Medium-Scale Soil Moisture Retrievals Using an ELBARA L-Band Radiometer Using Time-Dependent Parameters for Wetland-Meadow-Cropland Site
Abstract
1. Introduction
- Perform a calibration procedure for ELBARA brightness temperature (Tb) retrievals for a wetland-meadow-cropland test site using the results of five in situ measuring campaigns realized in 2018 to estimate the time-dependent dynamics of ω-τ model parameters, focusing on three specific types of land cover present at the Bubnów-Sęków test site.
 - Afterwards, based on the calibration results in the form of time-dependent ω-τ model coefficients the medium-scale soil moisture values using brightness temperature levels recorded using ELBARA in 2019 were evaluated and compared with in situ point measurements also performed in 2019.
 
2. Materials and Methods
2.1. Bubnów-Sęków Test Site with an Agrometeorological Station and an ELBARA Instrument
2.2. ELBARA L-Band Passive Radiometer
2.3. In Situ Measurements at the Bubnów-Sęków Test Site
2.4. τ-ω Model for ELBARA Tb Parametrisation
2.5. Soil Moisture Retrievals Using an ELBARA Tb
3. Results and Discussion
4. Conclusions
Author Contributions
Funding
Data Availability Statement
Conflicts of Interest
References
- Jiang, J.; Zhou, T. Agricultural drought over water-scarce Central Asia aggravated by internal climate variability. Nat. Geosci. 2023, 16, 154–161. [Google Scholar] [CrossRef]
 - Boken, V. Agricultural Drought and Its Monitoring and Prediction: Some Concepts. In Monitoring and Predicting Agricultural Drought: A Global Study; Oxford Academic: New York, NY, USA, 2005. [Google Scholar] [CrossRef]
 - Rojas, O. Agricultural extreme drought assessment at global level using the FAO-Agricultural Stress Index System (ASIS). Weather Clim. Extrem. 2020, 27, 100184. [Google Scholar] [CrossRef]
 - de Oliveira, A.C.; Marini, N.; Farias, D.R. Climate Change: New Breeding Pressures and Goals. In Encyclopedia of Agriculture and Food Systems; Van Alfen, N.K., Ed.; Academic Press: Cambridge, MA, USA, 2014; pp. 284–293. ISBN 9780080931395. [Google Scholar] [CrossRef]
 - Celik, M.F.; Isik, M.S.; Yuzugullu, O.; Fajraoui, N.; Erten, E. Soil Moisture Prediction from Remote Sensing Images Coupled with Climate, Soil Texture and Topography via Deep Learning. Remote Sens. 2022, 14, 5584. [Google Scholar] [CrossRef]
 - Vergopolan, N.; Chaney, N.W.; Pan, M.; Sheffield, J.; Beck, H.E.; Ferguson, C.R.; Torres-Rojas, L.; Sadri, S.; Wood, E.F. SMAP-HydroBlocks, a 30-m satellite-based soil moisture dataset for the conterminous US. Sci. Data 2021, 8, 264. [Google Scholar] [CrossRef] [PubMed]
 - Skulovich, O.; Gentine, P. A Long-term Consistent Artificial Intelligence and Remote Sensing-based Soil Moisture Dataset. Sci. Data 2023, 10, 154. [Google Scholar] [CrossRef] [PubMed]
 - Wigneron, J.-P.; Li, X.; Frappart, F.; Fan, L.; Al-Yaari, A.; De Lannoy, G.; Liu, X.; Wang, M.; Le Masson, E.; Moisy, C. SMOS-IC data record of soil moisture and L-VOD: Historical development, applications and perspectives. Remote Sens. Environ. 2021, 254, 112238. [Google Scholar] [CrossRef]
 - Abowarda, A.S.; Bai, L.; Zhang, C.; Long, D.; Li, X.; Huang, Q.; Sun, Z. Generating surface soil moisture at 30 m spatial resolution using both data fusion and machine learning toward better water resources management at the field scale. Remote Sens. Environ. 2021, 255, 112301. [Google Scholar] [CrossRef]
 - Babaeian, E.; Paheding, S.; Siddique, N.; Devabhaktuni, V.K.; Tuller, M. Estimation of root zone soil moisture from ground and remotely sensed soil information with multisensor data fusion and automated machine learning. Remote Sens. Environ. 2021, 260, 112434. [Google Scholar] [CrossRef]
 - Huang, S.; Zhang, X.; Chen, N.; Ma, H.; Fu, P.; Dong, J.; Gu, X.; Nam, W.-H.; Xu, L.; Rab, G.; et al. A novel fusion method for generating surface soil moisture data with high accuracy, high spatial resolution, and high spatio-temporal continuity. Water Resour. Res. 2022, 58, e2021WR030827. [Google Scholar] [CrossRef]
 - Reynolds, S.G. The gravimetric method of soil moisture determination Part I A study of equipment, and methodological problems. J. Hydrol. 1970, 11, 258–273. [Google Scholar] [CrossRef]
 - He, H.; Aogu, K.; Li, M.; Xu, J.; Sheng, W.; Jones, S.B.; González-Teruel, J.D.; Robinson, D.A.; Horton, R.; Bristow, K.; et al. Chapter Three—A Review of Time Domain Reflectometry (TDR) Applications in Porous Media; Sparks, D.L., Ed.; Advances in Agronomy; Academic Press: Cambridge, MA, USA, 2021; Volume 168, pp. 83–155. ISBN 9780128245897. ISSN 0065-2113. [Google Scholar] [CrossRef]
 - Skierucha, W.; Wilczek, A. A FDR Sensor for Measuring Complex Soil Dielectric Permittivity in the 10–500 MHz Frequency Range. Sensors 2010, 10, 3314–3329. [Google Scholar] [CrossRef]
 - Loosvelt, L.; Pauwels, V.R.N.; Cornelis, W.M.; De Lannoy, G.J.M.; Verhoest, N.E.C. Impact of soil hydraulicparameter uncertainty on soil moisture modeling. Water Resour. Res. 2011, 47, W03505. [Google Scholar] [CrossRef]
 - Di Fusco, E.; Lauriola, I.; Verdone, R.; Di Federico, V.; Ciriello, V. Impact of uncertainty in soil texture parameters on estimation of soil moisture through radio waves transmission. Adv. Water Resour. 2018, 122, 131–138. [Google Scholar] [CrossRef]
 - Zhu, P.; Zhang, G.; Wang, H.; Zhang, B.; Liu, Y. Soil moisture variations in response to precipitation properties and plant communities on steep gully slope on the Loess Plateau. Agric. Water Manag. 2021, 256, 107086. [Google Scholar] [CrossRef]
 - Cheng, F.Y.; Chen, Y. Variations in soil moisture and their impact on land–air interactions during a 6-month drought period in Taiwan. Geosci. Lett. 2018, 5, 26. [Google Scholar] [CrossRef]
 - Western, A.W.; Blöschl, G.; Grayson, R.B. Geostatistical characterisation of soil moisture patterns in the Tarrawarra catchment. J. Hydrol. 1998, 205, 20–37. [Google Scholar] [CrossRef]
 - Kerr, Y.H.; Wigneron, J.-P.; Al Bitar, A.; Mialon, A.; Srivastava, P.K. Chapter 1—Soil Moisture from Space: Techniques and Limitations; Srivastava, P.K., Petropoulos, G.P., Kerr, Y.H., Eds.; Satellite Soil Moisture Retrieval; Elsevier: Amsterdam, The Netherlands, 2016; pp. 3–27. ISBN 9780128033883. [Google Scholar] [CrossRef]
 - Balenzano, A.; Mattia, F.; Satalino, G.; Lovergine, F.P.; Palmisano, D.; Peng, J.; Marzahn, P.; Wegmüller, U.; Cartus, O.; Dąbrowska-Zielińska, K.; et al. Sentinel-1 soil moisture at 1 km resolution: A validation study. Remote Sens. Environ. 2021, 263, 112554. [Google Scholar] [CrossRef]
 - Gao, Q.; Zribi, M.; Escorihuela, M.J.; Baghdadi, N. Synergetic Use of Sentinel-1 and Sentinel-2 Data for Soil Moisture Mapping at 100 m Resolution. Sensors 2017, 17, 1966. [Google Scholar] [CrossRef] [PubMed]
 - Attema, E.; Cafforio, C.; Gottwald, M.; Guccione, P.; Guarnieri, A.M.; Rocca, F.; Snoeij, P. Flexible dynamic block adaptive quantization for Sentinel-1 SAR missions. IEEE Geosci. Remote Sens. Lett. 2010, 7, 766–770. [Google Scholar] [CrossRef]
 - Wigneron, J.-P.; Jackson, T.J.; O’Neill, P.; De Lannoy, G.; de Rosnay, P.; Walker, J.P.; Ferrazzoli, P.; Mironov, V.; Bircher, S.; Grant, J.P.; et al. Modelling the passive microwave signature from land surfaces: A review of recent results and application to the L-band SMOS & SMAP soil moisture retrieval algorithms. Remote Sens. Environ. 2017, 192, 238–262. [Google Scholar] [CrossRef]
 - Zhang, B.; Wdowinski, S.; Gann, D.; Hong, S.-H.; Sah, J. Spatiotemporal variations of wetland backscatter: The role of water depth and vegetation characteristics in Sentinel-1 dual-polarization SAR observations. Remote Sens. Environ. 2022, 270, 112864. [Google Scholar] [CrossRef]
 - Zheng, X.; Feng, Z.; Li, L.; Li, B.; Jiang, T.; Li, X.; Li, X.; Chen, S. Simultaneously estimating surface soil moisture and roughness of bare soils by combining optical and radar data. Int. J. Appl. Earth Obs. Geoinf. 2021, 100, 102345. [Google Scholar] [CrossRef]
 - Matzler, C. ELBARA, the ETH L-band radiometer for soil-moisture research. In Proceedings of the 2003 IEEE International Geoscience and Remote Sensing Symposium, Proceedings (IEEE Cat. No.03CH37477), Toulouse, France, 21–25 July 2003; Volume 5, pp. 3058–3060. [Google Scholar] [CrossRef]
 - Panciera, R.; Walker, J.P.; Kalma, J.D.; Kim, E.J.; Saleh, K.; Wigneron, J.-P. Evaluation of the SMOS L-MEB passive microwave soil moisture retrieval algorithm. Remote Sens. Environ. 2009, 113, 435–444. [Google Scholar] [CrossRef]
 - Gluba, Ł.; Łukowski, M.; Szlązak, R.; Sagan, J.; Szewczak, K.; Łoś, H.; Rafalska-Przysucha, A.; Usowicz, B. Spatio-Temporal Mapping of L-Band Microwave Emission on a Heterogeneous Area with ELBARA III Passive Radiometer. Sensors 2019, 19, 3447. [Google Scholar] [CrossRef] [PubMed]
 - Mo, T.; Choudhury, B.; Schmugge, T.; Wang, J.; Jackson, T. A model for microwave emission from vegetation-covered fields. J. Geophys. Res. 1982, 87, 11229–11237. [Google Scholar] [CrossRef]
 - Fernandez-Moran, R.; Wigneron, J.-P.; De Lannoy, G.; Lopez-Baeza, E.; Parrens, M.; Mialon, A.; Mahmoodi, A.; Al-Yaari, A.; Bircher, S.; Al Bitar, A.; et al. A new calibration of the effective scattering albedo and soil roughness parameters in the SMOS SM retrieval algorithm. Int. J. Appl. Earth Obs. Geoinf. 2017, 62, 27–38. [Google Scholar] [CrossRef]
 - Konings, A.G.; Piles, M.; Das, N.; Entekhabi, D. L-band vegetation optical depth and effective scattering albedo estimation from SMAP. Remote Sens. Environ. 2017, 198, 460–470. [Google Scholar] [CrossRef]
 - Mironov, V.; Kerr, Y.; Wigneron, J.-P.; Kosolapova, L.; Demontoux, F. Temperature- and Texture-Dependent Dielectric Model for Moist Soils at 1.4 GHz. IEEE Geosci. Remote Sens. Lett. 2013, 10, 419–423. [Google Scholar] [CrossRef]
 - Mironov, V.L.; Dobson, M.C.; Kaupp, V.H.; Komarov, S.A.; Kleshchenko, V.N. Generalized refractive mixing dielectric model for moist soils. IEEE Trans. Geosci. Remote Sens. 2004, 42, 773–785. [Google Scholar] [CrossRef]
 - Wigneron, J.-P.; Calvet, J.-C.; Pellarin, T.; Van de Griend, A.A.; Berger, M.; Ferrazzoli, P. Retrieving near-surface soil moisture from microwave radiometric observations: Current status and future plans. Remote Sens. Environ. 2003, 85, 489–506. [Google Scholar] [CrossRef]
 - Parrens, M.; Wigneron, J.-P.; Richaume, P.; Mialon, A.; Al Bitar, A.; Fernandez-Moran, R.; Al-Yaari, A.; Kerr, Y.H. Global-scale surface roughness effects at L-band as estimated from SMOS observations. Remote Sens. Environ. 2016, 181, 122–136. [Google Scholar] [CrossRef]
 - Barrée, M.; Mialon, A.; Pellarin, T.; Parrens, M.; Biron, R.; Lemaître, F.; Gascoin, S.; Kerr, Y.H. Soil moisture and vegetation optical depth retrievals over heterogeneous scenes using LEWIS L-band radiometer. Int. J. Appl. Earth Obs. Geoinf. 2021, 102, 102424. [Google Scholar] [CrossRef]
 - Saleh, K.; Wigneron, J.P.; De Rosnay, P.; Calvet, J.C.; Kerr, Y. Semi-empirical regressions at L-band applied to surface soil moisture retrievals over grass. Remote Sens. Environ. 2006, 101, 415–426. [Google Scholar] [CrossRef]
 - Wigneron, J.P.; Kerr, Y.; Waldteufel, P.; Saleh, K.; Escorihuela, M.J.; Richaume, P.; Ferrazzoli, P.; de Rosnay, P.; Gurney, R.; Calvet, J.C.; et al. L-band microwave emission of the biosphere (L-MEB) model: Description and calibration against experimental data sets over crop fields. Remote Sens. Environ. 2007, 107, 639–655. [Google Scholar] [CrossRef]
 - Ferrazzoli, P.; Guerriero, L.; Wigneron, J.-P. Simulating L-band emission of forests in view of future satellite applications. IEEE Trans. Geosci. Remote Sens. 2002, 40, 2700–2708. [Google Scholar] [CrossRef]
 











| Azimuth (Description) | Soil Properties | Coverage | 
|---|---|---|
| 30° (meadow with lower OM content) | Sand = 89%, silt = 8%, clay = 3%, OM = 7% | Grass with a height from 5 cm to 50 cm, max LAI: 2 | 
| 90° (meadow with high OM content) | Sand = 93%, silt = 4%, clay = 3%, OM = 25% | Grass with a height from 5 cm to 50 cm, max LAI: 4 | 
| 180° (wetland) | Sand = 94%, silt = 3%, clay = 3%, OM = 16% | Permanent grass with a height of 50 cm, bushes with a height up to 3 m, max LAI: 6 | 
| 320° (cultivated field) | Sand = 90%, silt = 7% clay = 3%, OM = 6% | Bare soil, wheat, max LAI: 2 | 
| Period of Application | ||||||||
|---|---|---|---|---|---|---|---|---|
| Azimuth 30° | Azimuth 90° | Azimuth 180° | Azimuth 320° | |||||
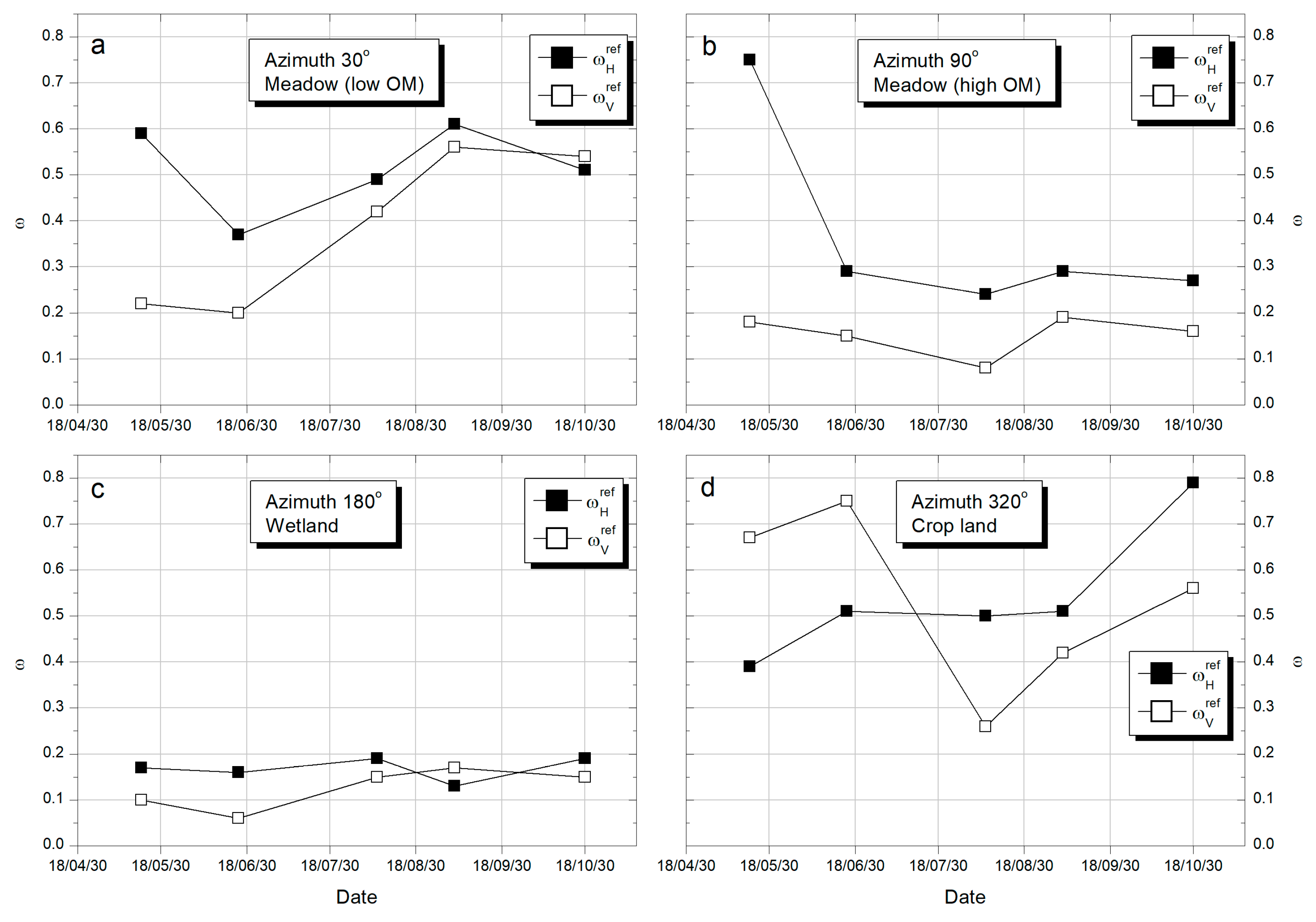
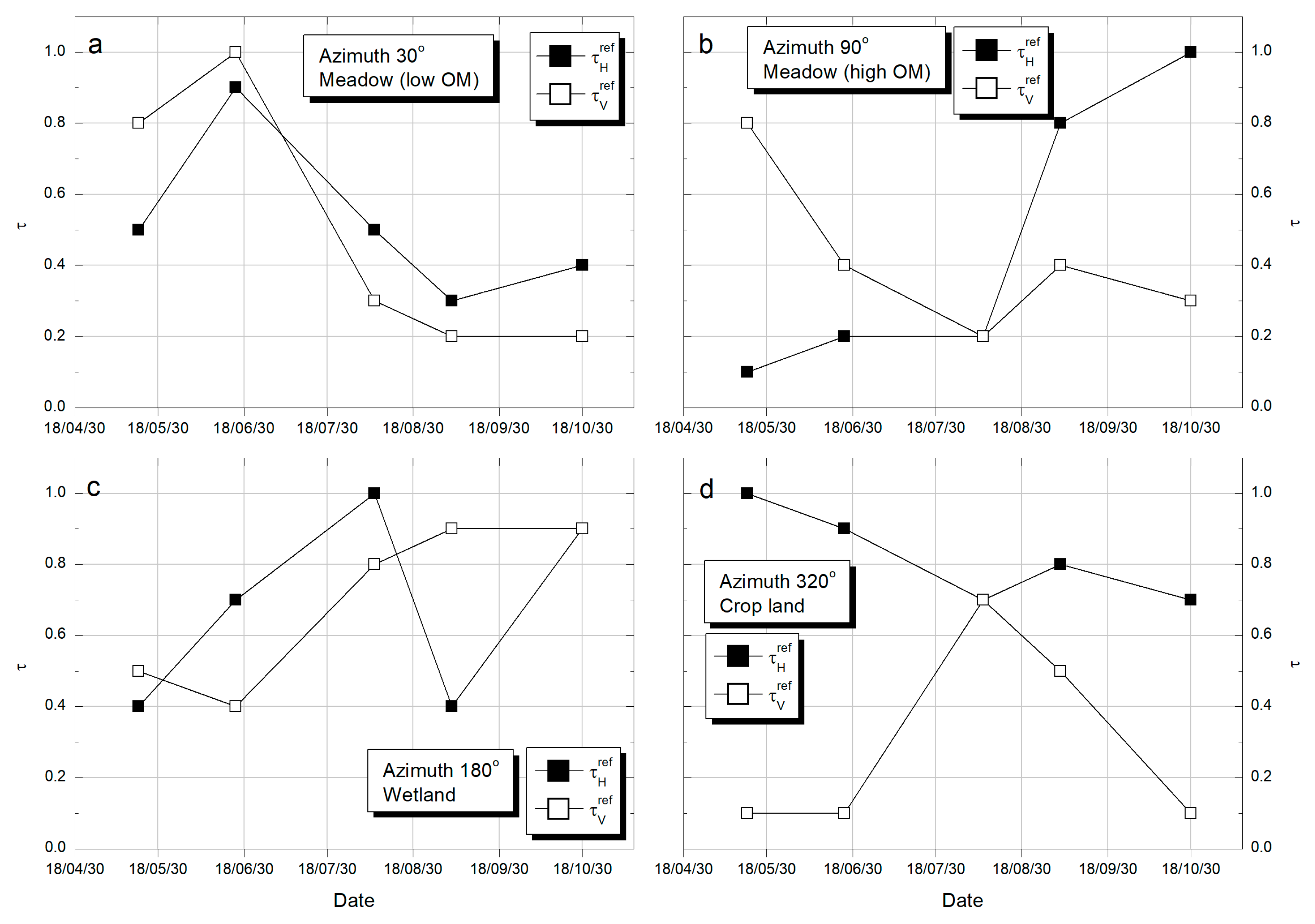
| 1 January–30 March | 0.51 0.54  | 0.4 0.2  | 0.27 0.16  | 1.0 0.3  | 0.19 0.15  | 0.9 0.9  | 0.79 0.56  | 0.7 0.1  | 
| 1 April –15 June | 0.59 0.22  | 0.5 0.8  | 0.75 0.18  | 0.1 0.8  | 0.17 0.10  | 0.4 0.5  | 0.39 0.67  | 1.0 0.1  | 
| 16 June–30 July | 0.37 0.20  | 0.9 1.0  | 0.29 0.15  | 0.2 0.4  | 0.16 0.06  | 0.7 0.4  | 0.51 0.75  | 0.9 0.1  | 
| 1 August–30 August | 0.49 0.42  | 0.5 0.3  | 0.24 0.08  | 0.2 0.2  | 0.19 0.15  | 1.0 0.8  | 0.50 0.26  | 0.7 0.7  | 
| 1 September–30 September | 0.61 0.56  | 0.3 0.2  | 0.29 0.19  | 0.8 0.4  | 0.13 0.17  | 0.4 0.9  | 0.51 0.42  | 0.8 0.5  | 
| 1 October–31 December | 0.51 0.54  | 0.4 0.2  | 0.27 0.16  | 1.0 0.3  | 0.19 0.15  | 0.9 0.9  | 0.79 0.56  | 0.7 0.1  | 
Disclaimer/Publisher’s Note: The statements, opinions and data contained in all publications are solely those of the individual author(s) and contributor(s) and not of MDPI and/or the editor(s). MDPI and/or the editor(s) disclaim responsibility for any injury to people or property resulting from any ideas, methods, instructions or products referred to in the content.  | 
© 2024 by the authors. Licensee MDPI, Basel, Switzerland. This article is an open access article distributed under the terms and conditions of the Creative Commons Attribution (CC BY) license (https://creativecommons.org/licenses/by/4.0/).
Share and Cite
Szewczak, K.; Łukowski, M. Medium-Scale Soil Moisture Retrievals Using an ELBARA L-Band Radiometer Using Time-Dependent Parameters for Wetland-Meadow-Cropland Site. Remote Sens. 2024, 16, 2200. https://doi.org/10.3390/rs16122200
Szewczak K, Łukowski M. Medium-Scale Soil Moisture Retrievals Using an ELBARA L-Band Radiometer Using Time-Dependent Parameters for Wetland-Meadow-Cropland Site. Remote Sensing. 2024; 16(12):2200. https://doi.org/10.3390/rs16122200
Chicago/Turabian StyleSzewczak, Kamil, and Mateusz Łukowski. 2024. "Medium-Scale Soil Moisture Retrievals Using an ELBARA L-Band Radiometer Using Time-Dependent Parameters for Wetland-Meadow-Cropland Site" Remote Sensing 16, no. 12: 2200. https://doi.org/10.3390/rs16122200
APA StyleSzewczak, K., & Łukowski, M. (2024). Medium-Scale Soil Moisture Retrievals Using an ELBARA L-Band Radiometer Using Time-Dependent Parameters for Wetland-Meadow-Cropland Site. Remote Sensing, 16(12), 2200. https://doi.org/10.3390/rs16122200
        
                                                
