inc_angle | <65° |
| Related to Transmitted Signal Images | Related to DDM Observables | Related to Receiver | Related to Geometry |
|---|---|---|---|
| BRCS, eff_scatter, power_analog | ddm_snr, ddm_nbrcs, ddm_les | sp_rx_gain, gps_eirp | rx_to_sp_range, tx_to_sp_range, sp_lat, sp_lon, sp_inc_angle, RCG |
| Models | RMSE (kg/m2) | MAE (kg/m2) | MAPE (%) | R |
|---|---|---|---|---|
| BT | 0.50 | 0.32 | 31.51 | 0.91 |
| RF | 0.50 | 0.32 | 32.06 | 0.91 |
| XGBoost | 0.85 | 0.71 | 94.83 | 0.78 |
| LightGBM | 0.76 | 0.62 | 87.28 | 0.85 |
| GBDT | 0.66 | 0.47 | 52.80 | 0.84 |
| Season | Model | RMSE (kg/m2) | MAE (kg/m2) | MAPE (%) | R |
|---|---|---|---|---|---|
| Spring | BT | 0.80 | 0.50 | 63.24 | 0.76 |
| LightGBM | 0.62 | 0.43 | 53.28 | 0.85 | |
| RF | 0.82 | 0.51 | 64.45 | 0.76 | |
| XGBoost | 0.64 | 0.42 | 52.02 | 0.84 | |
| GBDT | 0.56 | 0.38 | 45.39 | 0.87 | |
| Summer | BT | 0.62 | 0.46 | 61.37 | 0.89 |
| LightGBM | 0.63 | 0.48 | 60.13 | 0.88 | |
| RF | 0.61 | 0.46 | 62.10 | 0.90 | |
| XGBoost | 0.68 | 0.51 | 59.71 | 0.86 | |
| GBDT | 0.67 | 0.50 | 63.36 | 0.86 | |
| Autumn | BT | 0.56 | 0.38 | 30.90 | 0.86 |
| LightGBM | 0.53 | 0.39 | 31.63 | 0.87 | |
| RF | 0.57 | 0.39 | 31.40 | 0.85 | |
| XGBoost | 0.56 | 0.40 | 32.87 | 0.85 | |
| GBDT | 0.69 | 0.51 | 43.50 | 0.77 | |
| Winter | BT | 0.63 | 0.39 | 31.73 | 0.85 |
| LightGBM | 0.53 | 0.34 | 28.04 | 0.89 | |
| RF | 0.63 | 0.40 | 32.11 | 0.85 | |
| XGBoost | 0.58 | 0.37 | 30.34 | 0.87 | |
| GBDT | 0.61 | 0.42 | 39.31 | 0.85 |
| Metrics | Models | Low Vegetation Cover | Medium Vegetation Cover | High Vegetation Cover |
|---|---|---|---|---|
| RMSE | GBDT | 0.19 | 0.48 | 0.70 |
| BT | 0.20 | 0.45 | 0.55 | |
| XGBoost | 0.16 | 0.46 | 0.62 | |
| LightGBM | 0.17 | 0.43 | 0.62 | |
| RF | 0.20 | 0.44 | 0.54 | |
| MAE | GBDT | 0.10 | 0.36 | 0.56 |
| BT | 0.11 | 0.28 | 0.42 | |
| XGBoost | 0.09 | 0.31 | 0.49 | |
| LightGBM | 0.10 | 0.30 | 0.48 | |
| RF | 0.11 | 0.28 | 0.41 | |
| R | GBDT | 0.59 | 0.77 | 0.71 |
| BT | 0.56 | 0.80 | 0.84 | |
| XGBoost | 0.70 | 0.78 | 0.77 | |
| LightGBM | 0.69 | 0.81 | 0.79 | |
| RF | 0.54 | 0.81 | 0.84 | |
| MAPE | GBDT | 33.08 | 44.94 | 26.34 |
| BT | 37.04 | 33.09 | 20.77 | |
| XGBoost | 31.99 | 36.54 | 23.27 | |
| LightGBM | 32.62 | 36.50 | 22.94 | |
| RF | 37.88 | 31.93 | 20.71 |
Disclaimer/Publisher’s Note: The statements, opinions and data contained in all publications are solely those of the individual author(s) and contributor(s) and not of MDPI and/or the editor(s). MDPI and/or the editor(s) disclaim responsibility for any injury to people or property resulting from any ideas, methods, instructions or products referred to in the content. |
© 2024 by the authors. Licensee MDPI, Basel, Switzerland. This article is an open access article distributed under the terms and conditions of the Creative Commons Attribution (CC BY) license (https://creativecommons.org/licenses/by/4.0/).
Share and Cite
Zhang, Y.; Bu, J.; Zuo, X.; Yu, K.; Wang, Q.; Huang, W. Vegetation Water Content Retrieval from Spaceborne GNSS-R and Multi-Source Remote Sensing Data Using Ensemble Machine Learning Methods. Remote Sens. 2024, 16, 2793. https://doi.org/10.3390/rs16152793
Zhang Y, Bu J, Zuo X, Yu K, Wang Q, Huang W. Vegetation Water Content Retrieval from Spaceborne GNSS-R and Multi-Source Remote Sensing Data Using Ensemble Machine Learning Methods. Remote Sensing. 2024; 16(15):2793. https://doi.org/10.3390/rs16152793
Chicago/Turabian StyleZhang, Yongfeng, Jinwei Bu, Xiaoqing Zuo, Kegen Yu, Qiulan Wang, and Weimin Huang. 2024. "Vegetation Water Content Retrieval from Spaceborne GNSS-R and Multi-Source Remote Sensing Data Using Ensemble Machine Learning Methods" Remote Sensing 16, no. 15: 2793. https://doi.org/10.3390/rs16152793
APA StyleZhang, Y., Bu, J., Zuo, X., Yu, K., Wang, Q., & Huang, W. (2024). Vegetation Water Content Retrieval from Spaceborne GNSS-R and Multi-Source Remote Sensing Data Using Ensemble Machine Learning Methods. Remote Sensing, 16(15), 2793. https://doi.org/10.3390/rs16152793

