Study on the Identification, Failure Mode, and Spatial Distribution of Bank Collapses after the Initial Impoundment in the Head Section of Baihetan Reservoir in Jinsha River, China
Abstract
1. Introduction
2. Geological Setting
3. Data and Methodology
4. Results and Analysis
4.1. Bank Collapse Interpretation Criterion
4.2. Bank Collapse Modes
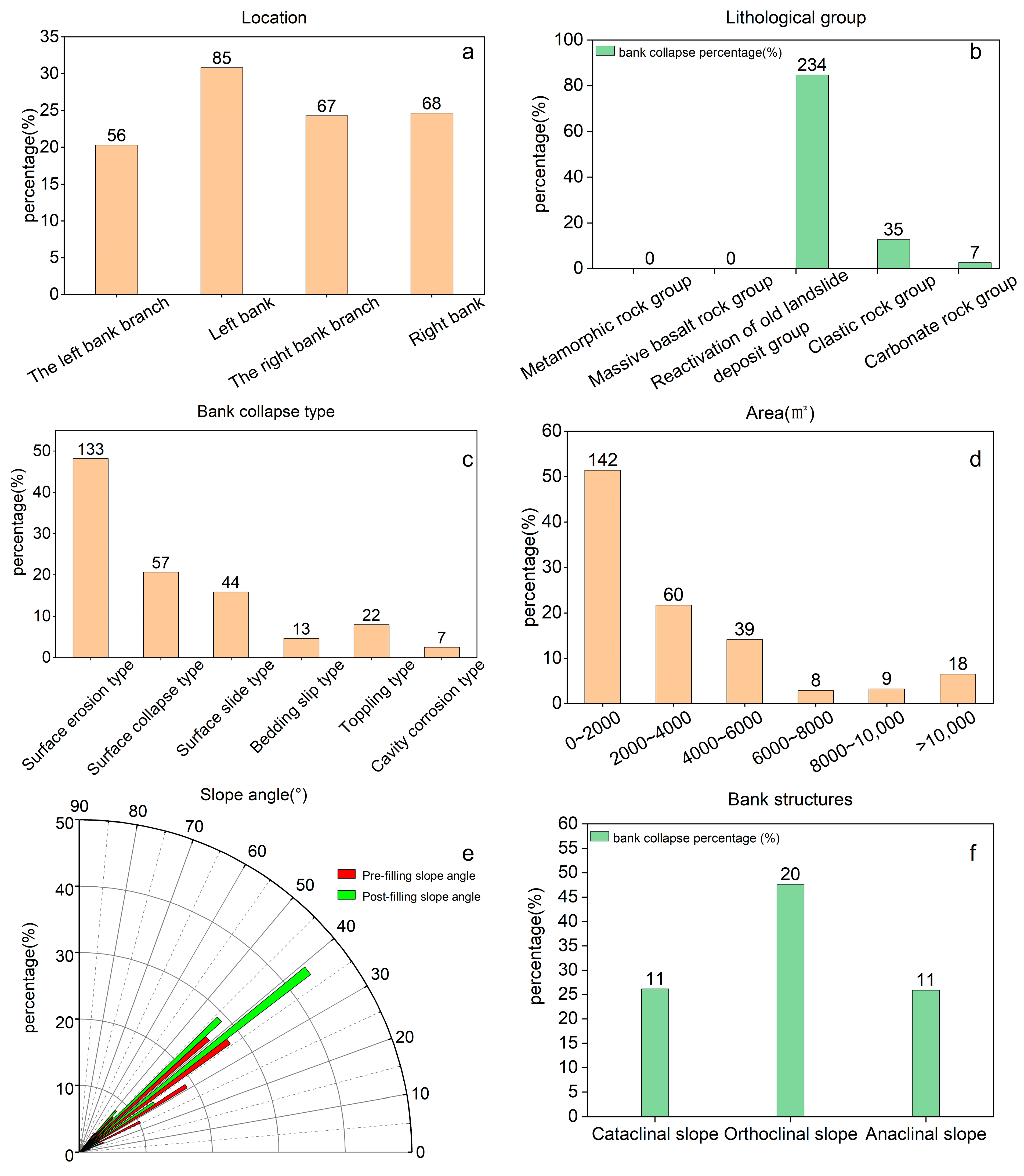
4.3. Bank Collapse Distribution Laws
5. Discussion
5.1. Geological Conditions Susceptible to Bank Collapse
5.2. Linkages and Differences between Bank Failures and Reservoir Landslides
5.3. Influence Factors and Research Shortcomings of This Paper
6. Conclusions
Author Contributions
Funding
Data Availability Statement
Acknowledgments
Conflicts of Interest
References
- Wang, S.J.; Ma, F.S.; Du, Y.L. On the rock-water interaction in reservoir areas and its geoenvironmental effect. J. Eng. Geol. 1996, 4, 1–9. [Google Scholar]
- Wang, S.T.; Liu, H.C.; Zhang, Z.Y.; Huang, R.Q.; Xu, M.S.; Yue, Q.; Wang, S.J.; Du, Y.L.; Ma, F.S.; Ding, E.B. Water-rock interactions in large waters and their environmental effects. J. Geol. Hazards Environ. Preserv. 1997, 8, 70–90. [Google Scholar]
- Shu, A.P.; Li, F.H.; Yang, K. Bank-Collapse Disasters in the Wide Valley Desert Reach of the Upper Yellow River. Procedia Environ. Sci. 2012, 13, 2451–2457. [Google Scholar] [CrossRef]
- Li, L.; Yao, X.; Yao, J.; Zhou, Z.; Feng, X.; Liu, X. Analysis of Deformation Characteristics for a Reservoir Landslide before and after Impoundment by Multiple D-InSAR Observations at Jinshajiang River, China. Nat. Hazards 2019, 98, 719–733. [Google Scholar] [CrossRef]
- Liu, X.; Zhao, C.; Zhang, Q.; Lu, Z.; Li, Z.; Yang, C.; Zhu, W.; Liu-Zeng, J.; Chen, L.; Liu, C. Integration of Sentinel-1 and ALOS/PALSAR-2 SAR Datasets for Mapping Active Landslides along the Jinsha River Corridor, China. Eng. Geol. 2021, 284, 106033. [Google Scholar] [CrossRef]
- Li, L.; Xu, C.; Yao, X.; Shao, B.; Ouyang, J.; Zhang, Z.; Huang, Y. Large-Scale Landslides around the Reservoir Area of Baihetan Hydropower Station in Southwest China: Analysis of the Spatial Distribution. Nat. Hazards Res. 2022, 2, 218–229. [Google Scholar] [CrossRef]
- Cheng, Z.; Liu, S.; Fan, X.; Shi, A.; Yin, K. Deformation Behavior and Triggering Mechanism of the Tuandigou Landslide around the Reservoir Area of Baihetan Hydropower Station. Landslides 2023, 20, 1679–1689. [Google Scholar] [CrossRef]
- Tang, H.M. Study on reservoir bank collapse and its engineering prevention in the three gorges areas, Changjiang river. Quat. Sci. 2003, 23, 648–656. [Google Scholar]
- Tang, H.; Wasowski, J.; Juang, C.H. Geohazards in the Three Gorges Reservoir Area, China—Lessons Learned from Decades of Research. Eng. Geol. 2019, 261, 105267. [Google Scholar] [CrossRef]
- Tang, M.G. Research of Forecast, Evaluation and Protective Measures of Bank Failure in Mountain Reservoir—A Case of Three Gorges Reservoir. Ph.D. Thesis, Chengdu University of Technology, Chengdu, China, 2007. [Google Scholar]
- Ji, F.; Ge, H.; Liu, H.C.; Wang, X.W. The Geological Survey on Existing State of Reservoir Bank Collapse Occurred in Wanzhou, Chongqing. J. Mt. Sci. 2007, 25, 190–196. [Google Scholar]
- Ye, R.Q.; Fu, X.L.; Huo, Z.T.; Wu, R.Z.; Yang, J.Y. Investigation and Analysis of Bank Collapses During 175 m Water Level Trial Impounding of Three Gorges Reservoir Area. Geol. Miner. Resour. South China 2019, 35, 348–353. [Google Scholar]
- Liang, R.F.; Xu, P. Spatio-temporal Variation Characteristics and Influencing Factors of Bank Collapse in Reservoir Area of Jinghong Hydropower Station. Pearl River 2020, 41, 48–54+71. [Google Scholar]
- Osman, A.M.; Thorne, C.R. Riverbank Stability Analysis. I: Theory. J. Hydraul. Eng. 1988, 114, 134–150. [Google Scholar] [CrossRef]
- Thorne, C.R.; Osman, A.M. Riverbank Stability Analysis. II: Applications. J. Hydraul. Eng. 1988, 114, 151–172. [Google Scholar] [CrossRef]
- Tang, M.G.; Xu, Q.; Huang, R.Q. Types of typical bank slope collapses on the three gorges reservoir. J. Eng. Geol. 2006, 14, 172–177. [Google Scholar]
- Xu, Q.; Tang, M.; Huang, R. An Evaluation Study of Bank Collapse Prediction in the Three Gorges Reservoir Area. In Landslide Disaster Mitigation in Three Gorges Reservoir, China; Wang, F., Li, T., Eds.; Environmental Science and Engineering; Springer: Berlin/Heidelberg, Germany, 2009; pp. 147–172. ISBN 978-3-642-00131-4. [Google Scholar]
- Dong, X.J.; Deng, B.; Yuan, F.Y.; Fu, X.; Zhang, W.J.; Ju, Y.Z.; Ren, X.H. Application of Aerial Remote Sensing in Geological Hazards: Current Situation and Prospects. Geomat. Inf. Sci. Wuhan Univ. 2023, 48, 1897–1913. [Google Scholar] [CrossRef]
- Filice, F.; Pezzo, A.; Lollino, P.; Perrotti, M.; Ietto, F. Multi-Approach for the Assessment of Rock Slope Stability Using in-Field and UAV Investigations. Bull. Eng. Geol. Environ. 2022, 81, 502. [Google Scholar] [CrossRef]
- Vivaldi, V.; Bordoni, M.; Mineo, S.; Crozi, M.; Pappalardo, G.; Meisina, C. Airborne Combined Photogrammetry—Infrared Thermography Applied to Landslide Remote Monitoring. Landslides 2023, 20, 297–313. [Google Scholar] [CrossRef]
- Al-Rawabdeh, A.; He, F.; Moussa, A.; El-Sheimy, N.; Habib, A. Using an Unmanned Aerial Vehicle-Based Digital Imaging System to Derive a 3D Point Cloud for Landslide Scarp Recognition. Remote Sens. 2016, 8, 95. [Google Scholar] [CrossRef]
- Bemis, S.P.; Micklethwaite, S.; Turner, D.; James, M.R.; Akciz, S.; Thiele, S.T.; Bangash, H.A. Ground-Based and UAV-Based Photogrammetry: A Multi-Scale, High-Resolution Mapping Tool for Structural Geology and Paleoseismology. J. Struct. Geol. 2014, 69, 163–178. [Google Scholar] [CrossRef]
- Zhou, Z.K. Study of Geo-Hazards Investigation for Baihetan Reservoir bank by InSAR Technology. Ph.D. Thesis, Chinese Academy of Geological Sciences, Beijing, China, 2018. [Google Scholar]
- Sauchyn, D.J.; Cruden, D.M.; Hu, X.Q. Structural Control of the Morphometry of Open Rock Basins, Kananaskis Region, Canadian Rocky Mountains. Geomorphology 1998, 22, 313–324. [Google Scholar] [CrossRef]
- Meentemeyer, R.K.; Moody, A. Automated Mapping of Conformity between Topographic and Geological Surfaces. Comput. Geosci. 2000, 26, 815–829. [Google Scholar] [CrossRef]
- Tang, S.C.; Chai, H.J.; Feng, W.K. Research on Embankment Slope Classification of Three Gorges Reservoir Areas. Technol. Highw. Transp. 2005, 5, 39–42. [Google Scholar]
- Tan, Y.; Xiang, N.; Jiang, W.X. Statistical Analysis for Landsliding Characteristic Parameters in Xiangjiaba Reservoir Area. Technol. Highw. Transp. 2015, 5–8. [Google Scholar] [CrossRef]
- Li, L.; Wen, B.; Yao, X.; Zhou, Z.; Zhu, Y. InSAR-Based Method for Monitoring the Long-Time Evolutions and Spatial-Temporal Distributions of Unstable Slopes with the Impact of Water-Level Fluctuation: A Case Study in the Xiluodu Reservoir. Remote Sens. Environ. 2023, 295, 113686. [Google Scholar] [CrossRef]
- Li, C.Y.; Wang, X.C.; He, C.Z.; Wu, X.; Kong, Z.Y.; Li, X.L. China National Digital Geological Map (Public Version at 1:200 000 Scale) Spatial Database. Geol. China 2019, 46, 1–10. [Google Scholar] [CrossRef]
- Hungr, O.; Leroueil, S.; Picarelli, L. The Varnes Classification of Landslide Types, an Update. Landslides 2014, 11, 167–194. [Google Scholar] [CrossRef]
- Gatto, L.W.; Doe, W.W. Bank Conditions and Erosion along Selected Reservoirs. Environ. Geol. Water Sci. 1987, 9, 143–154. [Google Scholar] [CrossRef]
- Ma, X.; Li, T.; Gao, D.; Li, Q.; Wang, C.; Zhang, H.; Li, C. Study on Prediction Method of Reservoir Bank Collapse in Loess Area. Bull. Eng. Geol. Environ. 2023, 82, 335. [Google Scholar] [CrossRef]
- Ji, F.; Shi, Y.; Li, R.; Zhou, H.; Wang, D.; Zhang, J. Progressive Geomorphic Evolution of Reservoir Bank in Coarse-Grained Soil in East China—Insights from Long-Term Observations and Physical Model Test. Eng. Geol. 2021, 281, 105966. [Google Scholar] [CrossRef]
- Zhao, K.; Coco, G.; Gong, Z.; Darby, S.E.; Lanzoni, S.; Xu, F.; Zhang, K.; Townend, I. A Review on Bank Retreat: Mechanisms, Observations, and Modeling. Rev. Geophys. 2022, 60, e2021RG000761. [Google Scholar] [CrossRef]
- Lawler, D.M. The Measurement of River Bank Erosion and Lateral Channel Change: A Review. Earth Surf. Process. Landf. 1993, 18, 777–821. [Google Scholar] [CrossRef]
- Dapporto, S.; Rinaldi, M.; Casagli, N.; Vannocci, P. Mechanisms of Riverbank Failure along the Arno River, Central Italy. Earth Surf. Process. Landf. 2003, 28, 1303–1323. [Google Scholar] [CrossRef]
- Davis, L.; Harden, C.P. Factors contributing to bank stability in channelized, alluvial streams. River Res. Appl. 2014, 30, 71–80. [Google Scholar] [CrossRef]
- Xu, L.; Wang, Y.; Zhao, W.; Jiang, E. Review on Riverbank Soil Collapse. MATEC Web Conf. 2018, 246, 01021. [Google Scholar] [CrossRef]
- Ji, F.; Liu, C.; Shi, Y.; Feng, W.; Wang, D. Characteristics and Parameters of Bank Collapse in Coarse-Grained-Material Reservoirs Based on Back Analysis and Long Sequence Monitoring. Geomorphology 2019, 333, 92–104. [Google Scholar] [CrossRef]
- Ji, F.; Shi, Y.; Zhou, H.; Liu, H.; Liao, Y. Experimental Research on the Effect of Slope Morphology on Bank Collapse in Mountain Reservoir. Nat. Hazards 2017, 86, 165–181. [Google Scholar] [CrossRef]
- Ji, F.; Liu, C.; Zhou, H.; Liu, H.; Liao, Y. Identifying the Influences of Geological Factors on Reservoir Bank Collapse by a Model Test. Bull. Eng. Geol. Environ. 2018, 77, 127–139. [Google Scholar] [CrossRef]
- Zhao, J.; Zhang, H.; Yang, C.; Lee, L.M.; Zhao, X.; Lai, Q. Experimental Study of Reservoir Bank Collapse in Gravel Soil under Different Slope Gradients and Water Levels. Nat. Hazards 2020, 102, 249–273. [Google Scholar] [CrossRef]
- Zhang, X.; Meng, Q.; Zhang, F. Influence of Wind-Generated Wave Action on Mountain Reservoir Bank Collapse: A Case Study at the Lancang River, Western China. Lithosphere 2022, 2021, 6427717. [Google Scholar] [CrossRef]













| Rock | Deposit | |||
|---|---|---|---|---|
| Angle between the discontinuity and the slope aspect | Basalt structure (IV) | Reactivation of old landslide deposit (V) | ||
| 0–45° | 45–135° | 135–180° | ||
| Cataclinal slope (I) | Orthclinal slope (II) | Anaclinal slope (III) | ||
| UAV Type | RGB Camera | Sensor Size | Image Size | Pixel Size | Focal Length |
|---|---|---|---|---|---|
| DJI M300RTK | ZENMUSE P1 | 35.9 × 24 mm | 8192 × 5460 px | 4.4 μm | 35 mm |
| Front Overlap Rate | Slide Overlap Rate | Relative Flying Height | Flight Mode | Dom Resolution | Dem Resolution |
| 85% | 65% | 500 m | Terrain following photogrammetry | 0.06 m | 0.06 m |
| Material | Characteristics | Type | Code | |
|---|---|---|---|---|
| Deposit: reactivation of old landslide deposit | Erosion of weathered deposit | Surface erosion type | A | |
| The profile pattern shows two sections, steep at the top and slow at the bottom | Surface collapse type | D | ||
| Surface develops tension cracks | Surface slide type | C | ||
| Rock | Clastic rock | Exposure of smooth rock layer faces | Bedding slip type | F |
| Rock toppling | Toppling type | B | ||
| Carbonate rock | Cavity development | Cavity corrosion type | E | |
| Bank Collapse Type | Number of Bank Collapse | Areas of Mapped Bank Collapse (m2) | |||
|---|---|---|---|---|---|
| Minimum | Maximum | Average | Total | ||
| Surface erosion type | 133 | 117 | 11,060 | 2115 | 281,304 |
| Surface collapse type | 57 | 341 | 23,201 | 3354 | 191,184 |
| Surface slide type | 44 | 517 | 82,026 | 8550 | 376,189 |
| Bedding slip type | 13 | 2368 | 88,383 | 11,166 | 145,159 |
| Toppling type | 22 | 458 | 20,520 | 3615 | 79,528 |
| Cavity corrosion type | 7 | 1389 | 12,000 | 4679 | 32,752 |
| Bank Collapse Code | Type | Area (m2) | Length (m) | Width (m) | Hight (m) | Threat Object |
|---|---|---|---|---|---|---|
| 1 | Surface slide type | 7049 | 116 | 73 | 43 | Roads |
| 2 | Surface slide type | 31,254 | 188 | 163 | 92 | Storeroom |
| 3 | Bedding slip type | 88,383 | 651 | 199 | 163 | Roads and tunnels |
| 4 | Toppling type | 6434 | 200 | 48 | 33 | Bridge |
| 5 | Surface erosion type | 9830 | 172 | 92 | 58 | Residential buildings |
Disclaimer/Publisher’s Note: The statements, opinions and data contained in all publications are solely those of the individual author(s) and contributor(s) and not of MDPI and/or the editor(s). MDPI and/or the editor(s) disclaim responsibility for any injury to people or property resulting from any ideas, methods, instructions or products referred to in the content. |
© 2024 by the authors. Licensee MDPI, Basel, Switzerland. This article is an open access article distributed under the terms and conditions of the Creative Commons Attribution (CC BY) license (https://creativecommons.org/licenses/by/4.0/).
Share and Cite
Yao, C.; Li, L.; Yao, X.; Li, R.; Ren, K.; Jiang, S.; Chen, X.; Ma, L. Study on the Identification, Failure Mode, and Spatial Distribution of Bank Collapses after the Initial Impoundment in the Head Section of Baihetan Reservoir in Jinsha River, China. Remote Sens. 2024, 16, 2253. https://doi.org/10.3390/rs16122253
Yao C, Li L, Yao X, Li R, Ren K, Jiang S, Chen X, Ma L. Study on the Identification, Failure Mode, and Spatial Distribution of Bank Collapses after the Initial Impoundment in the Head Section of Baihetan Reservoir in Jinsha River, China. Remote Sensing. 2024; 16(12):2253. https://doi.org/10.3390/rs16122253
Chicago/Turabian StyleYao, Chuangchuang, Lingjing Li, Xin Yao, Renjiang Li, Kaiyu Ren, Shu Jiang, Ximing Chen, and Li Ma. 2024. "Study on the Identification, Failure Mode, and Spatial Distribution of Bank Collapses after the Initial Impoundment in the Head Section of Baihetan Reservoir in Jinsha River, China" Remote Sensing 16, no. 12: 2253. https://doi.org/10.3390/rs16122253
APA StyleYao, C., Li, L., Yao, X., Li, R., Ren, K., Jiang, S., Chen, X., & Ma, L. (2024). Study on the Identification, Failure Mode, and Spatial Distribution of Bank Collapses after the Initial Impoundment in the Head Section of Baihetan Reservoir in Jinsha River, China. Remote Sensing, 16(12), 2253. https://doi.org/10.3390/rs16122253

