Abstract
For time division multiplexing multiple input multiple output (TDM MIMO) millimeter wave radar, the measurement of target range, velocity and other parameters depends on the phase of the received Intermediate Frequency (IF) signal. The coupling between range and velocity phases occurs when measuring moving targets, leading to inevitable errors in calculating range and velocity from the phase, which in turn affects measurement accuracy. Traditional two-dimensional fast fourier transform (2D FFT) estimation errors are particularly pronounced at high velocity, significantly impacting measurement accuracy. Additionally, due to limitations imposed by the Nyquist sampling theorem, there is a restricted range for velocity measurements that can result in aliasing. In this study, we propose a method to address the coupling of range and velocity based on the original signal as well as a method for velocity compensation to resolve aliasing issues. Our research findings demonstrate that this approach effectively reduces errors in measuring ranges and velocities of high-velocity moving targets while efficiently de-aliasing velocities.
1. Introduction
Millimeter-wave radar has become a popular choice in various fields such as intelligent transportation [1,2], security monitoring [3], and autonomous driving [4,5], thanks to its high operating frequency, high resolution, small size, low cost, and minimal impact from weather conditions like rain, snow, and fog. Nowadays, due to its high resolution, strong penetration, high sensitivity, and all-weather operation capabilities, millimeter-wave radar has also become a popular choice for cloud weather monitoring [6]. In recent years, with the rapid development of new energy vehicles and the advancement of assisted driving technology, millimeter-wave radar has been widely used to acquire road environment and vehicle condition information, assist in driving decisions, and ensure driving safety.
In autonomous driving, millimeter-wave radar in the 24 GHz and 77 GHz frequency bands is commonly selected to achieve environmental perception and vehicle control, providing crucial information for autonomous driving systems. The 24 GHz millimeter-wave radar is typically used for short-range perception, such as detecting surrounding obstacles and vehicles in parking assistance systems. They can provide coarse perception of the vehicle’s surrounding environment, as well as key safety functions for autonomous driving, such as automatic emergency braking and collision avoidance [7]. The 77 GHz millimeter-wave radar, with its higher resolution and sensitivity, is suitable for longer-range perception and finer target identification. They are often used in advanced driver assistance systems (ADAS) such as adaptive cruise control (ACC) [8], lane keeping assist (LKA), blind spot monitoring (BSM) [9], and can also be used for vehicle-to-vehicle communication to support fleet coordination and traffic flow optimization.
To ensure driving safety, high precision is required for parameters such as range, velocity, and azimuth measured by millimeter-wave radar. When a target object moves, the frequency of its echo signal undergoes a Doppler frequency shift, which couples range and velocity information together. Therefore, without proper processing, the radar may incorrectly measure range or velocity. While this coupling may be acceptable when stationary or at low velocities, such as, when the velocity is less than the maximum unambiguous velocity, the range error is less than the product of a quarter of the wavelength and the number of chirps, while at high velocities, when the velocity exceeds the maximum unambiguous velocity, the range error will be greater than the product of a quarter of the wavelength and the number of chirps, using methods like two-dimensional peak frequency estimation without considering the coupling problem may result in significant errors, affecting intelligent driving decisions and potentially leading to serious consequences [10,11]. In addition, since motion can cause phase errors that affect angle estimation, high-precision velocity estimation is also crucial for subsequent angle estimation through velocity compensation [12].
In [13], a general and efficient method for mobile target detection and parameter estimation based on bisection range frequency conjugate and recursively parametric scaled correlation transform(BRFC-RPSCT) is proposed. By spectrum segmentation and complex conjugate multiplication, an aligned synthesized signal is first constructed. Then, the defined RPSCT is applied to this new signal to achieve energy accumulation and parameter estimation. This method can solve the range and velocity shift caused by motion of any order and has low computational complexity.
In [14], it is analyzed that using the intermediate frequency signal obtained by mixing the received signal with the transmitted signal during signal processing can reduce the sampling rate of the signal. Increasing the sampling rate to the same order of magnitude as the transmitted signal not only increases the maximum unambiguous range but also enables the handling of a small portion of the chirp duration, thereby solving some range and velocity coupling problems.
In literature [15], for each vehicle area, the total variation minimization (TVM) image matching method is used to decouple the range and velocity of vehicles. The TVM method minimizes the L1 norm of the signal difference in the matched image region to find the best match, thereby estimating range deviation. By applying TVM image matching between up-chirp and down-chirp images, the appropriate range deviation corresponding to TVM can be found, thereby decoupling the range and velocity of vehicles.
Literature [16] proposes a photonic-based receiver for decoupled rate and range measurement. It uses a dual-frequency swept LFM signal and modulates the reference signal and received echo onto optical carriers at the receiver end. By introducing microwave photonic image suppression mixing technology based on a 90° optical mixer and a pair of balanced photodetectors (BPDs), frequency components corresponding to target range and velocity can be obtained simultaneously. This method does not require complex analog sources in the electrical domain, nor does it require special requirements for the dual-frequency swept LFM signal. Successful acquisition of target range and Doppler frequency shift was achieved when using a dual-frequency swept LFM signal with a center frequency of 10 GHz and a bandwidth of 4 GHz, with no coupling between them.
Literature [17] studies the coupling of fast time and slow time leading to range shifts of moving targets within the integration time. The coupling term in the beat frequency signal spectrum expression manifests as a time-dependent term. By applying the Keystone transform to the slow time term, the coupling term can be removed from the beat frequency signal. The transformed signal expression no longer contains time-dependent coupling terms, effectively solving the range and velocity coupling problem of (linear frequency modulated continuous wave) LFMCW radar.
In addition to the coupling problems mentioned above, due to the short wavelength of millimeter-wave radar, its maximum unambiguous velocity is relatively small. In the field of automotive radar, the maximum speed of a vehicle often exceeds the radar’s maximum unambiguous velocity, which affects the accuracy of speed measurement.
Velocity aliasing, also known as velocity folding, is a core issue in sampling theory, especially when measuring or representing velocity. Its occurrence is due to the fact that when the velocity sampling interval is insufficient to cover the entire velocity range in the sampled system, this phenomenon will occur. This mismatch results in the erroneous display of higher velocities within the sampling interval, causing confusion in interpreting velocity measurements.
In velocity sampling, any true velocity falls within the maximum unambiguous range, and its estimated value within this range is . Since the property of that a given measured velocity may correspond to multiple values of true velocity , differing by integer multiples of , this ambiguity increases the complexity of interpreting measured velocities, thus requiring velocity de-aliasing, which involves finding the correct integer multiple coefficient. This process is referred to as resolving velocity aliasing.
Therefore, to increase the maximum unambiguous velocity, given a fixed number of transmitting antennas, the chirp time should be reduced, or the pulse repetition frequency should be increased. Under the condition of constant frequency slope and sampling rate, reducing chirp time will reduce the actual bandwidth of the radar, which will have a negative impact on the radar’s range resolution. Hence, to balance the radar’s range resolution and maximum unambiguous velocity, chirp time cannot be significantly reduced, thus limiting the radar’s velocity measurement capability.
Signal processing algorithms for velocity de-aliasing have always been of interest to many scholars and researchers. The working principle of these algorithms is to maintain the continuity of velocity between adjacent range gates or time intervals. The differences between these post-processing methods mainly lie in the selection of thresholds, adjacent intervals, and reference velocities. A classic method is to use two different pulse repetition frequencies, namely a fast chirp and a slow chirp, to calculate the true velocity of the radar using the Chinese Remainder Theorem [18,19,20,21]. In addition, literature [22] proposes a time-domain coding method where one transmit antenna must transmit at least two chirps within one TX multiplexing interval, expanding the maximum unambiguous velocity to ±80 .
In recent years, with the development of compressed sensing and deep learning technologies, more and more scholars have applied deep learning techniques to velocity de-aliasing. Literature [23] proposes a non-uniform pulse and develops an effective method for estimating range Doppler spectra, and proposes a matching technique based on two-dimensional compressed sensing and Doppler de-aliasing. Literature [24] presents a fast and robust solution using a one-dimensional convolutional neural network to unwrap doppler estimates in automotive TDM MIMO radar. The input to the neural network is the beamforming vector of the virtual array, and the output is the unwrapped velocity estimate used for phase compensation. Literature [25] uses a one-dimensional convolutional neural network (CNN) (including three CNN layers and one fully connected layer) to estimate Doppler in automotive TDM MIMO radar. The CNN is pre-trained using simulated data and fine-tuned on actual data with the same antenna configuration as TI imaging radar. The proposed network achieves an accuracy of 93.46%.
Current de-aliasing methods require two pulse repetition frequencies and two measured velocities for calculation, or utilize deep learning methods for calculation, but they have high computational complexity and are not efficient in solving the problems of range-velocity coupling and velocity aliasing. In this paper, a method based on joint correction of range and velocity based on the signal echo model is proposed. Due to the coupling between range and velocity caused by FFT, leading to large range-velocity deviations at high velocity, the method proposed in this paper can effectively solve the problem of range-velocity coupling. In addition to addressing the problem of velocity aliasing caused by the small maximum unambiguous velocity, after decoupling the range-velocity, a method based on velocity compensation of observed range dimension differences is proposed to solve the problems of range-velocity coupling and velocity aliasing. This method does not require matching of range and velocity and can jointly estimate range and velocity. The effectiveness of the algorithm is verified through simulation.
The rest of this paper is organized as follows. The TDM-MIMO signal model is introduced in Section 2. Section 3 introduces methods for decoupling range and velocity and resolving velocity aliasing. Section 4 validates the effectiveness of the proposed algorithm using Matlab simulations. Finally, Section 5 concludes the paper.
2. Signal Model
2.1. TDM-MIMO Signal Model
Consider the detection scenario of the vehicle-mounted TDM-MIMO millimeter-wave radar on the road, as shown in Figure 1. The radar employs an integrated antenna array for both transmission and reception, with a spacing of between the transmitting antennas and between the receiving antennas. In this study, a uniform linear array is chosen. Typically, we choose , . In the TDM mode, the transmitting antennas sequentially emit signals while the receiving antennas simultaneously receive signals.
Figure 1.
The scenario of vehicle-mounted radar detection, and are positive, while and are negative.
Considering the LFMCW TDM-MIMO radar shown in Figure 2, suppose the carrier frequency of the transmitted signal is , the frequency modulation rate is , the pulse width is , and the pulse repetition period is . The LFMCW transmitted signal can be expressed as:
Figure 2.
A schematic diagram of the TDM-MIMO radar array, where black dashed lines represent the transmitted signals and red solid lines represent the received signals. The transmitting antennas transmit signals in sequence, while the receiving antennas receive signals simultaneously. The blue squares represent the virtual array, with the virtual array corresponding to TX1 receiving the echo signals simultaneously when TX1 transmits.
The echo from the transmitting antenna and the receiving antenna is mixed and filtered with the transmitted signal to obtain the IF signal:
Due to the focus of this paper on addressing the coupling between range and velocity, the radar’s azimuth and elevation angles are not considered. Let’s assume the range is . When a target moves away from the radar at a velocity , the delay of the echo, denoted as in Equation (2), can be expressed as:
where represents fast time, represents slow time, is the pulse repetition time, is the chirp duration, , is the number of samples, and is the number of chirps in one frame.
Substituting Equation (3) into Equation (2), we can obtain the intermediate frequency signal as follows:
Discretizing Equation (4) with a sampling frequency , we can obtain as:
Rewriting the phase in Equation (5) as:
where represents the phase without fast time, represents the phase containing only the linear term of fast time, and represents the phase containing only the quadratic term of fast time. Specifically, they can be expressed as:
2.2. Direct 2D-FFT for Solving Range-Velocity Translation
In most range and velocity calculations, the influence of the square of the delay time is neglected, and an approximation is made to obtain the intermediate frequency echo as:
In which, , by using the approximate intermediate frequency signal, performing a Fourier transform on the fast time yields the range frequency, and performing a Fourier transform on the slow time yields the target’s Doppler frequency. By solving these, the target’s velocity and range can be obtained. According to the Discrete Fourier Transform (DFT) formula:
Substituting Equation (10) into Equation (11) yields that performing FFT along the fast time dimension gives:
where is the index of spectral lines in the FFT. Assuming that achieves its maximum value at position in , then we obtain :
Therefore, the range of the target can be calculated as:
Similarly, by performing FFT along the slow time dimension on Equation (12), we can obtain:
where is the spectral line corresponding to the Doppler FFT, assuming its peak value is , then we can obtain as:
Therefore, the velocity of the target can be calculated as:
For the above range and velocity calculations, neglecting the coupling terms between range and velocity will cause the range error to exceed the product of a quarter of the wavelength and the number of chirps when the velocity exceeds the maximum unambiguous velocity, and as the absolute value of the velocity increases, the error also gradually increases. This will have a significant impact on the estimation accuracy of the target’s range and velocity.
3. Methods
3.1. Decoupling of Range and Velocity
In the previous section, the coupling between the target’s range and velocity, as well as the square of the delay time, were neglected. When the velocity is high, this can lead to errors in parameter estimation. Therefore, considering Equation (11), performing DFT along the fast time dimension yields:
where is the component containing only the first-order term of . Let
After simplification, we can obtain the amplitude of :
where is the total calculated amplitude, which is a constant.
Therefore, the result of obtained using FFT and constant false alarm rate (CFAR) in Equation (13) should correspond to in Equation (19). Consequently, we can obtain the initially corrected range result as:
where and respectively represent the relatively imprecise estimates of range and velocity obtained by FFT. is the range estimate after the initial correction.
Simplifying Equation (21), we obtain:
Similarly, Equation (5) can be rearranged into terms that do not contain , terms containing linearly, and terms containing square of :
where , and represent respectively:
Similarly, the relationship between the initially corrected velocity obtained by performing DFT on the slow time and the velocity obtained directly by FFT is:
where is the initially corrected velocity estimate. Using the root-finding formula, can be solved as:
Theoretically, the accuracy of the range and velocity obtained through Equations (21) and (26) should be higher compared to directly using FFT. However, it can be observed from Equation (21) that the velocity used to compute is still based on obtained directly from FFT, which may have significant errors and consequently lead to large errors in the calculated target range. Similarly, when calculating velocity using Equation (26), it still relies on , which may introduce additional errors due to its potentially large inaccuracies.
To address this, Equations (21) and (25) can be simultaneously solved as a system of equations. The system of equations can be written as:
where and are the range and velocity of the target to be solved. It can be seen that Equation (27) is an equation with and as unknowns. Since all parameters except and are known, this equation can be solved to obtain more accurate range and velocity.
3.2. Velocity Compensation-Based Velocity Unaliasing Method
From Equation (17), we can deduce that when the maximum velocity is , then is:
Therefore, the maximum range of velocity can be represented as . Targets with velocities outside this range will experience velocity aliasing.
For a target with a detected velocity of in CFAR detection, the true velocity is:
where , since the velocity of the target on the road will not be too high and generally will not exceed 60 , if , then the maximum value of should be 3. To increase the observation velocity range, select the maximum value of as 4. At this time, the correct solution range of the velocity can be to .
We can use the initially corrected velocity and Equation (29) to solve for the unambiguous velocity and range, denoted as and respectively. Using the obtained velocity to perform phase compensation on the original intermediate frequency signal, we obtain the compensated phase , represented as:
The compensated signal is:
If the Doppler compensation is correct, Equation (31) can be written as:
According to Equation (32), we can determine that the peak in the range dimension of the correctly compensated signal does not change with slow time. In other words, the range peak remains relatively stable across different chirp moments. Conversely, the peak of an incorrectly compensated signal will vary with slow time. Therefore, by comparing the differences in range changes at different slow time moments, the one with the smallest change indicates correct compensation. Consequently, the unambiguous velocity can be determined. The relative peak positions of compensatory velocities corresponding to different compensation coefficients m vary with different chirp changes, as shown in Figure 3a. The magnitudes of variances corresponding to peaks for different compensation coefficients are depicted in Figure 3b. It can be observed that the variance is minimized when compensating with m = 1, indicating that the true velocity should be at this point.
Figure 3.
The result of processing with a range of 8 m and a velocity of 20 m·s−1. (a) The relative peak positions of compensatory velocities corresponding to different compensation coefficients m; (b) The magnitudes of variances corresponding to peaks for different compensation coefficients m.
The overall processing flow is illustrated in Figure 4. The raw data undergo range-domain FFT followed by Doppler-domain FFT or 2D-FFT to obtain the Range-Doppler (RD) map. The obtained RD map is then subjected to CFAR detection. Since there may be multiple targets in the scene, we further utilize Density-Based Spatial Clustering of Applications with Noise (DBSCAN) clustering on top of CFAR to identify and classify the real targets. Subsequently, by directly utilizing the positions of the targets, we can calculate their range and velocity information.
Figure 4.
The overall processing flow for measuring the range and velocity of a target.
To address the coupling between range and velocity, we employ the algorithm mentioned in Section 3.1 to correct the range-velocity relationship based on the velocities obtained from CFAR and clustering. The corrected data undergoes velocity unaliasing, and after obtaining the unambiguous velocity, we decouple once again to obtain the final high-precision velocity and range. we employ the algorithm mentioned in Section 3.1 to correct the range-velocity relationship based on the velocities obtained from CFAR and clustering.
4. Results
Based on the TDM-MIMO signal model in Section 2, we simulate the echo signals, analyze low-velocity and high-velocity targets, and validate the effectiveness of the algorithm in single-target scenario, and analyze the algorithm’s performance. Key simulation parameters are shown in Table 1.
Table 1.
Key Parameters.
Based on the parameters provided in Table 1, the radar’s maximum unambiguous velocity is determined to be . Assuming a single target located 8 m away from the radar, moving away from it at a constant velocity of 10 , we apply the TDM-MIMO signal model described in Section 2 to derive the raw IF signal. By applying fast-time FFT, we observe the variation of target range with the number of chirps. Notably, the red line serves as the 8 m reference line, as depicted in Figure 5a, revealing an insignificant change in range with chirp number.

Figure 5.
The result of processing with a range of 8 m and a velocity of 10 . (a) The variation of range with respect to the number of chirps; (b) RD after 2-D FFT; (c) The result of CFAR detection masked RD map; (d) the result of DBSCAN; (e) The processing results of the FFT and the proposed method.
Subsequently, after performing slow-time FFT, we obtain the two-dimensional plot of target range and velocity, as illustrated in Figure 5b. Given the uncertainty regarding the number of targets in real-world scenarios, we employ CFAR detection to identify suspected targets. The result of CFAR detection masked RD map is illustrated in Figure 5c. By leveraging the CFAR detection results for clustering, suspected targets are categorized into different classes, as depicted in Figure 5d, where targets of the same color belong to the same class. Figure 5e presents the estimated results of target velocity and range.
Notably, under conditions of low velocity, velocity ambiguity is not observed. Moreover, due to the relatively small velocity, the resulting coupling terms are minimized, leading to favorable FFT results with high precision and minimal error. Specifically, the range error is 0.025 m, and the velocity error is 0.0827 . Utilizing the algorithm proposed in this paper, the range error is estimated to be −0.0035 m, and the velocity error is 0.018 , demonstrating high estimation accuracy.
With the velocity set at 20 and the range remaining at 8 m, the Figure 6a obtained from fast-time FFT shows an increase in range with the number of chirps, moving away from the reference point of 8 m. The slow-time FFT produces an RD graph, as depicted in Figure 6b. However, since the velocity has exceeded the maximum unambiguous velocity, it is evident that the peak velocity is not the desired velocity.
Figure 6.
The result of processing with a range of 8 m and a velocity of 20 . (a) The variation of range with respect to the number of chirps; (b) RD after 2-D FFT; (c) The result of CFAR detection masked RD map; (d) the result of DBSCAN; (e) The processing results of the FFT and the proposed method.
Utilizing CFAR detection and DBSCAN clustering yields the detection results shown in Figure 6c,d. Employing the proposed algorithm, the true velocity of the target, represented by a factor “m” relative to the maximum unambiguous velocity, can be used to resolve the ambiguity in range and velocity obtained from direct FFT processing. Furthermore, the estimated results of range and velocity from the proposed algorithm are illustrated in Figure 6e.
It is evident that as velocity increases, the velocity error estimated by direct FFT also increases, with a velocity error of 0.1178 . In contrast, the error from the proposed algorithm is −0.0113 , and the range accuracy surpasses that of direct FFT processing.
When the range is set to 8 m and the velocity is −50 , due to the high velocity, in Figure 7a, it can be observed that as the number of chirps increases, the range decreases, indicating that the target is gradually approaching the radar, represented by a negative velocity. Figure 7b shows the corresponding RD graph. However, since the velocity exceeds the maximum unambiguous velocity, the peak value is not the desired velocity.
Figure 7.
The result of processing with a range of 8 m and a velocity of −50 . (a) The variation of range with respect to the number of chirps; (b) RD after 2-D FFT; (c) The result of CFAR detection masked RD map; (d) the result of DBSCAN; (e) The processing results of the FFT and the proposed method.
Figure 7c,d show the CFAR detection results and DBSCAN clustering results, respectively. Figure 7e displays the range and velocity obtained through the decoupling and ambiguity resolution algorithm proposed in this paper.
The proposed algorithm is also applied to resolve the velocity ambiguity in direct FFT processing. It can be seen that the range error of direct FFT is 0.14375 m, and the velocity error is 0.3183 . In contrast, the range error of the proposed algorithm is −0.0018 m, and the velocity error is 0.0046 . It is evident that there is a significant improvement in estimation accuracy, especially in cases of high velocity.
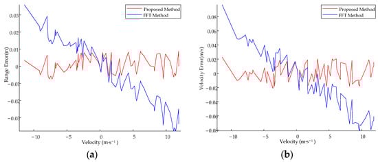
Maintaining the key parameters unchanged, we simulate 75 individual targets with their ranges ranging from 4 m to 9 m, and velocities set within the maximum unambiguous range. The true range-velocity information and the estimated information obtained from direct FFT processing are depicted in Figure 8a. Figure 8b shows the true range and velocity compared with those estimated using the algorithm proposed in this paper. Since the velocity is relatively small, the visual observation error between the two methods is not significant.
Figure 8.
The velocity is within the maximum unambiguous velocity range. (a) The result of FFT method; (b) The result of proposed method.
Figure 9a illustrates the variation of target range error with increasing velocity in the aforementioned simulation. It can be observed that the error generated by the algorithm proposed in this paper is smaller than that obtained from direct FFT calculations, indicating the effective resolution of the coupling relationship between range and velocity by the algorithm, thereby enhancing estimation accuracy. Figure 9b displays the velocity error, demonstrating a significant improvement in velocity estimation accuracy.
Figure 9.
Range error and velocity error when velocity is within the maximum unambiguous velocity range. (a) The variation of range error with velocity; (b) The variation of velocity error with velocity.
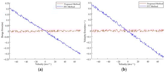
Changing the target’s velocity range to be within to which exceeds the maximum unambiguous velocity. The results of direct FFT and the true range and velocity of the targets are shown in Figure 10a. It can be observed that with higher velocities, there is a significant discrepancy between the estimated results and the true results. Figure 10b depicts the results obtained using the algorithm proposed in this paper, which still demonstrates good estimation performance.
Figure 10.
The velocity ranges from three times the maximum unambiguous velocity to five times the maximum unambiguous velocity. (a) The result of FFT method; (b) The result of proposed method.
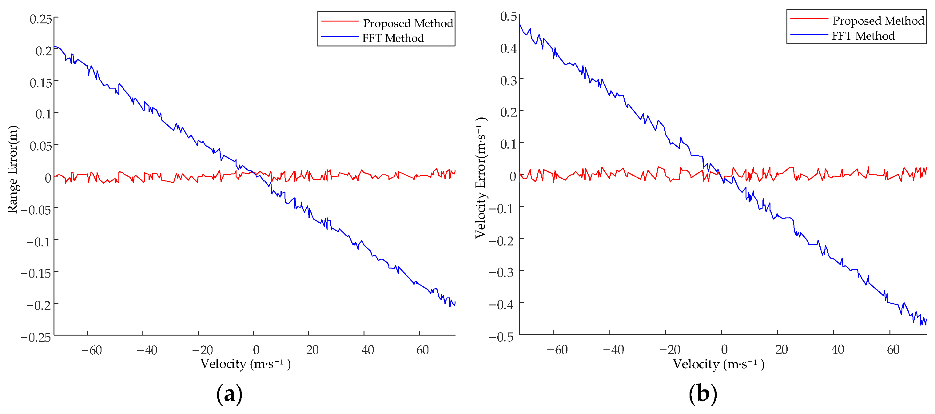
Figure 11a illustrates the variation of range error with increasing velocity, while Figure 11b shows the variation of velocity error with increasing velocity. It can be observed that the algorithm proposed in this paper exhibits a significant improvement in estimation accuracy, with no apparent trend of increase or decrease with increasing velocity.
Figure 11.
Range error and velocity error when velocity ranges from three times the maximum unambiguous velocity to five -times the maximum unambiguous velocity. (a) The variation of range error with velocity; (b) The variation of velocity error with velocity.
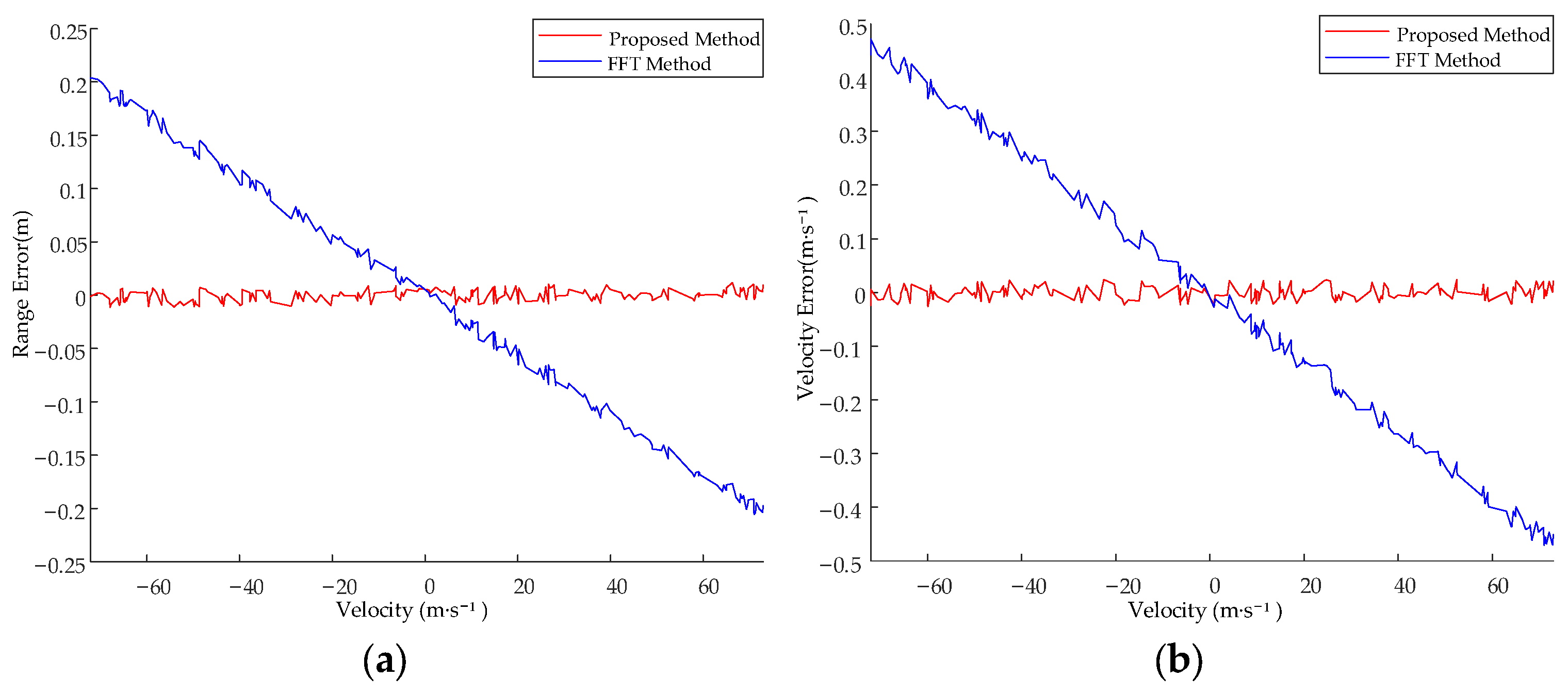
The velocities in the above simulations all remain within a velocity ambiguity region. To validate the high accuracy of our algorithm for road targets, simulations were conducted for ranges ranging from 4 to 9 m and velocities ranging from − to , that is, −73 to 73 . Two hundred single targets were simulated, and the parameters estimated by direct FFT and our proposed algorithm are shown in Figure 12a and Figure 12b, respectively.
Figure 12.
The velocity ranges from negative six times the maximum unambiguous velocity to six times the maximum unambiguous velocity. (a) The comparison of FFT result and the simulation setting; (b) The comparison of proposed result and the simulation setting.
Figure 13a depicts the variation of range error in parameter estimation as velocity increases, comparing direct FFT detection with the algorithm proposed in this paper. It can be observed that the proposed algorithm exhibits good stability across the entire velocity range, with range error showing no significant fluctuations with increasing velocity, indicating relatively high estimation accuracy. Figure 13b illustrates the change in velocity error with increasing velocity. It is evident that the velocity accuracy of the proposed algorithm is significantly better than that of direct FFT estimation results, demonstrating high stability as well.
Figure 13.
Range error and velocity error when velocity ranges from negative six times the maximum unambiguous velocity to six times the maximum unambiguous velocity. (a) The variation of range error with velocity; (b) The variation of velocity error with velocity.
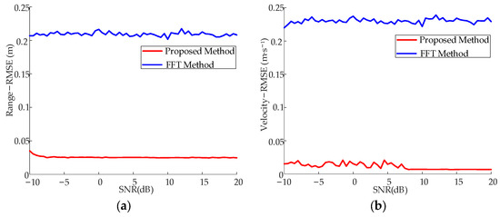
To evaluate the effectiveness and stability of the algorithm, simulation parameters are set as shown in Table 2. Since the target’s position in the RD diagram cannot be correctly determined when the SNR is less than −15 dB, SNR is set from −10 dB to 20 dB with a step size of 0.5 dB for validation. For each SNR, 1000 Monte Carlo simulations are conducted. The range is fixed at 15 m, and the velocity varies randomly from −80 m/s to 80 m/s. The root mean square error (RMSE) of range and velocity for the FFT method and the proposed method is calculated, with the RMSE formula as follows:
where the N is the number of Monte Carlo simulations, is the estimator of the parameter, and is the true value of the parameter.
Table 2.
Key parameters of the Monte Carlo simulation experiment.
Figure 14a shows the change in RMSE of range as SNR increases, and Figure 14b shows the change in RMSE of velocity with SNR. It can be observed that the accuracy of the proposed algorithm is significantly better than the direct FFT results, and both the range and velocity accuracy are very stable.
Figure 14.
The RMSE of range and velocity as a function of SNR. (a) Comparison of range RMSE with SNR of the two methods; (b) Comparison of velocity RMSE with SNR of the two methods.
5. Discussion
This paper proposes a method for decoupling range and velocity based on radar echo signals and a method for velocity de-aliasing based on velocity compensation. The unique aspect of this algorithm is its consideration of the coupling terms between range and velocity in radar echoes. These coupling terms can introduce errors in the estimation of range and velocity, thereby reducing the estimation accuracy. By employing a decoupling method based on the original echo data, this algorithm builds an estimation model on the basis of direct FFT results, solving a system of equations to obtain decoupled parameter estimates and achieving joint parameter estimation without the need for registration. Simulation verification shows that this method maintains high estimation accuracy even in low SNR environments.
Specifically, the decoupling method accurately considers the coupling terms between range and velocity, reducing their impact on measurement results during estimation. Even in low SNR scenarios, this method can accurately separate and estimate the target’s range and velocity. However, for high-speed targets (>120 ), the direct FFT data cannot accurately reflect the target’s velocity, leading to increased errors. Nevertheless, the errors of this method remain smaller than those of direct FFT, demonstrating superior performance.
Additionally, this paper addresses the velocity ambiguity problem caused by the Nyquist sampling theorem by proposing a velocity de-aliasing method based on velocity compensation. Compared to traditional de-aliasing algorithms, this method only requires a single pulse repetition frequency and does not need additional pulses, making it simpler to implement. Simulation results show significant improvements in the accuracy of range and velocity measurements and successful velocity de-aliasing, further validating the effectiveness and practicality of this method.
Author Contributions
Conceptualization, P.C. and J.W.; methodology, P.C. and J.S.; software, J.S.; validation, J.S., Y.B. and Y.D.; formal analysis, P.C. and J.S.; investigation, J.S.; resources, P.C. and J.W.; data curation, J.S. and L.T.; writing—original draft preparation, J.S.; writing—review and editing, P.C. and J.S.; visualization, J.S. and L.T.; supervision, P.C. and J.W.; project administration, P.C.; funding acquisition, P.C. All authors have read and agreed to the published version of the manuscript.
Funding
This research was funded in part by the Open Fund of Qianjiang Laboratory, Hangzhou Innovation Institute, Beihang University, under Grant 2020-Y7-A-010.
Data Availability Statement
The original contributions presented in the study are included in the article, further inquiries can be directed to the corresponding author.
Conflicts of Interest
The authors declare no conflict of interest.
References
- Yang, B.; Zhang, H. A CFAR Algorithm Based on Monte Carlo Method for Millimeter-Wave Radar Road Traffic Target Detection. Remote Sens. 2022, 14, 1779. [Google Scholar] [CrossRef]
- Yang, B.; Zhang, H.; Du, M.; Wang, A.; Xiong, K. Urban Traffic Congestion Alleviation System Based on Millimeter Wave Radar and Improved Probabilistic Neural Network. IET Radar Sonar Navig. 2024, 18, 327–343. [Google Scholar] [CrossRef]
- Rai, P.K.; Idsøe, H.; Yakkati, R.R.; Kumar, A.; Ali Khan, M.Z.; Yalavarthy, P.K.; Cenkeramaddi, L.R. Localization and Activity Classification of Unmanned Aerial Vehicle Using mmWave FMCW Radars. IEEE Sens. J. 2021, 21, 16043–16053. [Google Scholar] [CrossRef]
- Venon, A.; Dupuis, Y.; Vasseur, P.; Merriaux, P. Millimeter Wave FMCW RADARs for Perception, Recognition and Localization in Automotive Applications: A Survey. IEEE Trans. Intell. Veh. 2022, 7, 533–555. [Google Scholar] [CrossRef]
- Waldschmidt, C.; Hasch, J.; Menzel, W. Automotive Radar—From First Efforts to Future Systems. IEEE J. Microw. 2021, 1, 135–148. [Google Scholar] [CrossRef]
- Xiao, M.; Wang, H.; Chen, Z.; Fu, Y.; Wu, S.; Sun, Z. Overview of the Development of Millimeter Wave Cloud Radar Technology. In Proceedings of the 2023 4th China International SAR Symposium (CISS), Xi’an, China, 4–6 December 2023; IEEE: New York, NY, USA, 2023; pp. 1–6. [Google Scholar]
- Klotz, M.; Rohling, H. 24 GHz Radar Sensors for Automotive Applications. In Conference Proceedings (IEEE Cat. No.00EX428), Proceedings of the 13th International Conference on Microwaves, Radar and Wireless Communications. MIKON—2000, Wroclaw, Poland, 22–24 May 2000; IEEE: New York, NY, USA, 2000; Volume 1, pp. 359–362. [Google Scholar]
- Wang, X. Design of the Frequency Modulated Continuous Wave (FMCW) Waveforms, Simulation of the Real Road Scenario and Signal Processing for the Automotive Adaptive Cruise Control. In Proceedings of the 2021 IEEE International Conference on Power Electronics, Computer Applications (ICPECA), Shenyang, China, 22–24 January 2021; IEEE: New York, NY, USA, 2021; pp. 815–830. [Google Scholar]
- Liu, G.; Zhou, M.; Wang, L.; Wang, H.; Guo, X. A Blind Spot Detection and Warning System Based on Millimeter Wave Radar for Driver Assistance. Optik 2017, 135, 353–365. [Google Scholar] [CrossRef]
- Lübke, M.; Hamoud, H.; Fuchs, J.; Dubey, A.; Weigel, R.; Lurz, F. Channel Characterization at 77 GHz for Vehicular Communication. In Proceedings of the 2020 IEEE Vehicular Networking Conference (VNC), Ulm, Germany, 16–18 December 2020; IEEE: New York, NY, USA, 2020; pp. 1–4. [Google Scholar]
- Lübke, M.; Fuchs, J.; Shatov, V.; Dubey, A.; Weigel, R.; Lurz, F. Simulation Environment of a Communication System Using CDMA at 77 GHz. In Proceedings of the 2020 International Wireless Communications and Mobile Computing (IWCMC), Limassol, Cyprus, 15–19 June 2020; IEEE: New York, NY, USA, 2020; pp. 1946–1951. [Google Scholar]
- Bechter, J.; Roos, F.; Waldschmidt, C. Compensation of Motion-Induced Phase Errors in TDM MIMO Radars. IEEE Microw. Wirel. Compon. Lett. 2017, 27, 1164–1166. [Google Scholar] [CrossRef]
- Cui, W.; Wu, S.; Shen, Q.; Tian, J.; Wu, S.-L.; Xia, X.-G. Parameter Estimation Method for Radar Maneuvering Target with Arbitrary Migrations. IEEE Trans. Aerosp. Electron. Syst. 2019, 55, 2195–2213. [Google Scholar] [CrossRef]
- Moussa, A.; Liu, W. Fast and Accurate Range-Doppler Estimation in Multi-Target Wideband Automotive FMCW Radar. In Proceedings of the 2020 International Conference on UK-China Emerging Technologies (UCET), Glasgow, UK, 20–21 August 2020; IEEE: New York, NY, USA, 2020; pp. 1–4. [Google Scholar]
- Zhang, Y.; Meng, H.; Hu, C.; Liu, Y.; Du, Z. Road and Vehicle Detection in Highway Scene for Automotive FMCW Antenna Array Radar; The Institution of Engineering and Technology: Stevenage, UK, 2015. [Google Scholar] [CrossRef]
- Ding, J.; Zhu, D.; Zhang, B.; Chen, W.; Pan, S. Photonics-Based Receiver for Decoupled Velocity and Range Measurement. In Proceedings of the 2019 18th International Conference on Optical Communications and Networks (ICOCN), Huangshan, China, 5–8 August 2019; IEEE: New York, NY, USA, 2019; pp. 1–3. [Google Scholar]
- Lu, J.; Xi, Z.; Zhang, M. MTD Processing Based on Keystone Transform for LFMCW Radar. In Proceedings of the 2016 IEEE Advanced Information Management, Communicates, Electronic and Automation Control Conference (IMCEC), Xi’an, China, 3–5 October 2016; IEEE: New York, NY, USA, 2016; pp. 310–313. [Google Scholar]
- Li, G.; Xia, X.-G.; Xu, J.; Peng, Y.-N. A Velocity Estimation Algorithm of Moving Targets using Single Antenna SAR. IEEE Trans. Aerosp. Electron. Syst. 2009, 45, 1052–1062. [Google Scholar] [CrossRef]
- García, F.D.A.; Guerreiro, A.S.; Tejerina, G.R.D.L.; Filho, J.C.S.S.; Fraidenraich, G.; Yacoub, M.D. Doppler Estimation for High-Velocity Targets Using Subpulse Processing and the Classic Chinese Remainder Theorem. arXiv 2021. [Google Scholar] [CrossRef]
- Coutinho, F.R.; Stakowian, A.L.; da Silva, M.J. A Fast and Improved Dual-PRT Doppler Technique for Industrial Flow Metering. IEEE Sens. Lett. 2023, 7, 7004404. [Google Scholar] [CrossRef]
- Wang, W.; Xia, X.-G. A Closed-Form Robust Chinese Remainder Theorem and Its Performance Analysis. IEEE Trans. Signal Process. 2010, 58, 5655–5666. [Google Scholar] [CrossRef]
- Hasch, J.; Fink, M.; Schmid, T. 77 GHz 4 × 4 TDM MIMO Radar with an Extended Unambiguous Velocity Range. In Proceedings of the 2022 19th European Radar Conference (EuRAD), Milan, Italy, 28–30 September 2022; IEEE: New York, NY, USA, 2022; pp. 1–4. [Google Scholar]
- Xu, L.; Sun, S.; Mishra, K.V.; Zhang, Y.D. Automotive FMCW Radar with Difference Co-Chirps. IEEE Trans. Aerosp. Electron. Syst. 2023, 59, 8145–8165. [Google Scholar] [CrossRef]
- Zheng, R.; Liu, H.; Sun, S. A Deep Learning Approach for Doppler Unfolding in Automotive TDM MIMO Radar. In Proceedings of the 2022 56th Asilomar Conference on Signals, Systems, and Computers, Pacific Grove, CA, USA, 31 October–2 November 2022; IEEE: New York, NY, USA, 2022; pp. 1121–1125. [Google Scholar]
- Zheng, R.; Sun, S.; Liu, H.; Wu, T. Deep-Neural-Network-Enabled Vehicle Detection Using High-Resolution Automotive Radar Imaging. IEEE Trans. Aerosp. Electron. Syst. 2023, 59, 4815–4830. [Google Scholar] [CrossRef]
Disclaimer/Publisher’s Note: The statements, opinions and data contained in all publications are solely those of the individual author(s) and contributor(s) and not of MDPI and/or the editor(s). MDPI and/or the editor(s) disclaim responsibility for any injury to people or property resulting from any ideas, methods, instructions or products referred to in the content. |
© 2024 by the authors. Licensee MDPI, Basel, Switzerland. This article is an open access article distributed under the terms and conditions of the Creative Commons Attribution (CC BY) license (https://creativecommons.org/licenses/by/4.0/).














