Higher-Order Convolutional Neural Networks for Essential Climate Variables Forecasting
Abstract
1. Introduction
- The theoretical extension of lower-order Convolutional Neural Networks (CNNs) to their N-D analogs by providing a rigorous mathematical foundation for the forward and backward passes;
- The demonstration of issues and workarounds for incorporating this extension into a working DL framework;
- The design and development of a novel 4D-ETCN to tackle the ECVs’ forecasting problem and its evaluation on properly designed datasets for the cause;
- The introduction of two novel datasets encoding satellite-derived geophysical parameters, specifically soil temperature at different levels, obtained on monthly periodicity over 40 years.
2. Materials and Methods
2.1. Proposed Method: Higher-Order Convolutional Neural Networks
2.1.1. Preliminary Definitions and Tensor Algebra
2.1.2. Forward Propagation in ND CNNs
- 1.
- Perform Tucker decomposition on tensor , and obtain its core tensor and its factor matrices :
- 2.
- Perform Tucker decomposition on tensor , and obtain its core tensor and its factor matrices :
- 3.
- Derive the core tensor of the N-D Tucker convolution, , by combining the core tensors and via their Kronocker product:
- 4.
- Derive the factor matrices of the N-D Tucker convolution, , by combining the factor matrices and via their partial (mode 1) convolution:
- 5.
- Derive the output tensor of the N-D Tucker convolution, , by combining the core tensor and the factor matrices via their Tucker composition:
2.1.3. Backpropagation in ND CNNs
- Since is the output of the previous layer, becomes the loss gradient for the previous layer.
- is used to update the filters of the convolutional layer via the gradient step:where is the step size parameter, which serves as the learning rate of the optimization problem.
- Loss gradient from the next layer:
- Gradient with respect to the layer’s input:
- Gradient with respect to the layer’s weights:
- Gradient with respect to the layer’s bias:
2.1.4. Efficient Implementation: Stacking (N-1)D Convolutions
2.2. Proposed Simultaneous Spatiotemporal ECVs’ Forecasting Architecture
2.2.1. Embedded Temporal Convolutional Network—ETCN
2.2.2. 4D-ETCN for ECVs’ Forecasting Modeling
2.2.3. 4D-ETCN Modules for ECVs’ Feature Learning
2.2.4. 4D-ETCN Architectures for ECVs’ Forecasting
3. Results
3.1. Dataset Description
3.2. Experimental Setup
3.3. Evaluation Metrics for Essential Climate Variables Forecasting
3.4. 4D-ETCN Architecture Ablation Study
3.5. Convergence Analysis
3.6. Evaluation against State-of-the-Art Methods
4. Discussion
4.1. Impact of Training Set Size on Forecasting Accuracy
4.2. Effect of Temporal Information on Forecasting Accuracy
5. Conclusions
Supplementary Materials
Author Contributions
Funding
Data Availability Statement
Conflicts of Interest
Abbreviations
| ECV | Essential Climate Variable |
| GCOS | Global Climate Observing System |
| ML | Machine Learning |
| DL | Deep Learning |
| RS | Remote Sensing |
| ETCN | Embedded Temporal Convolutional Network |
| CNN | Convolutional Neural Network |
| RNN | Recurrent Neural Network |
| LSTM | Long Short-Term Memory |
| TCN | Temporal Convolutional Network |
| GRU | Gated Recurrent Unit |
| CDS | Climate Data Store |
| ROI | Region Of Interest |
| MSE | Mean Square Error |
| MAE | Mean Absolute Error |
| RMSE | Root Mean Square Error |
| ubRMSE | Unbiased Root Mean Square Error |
| PSNR | Peak Signal-to-Noise Ratio |
| SSIM | Structural Similarity Index Measure |
| PLCC | Pearson Linear Correlation Coefficient |
Appendix A. Forward Propagation in ND CNNs
Appendix A.1. Tucker Convolution Model Sanity Checks
- (i)
- Direct: The convolution is determined directly from sums, which are the definition of convolution.
- (ii)
- Fourier: The (Fast) Fourier Transform (FFT) is used to perform the convolution.
- (iii)
- Tucker: The convolution is computed via Tucker decomposition, as explained in the respective section of the paper.
- Perform N-D convolution at each simulation (i.e., by avoiding a selection of size equal to one across a specific mode, which indicates a trailing singleton dimension).
- Perform the maximum compression possible via and (i.e., since in the Tucker decomposition format the sizes of and have to be at most equal to these of and ).
- (i)
- The bottom and top of each box are the 25th and 75th percentiles of the sample, respectively. The distance between the bottom and top of each box is the interquartile range, which in the 1D and 2D cases is wider for the Fourier–Tucker models’ comparison. On the contrary, for the 3D and 4D cases it is clearly narrower.
- (ii)
- The red line in the middle of each box is the sample median. Even in the cases where the median is not centered in the box (i.e., the plot shows sample skewness), all median NMSE values are of order , thus indicating the equivalence of computations.
- (iii)
- The whiskers are lines extending above and below each box. Whiskers go from the end of the interquartile range to the furthest observation within the whisker length (the adjacent value). We observe that the whiskers for the Fourier–Tucker models’ comparison are shorter in nearly every case, thus indicating tighter error distributions.
- (iv)
- Observations beyond the whisker length are marked as outliers. By default, an outlier is a value that is more than 1.5 times the interquartile range away from the bottom or top of the box. Once more, we highlight the fact that the Fourier–Tucker models’ comparison is the one with the least number of outliers, which are more to be found in the 4D convolution case.
- (v)
- In all cases, the relative approximation error is of order , which indicates the validity of the convolution generalization via tensor decompositions.


- (i)
- The interquartile range of the Tucker models is wider in the 1D and 2D cases and narrower for the 3D and 4D cases.
- (ii)
- The median value of the Tucker model is slightly higher than these of the direct and Fourier ones in the 1D and 2D cases, whereas it is nearly the same or even lower in the 3D and 4D cases.
- (iii)
- The whiskers for the Tucker model are shorter in the 1D and 2D cases and wider in the 3D and 4D cases.
- (iv)
- The Tucker model seems quite robust to outliers in the 4D convolution case, which indicates faster computations in cases where the size across a specific mode of the convolution tensor is high.
- (v)
- In all cases, the computational time required by each convolution model is low, except the 4D case, where the proposed convolution generalization via tensor decompositions scales better than its competitors.

| Padding | Order | Direct | Fourier | Tucker |
|---|---|---|---|---|
| Full | 1 | |||
| 2 | ||||
| 3 | ||||
| 4 | ||||
| Same | 1 | |||
| 2 | ||||
| 3 | ||||
| 4 | ||||
| Valid | 1 | |||
| 2 | ||||
| 3 | ||||
| 4 |
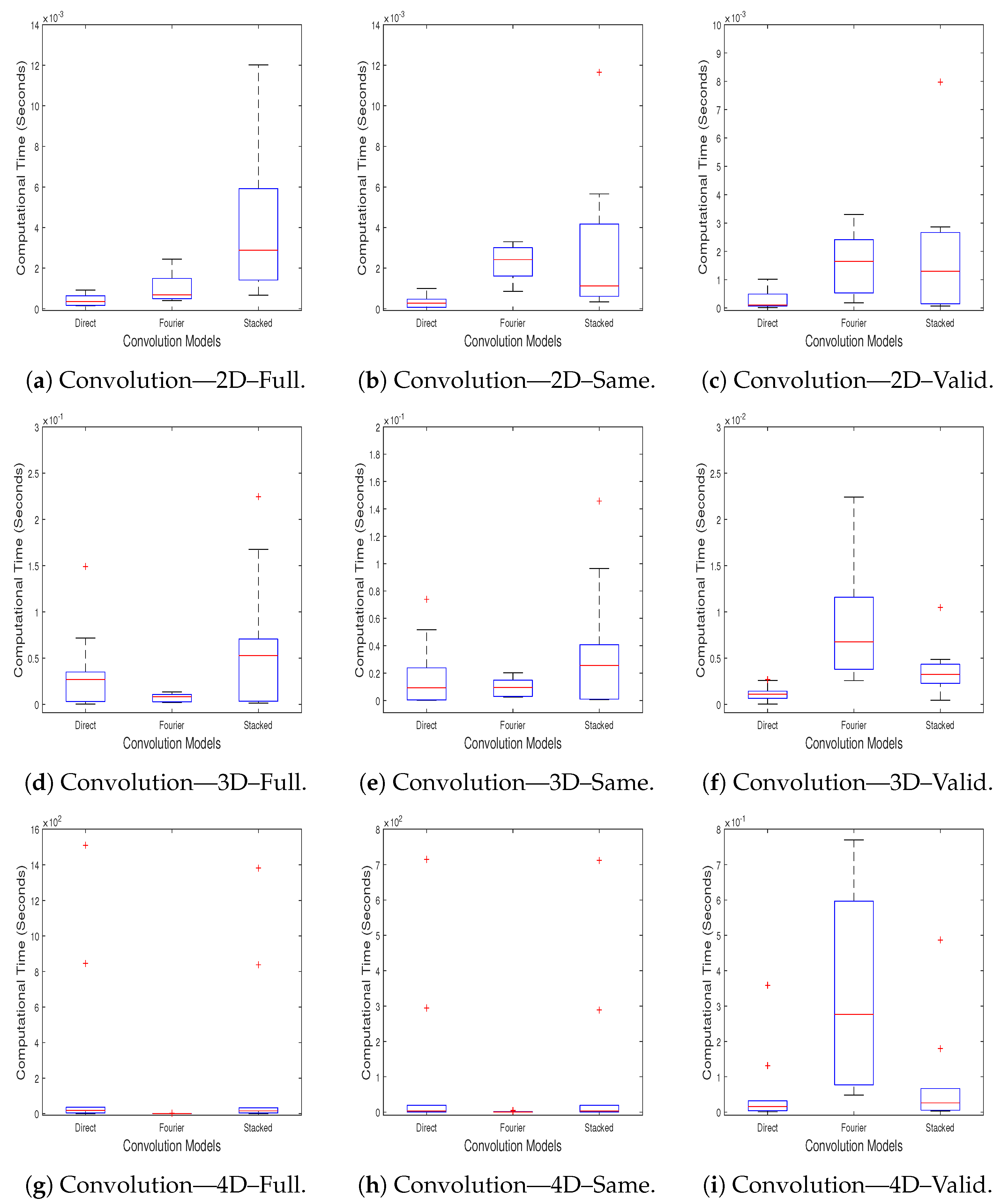
Appendix A.2. Stacked Convolution Model Sanity Checks
- (i)
- The interquartile range is clearly narrower for the Fourier–Stacked models’ comparison in every dimensionality and padding case.
- (ii)
- All median NMSE values are of order , thus indicating the equivalence of computations.
- (iii)
- The whiskers for the Fourier–Stacked models’ comparison are generally shorter, thus indicating tighter error distributions.
- (iv)
- In nearly every case there are no outlier values, except the 4D one where once more the Fourier–Stacked models’ comparison is the one with the least number of outliers.
- (v)
- In all cases, the relative approximation error is of order , which indicates the validity of the proposed convolution generalization via stacking lower-dimensional convolutions.

- (i)
- The interquartile range of the Stacked model is wider in the 2D and 3D cases and nearly equally narrow to its competitors for the 4D case.
- (ii)
- The median value of the Stacked model is slightly higher than these of the direct and Fourier ones in the 2D and 3D cases, whereas it is nearly the same in the 4D case.
- (iii)
- The whiskers for the Stacked model are greater in every convolution cases except the “valid” ones, where the Fourier ones are more significant.
- (iv)
- The Stacked model seems as robust to outliers as the direct one, with both being slightly inferior to the Fourier convolution model.
- (v)
- In all cases, the computational time required by each convolution model is low, thus indicating the speed and efficiency of the performed computations.

Stacked Convolution Algorithm
| Algorithm A1 Stacked Convolution Algorithm |
|
Appendix B. Backpropagation in ND CNNs
Appendix C. 4D-ETCN Architectures Parameter Tuning
| Filter Size—Encoder | # Filters—Encoder | MSE—Crete | MSE—Italy |
|---|---|---|---|
| (2, 2, 2, 2) | 4–8–8 | ||
| 8–16–16 | |||
| 16–32–32 | |||
| 32–64–64 | |||
| 64–128–128 | |||
| 128–256–256 | |||
| 256–512–512 | |||
| (3, 3, 3, 3) | 4–8–8 | ||
| 8–16–16 | |||
| 16–32–32 | |||
| 32–64–64 | |||
| 64–128-128 | |||
| 128–256–256 | |||
| 256–512–512 | |||
| (4, 4, 4, 4) | 4–8–8 | ||
| 8–16–16 | |||
| 16–32–32 | |||
| 32–64–64 | |||
| 64–128–128 | |||
| 128–256–256 | |||
| 256–512–512 |
| Filter Size—TCN | # Filters—Encoder | MSE—Crete | MSE—Italy |
|---|---|---|---|
| 2 | 4–8–8 | ||
| 8–16–16 | |||
| 16–32–32 | |||
| 32–64–64 | |||
| 64–128–128 | |||
| 128–256–256 | |||
| 256–512–512 | |||
| 3 | 4–8–8 | ||
| 8–16–16 | |||
| 16–32–32 | |||
| 32–64–64 | |||
| 64–128–128 | |||
| 128–256–256 | |||
| 256–512–512 | |||
| 4 | 4–8–8 | ||
| 8–16–16 | |||
| 16–32–32 | |||
| 32–64–64 | |||
| 64–128-128 | |||
| 128-256–256 | |||
| 256–512–512 |
| Filter Size—Decoder | # Filters—Encoder | MSE—Crete | MSE—Italy |
|---|---|---|---|
| (2, 2, 2, 2) | 4–8–8 | ||
| 8–16–16 | |||
| 16–32–32 | |||
| 32–64–64 | |||
| 64–128–128 | |||
| 128–256–256 | |||
| 256–512–512 | |||
| (3, 3, 3, 3) | 4–8–8 | ||
| 8–16–16 | |||
| 16–32–32 | |||
| 32–64–64 | |||
| 64–128–128 | |||
| 128–256–256 | |||
| 256–512–512 | |||
| (4, 4, 4, 4) | 4–8–8 | ||
| 8–16–16 | |||
| 16–32–32 | |||
| 32–64–64 | |||
| 64–128–128 | |||
| 128–256–256 | |||
| 256–512–512 |
| Dropout Rate | # Filters—Encoder | MSE—Crete | MSE—Italy |
|---|---|---|---|
| 0.3 | 4–8–8 | ||
| 8–16–16 | |||
| 16–32–32 | |||
| 32–64–64 | |||
| 64–128–128 | |||
| 128–256–256 | |||
| 256–512–512 | |||
| 0.4 | 4–8–8 | ||
| 8–16–16 | |||
| 16–32–32 | |||
| 32–64–64 | |||
| 64–128–128 | |||
| 128–256–256 | |||
| 256–512–512 | |||
| 0.5 | 4–8–8 | ||
| 8–16–16 | |||
| 16–32–32 | |||
| 32–64–64 | |||
| 64–128–128 | |||
| 128–256–256 | |||
| 256–512–512 |
| Filter Size—Encoder | Filter Size—ETCN | Filter Size—Decoder | Dropout Rate | # Filters—Encoder | MSE—Crete |
|---|---|---|---|---|---|
| (4, 4, 4, 4) | 3 | (4, 4, 4, 4) | 0.3 | 4–8–8 | |
| 8–16–16 | |||||
| 16–32–32 | |||||
| 32–64–64 | |||||
| 64–128–128 | |||||
| 128–256–256 | |||||
| 256–512–512 |
| Filter Size—Encoder | Filter Size—ETCN | Filter Size—Decoder | Dropout Rate | # Filters—Encoder | MSE—Italy |
|---|---|---|---|---|---|
| (3, 3, 3, 3) | 4 | (3, 3, 3, 3) | 0.4 | 4–8–8 | |
| 8–16–16 | |||||
| 16–32–32 | |||||
| 32–64–64 | |||||
| 64–128–128 | |||||
| 128–256–256 | |||||
| 256–512–512 |
References
- Bojinski, S.; Verstraete, M.; Peterson, T.C.; Richter, C.; Simmons, A.; Zemp, M. The concept of essential climate variables in support of climate research, applications, and policy. Bull. Am. Meteorol. Soc. 2014, 95, 1431–1443. [Google Scholar] [CrossRef]
- Massonnet, F.; Bellprat, O.; Guemas, V.; Doblas-Reyes, F.J. Using climate models to estimate the quality of global observational data sets. Science 2016, 354, 452–455. [Google Scholar] [CrossRef] [PubMed]
- Huntingford, C.; Jeffers, E.S.; Bonsall, M.B.; Christensen, H.M.; Lees, T.; Yang, H. Machine learning and artificial intelligence to aid climate change research and preparedness. Environ. Res. Lett. 2019, 14, 124007. [Google Scholar] [CrossRef]
- Tsagkatakis, G.; Aidini, A.; Fotiadou, K.; Giannopoulos, M.; Pentari, A.; Tsakalides, P. Survey of deep-learning approaches for remote sensing observation enhancement. Sensors 2019, 19, 3929. [Google Scholar] [CrossRef] [PubMed]
- Giannopoulos, M.; Aidini, A.; Pentari, A.; Fotiadou, K.; Tsakalides, P. Classification of compressed remote sensing multispectral images via convolutional neural networks. J. Imaging 2020, 6, 24. [Google Scholar] [CrossRef] [PubMed]
- Chen, Y.; Lin, Z.; Zhao, X.; Wang, G.; Gu, Y. Deep learning-based classification of hyperspectral data. IEEE J. Sel. Top. Appl. Earth Obs. Remote Sens. 2014, 7, 2094–2107. [Google Scholar] [CrossRef]
- Giannopoulos, M.; Tsagkatakis, G.; Tsakalides, P. 4D U-Nets for Multi-Temporal Remote Sensing Data Classification. Remote Sens. 2022, 14, 634. [Google Scholar] [CrossRef]
- Giannopoulos, M.; Tsagkatakis, G.; Tsakalides, P. 4D Convolutional Neural Networks for Multi-Spectral and Multi-Temporal Remote Sensing Data Classification. In Proceedings of the ICASSP 2022-2022 IEEE International Conference on Acoustics, Speech and Signal Processing (ICASSP), Singapore, 23–27 May 2022; pp. 1541–1545. [Google Scholar]
- Villia, M.M.; Tsagkatakis, G.; Moghaddam, M.; Tsakalides, P. Embedded Temporal Convolutional Networks for Essential Climate Variables Forecasting. Sensors 2022, 22, 1851. [Google Scholar] [CrossRef] [PubMed]
- Aspri, M.; Tsagkatakis, G.; Tsakalides, P. Distributed training and inference of deep learning models for multi-modal land cover classification. Remote Sens. 2020, 12, 2670. [Google Scholar] [CrossRef]
- Bittner, K.; Cui, S.; Reinartz, P. Building extraction from remote sensing data using fully convolutional networks. Int. Arch. Photogramm. Remote Sens. Spat. Inf. Sci. ISPRS Arch. 2017, 42, 481–486. [Google Scholar] [CrossRef]
- Stivaktakis, R.; Tsagkatakis, G.; Tsakalides, P. Deep learning for multilabel land cover scene categorization using data augmentation. IEEE Geosci. Remote Sens. Lett. 2019, 16, 1031–1035. [Google Scholar] [CrossRef]
- Koehler, J.; Kuenzer, C. Forecasting spatio-temporal dynamics on the land surface using earth observation data—A review. Remote Sens. 2020, 12, 3513. [Google Scholar] [CrossRef]
- Hansen, M.C.; Potapov, P.V.; Moore, R.; Hancher, M.; Turubanova, S.A.; Tyukavina, A.; Thau, D.; Stehman, S.V.; Goetz, S.J.; Loveland, T.R.; et al. High-resolution global maps of 21st-century forest cover change. Science 2013, 342, 850–853. [Google Scholar] [CrossRef]
- Davis, K.F.; Koo, H.I.; Dell’Angelo, J.; D’Odorico, P.; Estes, L.; Kehoe, L.J.; Kharratzadeh, M.; Kuemmerle, T.; Machava, D.; Pais, A.d.J.R.; et al. Tropical forest loss enhanced by large-scale land acquisitions. Nat. Geosci. 2020, 13, 482–488. [Google Scholar] [CrossRef]
- Lee, M.; Shevliakova, E.; Stock, C.A.; Malyshev, S.; Milly, P.C. Prominence of the tropics in the recent rise of global nitrogen pollution. Nat. Commun. 2019, 10, 1437. [Google Scholar] [CrossRef]
- Shaddick, G.; Thomas, M.L.; Mudu, P.; Ruggeri, G.; Gumy, S. Half the world’s population are exposed to increasing air pollution. NPJ Clim. Atmos. Sci. 2020, 3, 23. [Google Scholar] [CrossRef]
- Hochreiter, S.; Schmidhuber, J. Long short-term memory. Neural Comput. 1997, 9, 1735–1780. [Google Scholar] [CrossRef]
- Shi, X.; Chen, Z.; Wang, H.; Yeung, D.Y.; Wong, W.K.; Woo, W.C. Convolutional LSTM network: A machine learning approach for precipitation nowcasting. In Proceedings of the Advances in Neural Information Processing Systems 28 (NIPS 2015), Montreal, QC, Canada, 7–12 December 2015. [Google Scholar]
- Lea, C.; Flynn, M.D.; Vidal, R.; Reiter, A.; Hager, G.D. Temporal convolutional networks for action segmentation and detection. In Proceedings of the IEEE Conference on Computer Vision and Pattern Recognition, Honolulu, HI, USA, 21–26 July 2017; pp. 156–165. [Google Scholar]
- Oord, A.v.d.; Dieleman, S.; Zen, H.; Simonyan, K.; Vinyals, O.; Graves, A.; Kalchbrenner, N.; Senior, A.; Kavukcuoglu, K. Wavenet: A generative model for raw audio. arXiv 2016, arXiv:1609.03499. [Google Scholar]
- Kalchbrenner, N.; Espeholt, L.; Simonyan, K.; Oord, A.v.d.; Graves, A.; Kavukcuoglu, K. Neural machine translation in linear time. arXiv 2016, arXiv:1610.10099. [Google Scholar]
- Myronenko, A.; Yang, D.; Buch, V.; Xu, D.; Ihsani, A.; Doyle, S.; Michalski, M.; Tenenholtz, N.; Roth, H. 4D CNN for semantic segmentation of cardiac volumetric sequences. In Proceedings of the International Workshop on Statistical Atlases and Computational Models of the Heart, Shenzhen, China, 13 October 2019; Springe: Berlin/Heidelberg, Germany, 2019; pp. 72–80. [Google Scholar]
- Kim, S.; Hong, S.; Joh, M.; Song, S.k. Deeprain: Convlstm network for precipitation prediction using multichannel radar data. arXiv 2017, arXiv:1711.02316. [Google Scholar]
- Xiao, C.; Chen, N.; Hu, C.; Wang, K.; Xu, Z.; Cai, Y.; Xu, L.; Chen, Z.; Gong, J. A spatiotemporal deep learning model for sea surface temperature field prediction using time-series satellite data. Environ. Model. Softw. 2019, 120, 104502. [Google Scholar] [CrossRef]
- Bai, S.; Kolter, J.Z.; Koltun, V. An empirical evaluation of generic convolutional and recurrent networks for sequence modeling. arXiv 2018, arXiv:1803.01271. [Google Scholar]
- Vega-Márquez, B.; Rubio-Escudero, C.; Nepomuceno-Chamorro, I.A.; Arcos-Vargas, Á. Use of Deep Learning Architectures for Day-Ahead Electricity Price Forecasting over Different Time Periods in the Spanish Electricity Market. Appl. Sci. 2021, 11, 6097. [Google Scholar] [CrossRef]
- Kolda, T.G.; Bader, B.W. Tensor decompositions and applications. SIAM Rev. 2009, 51, 455–500. [Google Scholar] [CrossRef]
- Cichocki, A.; Mandic, D.; De Lathauwer, L.; Zhou, G.; Zhao, Q.; Caiafa, C.; Phan, H.A. Tensor decompositions for signal processing applications: From two-way to multiway component analysis. IEEE Signal Process. Mag. 2015, 32, 145–163. [Google Scholar] [CrossRef]
- Papalexakis, E.E.; Faloutsos, C.; Sidiropoulos, N.D. Tensors for data mining and data fusion: Models, applications, and scalable algorithms. ACM Trans. Intell. Syst. Technol. (TIST) 2016, 8, 16. [Google Scholar] [CrossRef]
- Panagakis, Y.; Kossaifi, J.; Chrysos, G.G.; Oldfield, J.; Nicolaou, M.A.; Anandkumar, A.; Zafeiriou, S. Tensor Methods in Computer Vision and Deep Learning. Proc. IEEE 2021, 109, 863–890. [Google Scholar] [CrossRef]
- Tucker, L.R. Implications of factor analysis of three-way matrices for measurement of change. Probl. Meas. Chang. 1963, 15, 122–137. [Google Scholar]
- Tucker, L.R. The extension of factor analysis to three-dimensional matrices. Contrib. Math. Psychol. 1964, 110119, 110–182. [Google Scholar]
- Tucker, L.R. Some Mathematical Notes on Three-Mode Factor Analysis; Department of Psychology, University of Illinois: Urbana, IL, USA, 1965. [Google Scholar]
- De Lathauwer, L.; De Moor, B.; Vandewalle, J. A multilinear singular value decomposition. SIAM J. Matrix Anal. Appl. 2000, 21, 1253–1278. [Google Scholar] [CrossRef]
- Cichocki, A.; Lee, N.; Oseledets, I.V.; Phan, A.H.; Zhao, Q.; Mandic, D. Low-rank tensor networks for dimensionality reduction and large-scale optimization problems: Perspectives and challenges part 1. arXiv 2016, arXiv:1609.00893. [Google Scholar]
- Abadi, M.; Barham, P.; Chen, J.; Chen, Z.; Davis, A.; Dean, J.; Devin, M.; Ghemawat, S.; Irving, G.; Isard, M.; et al. Tensorflow: A system for large-scale machine learning. In Proceedings of the 12th {USENIX} Symposium on Operating Systems Design and Implementation ({OSDI} 16), Savannah, GA, USA, 2–4 November 2016; pp. 265–283. [Google Scholar]
- Chetlur, S.; Woolley, C.; Vandermersch, P.; Cohen, J.; Tran, J.; Catanzaro, B.; Shelhamer, E. cudnn: Efficient primitives for deep learning. arXiv 2014, arXiv:1410.0759. [Google Scholar]
- Jorda, M.; Valero-Lara, P.; Pena, A.J. Performance evaluation of cudnn convolution algorithms on nvidia volta gpus. IEEE Access 2019, 7, 70461–70473. [Google Scholar] [CrossRef]
- Psarras, C.; Karlsson, L.; Li, J.; Bientinesi, P. The landscape of software for tensor computations. arXiv 2021, arXiv:2103.13756. [Google Scholar]
- Kossaifi, J.; Panagakis, Y.; Anandkumar, A.; Pantic, M. Tensorly: Tensor learning in python. arXiv 2016, arXiv:1610.09555. [Google Scholar]
- Paszke, A.; Gross, S.; Massa, F.; Lerer, A.; Bradbury, J.; Chanan, G.; Killeen, T.; Lin, Z.; Gimelshein, N.; Antiga, L.; et al. Pytorch: An imperative style, high-performance deep learning library. In Proceedings of the Advances in Neural Information Processing Systems 32 (NeurIPS 2019), Vancouver, BC, Canada, 8–14 December 2019. [Google Scholar]
- Harris, C.R.; Millman, K.J.; Van Der Walt, S.J.; Gommers, R.; Virtanen, P.; Cournapeau, D.; Wieser, E.; Taylor, J.; Berg, S.; Smith, N.J.; et al. Array programming with NumPy. Nature 2020, 585, 357–362. [Google Scholar] [CrossRef] [PubMed]
- Kolda, T.G.; Bader, B.W. MATLAB Tensor Toolbox; Technical Report; Sandia National Laboratories (SNL): Albuquerque, NM, USA; Livermore, CA, USA, 2006. [Google Scholar]
- Zhang, S.; Guo, S.; Huang, W.; Scott, M.R.; Wang, L. V4d: 4d convolutional neural networks for video-level representation learning. arXiv 2020, arXiv:2002.07442. [Google Scholar]
- Salimans, T.; Kingma, D.P. Weight normalization: A simple reparameterization to accelerate training of deep neural networks. In Proceedings of the Advances in Neural Information Processing Systems 29 (NIPS 2016), Barcelona, Spain, 5–10 December 2016. [Google Scholar]
- Ronneberger, O.; Fischer, P.; Brox, T. U-net: Convolutional networks for biomedical image segmentation. In Proceedings of the International Conference on Medical Image Computing and Computer-Assisted Intervention, Munich, Germany, 5–9 October 2015; Springer: Berlin/Heidelberg, Germany, 2015; pp. 234–241. [Google Scholar]
- Çiçek, Ö.; Abdulkadir, A.; Lienkamp, S.S.; Brox, T.; Ronneberger, O. 3D U-Net: Learning dense volumetric segmentation from sparse annotation. In Proceedings of the International Conference on Medical Image Computing and Computer-Assisted Intervention, Athens, Greece, 17–21 October 2016; Springer: Berlin/Heidelberg, Germany, 2016; pp. 424–432. [Google Scholar]
- Glorot, X.; Bengio, Y. Understanding the difficulty of training deep feedforward neural networks. In Proceedings of the Thirteenth International Conference on Artificial Intelligence and Statistics. JMLR Workshop and Conference Proceedings, Sardinia, Italy, 13–15 May 2010; pp. 249–256. [Google Scholar]
- Kingma, D.P.; Ba, J. Adam: A method for stochastic optimization. arXiv 2014, arXiv:1412.6980. [Google Scholar]
- Muñoz Sabater, J. ERA5-Land Monthly Averaged Data from 1981 to Present, Copernicus Climate Change Service (C3S) Climate Data Store (CDS). 2019. Available online: https://cds.climate.copernicus.eu/cdsapp#!/dataset/10.24381/cds.68d2bb30?tab=overview (accessed on 1 February 2024).
- Gorelick, N.; Hancher, M.; Dixon, M.; Ilyushchenko, S.; Thau, D.; Moore, R. Google Earth Engine: Planetary-scale geospatial analysis for everyone. Remote Sens. Environ. 2017, 202, 18–27. [Google Scholar] [CrossRef]
- Chollet, F. Keras. Available online: https://keras.io (accessed on 1 February 2024).
- Wang, Z.; Bovik, A.C.; Sheikh, H.R.; Simoncelli, E.P. Image quality assessment: From error visibility to structural similarity. IEEE Trans. Image Process. 2004, 13, 600–612. [Google Scholar] [CrossRef]









| Dataset | # Trainable Parameters | Builtin | Tucker |
|---|---|---|---|
| MNIST-2D | 40 | ||
| MNIST-3D | 112 |
| Total Samples | Training Set | Validation Set | Test Set |
|---|---|---|---|
| 473 | 342 | 114 | 17 |
| Dataset | Model | MSE | MAE | SSIM | PSNR | PLCC | ubRMSE | MAE (K) |
|---|---|---|---|---|---|---|---|---|
| Crete | Conv-LSTM [9] | |||||||
| ETCN [9] | ||||||||
| 4D-ETCN-Proposed | ||||||||
| Italy | Conv-LSTM [9] | |||||||
| ETCN [9] | ||||||||
| 4D-ETCN-Proposed |
| Dataset | Model | # Parameters | Time Training (Minutes) | Time Testing/Inference (Seconds) |
|---|---|---|---|---|
| Crete | Conv-LSTM [9] | 459,012 | ||
| ETCN [9] | ||||
| 4D-ETCN-Proposed | 34,599,367 | 1 | ||
| Italy | Conv-LSTM [9] | 459,012 | ||
| ETCN [9] | ||||
| 4D-ETCN-Proposed | 47,104,583 | 1 |
Disclaimer/Publisher’s Note: The statements, opinions and data contained in all publications are solely those of the individual author(s) and contributor(s) and not of MDPI and/or the editor(s). MDPI and/or the editor(s) disclaim responsibility for any injury to people or property resulting from any ideas, methods, instructions or products referred to in the content. |
© 2024 by the authors. Licensee MDPI, Basel, Switzerland. This article is an open access article distributed under the terms and conditions of the Creative Commons Attribution (CC BY) license (https://creativecommons.org/licenses/by/4.0/).
Share and Cite
Giannopoulos, M.; Tsagkatakis, G.; Tsakalides, P. Higher-Order Convolutional Neural Networks for Essential Climate Variables Forecasting. Remote Sens. 2024, 16, 2020. https://doi.org/10.3390/rs16112020
Giannopoulos M, Tsagkatakis G, Tsakalides P. Higher-Order Convolutional Neural Networks for Essential Climate Variables Forecasting. Remote Sensing. 2024; 16(11):2020. https://doi.org/10.3390/rs16112020
Chicago/Turabian StyleGiannopoulos, Michalis, Grigorios Tsagkatakis, and Panagiotis Tsakalides. 2024. "Higher-Order Convolutional Neural Networks for Essential Climate Variables Forecasting" Remote Sensing 16, no. 11: 2020. https://doi.org/10.3390/rs16112020
APA StyleGiannopoulos, M., Tsagkatakis, G., & Tsakalides, P. (2024). Higher-Order Convolutional Neural Networks for Essential Climate Variables Forecasting. Remote Sensing, 16(11), 2020. https://doi.org/10.3390/rs16112020

