Abstract
GNSS-Reflectometry, a technique that harnesses the power of microwave remote sensing, is poised to revolutionize our ability to detect and monitor near-surface soil freeze/thaw processes. This technique’s theoretical underpinnings are deeply rooted in the comprehensive explanation of the Zhang–Zhao dielectric constant model, which provides crucial insights into the behavior of frozen and thawed soils. The model elucidates how the dielectric properties of soil change as it transitions between frozen and thawed states, offering a scientific basis for understanding reflectivity variations. Furthermore, the theoretical framework includes a set of formulas that are instrumental in calculating reflectivity at Lower Right (LR) polarization and in deriving Dual-Polarization Differential Observables (DDMs). These calculations are pivotal for interpreting the signals captured by GNSS-R sensors, allowing for the detection of subtle changes in the soil’s surface conditions. The evolution of GNSS-R as a tool for detecting freeze/thaw phenomena has been substantiated through qualitative analyses involving multiple satellite missions, such as SMAP-R, TDS-1, and CYGNSS. These analyses have provided empirical evidence of the technique’s effectiveness, illustrating its capacity to capture the dynamics of soil freezing and thawing processes. In addition to these qualitative assessments, the application of a discriminant retrieval algorithm using data from CYGNSS and F3E GNOS-R has further solidified the technique’s potential. This algorithm contributes to refining the accuracy of freeze/thaw detection by distinguishing between frozen and thawed soil states with greater precision. The deployment of space-borne GNSS-R for monitoring near-surface freeze/thaw cycles has yielded commendable results, exhibiting robust consistency and delivering relatively precise retrieval outcomes. These achievements stand as testaments to the technique’s viability and its growing significance in the field of remote sensing. However, it is imperative to recognize and actively address certain limitations that have been highlighted in this review. These limitations serve as critical focal points for future research endeavors, directing the efforts toward enhancing the technique’s overall performance and applicability. Addressing these challenges will be essential for leveraging the full potential of GNSS-R to advance our understanding and management of near-surface soil freeze/thaw processes.
1. Introduction
The soil freeze/thaw cycle refers to the process of alternating freezing and thawing on the soil surface caused by seasonal or diurnal changes in heat. It directly affects the changes in surface soil moisture, thereby altering the thermal state, structure, and properties of the soil [1,2]. The freeze/thaw (F/T) transition is a crucial indicator of climate change and plays a vital role in estimating soil moisture content [3,4].
Traditional monitoring methods include surface station monitoring and numerical simulation, but the former is limited by the number and distribution of stations, which has certain limitations and cannot be applied to large areas [4]. Although the latter can better reflect the spatial distribution characteristics of soil freeze/thaw cycles, it is susceptible to the influence of atmospheric pressure and freeze/thaw mode parameters, and the simulation results have certain deviations [5].
The development of satellite remote sensing technology has broken through regional scale limitations, making it possible to monitor surface freeze/thaw cycles on a large global scale [6]. The fundamental theoretical for surface freeze/thaw cycle monitoring using microwave remote sensing is that the dielectric constant of liquid water (with a relative dielectric constant of 81) is much greater than that of ice (with a relative dielectric constant of about 3–4). As the soil melts, the ice in the soil undergoes a phase transition, and the liquid water content increases, resulting in a significant increase in the soil dielectric constant, leading to an increase in soil reflectivity or a decrease in soil emissivity [4]. The low-frequency band of microwaves (below 10 GHz) is highly sensitive to the phase transition of water, which offers a theoretical foundation for the inversion of surface freeze/thaw cycle conditions using passive microwave remote sensing technology [7].
GNSS-R is an emerging remote sensing method for ground observation that makes use of the reflected signals of L-band navigation satellites to detect ground objects [8]. Essentially, it is a bistatic/multi-static radar. Its application originated from the remote sensing of ocean surface state parameters and later expanded to research on soil moisture, vegetation biomass, flood inundation, and wetland monitoring on land surface [9,10,11,12,13]. The use of GNSS-R for monitoring surface freeze/thaw cycle conditions is a relatively new application [14]. There are studies using ground-based GNSS receiver data for analysis. That is, using GNSS-IR (Global Navigation Satellite System-Interference Reflectometry) remote sensing methods. Based on the microwave scattering model of surface freeze/thaw cycle characteristics, researchers have theoretically verified the effectiveness of GPS-IR (Global Positioning System-Interference Reflectometry) technology in monitoring surface freeze/thaw cycle characteristics using a forward GPS multipath model and a GPS bistatic radar integrated equation model. At the same time, correlation analysis was conducted using IGS (International GNSS Services) station data [15].
With the advancement of onboard GNSS-R technology, the possibility of using it for monitoring surface freeze/thaw cycle conditions is also progressing from qualitative research to quantitative inversion. This article will provide a brief review of it.
2. Theoretical Fundamentals
The theoretical fundamentals for detecting the freeze/thaw cycle status of near-surface soils with space-borne GNSS-R rely on the apparent changes of soil dielectric constants as the soil changes from below zero degrees to above zero degrees. However, space-borne GNSS-R simulators for the application of near-surface F/T cycle detection have been developed as the experiments are carried out. Table 1 summarizes the current GNSS-R simulators.
Table 1.
Summary of the current GNSS-R simulators.
Currently, most GNSS-R DDM simulators are based on the Z–V model [16], which is a form of the integral of the bistatic radar. Although the Z–V model was the first of its kind, it was primarily designed for ocean surface applications. While Dr. Master extended its application to land surface applications, it was only used for soil moisture estimation, and herein, we have designated it as the Z–V–M model [17]. The SAVERS [18] and Scobi-Veg [19] models that were later developed focused solely on soil moisture and vegetation studies and did not account for frozen soil. In contrast, the LAGRS model developed by Wu et al. includes three main modules: bare soil [20], vegetation [21], and near-surface F/T cycle detection [22]. This provides theoretical guidance for F/T cycle detection using space-borne GNSS-R. In this section, we will provide a detailed explanation of the theoretical fundamentals, formulas, and flowcharts of the LAGRS model.
2.1. Dielectric Constant Model
Soil can be considered as a composite of materials, including air, solid soil particles, free water, and bound water. Each component of the soil mixture plays an important role in determining the final soil dielectric constant [23,24].
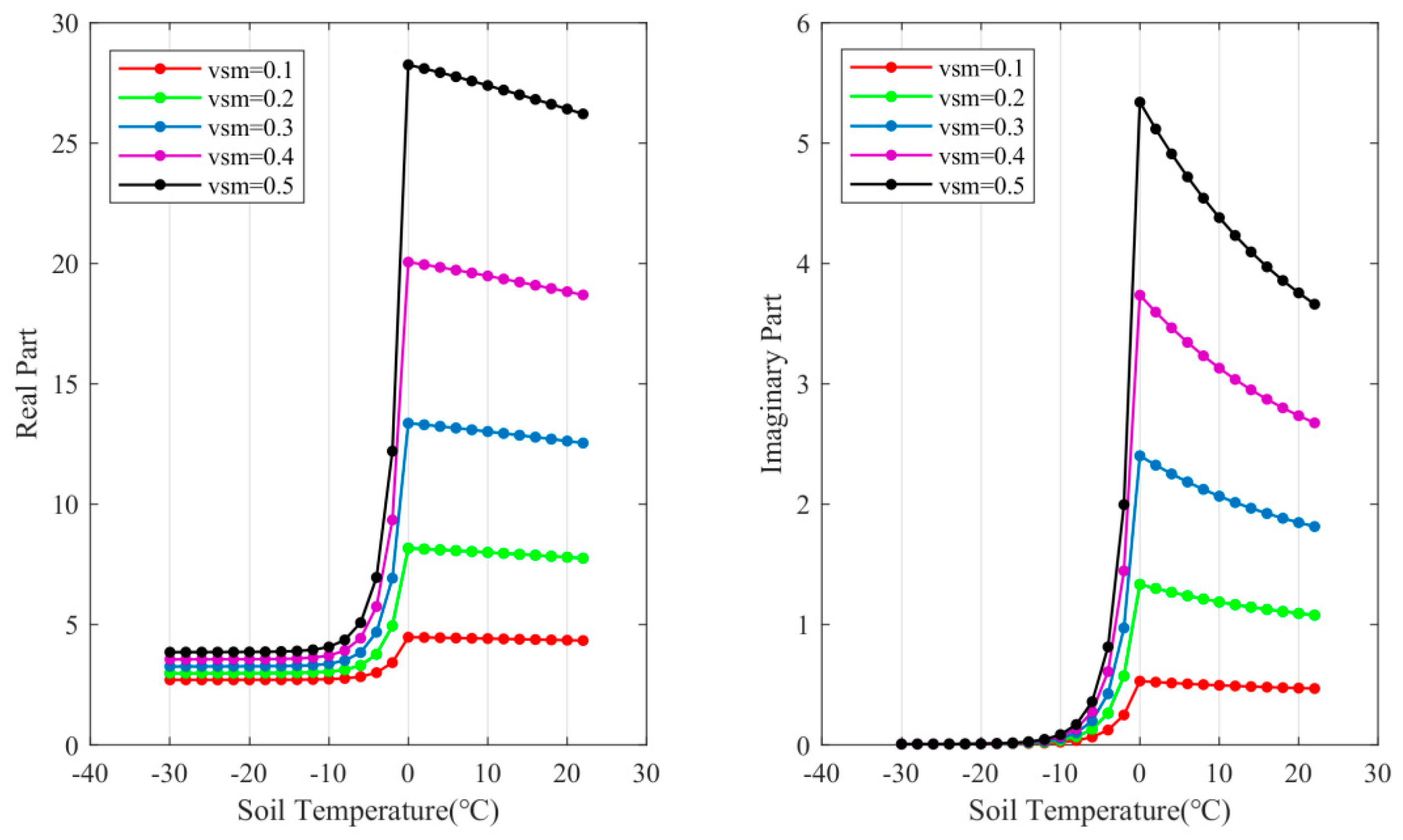
The freeze/thaw process of soil is actually a phase change process of the liquid water in the soil. During the freezing process of soil, not all water freezes. Due to capillary action and adsorption on the surface of soil particles, there is always some water in the frozen soil that remains unfrozen, that is, unfrozen water. The content of unfrozen water generally decreases gradually with the decrease in temperature, and vice versa. The accurate calculation of unfrozen water content is the key to constructing a dielectric model of freeze/thaw soil [25]. The Zhang–Zhao freeze/thaw soil dielectric constant model fully considers the influence of this factor and is currently an effective mechanism model for calculating the dielectric constant of freeze/thaw soil [26]. With this model, Figure 1 illustrates the relationship between the real and imaginary parts of the dielectric constant and soil temperature (increasing from negative to positive) for different soil moisture levels. The volumetric soil moisture content (VSM) ranges from 0.1 to 0.5 with an interval of 0.1.
Figure 1.
The relationship between the real (left) and imaginary (right) parts of the dielectric constant and soil temperature under different soil moisture conditions. There are no units for the real part and the imaginary part of the dielectric constant.
The figure shows that there is a significant transition in both the real and imaginary parts of the dielectric constant when the soil temperature changes from negative to positive values, regardless of the specific soil moisture conditions. This suggests that the soil’s electrical properties are sensitive to changes in temperature, that is, from a lower value to a higher value. The significant change in dielectric constant is the theoretical fundamental basis of using it for monitoring freeze/thaw cycle changes.
2.2. Surface Reflectivity
A significant change in the soil dielectric constant can directly lead to changes in surface reflectivity. For GNSS-R, the reflectivity calculated for LR polarization is a linear combination of V polarization and H polarization [16].
From Equations (1)–(3), it can be seen that surface reflectivity is a function of the soil dielectric constant and observation angle. Therefore, when the observation angle is fixed, the factor that affects reflectivity is the soil dielectric constant. As can be seen from Section 2.1, when the dielectric constant changes from a freezing status to a thawing status, as the soil temperature increases and both the real and imaginary parts of the dielectric constant increase, there will be a corresponding increase in the reflectivity of GNSS-R signals.
2.3. DDM Waveform
The final observation of spaceborne GNSS-R is the DDM. Wu et al. have developed a spaceborne DDM simulator, i.e., LAGRS, suitable for typical land surface water cycle parameters [20,21,22]. This model is based on the Z–V model [16], which is an integral form of bistatic radar. Wu et al. combined it with a random rough surface scattering model and a microwave radiation transfer equation model. The LAGRS model includes, but is not limited to, the following modules: LAGRS-Soil for soil moisture research [20], LAGRS-Veg for vegetation study [21], and LAGRS-FT for near surface freeze/thaw cycle status detection [22]. The overall process of LAGRS-FT is to input the soil moisture, temperature, texture, and other parameters of the surface into the model, which can obtain the dielectric constant of freeze/thaw cycle soil. It will be used as the input parameter of the surface reflectivity, and the corresponding reflectivity will be calculated through LR polarization reflectivity and used as the input for the LAGRS-FT model to obtain the DDM observable under freeze/thaw cycle conditions. Figure 2 shows the differences in the DDM waveforms corresponding to soil freeze/thaw cycle transitions.
Figure 2.
DDMs for frozen soil (a) and thawed soil (b); Delay waveform (DW) in (c) for frozen soil (blue line) and thawed soil (red line).
From Figure 2a,b, it can be seen that due to the freeze/thaw transition, the peak value of the DDM waveform significantly increases. It can also be seen from the correlation power waveform in Figure 2c that when frozen soil is converted to thawed soil, the peak value of the relevant power waveform increases.
3. Qualitative Analysis for Possibility
With the development of space-borne GNSS-R missions, as shown in the following figures, researchers have extended the application to near-surface soil F/T cycle detection. In the following figure, we present the space-borne GNSS-R missions. Table 2 provides an overview of the development of spaceborne GNSS-R technology. The first spaceborne GPS-R (GPS-reflectometry) receiver was deployed on the UK-DMC (United Kingdom-Disaster Monitoring Constellation) satellite in 2004. Initially used to study ocean surface roughness and retrieve oceanic parameters such as wind speed and significant wave height, subsequent research revealed that the reflected signals from land surfaces could also be effectively captured. The TDS-1 satellite, launched successfully on 8 July 2014, carried eight experimental payloads, including the Space GNSS Receiver-Remote Sensing Instrument (SGR-ReSI) for spaceborne GNSS reflection signal reception. TDS-1 provided a wealth of GNSS reflection data for land surfaces, enabling exploratory studies on soil moisture and surface freeze/thaw cycle dynamics. While the primary scientific objective of the CYGNSS mission, launched by NASA in 2016, was remote sensing research on hurricanes and oceanic parameters, researchers have utilized the data for numerous studies in fields such as soil moisture, vegetation biomass, surface freeze/thaw cycle dynamics, floods, and wetlands. In December 2019, Spire Global, a leading global company, launched two GNSS-Reflectometry CubeSats for technology validation using the Indian Polar Satellite Launch Vehicle (PSLV) rocket. Subsequently, newly developed GNSS-Reflectometry CubeSats were primarily used for continuous monitoring research on soil moisture and sea winds. The launch of the Fengyun-3 meteorological satellite with the GNOS-R payload on 5 July 2021, enabled global coverage and provided effective observational data for global remote sensing of land surface parameters. FSSCat, the first satellite in the Copernicus CubeSat program, was successfully launched in 2020, carrying an L1/E1 GNSS-R combined with an L-band microwave radiometer payload, with soil moisture observation being one of its key scientific objectives. The HydroGNSS mission is scheduled for launch at the end of 2024, with its primary goal being the detection of four major parameters in the water cycle: soil moisture, wetlands/floods, surface freeze/thaw cycle dynamics, and vegetation biomass. From the development of space-borne GNSS-R missions, it is evident that the application on land surfaces has gained increasing popularity. Furthermore, the application of land surface freeze/thaw (F/T) cycle detection stands out as one of the most crucial applications in both current and future space-borne GNSS-R missions.
Table 2.
Space-borne GNSS-R missions for near-surface soil F/T cycle detections.
The initial research on the detection of the near-surface freeze/thaw cycle state using onboard GNSS-R technology was mostly based on the observation of the DDM. By extracting peak values as surface reflectivity, researchers have established qualitative analysis.
This section and the next section will give an overview of the development of this application.
The following figure presents the missions of the GNSS-R, and the corresponding representative works are also presented in the figure.
As for SMAP-R, it employed global coverage data to analyze the SR information and achieved good seasonal variations between SMAP-R SR and SMAP F/T data [27]. The work performed by TDS-1 has also demonstrated this phenomenon, and their work again proves the possibility of TDS-1 for F/T cycle detection [28]. Wu et al. employed the CYGNSS data in Tibet, China, to perform qualitative analysis; good consistency was also achieved [29]. While a seasonal classification factor for the discrimination algorithm was achieved using CYGNSS data [30], they employed the target area of the southern section of the Andes Mountains in South America to test their algorithm. Wu et al. also employed the GNOS-R data in the work in the Arctic circle, and good retrieval results were achieved [31]. In this section and the next section, we will divide the work into two groups: one is the qualitative analysis for possibility detection, and the other group is the quantitative inversion results.
3.1. SMAP-R for Soil F/T Cycle Detection
SMAP is an active and passive combination soil moisture detection mission launched in 2015 by NASA (National Aeronautics and Space Administration).
The SMAP mission was not specifically designed as a GNSS-R instrument, but rather, it was the hardware used for the radar in SMAP that was no longer functioning. Researchers have transferred the idea of GNSS-R to the malfunctioning SMAP radar. Special data processing methods are carried out in order for a GNSS-R working mode. Once the bandwidth of the SMAP radar receiver was 1.1 MHz, it was tuned to 1227.45 Mhz to collect GPS L2C signals on 20 August 2015. The latter tuned band-pass center frequency falls in almost half of the GPS satellites. Each DDM contains not only the reflected signal but also the direct signals transmitted from the GPS transmitter to the SMAP. After the DDM was produced, they adopted the method proposed by Chew et al. to calculate the peak Signal-to-Noise Ratio (SNR) [27]. In the following calculation, it is assumed that the signals are coherent scattering:
where is the maximum power of the DDM, and it is the function of surface reflectivity. C indicates it is coherent scattering, and p is the polarization. is the transmitted power of right-hand circular polarization. and are the gains of the transmitter and receiver. is the distance between the transmitter and the specular reflection point, is the distance between the specular reflection point and the receiver. equals 24.4 cm and is the wavelength. In their work, they believed that the coherent scattering on the land surface is much larger than the one on the ocean surface.
To solve the reflectivity as shown in Equation (5), we can calculate the range- and gain-corrected SNR (Signal-to-Noise Ratio) of the DDM using the following formula:
where N is a noise correction.
They estimated the mean seasonal change in the observed in locations that have simultaneous in situ soil temperature information. Both the Snow Telemetry (SNOTEL) network and the Soil Climate Analysis Network (SCAN), which offer soil temperature measurements for the first 10 cm of the soil column, provided in situ soil temperature data. The for the frozen groups varied less than that of the unfrozen groups. The observed data and the simulated results all indicate that the seasonal change in the observed is due to soil F/T cycles. The seasonal variations in the power of the received signal () exhibited spatial patterns that were similar to the observed changes in backscatter on the available SMAP radar data.
3.2. TDS-1 for Soil F/T Cycle Detection
The TDS-1 satellite was successfully launched into orbit on 8 July 2014, and its objective is to provide technology verification services. The satellite is in a solar synchronous orbit at an altitude of 635 km. The GPS-R receiver on the TDS-1 satellite performs real-time navigation, and eight test payloads, including the SGR-ReSI (Space GNSS Receiver Remote Sensing Instrument), are onboard. Each payload is controlled by the ground station and works in turn for 8 days as a working cycle. Before 2018, the SGR-ReSI would work for 1–2 days in each work cycle. From February to December 2018, the SGR-ReSI was changed to an all-day mode. The SGR-ReSI can track, record, and process the surface reflection signals of four GPSs and other navigation satellites at the same time. Meanwhile, 1 s incoherent accumulated delay Doppler map data (DDM) can be generated. With the peak power of the DDM, reflectivity was finally retrieved [32,33].
where is the DDM noise, is the direct power, and its related noise is . is the distance from the transmitter to the receiver, and is the gain and can be extracted from the L1b product. is the upward antenna gain, and it is set at a constant nominal value of 4 dB.
With the TDS-1 reflectivity, its sensitivity to the F/T cycle dynamic is validated a shown in Figure 3 [27]. Ancillary data includes F/T cycle fraction and surface temperature. With F/T cycle fraction and F/T cycle state, comparisons between TDS-1 reflectivity in a time series range (July 2015 to July 2018) have been carried out. By using the data in the northern region of the hemisphere, they have employed the monthly average reflectivity against the monthly average of the SMAP F/T cycle fraction and F/T cycle state to investigate the capability of GNSS data for soil F/T cycle dynamic detection. In order to exclude the effects of different geophysical parameters, they have employed the International Geosphere-Biosphere Programme (IGBP) land cover classification for analysis. Figure 4 selects one figure (open shrublands) in the paper to perform a comparison. As expected, frozen soil has a lower dielectric constant and, thus, has lower reflectivity; a higher dielectric constant (thawed soil) corresponds to higher reflectivity. In-situ measurement data are also collected to verify the correlation between near-surface temperature data and reflectivity values.
Figure 3.
Development of the space-borne GNSS-R missions.
Figure 4.
SMAP F/T cycle fraction and the percentage of frozen pixels versus the TDS−1 reflectivity [27]. While the green line indicate the surface reflectivity, and the red line demonstrate the percentage of frozen pixels.
The investigation shows a similar trend between the monthly reflectivity and those of the reference quantities considered in this work.
3.3. Soil F/T Retrieval Using CYGNSS in Tibet
CYGNSS was successfully launched in December 2016. Its temporal resolution is 2.8 (median) and 7.2 (mean) hours per day.
CYGNSS carries eight micro-satellites. Each satellite can provide four ground reflection measurements at the same time per second; therefore, 32 observations can be obtained at the same time. CYGNSS raw data includes bistatic radar cross-sections (BRCs) and Signal-to-Noise Ratios (SNRs) at each specular reflection point (SP). The related geometric measurements and navigation positioning information are also collected. This information includes incident angles, SP coordinates, and the distance from the SP to the transmitter and the receiver.
The Tibetan Plateau in China is often referred to as the “roof of the world” due to its unique physical characteristics, including the freezing and thawing process of the soil. The CYGNSS specular point reflectivity data for the Qinghai–Tibet Plateau are shown in Figure 5. Since the first scientific goal of CYGNSS is cyclone detection in pantropical areas, its coverage is about ±38°. It can be seen from the figure that there are sparse specular points in the north part of the Qinghai–Tibet Plateau, while the distribution in the middle and north part becomes denser [29].
Figure 5.
Specular points of CYGNSS in the Qinghai–Tibet Plateau on 1 January 2018; water bodies are colored blue [29].
With the IGBP land classification data, the study areas are divided into four types. In this way, they hope they can make the study area more homogeneous [29].
Wu et al. made use of the Cyclone Global Navigation Satellite System (CYGNSS) for the first time to investigate the possibility of tracking soil freeze/thaw cycles in the Tibetan Plateau. They compared the SMAP Freezing and Thawing (F/T) state with the CYGNSS reflectivity from January 2018 to January 2020 [29]. Within this time series, the correlation between CYGNSS reflectivity and SMAP soil moisture was examined and contrasted. The findings demonstrate that the impact of soil moisture on reflectance is negligible and should be disregarded.
The periodic oscillation of CYGNSS reflectivity is shown to be nearly identical to the variations in SMAP Freezing and Thawing (F/T) data in Figure 6. The primary component affecting CYGNSS reflectivity is freeze/thaw cycle conversion. The cyclical variation in CYGNSS reflectivity over the course of two years suggests that soil F/T cycles are primarily to blame. Their research indicates that the Tibetan Plateau’s soil F/T cycles have the potential to be observed with CYGNSS.
Figure 6.
The International Geosphere-Biosphere Programme (IGBP) land cover type on the Tibetan Plateau [29].
4. Quantitative Inversion Results
Researchers have employed the retrieval algorithm to present quantitative detection of the near-surface soil F/T cycle fraction. Here, we show the results retrieved by CYGNSS and F3E-GNOS-R.
4.1. Soil F/T Cycle Retrieval Using CYGNSS
In the study of surface freeze/thaw cycle status using CYGNSS, researchers have selected the range from 67°W–71°W and from 28°S–35°S as the target area, which includes the southern section of the Andes Mountains in South America and is within the detection range of the CYGNSS satellites [33]. The snowline is highest at around 5200 m above sea level. As the latitude increases to 32°S, the snowline on Mount Aconcagua drops to an altitude of 4500 m, with large areas of snow and glaciers, where the land cover type is mainly bare soil and low vegetation (Figure 7), and the soil’s freeze/thaw transformation is more obvious.
Figure 7.
The time series of surface reflectivity versus the Soil Moisture Active Passive (SMAP) freeze ratio area under different land cover types on the Tibetan Plateau. The blue lines are the surface reflectivity and the red lines demonstrated the F/T pixels.
They have employed the seasonal classification factor (SCA) , shown in the equation for surface soil F/T cycle retrieval [33].
where is the reflectivity measurement estimated at time t, and and are the maximum and minimum reflectivity at the considered time range.
The freezing/thawing state of the soil is determined based on the hourly ERA5-Land soil temperature data over a one-month period for the target area. A soil temperature of 0 °C was treated as the threshold for determining soil freezing and thawing status. If the average temperature of the 0–7 cm soil layer is less than 0 °C, the state is defined as frozen . If the average value is greater than 0 °C, it is defined as a thawing state .
Figure 8 shows the SCA calculated according to Formula (5) for the study area in January and July 2019. In January, the coefficient of the SCA in most regions increased compared to those when the soil froze in July. The threshold and are based on the average of the SCA in the three months of summer (January to March) and winter (July to September) in the southern hemisphere, respectively. When , it was thought to have a thawed status, while if , it was thought to have a frozen status.
Figure 8.
The IGBP Land Cover Types in the target area.
The results of freeze/thaw cycle discrimination are shown in Figure 9, where the area in the melting state gradually increases from January to March, and the frozen part extends along the Andes Mountains in February and March (Figure 10). In winter, as the temperature decreases, the frozen area continues to increase. The area identified by the above algorithm as in a frozen state is relatively large, basically extending along the Andes Mountains from east to west.
Figure 9.
The SCA distribution in January (a) and July (b) of 2019 [33].
Figure 10.
Surface thawed state (a–c) from January 2019 to March 2019, the months for (a–c) are January, February and March. and surface frozen state (d–f) from July 2019 to September 2019 while the months for (d–f) are July, August and September, obtained using CYGNSS data [33].
4.2. F/T Cycle Detection with GNOS-R
The F3E (Fengyun-3E) satellite is the first civilian morning and evening orbit operational meteorological satellite in the world, which was successfully launched on 5 July 2021. The satellite is equipped with 11 payloads, including three newly developed instruments, one of which is the GNOS-II payload. The GNOS-II payload combines the GNSS-RO (Global Navigation Satellite System-Radio Occultation) and GNSS-R (Global Navigation Satellite System-Reflectometry) capabilities. The Global Navigation Satellite System-R (GNOS-R) has the ability to simultaneously receive signals from the GPS, BDS, and Galileo global navigation satellite systems. The GNOS-R sensor can specifically pick up GPS L1 C/A, BDS B1I, and GAL E1B signals. This makes it possible to provide users with multi-GNSS reflection products. Because of its 98.8° orbit inclination, GNOS-R has global coverage as opposed to NASA’s CYGNSS project, which concentrates on cyclone monitoring in the pan-tropical area (±38°) [34,35,36,37].
The peak values of the DDM are used to perform the discrimination for surface soil F/T cycle detection. While the values are referred to as surface reflectivity (SR), its computation equation is as follows [34,35,36,37]:
where Γ is the SR, and the distance from the specular points to the receiver and the transmitter is marked as and , respectively. is the peak DDM power and refers to noise. The DDM BRCS-Factor can be calculated using the following (bistatic radar cross-section factor):
The retrieval algorithm is like Equation (8), and the Arctic Circle is selected as the target area for retrieval. The IGBP land cover types of the target area are presented in the following figure [31].
The land cover types are mainly classified into three types: barren, low-vegetation, and high forest. The comparison between the SR ratio factors and the SMAP F/T cycle values is calculated, and a good consistency between them can be achieved from Figure 11. The final discrimination accuracy is good enough to support that the GNOS-R has the ability to do near-surface soil F/T cycle status detection as shown in Figure 12 [27].
Figure 11.
The land cover and land use map in the Arctic Circle [31].
Figure 12.
The SR (Surface reflectivity) ratio factors (left Y-axis) in blue color and the SMAP F/T cycle values (right Y-axis) for three types of land surfaces ((a) barren, (b) LowVeg, (c) Forest) in the Arctic Circle during the period from 10 July 2021 to 10 July 2022; the day of the year (DOY) is used to represent the date during the studied period in the X-axis.
The notable consistency between the SMAP F/T cycle values and the SR ratio factor calculated from GNOS-R data confirms the validity of the retrieval algorithm. Specifically, the method produced an excellent result: the correct discrimination percentages were above approximately 70% during the cooler periods encompassing DOY 317 to 359 in the year 2021 and DOY 345 in the year 2022.
5. Conclusions
Global Navigation Satellite System-Reflectometry (GNSS-R) has been identified as a novel tool for monitoring soil freeze/thaw cycles, offering significant potential for advancing our understanding of these critical environmental processes. The underlying principle is based on the observation that when soil temperature transitions from below zero to above zero degrees Celsius, there is a notable shift in the soil’s dielectric constant, which includes both its real and imaginary components. This change subsequently affects the surface scattering properties of the soil, leading to variations in the Digital Data Module (DDM), the primary output of space-borne GNSS-R systems.
Several studies utilizing GNSS-R for soil freeze/thaw cycle detection have been conducted using satellites such as the SMAP-R, TDS-1, and CYGNSS, demonstrating the efficacy of this technique. For instance, analyzing the retrieval results from CYGNSS in the Tibetan Plateau has underscored the potential and feasibility of employing GNSS-R for this purpose. However, it is crucial to acknowledge the influence of other geophysical parameters, such as soil moisture and snow cover, on the reflectivity data obtained by CYGNSS. These factors emphasize the need for comprehensive research into soil freeze/thaw cycle detection using GNSS-R in the near future.
A focal point of future research involves effectively mitigating these complex factors to extract reliable soil freeze/thaw cycle information. As more GNSS data becomes available in high latitudes, integrating this method with other remote sensing techniques could lead to practical soil F/T cycle products. The outlook for GNSS-R in surface freeze/thaw cycle detection remains promising. With ongoing technological advancements, GNSS-R could offer more precise monitoring, thereby providing richer data support for various fields such as agriculture, ecology, and climatology.
Despite its advantages, including all-weather capability and high temporal resolution, GNSS-R faces certain limitations in soil freeze/thaw cycle detection. One significant challenge is the sensitivity of GNSS signals to vegetation cover; dense vegetation may attenuate the signal, reducing detection accuracy. Furthermore, land surface complexities like topography and water bodies can introduce measurement errors. The dependence on satellite availability and potential interference from other signal sources also pose challenges. Additionally, accurate reflection measurements require instrument calibration, which can be time-consuming.
Overcoming these limitations necessitates ongoing research and technological developments to fully realize the potential of GNSS-R for precise and reliable monitoring of surface freeze/thaw cycle dynamics. As satellite technology and data processing capabilities continue to advance, GNSS-R is poised to become an indispensable tool for global-scale surface freeze/thaw cycle monitoring, contributing significantly to global climate change and environmental monitoring efforts.
Author Contributions
H.L. and X.W. contributed equally to this work. They analyzed and interpreted the data and materials and wrote the original manuscript. All authors have read and agreed to the published version of the manuscript.
Funding
This research was funded by the National Natural Science Foundation of China (No. 42061057).
Conflicts of Interest
The authors declare no conflict of interest.
References
- Godde, C.; Mason-D’croz, D.; Mayberry, D.; Thornton, P.; Herrero, M. Impacts of climate change on the livestock food supply chain; a review of the evidence. Glob. Food Secur. 2021, 28, 100488. [Google Scholar] [CrossRef] [PubMed]
- Hu, L.; Zhao, T.; Ju, W.; Peng, Z.; Shi, J.; Rodríguez-Fernández, N.J.; Wigneron, J.-P.; Cosh, M.H.; Yang, K.; Lu, H.; et al. A twenty-year dataset of soil moisture and vegetation optical depth from AMSR-E/2 measurements using the multi-channel collaborative algorithm. Remote Sens. Environ. 2023, 292, 113595. [Google Scholar] [CrossRef]
- Zhao, T.; Zhang, L.; Jiang, L.; Zhao, S.; Chai, L.; Jin, R. A new soil freeze/thaw discriminant algorithm using AMSR-E passive microwave imagery. Hydrol. Process. 2011, 25, 1704–1716. [Google Scholar] [CrossRef]
- Zhao, T.; Shi, J.; Hu, T.; Zhao, L.; Zou, D.; Wang, T.; Ji, D.; Li, R.; Wang, P. Estimation of high-resolution near-surface freeze/thaw state by the integration of microwave and thermal infrared remote sensing data on the Tibetan Plateau. Earth Space Sci. 2017, 4, 472–484. [Google Scholar] [CrossRef]
- Shi, J.; Du, Y.; Du, J.; Jiang, L.; Chai, L.; Mao, K.; Xu, P.; Ni, W.; Xiong, C.; Liu, Q.; et al. Progresses on microwave remote sensing of land surface parameters. Sci. China Earth Sci. 2012, 55, 1052–1078. [Google Scholar] [CrossRef]
- Derksen, C.; Xu, X.; Dunbar, R.S.; Colliander, A.; Kim, Y.; Kimball, J.S.; Black, T.A.; Euskirchen, E.; Langlois, A.; Loranty, M.M.; et al. Retrieving landscape freeze/thaw state from Soil Moisture Active Passive (SMAP) radar and radiometer measurements. Remote Sens. Environ. 2017, 194, 48–62. [Google Scholar] [CrossRef]
- Kim, Y.; Kimball, J.S.; Glassy, J.; Du, J. An extended global Earth system data record on daily landscape freeze–thaw status determined from satellite passive microwave remote sensing. Earth Syst. Sci. Data 2017, 9, 133–147. [Google Scholar] [CrossRef]
- Martin-Neira, M. A passive reflectometry and interferometry system (PARIS): Application to ocean altimetry. ESA J. 1993, 17, 331–355. [Google Scholar]
- Said, F.; Jelenak, Z.; Chang, P.S. A look at cygnss dependence on sea surface salinity and sea surface temperature. In Proceedings of the IGARSS 2022—2022 IEEE International Geoscience and Remote Sensing Symposium, Kuala Lumpur, Malaysia, 17–22 July 2022; IEEE: New York, NY, USA, 2022; pp. 6927–6930. [Google Scholar]
- Wu, X.; Ma, W.; Xia, J.; Bai, W.; Jin, S.; Calabia, A. Spaceborne GNSS-R Soil Moisture Retrieval: Status, Development Opportunities, and Challenges. Remote Sens. 2021, 13, 45. [Google Scholar] [CrossRef]
- Wu, X.; Guo, P.; Sun, Y.; Liang, H.; Zhang, X.; Bai, W. Recent Progress on Vegetation Remote Sensing Using Spaceborne GNSS-Reflectometry. Remote Sens. 2021, 13, 4244. [Google Scholar] [CrossRef]
- Zhang, S.; Ma, Z.; Liu, Q.; Hu, S.; Feng, Y.; Zhao, H.; Guo, Q. POBI interpolation algorithm for CYGNSS near real time flood detection research: A case study of extreme precipitation events in Henan, China in 2021. Adv. Space Res. 2023, 71, 2862–2878. [Google Scholar] [CrossRef]
- Morris, M.; Chew, C.; Reager, J.T.; Shah, R.; Zuffada, C. A novel approach to monitoring wetland dynamics using CYGNSS: Everglades case study. Remote Sens. Environ. 2019, 233, 111417. [Google Scholar] [CrossRef]
- Wu, X.; Jin, S. Can we monitor the bare soil freeze-thaw process using GNSS-R? A simulation study. In Proceedings of the SPIE Asia Pacific Remote Sensing, Beijing, China, 13–17 October 2014. [Google Scholar] [CrossRef]
- Wu, X.; Jin, S.; Chang, L. Monitoring Bare Soil Freeze–Thaw Process Using GPS-Interferometric Reflectometry: Simulation and Validation. Remote Sens. 2017, 10, 14. [Google Scholar] [CrossRef]
- Zavorotny, V.; Voronovich, A. Scattering of GPS signals from the ocean with wind remote sensing application. IEEE Trans. Geosci. Remote Sens. 2000, 38, 951–964. [Google Scholar] [CrossRef]
- Masters, D.S. Surface Remote Sensing Applications of GNSS Bistatic Radar: Soil Moisture and Aircraft Altimetry; University of Colorado: Bolder, CA, USA, 2004. [Google Scholar]
- Pierdicca, N.; Guerriero, L.; Giusto, R.; Brogioni, M.; Egido, A. SAVERS: A Simulator of GNSS Reflections from Bare and Vegetated Soils. IEEE Trans. Geosci. Remote Sens. 2014, 52, 6542–6554. [Google Scholar] [CrossRef]
- Kurum, M.; Deshpande, M.; Joseph, A.T.; O’Neill, P.E.; Lang, R.H.; Eroglu, O. SCoBi-Veg: A Generalized Bistatic Scattering Model of Reflectometry from Vegetation for Signals of Opportunity Applications. IEEE Trans. Geosci. Remote Sens. 2019, 57, 1049–1068. [Google Scholar] [CrossRef]
- Wu, X.; Ouyang, X.; Xia, J.; Yan, Z.; Wang, F. LAGRS-Soil: A Full-Polarization GNSS-Reflectometry Model for Bare Soil Applications in FY-3E GNOS-R Payload. Remote Sens. 2023, 15, 5296. [Google Scholar] [CrossRef]
- Wu, X.; Wang, F. LAGRS-Veg: A spaceborne vegetation simulator for full polarization GNSS-reflectometry. GPS Solut. 2023, 27, 107. [Google Scholar] [CrossRef]
- Wu, X.; Jin, S.; Ouyang, X. A full-polarization gnss-r delay-doppler-map (ddm) simulator for bare soil freeze/thaw process detection. Geosci. Lett. 2020, 7, 4. [Google Scholar] [CrossRef]
- Hallikainen, M.T.; Ulaby, F.T.; Dobson, M.C.; El-Rayes, M.A.; Wu, L.-K. Microwave dielectric behavior of wet soil-part 1: Empirical models and experimental observations. IEEE Trans. Geosci. Remote Sens. 1985, GE-23, 25–34. [Google Scholar] [CrossRef]
- Dobson, M.C.; Ulaby, F.T.; Hallikainen, M.T.; El-Rayes, M.A. Microwave dielectric behavior of wet soil-Part II: Dielectric mixing models. IEEE Trans. Geosci. Remote Sens. 1985, 23, 35–46. [Google Scholar] [CrossRef]
- Zhang, L.; Zhao, T.; Jiang, L.; Zhao, S. Estimate of phase transition water content in freeze–thaw process using microwave radiometer. IEEE Trans. Geosci. Remote Sens. 2010, 48, 4248–4255. [Google Scholar] [CrossRef]
- Wu, S.; Zhao, T.; Pan, J.; Xue, H.; Zhao, L.; Shi, J. Improvement in modeling soil dielectric properties during freeze-thaw transitions. IEEE Geosci. Remote Sens. Lett. 2022, 19, 2001005. [Google Scholar] [CrossRef]
- Chew, C.; Lowe, S.; Parazoo, N.; Esterhuizen, S.; Oveisgharan, S.; Podest, E.; Zuffada, C.; Freedman, A. SMAP radar receiver measures land surface freeze/thaw state through capture of forward-scattered L-band signals. Remote Sens. Environ. Interdiscip. J. 2017, 198, 333–344. [Google Scholar] [CrossRef]
- Comite, D.; Cenci, L.; Colliander, A.; Pierdicca, N. Monitoring Freeze-Thaw State by means of GNSS Reflectometry: An Analysis of TechDemoSat-1 Data. IEEE J. Sel. Top. Appl. Earth Obs. Remote Sens. 2020, 13, 2996–3005. [Google Scholar] [CrossRef]
- Wu, X.; Dong, Z.; Jin, S.; He, Y.; Song, Y.; Ma, W.; Yang, L. First Measurement of Soil Freeze/Thaw Cycles in the Tibetan Plateau Using CYGNSS GNSS-R Data. Remote Sens. 2020, 12, 2361. [Google Scholar] [CrossRef]
- Rautiainen, K.; Comite, D.; Cohen, J.; Cardellach, E.; Unwin, M.; Pierdicca, N. Freeze–Thaw Detection Over High-Latitude Regions by Means of GNSS-R Data. IEEE Trans. Geosci. Remote Sens. 2021, 60, 4302713. [Google Scholar] [CrossRef]
- Wu, X.; Ouyang, X.; Wu, S.; Wang, F.; Duan, Z. Assessing the Freeze/Thaw States in Arctic Circle Using FengYun-3E GNOS-R: An Initial Demonstration and Analysis. IEEE J. Sel. Top. Appl. Earth Obs. Remote Sens. 2024, 17, 274–281. [Google Scholar] [CrossRef]
- Pierdicca, N.; Comite, D.; Camps, A.; Carreno-Luengo, H.; Cenci, L.; Clarizia, M.P.; Costantini, F.; Dente, L.; Guerriero, L.; Mollfulleda, A.; et al. The potential of spaceborne GNSS reflectometry for soil moisture, biomass, and freeze–thaw monitoring: Summary of a European space agency-funded study. IEEE Geosci. Remote Sens. Mag. 2021, 10, 8–38. [Google Scholar] [CrossRef]
- Carreno-Luengo, H.; Ruf, C.S. Retrieving Freeze/Thaw Surface State from CYGNSS Measurements. IEEE Trans. Geosci. Remote Sens. 2021, 60, 4302313. [Google Scholar] [CrossRef]
- Yang, G.; Bai, W.; Wang, J.; Hu, X.; Zhang, P.; Sun, Y.; Xu, N.; Zhai, X.; Xiao, X.; Xia, J.; et al. FY3E GNOS II GNSS reflectometry: Mission review and first results. Remote Sens. 2022, 14, 988. [Google Scholar] [CrossRef]
- Huang, F.; Xia, J.; Yin, C.; Zhai, X.; Yang, G.; Bai, W.; Sun, Y.; Du, Q.; Wang, X.; Qiu, T.; et al. Spaceborne GNSS Reflectometry with Galileo Signals on FY-3E/GNOS-II: Measurements, Calibration, and Wind Speed Retrieval. IEEE Geosci. Remote Sens. Lett. 2023, 20, 3501505. [Google Scholar] [CrossRef]
- Yin, C.; Xia, J.; Huang, F.; Li, W.; Bai, W.; Sun, Y.; Liu, C.; Yang, G.; Hu, X.; Xiao, X.; et al. Sea Ice Detection with FY3E GNOS II GNSS Reflectometry. In Proceedings of the 2021 IEEE Specialist Meeting on Reflectometry Using GNSS and Other Signals of Opportunity (GNSS+R), Beijing, China, 14–17 September 2021; pp. 36–38. [Google Scholar] [CrossRef]
- Wu, X.; Xia, J.; Bai, W.; Sun, Y. A Novel Soil Moisture Retrieval Algorithm for FY-3E GNOS-R Leveraging Multi-Angle Observations. GPS Solut. 2024. [Google Scholar] [CrossRef]
Disclaimer/Publisher’s Note: The statements, opinions and data contained in all publications are solely those of the individual author(s) and contributor(s) and not of MDPI and/or the editor(s). MDPI and/or the editor(s) disclaim responsibility for any injury to people or property resulting from any ideas, methods, instructions or products referred to in the content. |
© 2024 by the authors. Licensee MDPI, Basel, Switzerland. This article is an open access article distributed under the terms and conditions of the Creative Commons Attribution (CC BY) license (https://creativecommons.org/licenses/by/4.0/).











