An Optical Detection Model for Stratospheric Airships
Abstract
1. Introduction
2. Calculation Model
2.1. Modeling of Thermal Characteristics of Stratospheric Airships
- The skin thickness is negligible, thus neglecting thermal conduction in the direction of the skin unit thickness and between adjacent units;
- The surface temperatures of the units are uniform and similar to those of the surrounding gas;
- The solar radiation incident on the unit surfaces is uniform, with uniform absorption characteristics for solar radiation;
- The skin is opaque, which prevents solar radiation from passing through.
2.2. Signal Analysis of Airship Targets
2.3. Atmospheric Background Signal Analysis
2.4. Signal-to-Noise Ratio Model
3. Band Selection for Multispectral Detection
3.1. Analysis of Performance Evaluation Indicators for Detection Systems
3.2. Data Source and Methodology
4. Result
4.1. Verification of Thermal Characteristics of Stratospheric Airships
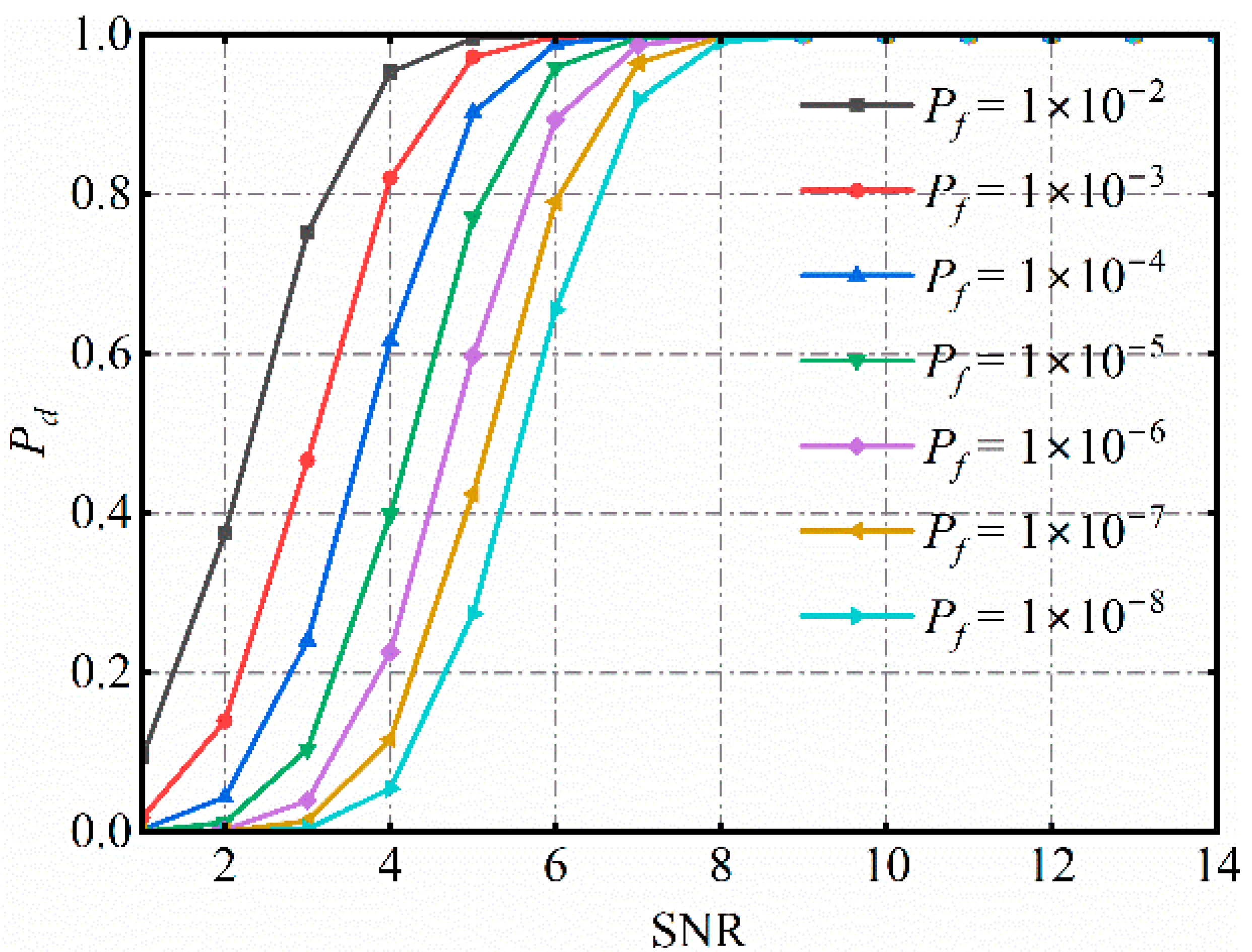
4.2. Optical Detection Conditions for Airships
4.3. Simulation Results of Detection in Different Seasons
5. Discussion
6. Conclusions
Author Contributions
Funding
Data Availability Statement
Conflicts of Interest
References
- Dolce, J.L.; Collozza, A. High-Altitude, Long-Endurance Airships for Coastal Surveillance. 2005. Available online: https://ntrs.nasa.gov/citations/20050080709 (accessed on 20 May 2024).
- Jamison, L.; Sommer, G.; Porche, I. High-Altitude Airships for the Future Force Army; Rand: Santa Monica, CA, USA, 2005. [Google Scholar]
- SantaPietro, J.J. Persistent Wide Area Surveillance from an Airship. IEEE Aerosp. Electron. Syst. Mag. 2012, 27, 11–16. [Google Scholar] [CrossRef]
- Ilieva, G.; Páscoa, J.; Dumas, A.; Trancossi, M. MAAT—Promising innovative design and green propulsive concept for future airship’s transport. Aerosp. Sci. Technol. 2014, 35, 1–14. [Google Scholar] [CrossRef]
- Smith, I.; Lee, M.; Fortneberry, M.; Judy, R. HiSentinel80: Flight of a high altitude airship. In Proceedings of the 11th AIAA Aviation Technology, Integration, and Operations (ATIO) Conference, Including the AIAA Balloon Systems Conference and 19th AIAA Lighter-Than, Virginia Beach, VA, USA, 20–22 September 2011; p. 6973. [Google Scholar]
- Androulakakis, S.P.; Judy, R. Status and plans of high altitude airship (HAATM) program. In Proceedings of the AIAA Lighter-Than-Air Systems Technology (LTA) Conference, Daytona Beach, FL, USA, 25–28 March 2013; p. 1362. [Google Scholar]
- Bonnici, M.; Tacchini, A.; Vucinic, D. Long permanence high altitude airships: The opportunity of hydrogen. Eur. Transp. Res. Rev. 2014, 6, 253–266. [Google Scholar] [CrossRef]
- Hygounenc, E.; Jung, I.K.; Souères, P.; Lacroix, S. The autonomous blimp project of LAAS-CNRS: Achievements in flight control and terrain mapping. Int. J. Robot. Res. 2004, 23, 473–511. [Google Scholar] [CrossRef]
- Kusagaya, T.; Kojima, H.; Fujii, H.A. Estimation of flyable regions for planetary airships. J. Aircr. 2006, 43, 1177–1181. [Google Scholar] [CrossRef]
- Schmidt, D.K.; Stevens, J.; Roney, J. Near-space station-keeping performance of a large high-altitude notional airship. J. Aircr. 2007, 44, 611–615. [Google Scholar] [CrossRef]
- Lei, C.; Cheng, L.; Kavanagh, K. Spanwise length effects on three-dimensional modelling of flow over a circular cylinder. Comput. Meth. Appl. Mech. Eng. 2001, 190, 2909–2923. [Google Scholar] [CrossRef]
- Kreith, F.; Kreider, J.F. Numerical Prediction of the Performance of High Altitude Balloons; NCAR Technical Note NCAR-TN/STR-65; National Center for Atmospheric Research: Boulder, CO, USA, 1974. [Google Scholar]
- Khoury, G.A. Airship Technology; Cambridge University Press: Cambridge, UK, 2012; Volume 10. [Google Scholar]
- Carlson, L.A.; Horn, W.J. New Thermal and Trajectory Model for High-Altitude Balloons. J. Aircr. 1983, 20, 500–507. [Google Scholar] [CrossRef]
- Louchev, O.A. Steady-State Model for the Thermal Regimes of Shells of Airships and Hot Air Balloons. Int. J. Heat Mass Transf. 1992, 35, 2683–2693. [Google Scholar] [CrossRef]
- Farley, R. BalloonAscent: 3-D simulation tool for the ascent and float of high-altitude balloons. In Proceedings of the AIAA 5th ATIO and16th Lighter-Than-Air Sys Tech. and Balloon Systems Conferences, Arlington, VA, USA, 26–28 September 2005; p. 7412. [Google Scholar]
- Xia, X.L.; Li, D.F.; Sun, C.A.; Ruan, L.M. Transient thermal behavior of stratospheric balloons at float conditions. Adv. Space Res. 2010, 46, 1184–1190. [Google Scholar] [CrossRef]
- Liu, Q.; Wu, Z.; Zhu, M.; Xu, W.Q. A comprehensive numerical model investigating the thermal-dynamic performance of scientific balloon. Adv. Space Res. 2014, 53, 325–338. [Google Scholar] [CrossRef]
- Shi, H.; Song, B.Y.; Yao, Q.P.; Cao, X. Thermal Performance of Stratospheric Air-ships During Ascent and Descent. J. Thermophys. Heat Transf. 2009, 23, 816–821. [Google Scholar] [CrossRef]
- Stefan, K. Thermal effects on a high altitude airship. In Proceedings of the 5th Lighter-Than Air Conference, Anaheim, CA, USA, 25–27 July 1983; p. 1984. [Google Scholar]
- Franco, H.; Cathey, H.M. Thermal performance modeling of NASA’s scientific balloons. In Next Generation in Scientific Ballooning; Jones, W.V., Ed.; Advances in Space Research; Pergamon-Elsevier Science Ltd.: Kidlington, UK, 2004; Volume 33, pp. 1717–1721. [Google Scholar]
- Dong, Y.C.; Chen, F.S.; Wang, Y.; Su, X.F.; Wang, W. A Limb Atmospheric Radiance Inversion Method based on a Sun-synchronous Orbit Satellite. In Proceedings of the 2nd International Seminar on High-Power Laser Interaction with Matter and Application/International Seminar on Space Surveillance Technology/2nd Symposium on Combustion Diagnostics, Suzhou, China, 19–24 October 2014. [Google Scholar]
- Han, Y.; Xuan, Y. The Study and Application of the IR Feature of Target and Background. Infrared Technol. 2002, 24, 16–19. [Google Scholar]
- Han, Y.; Xuan, Y. Effect of atmospheric transmission on irradiation feature of target and background. J. Appl. Opt. 2002, 4, 8–11. [Google Scholar]
- Zong, J.; Zhang, J.; Liu, D. Infrared Radiation Characteristics of the Stealth Aircraft. Acta Photonica Sin. 2011, 40, 289–294. [Google Scholar] [CrossRef]
- Si-Li, G.; Xin-Yi, T. Building model of the plume released from the flying machine and simulation. Opto-Electron. Eng. 2007, 34, 25–27. [Google Scholar]
- Karlholm, J.; Renhorn, I. Wavelength band selection method for multispectral target detection. Appl. Opt. 2002, 41, 6786–6795. [Google Scholar] [CrossRef] [PubMed]
- Ni, X.; Yu, S.; Su, X.; Chen, F. Detection spectrum optimization of stealth aircraft targets from a space-based infrared platform. Opt. Quantum Electron. 2022, 54, 151. [Google Scholar] [CrossRef]
- Liu, F.; Shao, X.P.; Han, P.L.; Bin, X.; Yang, C. Detection of infrared stealth aircraft through their multispectral signatures. Opt. Eng. 2014, 53, 10. [Google Scholar] [CrossRef]
- Wang, Y.; Huang, S.; Liu, D.; Wang, B. Novel band selection method based on target detection. Infrared Laser Eng. 2013, 42, 2294–2298. [Google Scholar]
- Lin, T.; Liu, F.; Wang, Y.; Zhang, J. Band performance analysis method of spectrum detection about infrared stealth aircraft. J. Xidian Univ. 2016, 43, 54–59+81. [Google Scholar] [CrossRef]
- Harada, K.; Eguchi, K.; Sano, M.; Sasa, S. Experimental study of thermal modeling for stratospheric platform airship. In Proceedings of the AIAA’s 3rd Annual Aviation Technology, Integration, and Operations (ATIO) Forum, Denver, CO, USA, 17–19 November 2003; p. 6833. [Google Scholar]
- Li, H.; He, J.-Y.; Na, S. Research on Thermal Performance of a Stratospheric Airship at High-Altitude Station-Keeping Conditions. J. Xi’an Aeronaut. Univ. 2016, 34, 7–12+43. [Google Scholar]
- Zhi, J.; Yuan, K.J.; Li, S.F.; Chow, W.K. Study of FTIR spectra and thermal analysis of polyurethane. Spectrosc. Spectr. Anal. 2006, 26, 624–628. [Google Scholar]


















| Horizontal Coverage | Horizontal Resolution | Vertical Resolution | Vertical Coverage | Temporal Coverage | Temporal Resolution |
|---|---|---|---|---|---|
| Global | 0.25° × 0.25° | 137 level | 1000 hPa to 1 hPa | 1959 to present | Hourly |
| Parameters | Value |
|---|---|
| System optical aperture (mm) | 360 |
| System F-number | 1.8 |
| Focal length (mm) | 650 |
| Pixel pitch (µm) | 25 |
| Readout noise in electron counts | 200 |
| Fill factor | 0.7 |
| Quantum efficiency | 0.6 |
| Integration time (ms) | 100 µs |
| Integration capacitor (pf) | 0.2 |
| Quantization bits | 14 |
| Full well capacity (e-) | 3.5 × 106 |
| Full well voltage (V) | 2.8 |
| Central Wavelength/µm | Starting Wavelength/µm | Ending Wavelength/µm | Bandwidth/µm | SNR |
|---|---|---|---|---|
| 8.83 | 8.86 | 9.08 | 0.5 | 8.77 |
| 10.83 | 10.58 | 11.08 | 0.5 | 8.04 |
| 11.51 | 11.26 | 11.76 | 0.5 | 8.95 |
| 12.39 | 12.14 | 12.64 | 0.5 | 8.65 |
| 17.49 | 17.24 | 17.74 | 0.5 | 8.74 |
Disclaimer/Publisher’s Note: The statements, opinions and data contained in all publications are solely those of the individual author(s) and contributor(s) and not of MDPI and/or the editor(s). MDPI and/or the editor(s) disclaim responsibility for any injury to people or property resulting from any ideas, methods, instructions or products referred to in the content. |
© 2024 by the authors. Licensee MDPI, Basel, Switzerland. This article is an open access article distributed under the terms and conditions of the Creative Commons Attribution (CC BY) license (https://creativecommons.org/licenses/by/4.0/).
Share and Cite
Xu, H.; Cui, S.; Qiao, Z.; Liu, X.; Yang, S.; Wei, H. An Optical Detection Model for Stratospheric Airships. Remote Sens. 2024, 16, 1884. https://doi.org/10.3390/rs16111884
Xu H, Cui S, Qiao Z, Liu X, Yang S, Wei H. An Optical Detection Model for Stratospheric Airships. Remote Sensing. 2024; 16(11):1884. https://doi.org/10.3390/rs16111884
Chicago/Turabian StyleXu, Huiqiang, Shengcheng Cui, Zhi Qiao, Xiaodan Liu, Shizhi Yang, and Heli Wei. 2024. "An Optical Detection Model for Stratospheric Airships" Remote Sensing 16, no. 11: 1884. https://doi.org/10.3390/rs16111884
APA StyleXu, H., Cui, S., Qiao, Z., Liu, X., Yang, S., & Wei, H. (2024). An Optical Detection Model for Stratospheric Airships. Remote Sensing, 16(11), 1884. https://doi.org/10.3390/rs16111884

