Greenness and Actual Evapotranspiration in the Unrestored Riparian Corridor of the Colorado River Delta in Response to In-Channel Water Deliveries in 2021 and 2022
Abstract
1. Introduction

2. Study Area, Data and Methods
2.1. Study Area
2.2. Calculation of Riparian Plant Greenness (EVI2) from Landsat 8 (OLI)
2.3. Calculation of Riparian Plant Water Use or Actual Evapotranspiration (ETa)
- ETos = standardized reference crop evapotranspiration for a short crop in mmd−1;
- Δ = slope of the saturation vapor pressure–temperature curve (kPa °C−1);
- Rn = calculated net radiation at the crop surface in MJ m−2d−1;
- γ = psychrometer constant (kPa °C−1);
- T = mean daily air temperature measured at 1.5 m above ground level (°C);
- u2 = mean daily wind speed measured at 2 m above ground level (ms−1);
- es = saturation vapor pressure measured at 1.5 m above ground level (kPa);
- ea = mean actual vapor pressure measured at 1.5 m above ground level (kPa).
2.4. Analyses
3. Results
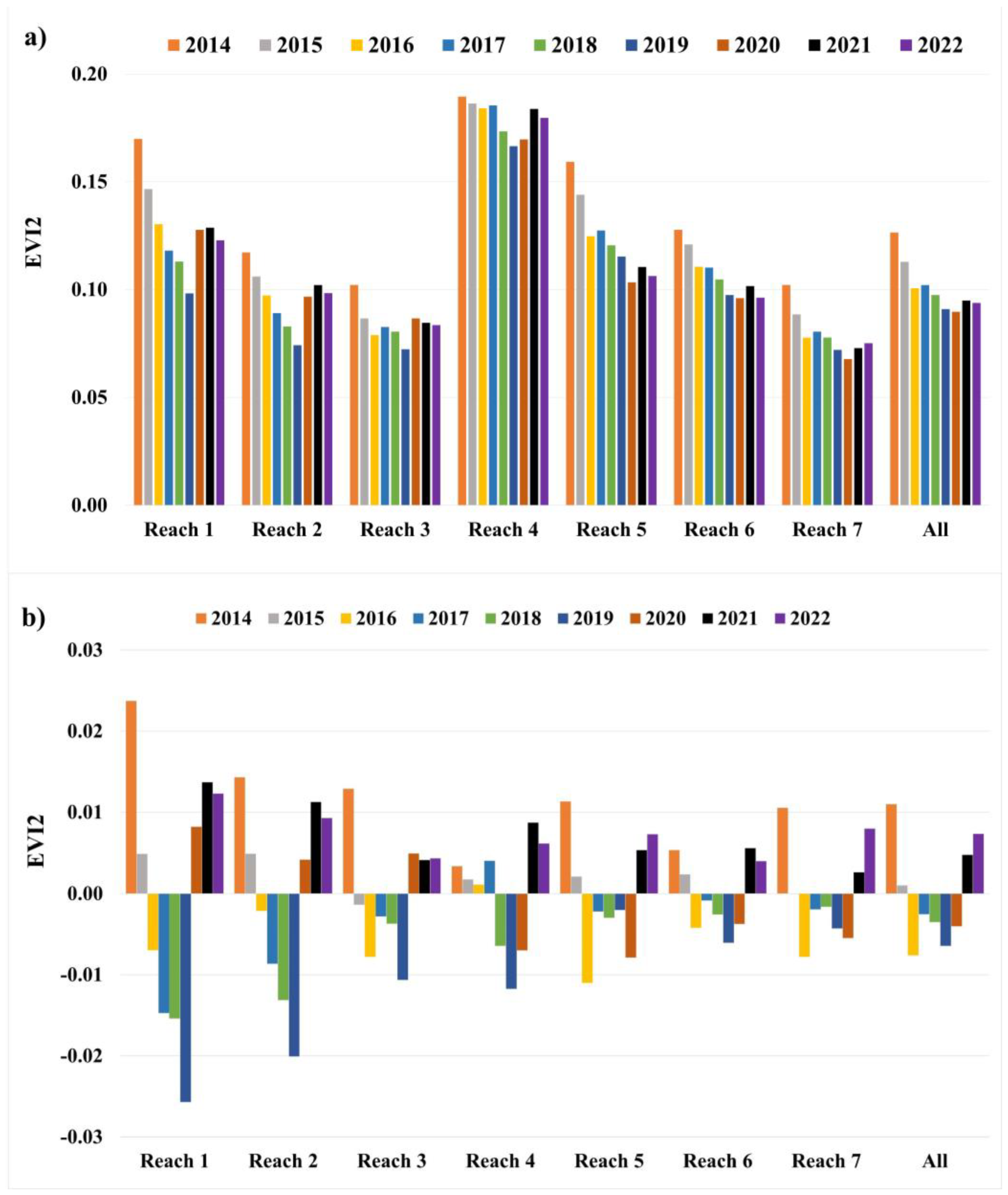
3.1. Landsat 8 OLI (Greenness)
3.2. Actual Evapotranspiration (ETa) Estimates from Landsat 8 OLI
3.3. Changes in EVI2 and ET(EVI2) Using Difference Maps
4. Discussion
4.1. Response of EVI2 and ET(EVI2) to Water Deliveries in 2021 and 2022
4.2. Comparison with the 2014 Pulse Flow
4.3. Methodological Considerations and Future Directions
5. Conclusions
Author Contributions
Funding
Data Availability Statement
Acknowledgments
Conflicts of Interest
Appendix A
| EVI2 for the Colorado River Delta (Including Restoration Sites) | ||||||||
|---|---|---|---|---|---|---|---|---|
| EVI2 | ||||||||
| Year | Reach 1 | Reach 2 | Reach 3 | Reach 4 | Reach 5 | Reach 6 | Reach 7 | All |
| 2014 | 0.170 | 0.117 | 0.102 | 0.190 | 0.159 | 0.128 | 0.102 | 0.126 |
| 2015 | 0.147 | 0.106 | 0.087 | 0.186 | 0.144 | 0.121 | 0.089 | 0.113 |
| 2016 | 0.130 | 0.097 | 0.079 | 0.184 | 0.125 | 0.111 | 0.078 | 0.101 |
| 2017 | 0.118 | 0.089 | 0.083 | 0.185 | 0.127 | 0.110 | 0.080 | 0.102 |
| 2018 | 0.113 | 0.083 | 0.081 | 0.173 | 0.121 | 0.105 | 0.078 | 0.098 |
| 2019 | 0.098 | 0.074 | 0.072 | 0.167 | 0.115 | 0.097 | 0.072 | 0.091 |
| 2020 | 0.128 | 0.097 | 0.087 | 0.170 | 0.103 | 0.096 | 0.068 | 0.090 |
| 2021 | 0.129 | 0.102 | 0.085 | 0.184 | 0.110 | 0.102 | 0.073 | 0.095 |
| 2022 | 0.123 | 0.098 | 0.084 | 0.180 | 0.106 | 0.096 | 0.075 | 0.094 |
| Std. Error | ||||||||
| Year | Reach 1 | Reach 2 | Reach 3 | Reach 4 | Reach 5 | Reach 6 | Reach 7 | All |
| 2014 | 0.003 | 0.002 | 0.003 | 0.004 | 0.003 | 0.004 | 0.003 | 0.003 |
| 2015 | 0.003 | 0.003 | 0.001 | 0.001 | 0.002 | 0.001 | 0.001 | 0.001 |
| 2016 | 0.002 | 0.002 | 0.001 | 0.001 | 0.002 | 0.002 | 0.001 | 0.001 |
| 2017 | 0.003 | 0.003 | 0.002 | 0.002 | 0.002 | 0.002 | 0.001 | 0.001 |
| 2018 | 0.002 | 0.002 | 0.002 | 0.002 | 0.002 | 0.002 | 0.002 | 0.002 |
| 2019 | 0.002 | 0.001 | 0.001 | 0.002 | 0.001 | 0.001 | 0.002 | 0.001 |
| 2020 | 0.002 | 0.002 | 0.002 | 0.001 | 0.001 | 0.001 | 0.001 | 0.001 |
| 2021 | 0.002 | 0.003 | 0.002 | 0.004 | 0.002 | 0.002 | 0.002 | 0.002 |
| 2022 | 0.002 | 0.001 | 0.001 | 0.004 | 0.002 | 0.002 | 0.001 | 0.002 |
| EVI2 % Change | ||||||||
| Reach 1 | Reach 2 | Reach 3 | Reach 4 | Reach 5 | Reach 6 | Reach 7 | All | |
| A Year Change | ||||||||
| 2015–2014 | −13.68% | −9.48% | −15.18% | −1.69% | −9.62% | −5.28% | −13.36% | −10.74% |
| 2016–2015 | −11.13% | −8.28% | −8.88% | −1.19% | −13.36% | −8.55% | −12.20% | −10.85% |
| 2017–2016 | −9.37% | −8.47% | 4.72% | 0.73% | 2.16% | −0.35% | 3.57% | 1.44% |
| 2018–2017 | −4.31% | −6.94% | −2.59% | −6.50% | −5.43% | −4.97% | −3.39% | −4.51% |
| 2019–2018 | −13.05% | −10.49% | −10.15% | −3.97% | −4.27% | −6.93% | −7.35% | −6.73% |
| 2020–2019 | 29.96% | 30.37% | 19.77% | 1.90% | −10.39% | −1.47% | −5.90% | −1.33% |
| 2021–2020 | 0.81% | 5.54% | −2.38% | 8.32% | 6.86% | 5.80% | 7.45% | 5.77% |
| 2022–2021 | −4.54% | −3.63% | −1.23% | −2.26% | −3.79% | −5.27% | 3.15% | −1.15% |
| Two-Tear Change | ||||||||
| 2021–2019 | 31.01% | 37.59% | 16.93% | 10.38% | −4.24% | 4.24% | 1.11% | 4.37% |
| 2022–2020 | −3.76% | 1.70% | −3.58% | 5.88% | 2.80% | 0.23% | 10.84% | 4.56% |
| EVI2 for the Colorado River Delta (Only Unrestored/Excluding Restoration Sites) | ||||||||
|---|---|---|---|---|---|---|---|---|
| EVI2 | ||||||||
| Year | Reach 1 | Reach 2 | Reach 3 | Reach 4 | Reach 5 | Reach 6 | Reach 7 | All |
| 2014 | 0.170 | 0.122 | 0.102 | 0.194 | 0.159 | 0.128 | 0.102 | 0.125 |
| 2015 | 0.147 | 0.111 | 0.087 | 0.183 | 0.144 | 0.121 | 0.089 | 0.111 |
| 2016 | 0.130 | 0.100 | 0.079 | 0.177 | 0.125 | 0.111 | 0.078 | 0.099 |
| 2017 | 0.118 | 0.090 | 0.083 | 0.177 | 0.127 | 0.110 | 0.080 | 0.100 |
| 2018 | 0.113 | 0.083 | 0.081 | 0.168 | 0.121 | 0.105 | 0.078 | 0.096 |
| 2019 | 0.098 | 0.072 | 0.072 | 0.156 | 0.115 | 0.097 | 0.072 | 0.089 |
| 2020 | 0.128 | 0.089 | 0.087 | 0.152 | 0.103 | 0.096 | 0.068 | 0.087 |
| 2021 | 0.129 | 0.094 | 0.085 | 0.166 | 0.110 | 0.102 | 0.073 | 0.092 |
| 2022 | 0.123 | 0.091 | 0.084 | 0.162 | 0.106 | 0.096 | 0.075 | 0.091 |
| Std. Error | ||||||||
| Year | Reach 1 | Reach 2 | Reach 3 | Reach 4 | Reach 5 | Reach 6 | Reach 7 | All |
| 2014 | 0.003 | 0.002 | 0.003 | 0.004 | 0.003 | 0.004 | 0.003 | 0.003 |
| 2015 | 0.003 | 0.003 | 0.001 | 0.001 | 0.002 | 0.001 | 0.001 | 0.001 |
| 2016 | 0.002 | 0.002 | 0.001 | 0.002 | 0.002 | 0.002 | 0.001 | 0.001 |
| 2017 | 0.003 | 0.002 | 0.002 | 0.002 | 0.002 | 0.002 | 0.001 | 0.001 |
| 2018 | 0.002 | 0.002 | 0.002 | 0.002 | 0.002 | 0.002 | 0.002 | 0.002 |
| 2019 | 0.002 | 0.001 | 0.001 | 0.002 | 0.001 | 0.001 | 0.002 | 0.001 |
| 2020 | 0.002 | 0.002 | 0.002 | 0.001 | 0.001 | 0.001 | 0.001 | 0.001 |
| 2021 | 0.002 | 0.003 | 0.002 | 0.003 | 0.002 | 0.002 | 0.002 | 0.002 |
| 2022 | 0.002 | 0.001 | 0.001 | 0.004 | 0.002 | 0.002 | 0.001 | 0.001 |
| EVI2 % Change | ||||||||
| Reach 1 | Reach 2 | Reach 3 | Reach 4 | Reach 5 | Reach 6 | Reach 7 | All | |
| A Year Change | ||||||||
| 2015–2014 | −13.68% | −9.20% | −15.18% | −5.70% | −9.62% | −5.28% | −13.36% | −11.23% |
| 2016–2015 | −11.13% | −9.42% | −8.88% | −2.81% | −13.36% | −8.55% | −12.20% | −11.32% |
| 2017–2016 | −9.37% | −9.85% | 4.72% | −0.19% | 2.16% | −0.35% | 3.57% | 1.42% |
| 2018–2017 | −4.31% | −7.55% | −2.59% | −5.35% | −5.43% | −4.97% | −3.39% | −4.36% |
| 2019–2018 | −13.05% | −13.68% | −10.15% | −6.94% | −4.27% | −6.93% | −7.35% | −7.06% |
| 2020–2019 | 29.96% | 23.35% | 19.77% | −2.80% | −10.39% | −1.47% | −5.90% | −2.01% |
| 2021–2020 | 0.81% | 5.71% | −2.38% | 9.22% | 6.86% | 5.80% | 7.45% | 5.71% |
| 2022–2021 | −4.54% | −2.65% | −1.23% | −1.97% | −3.79% | −5.27% | 3.15% | −1.04% |
| Two-Year Change | ||||||||
| 2021–2019 | 31.01% | 30.39% | 16.93% | 6.17% | −4.24% | 4.24% | 1.11% | 3.59% |
| 2022–2020 | −3.76% | 2.90% | −3.58% | 7.07% | 2.80% | 0.23% | 10.84% | 4.62% |
| ET(EVI2) for the Colorado River Delta (Including Restoration Sites) | ||||||||
|---|---|---|---|---|---|---|---|---|
| ET(EVI2) | ||||||||
| Year | Reach 1 | Reach 2 | Reach 3 | Reach 4 | Reach 5 | Reach 6 | Reach 7 | All |
| 2014 | 3.490 | 2.524 | 2.225 | 3.899 | 3.367 | 2.751 | 2.266 | 2.722 |
| 2015 | 2.833 | 2.104 | 1.775 | 3.542 | 2.871 | 2.441 | 1.871 | 2.292 |
| 2016 | 2.775 | 2.139 | 1.765 | 3.825 | 2.745 | 2.409 | 1.815 | 2.246 |
| 2017 | 2.542 | 1.976 | 1.839 | 3.711 | 2.722 | 2.342 | 1.797 | 2.212 |
| 2018 | 2.391 | 1.786 | 1.749 | 3.449 | 2.520 | 2.187 | 1.713 | 2.078 |
| 2019 | 2.139 | 1.633 | 1.610 | 3.457 | 2.525 | 2.135 | 1.643 | 2.013 |
| 2020 | 2.783 | 2.166 | 1.975 | 3.636 | 2.364 | 2.183 | 1.619 | 2.060 |
| 2021 | 2.550 | 2.076 | 1.761 | 3.524 | 2.289 | 2.081 | 1.577 | 1.973 |
| 2022 | 2.392 | 1.961 | 1.705 | 3.387 | 2.164 | 1.951 | 1.586 | 1.914 |
| Std. Error | ||||||||
| Year | Reach 1 | Reach 2 | Reach 3 | Reach 4 | Reach 5 | Reach 6 | Reach 7 | All |
| 2014 | 0.266 | 0.194 | 0.165 | 0.268 | 0.219 | 0.170 | 0.162 | 0.187 |
| 2015 | 0.160 | 0.106 | 0.124 | 0.212 | 0.188 | 0.159 | 0.127 | 0.148 |
| 2016 | 0.245 | 0.196 | 0.163 | 0.284 | 0.206 | 0.163 | 0.150 | 0.177 |
| 2017 | 0.134 | 0.125 | 0.117 | 0.249 | 0.201 | 0.165 | 0.134 | 0.155 |
| 2018 | 0.145 | 0.113 | 0.126 | 0.220 | 0.168 | 0.146 | 0.124 | 0.140 |
| 2019 | 0.125 | 0.098 | 0.099 | 0.182 | 0.131 | 0.118 | 0.098 | 0.112 |
| 2020 | 0.212 | 0.161 | 0.144 | 0.231 | 0.148 | 0.147 | 0.112 | 0.137 |
| 2021 | 0.198 | 0.172 | 0.142 | 0.202 | 0.141 | 0.122 | 0.094 | 0.122 |
| 2022 | 0.151 | 0.128 | 0.117 | 0.167 | 0.107 | 0.093 | 0.088 | 0.102 |
| ET(EVI2)% Change | ||||||||
| Reach 1 | Reach 2 | Reach 3 | Reach 4 | Reach 5 | Reach 6 | Reach 7 | All | |
| A Year Change | ||||||||
| 2015–2014 | −18.84% | −16.65% | −20.21% | −9.14% | −14.73% | −11.26% | −17.44% | −15.82% |
| 2016–2015 | −2.04% | 1.66% | −0.59% | 7.98% | −4.39% | −1.31% | −2.97% | −1.99% |
| 2017–2016 | −8.40% | −7.61% | 4.17% | −2.98% | −0.82% | −2.79% | −1.01% | −1.54% |
| 2018–2017 | −5.94% | −9.60% | −4.88% | −7.06% | −7.44% | −6.60% | −4.64% | −6.05% |
| 2019–2018 | −10.54% | −8.58% | −7.96% | 0.24% | 0.21% | −2.38% | −4.09% | −3.13% |
| 2020–2019 | 30.15% | 32.63% | 22.69% | 5.18% | −6.37% | 2.25% | −1.47% | 2.34% |
| 2021–2020 | −8.38% | −4.16% | −10.85% | −3.10% | −3.21% | −4.69% | −2.59% | −4.20% |
| 2022–2021 | −6.18% | −5.54% | −3.19% | −3.89% | −5.43% | −6.22% | 0.53% | −3.03% |
| Two-Year Change | ||||||||
| 2021–2019 | 19.24% | 27.12% | 9.39% | 1.91% | −9.37% | −2.55% | −4.02% | −1.95% |
| 2022–2020 | −14.05% | −9.47% | −13.69% | −6.87% | −8.46% | −10.62% | −2.08% | −7.10% |
| ET(EVI2) for the Colorado River Delta (Only Unrestored/Excluding Restoration Sites) | ||||||||
|---|---|---|---|---|---|---|---|---|
| ET(EVI2) | ||||||||
| Year | Reach 1 | Reach 2 | Reach 3 | Reach 4 | Reach 5 | Reach 6 | Reach 7 | All |
| 2014 | 3.490 | 2.612 | 2.225 | 3.981 | 3.367 | 2.751 | 2.266 | 2.704 |
| 2015 | 2.833 | 2.189 | 1.775 | 3.503 | 2.871 | 2.441 | 1.871 | 2.267 |
| 2016 | 2.775 | 2.197 | 1.765 | 3.723 | 2.745 | 2.409 | 1.815 | 2.212 |
| 2017 | 2.542 | 1.999 | 1.839 | 3.584 | 2.722 | 2.342 | 1.797 | 2.178 |
| 2018 | 2.391 | 1.798 | 1.749 | 3.366 | 2.520 | 2.187 | 1.713 | 2.048 |
| 2019 | 2.139 | 1.584 | 1.610 | 3.293 | 2.525 | 2.135 | 1.643 | 1.978 |
| 2020 | 2.783 | 2.000 | 1.975 | 3.327 | 2.364 | 2.183 | 1.619 | 2.013 |
| 2021 | 2.550 | 1.923 | 1.761 | 3.251 | 2.289 | 2.081 | 1.577 | 1.928 |
| 2022 | 2.392 | 1.829 | 1.705 | 3.129 | 2.164 | 1.951 | 1.586 | 1.871 |
| Std. Error | ||||||||
| Year | Reach 1 | Reach 2 | Reach 3 | Reach 4 | Reach 5 | Reach 6 | Reach 7 | All |
| 2014 | 0.266 | 0.199 | 0.165 | 0.280 | 0.219 | 0.170 | 0.162 | 0.186 |
| 2015 | 0.160 | 0.112 | 0.124 | 0.215 | 0.188 | 0.159 | 0.127 | 0.147 |
| 2016 | 0.245 | 0.201 | 0.163 | 0.276 | 0.206 | 0.163 | 0.150 | 0.175 |
| 2017 | 0.134 | 0.124 | 0.117 | 0.238 | 0.201 | 0.165 | 0.134 | 0.152 |
| 2018 | 0.145 | 0.115 | 0.126 | 0.214 | 0.168 | 0.146 | 0.124 | 0.139 |
| 2019 | 0.125 | 0.098 | 0.099 | 0.174 | 0.131 | 0.118 | 0.098 | 0.110 |
| 2020 | 0.212 | 0.153 | 0.144 | 0.215 | 0.148 | 0.147 | 0.112 | 0.134 |
| 2021 | 0.198 | 0.163 | 0.142 | 0.192 | 0.141 | 0.122 | 0.094 | 0.120 |
| 2022 | 0.151 | 0.119 | 0.117 | 0.156 | 0.107 | 0.093 | 0.088 | 0.100 |
| ET(EVI2)% Change | ||||||||
| Reach 1 | Reach 2 | Reach 3 | Reach 4 | Reach 5 | Reach 6 | Reach 7 | All | |
| A Year Change | ||||||||
| 2015–2014 | −18.84% | −16.20% | −20.21% | −12.01% | −14.73% | −11.26% | −17.44% | −16.15% |
| 2016–2015 | −2.04% | 0.37% | −0.59% | 6.28% | −4.39% | −1.31% | −2.97% | −2.45% |
| 2017–2016 | −8.40% | −9.01% | 4.17% | −3.73% | −0.82% | −2.79% | −1.01% | −1.54% |
| 2018–2017 | −5.94% | −10.06% | −4.88% | −6.09% | −7.44% | −6.60% | −4.64% | −5.95% |
| 2019–2018 | −10.54% | −11.86% | −7.96% | −2.17% | 0.21% | −2.38% | −4.09% | −3.43% |
| 2020–2019 | 30.15% | 26.24% | 22.69% | 1.05% | −6.37% | 2.25% | −1.47% | 1.76% |
| 2021–2020 | −8.38% | −3.87% | −10.85% | −2.29% | −3.21% | −4.69% | −2.59% | −4.19% |
| 2022–2021 | −6.18% | −4.88% | −3.19% | −3.75% | −5.43% | −6.22% | 0.53% | −2.95% |
| Two-Year Change | ||||||||
| 2021–2019 | 19.24% | 21.36% | 9.39% | −1.26% | −9.37% | −2.55% | −4.02% | −2.51% |
| 2022–2020 | −14.05% | −8.55% | −13.69% | −5.95% | −8.46% | −10.62% | −2.08% | −7.02% |
References
- Nouri, H.; Nagler, P.; Chavoshi Borujeni, S.; Barreto Munez, A.; Alaghmand, S.; Noori, B.; Galindo, A.; Didan, K. Effect of spatial resolution of satellite images on estimating the greenness and evapotranspiration of urban green spaces. Hydrol. Process. 2020, 34, 3183–3199. [Google Scholar] [CrossRef]
- Comte, L.; Olden, J.D.; Lischka, S.; Dickson, B.G. Multi-scale threat assessment of riverine ecosystems in the Colorado River Basin. Ecol. Indic. 2022, 138, 108840. [Google Scholar] [CrossRef]
- McMahon, C.A.; Roberts, D.A.; Stella, J.C.; Trugman, A.T.; Singer, M.B.; Caylor, K.K. A river runs through it: Robust automated mapping of riparian woodlands and land surface phenology across dryland regions. Remote Sens. Environ. 2024, 305, 114056. [Google Scholar] [CrossRef]
- Nagler, P.L.; Sall, I.; Barreto-Muñoz, A.; Gómez-Sapiens, M.; Nouri, H.; Chavoshi Borujeni, S.; Didan, K. Effect of restoration on vegetation greenness and water use in relation to drought in the riparian woodlands of the Colorado River delta. J. Am. Water Resour. Assoc. 2022, 58, 746–784. [Google Scholar] [CrossRef]
- Zavaleta, E. The Economic Value of Controlling an Invasive Shrub. AMBIO J. Hum. Environ. 2000, 29, 462–467. [Google Scholar] [CrossRef]
- Hultine, K.R.; Belnap, J.; van Riper, C., III; Ehleringer, J.R.; Dennison, P.E.; Lee, M.E.; Nagler, P.L.; Snyder, K.A.; Uselman, S.M.; West, J.B. Tamarisk biocontrol in the western United States: Ecological and societal implications. Front. Ecol. Environ. 2010, 8, 467–474. [Google Scholar] [CrossRef]
- Nouri, H.; Beecham, S.; Kazemi, F.; Hassanli, A.M. A review of ET measurement techniques for estimating the water requirements of urban landscape vegetation. Urban Water J. 2013, 10, 247–259. [Google Scholar] [CrossRef]
- Tucker, C.J.; Grant, D.M.; Dykstra, J.D. NASA’s global orthorectified Landsat data set. Photogramm. Eng. Remote Sens. 2004, 70, 313–322. [Google Scholar] [CrossRef]
- Woodcock, C.E.; Allen, R.; Anderson, M.; Belward, A.; Bindschadler, R.; Cohen, W.; Gao, F.; Goward, S.N.; Helder, D.; Helmer, E.; et al. Free access to Landsat imagery. Science 2008, 320, 1011. [Google Scholar] [CrossRef]
- Irons, J.R.; Dwyer, J.L.; Barsi, J.A. The next Landsat satellite: The Landsat data continuity mission. Remote Sens. Environ. 2012, 122, 11–21. [Google Scholar] [CrossRef]
- Dashpurev, B.; Wesche, K.; Jaeschke, Y.; Oyundelger, K.; Phan, T.N.; Bendix, J.; Lehnert, L.W. A cost-effective method to monitor vegetation changes in steppes ecosystems: A case study on remote sensing of fire and infrastructure effects in eastern Mongolia. Ecol. Indic. 2021, 132, 108331. [Google Scholar]
- Jarchow, C.J.; Nagler, P.L.; Glenn, E.P. Greenup and evapotranspiration following the Minute 319 pulse flow to Mexico: An analysis using Landsat 8 Normalized Difference Vegetation Index (NDVI) data. Ecol. Eng. 2017, 106, 776–783. [Google Scholar] [CrossRef]
- Nagler, P.L.; Barreto-Muñoz, A.; Chavoshi Borujeni, S.; Jarchow, C.J.; Gómez-Sapiens, M.M.; Nouri, H.; Herrmann, S.M.; Didan, K. Ecohydrological responses to surface flow across borders: Two decades of changes in vegetation greenness and water use in the riparian corridor of the Colorado River delta. Hydrol. Process. 2020, 34, 4851–4883. [Google Scholar] [CrossRef]
- Jarchow, C.J.; Nagler, P.L.; Glenn, E.P.; Ramírez-Hernández, J.; Rodríguez-Burgueno, J.E. Evapotranspiration by remote sensing: An analysis of the Colorado River Delta before and after the Minute 319 pulse flow to Mexico. Ecol. Eng. 2017, 106, 725–732. [Google Scholar] [CrossRef]
- Hinojosa-Huerta, O.; Nagler, P.L.; Carrillo-Guererro, Y.K.; Glenn, E.P. Effects of drought on birds and riparian vegetation in the Colorado River Delta, Mexico. Ecol. Eng. 2013, 51, 275–281. [Google Scholar] [CrossRef]
- Darrah, A.; Greeney, H.F.; van Riper, C., III. Importance of the 2014 Colorado River Delta pulse flow for migratory songbirds: Insights from foraging behavior. Ecol. Eng. 2017, 106, 784–790. [Google Scholar] [CrossRef]
- Blomquist, W.; Schlager, E.; Heikkila, T. Common Waters, Diverging Streams: Linking Institutions and Water Management in Arizona, California, and Colorado; Routledge: Oxfordshire, UK, 2010. [Google Scholar]
- Brusca, R.C.; Álvarez-Borrego, S.; Hastings, P.A.; Findley, L.T. Colorado River flow and biological productivity in the Northern Gulf of California, Mexico. Earth-Sci. Rev. 2017, 164, 1–30. [Google Scholar] [CrossRef]
- Abeln, R. Instream flows, recreation as beneficial use, and the public interest in Colorado Water Law. U. Denv. Water L. Rev. 2004, 8, 517. [Google Scholar]
- Miller, O.L.; Putman, A.L.; Alder, J.; Miller, M.; Jones, D.K.; Wise, D.R. Changing climate drives future streamflow declines and challenges in meeting water demand across the southwestern United States. J. Hydrol. X 2021, 11, 100074. [Google Scholar] [CrossRef]
- International Boundary and Water Commission United States and Mexico (IBWC) (1944) Water Treaty between the U.S. and Mexico. Available online: https://www.ibwc.gov/wp-content/uploads/2022/11/1944Treaty.pdf (accessed on 24 April 2024).
- International Boundary and Water Commission United States and Mexico (IBWC), Minute 319. 2012. Available online: https://www.ibwc.gov/wp-content/uploads/2012/11/Minute_319.pdf (accessed on 24 April 2024).
- International Boundary and Water Commission United States and Mexico (IBWC), Minute 323. 2017. Available online: https://www.ibwc.gov/wp-content/uploads/2023/03/Min323.pdf (accessed on 24 April 2024).
- Gómez-Sapiens, M.M.; Jarchow, C.J.; Flessa, K.W.; Shafroth, P.B.; Glenn, E.P.; Nagler, P.L. Effect of an environmental flow on vegetation growth and health using ground and remote sensing metrics. Hydrol. Process. 2020, 34, 1682–1696. [Google Scholar] [CrossRef]
- Gómez-Sapiens, M.; Schlatter, K.J.; Meléndez, Á.; Hernández-López, D.; Salazar, H.; Kendy, E.; Flessa, K.W. Improving the Efficiency and Accuracy of Evaluating Aridland Riparian Habitat Restoration Using Unmanned Aerial Vehicles. Remote Sens. Ecol. Conserv. 2021, 7, 488–503. [Google Scholar] [CrossRef]
- Nagler, P.L.; Sall, I.; Barreto-Muñoz, A.; Didan, K. Remotely-Sensed Observations of the Unrestored Riparian Corridor of the Colorado River Delta in Mexico, 2019–2022: U.S. Geological Survey Data Release; U.S. Geological Survey: Flagstaff, AZ, USA, 2023. [CrossRef]
- Nagler, P.L.; Glenn, E.P.; Huete, A.R. Assessment of spectral vegetation indices for riparian vegetation in the Colorado River delta, Mexico. J. Arid Environ. 2001, 49, 91–110. [Google Scholar] [CrossRef]
- Nagler, P.L.; Glenn, E.P.; Hinojosa-Huerta, O.; Zamora, F.; Howard, K. Riparian vegetation dynamics and evapotranspiration in the riparian corridor in the delta of the Colorado River, Mexico. J. Environ. Manage. 2008, 88, 864–874. [Google Scholar] [CrossRef] [PubMed]
- Nagler, P.L.; Glenn, E.P.; Hinojosa-Huerta, O. Synthesis of ground and remote sensing data for monitoring ecosystem functions in the Colorado River Delta, Mexico. Remote Sens. Environ. 2009, 113, 1473–1485. [Google Scholar] [CrossRef]
- Shanafield, M.; Gutiérrez-Jurado, H.; Rodríguez-Burgueño, J.; Ramírez-Hernández, J.R.; Jarchow, C.J.; Nagler, P.L. Short- and long-term evapotranspiration rates at ecological restoration sites along a large river receiving rare flow events. Hydrol. Process. 2017, 31, 4328–4337. [Google Scholar] [CrossRef]
- Jarchow, C.J.; Didan, K.; Barreto-Muñoz, A.; Nagler, P.L.; Glenn, E.P. Application and comparison of the MODIS-derived enhanced vegetation index to VIIRS, Landsat 5 TM and Landsat 8 OLI platforms: A case study in the arid Colorado River delta, Mexico. Sensors 2018, 18, 1546. [Google Scholar] [CrossRef] [PubMed]
- Huete, A.; Didan, K.; Miura, T.; Rodriguez, E.P.; Gao, X.; Ferreira, L.G. Overview of the radiometric and biophysical performance of the MODIS vegetation indices. Remote Sens. Environ. 2002, 83, 195–213. [Google Scholar] [CrossRef]
- Jiang, Z.; Huete, A.R.; Didan, K.; Miura, T. Development of a Two-Band Enhanced Vegetation Index without a Blue Band. Remote Sens. Environ. 2008, 112, 3833–3845. [Google Scholar] [CrossRef]
- Didan, K.; Munoz, A.B.; Solano, R.; Huete, A. MODIS Vegetation Index User’s Guide (MOD13 Series); University of Arizona, Vegetation Index and Phenology Lab: Tucson, AZ, USA, 2015; pp. 1–35. [Google Scholar]
- Didan, K.; Barreto-Muñoz, A.; Tucker, C.; Pinzon, J. Suomi National Polar-Orbiting Partnership, Visible Infrared Imaging Radiometer Suite, Vegetation Index Product Suite, User Guide & Abridged Algorithm Theoretical Basis Document; Vegetation Index and Phenology Lab, The University of Arizona: Tucson, AZ, USA, 2018; pp. 1–108. Available online: https://lpdaac.usgs.gov/documents/1372/VNP13_User_Guide_ATBD_V2.1.2.pdf (accessed on 24 April 2024).
- Nagler, P.; Jetton, A.; Fleming, J.; Didan, K.; Glenn, E.; Erker, J.; Morino, K.; Milliken, J.; Gloss, S. Evapotranspiration in a cottonwood (Populus fremontii) restoration plantation estimated by sap flow and remote sensing methods. Agric. For. Meteorol. 2007, 144, 95–110. [Google Scholar] [CrossRef]
- Nagler, P.L.; Glenn, E.P.; Didan, K.; Osterberg, J.; Jordan, F.; Cunningham, J. Wide-area estimates of stand structure and water use of Tamarix spp. on the Lower Colorado River: Implications for restoration and water management projects. Restor. Ecol. 2008, 16, 136–145. [Google Scholar] [CrossRef]
- Nagler, P.L.; Morino, K.; Murray, R.S.; Osterberg, J.; Glenn, E.P. An empirical algorithm for estimating agricultural and riparian evapotranspiration using MODIS enhanced vegetation index and ground measurements of ET. I. Description of method. Remote Sens. 2009, 1, 1273–1297. [Google Scholar] [CrossRef]
- Murray, R.S.; Nagler, P.L.; Morino, K.; Glenn, E.P. An empirical algorithm for estimating agricultural and riparian evapotranspiration using MODIS Enhanced Vegetation Index and ground measurements of ET. II. Application to the Lower Colorado River, US. Remote Sens. 2009, 1, 1125–1138. [Google Scholar] [CrossRef]
- Nagler, P.L.; Glenn, E.P.; Nguyen, U.; Scott, R.L.; Doody, T. Estimating riparian and agricultural actual evapotranspiration by reference evapotranspiration and MODIS enhanced vegetation index. Remote Sens. 2013, 5, 3849–3871. [Google Scholar] [CrossRef]
- Glenn, E.P.; Morino, K.; Didan, K.; Jordan, F.; Carroll, K.C.; Nagler, P.L.; Hultine, K.; Sheader, L.; Waugh, J. Scaling sap flux measurements of grazed and ungrazed shrub communities with fine and coarse-resolution remote sensing. Ecohydrology 2008, 1, 316–329. [Google Scholar] [CrossRef]
- Nagler, P.L.; Barreto-Muñoz, A.; Sall, I.; Lurtz, M.R.; Didan, K. Riparian Plant Evapotranspiration and Consumptive Use for Selected Areas of the Little Colorado River Watershed on the Navajo Nation. Remote Sens. 2023, 15, 52. [Google Scholar] [CrossRef]
- Doody, T.M.; Colloff, M.J.; Davies, M.; Koul, V.; Benyon, R.G.; Nagler, P.L. 2015. Quantifying water requirements of riparian river red gum (Eucalyptus camaldulensis) in the Murray–Darling Basin, Australia–implications for the management of environmental flows. Ecohydrology 2015, 8, 1471–1487. [Google Scholar] [CrossRef]
- Nagler, P.L.; Doody, T.M.; Glenn, E.P.; Jarchow, C.J.; Barreto-Muñoz, A.; Didan, K. Wide-area estimates of evapotranspiration by red gum (Eucalyptus camaldulensis) and associated vegetation in the Murray–Darling River Basin, Australia. Hydrol. Process. 2016, 30, 1376–1387. [Google Scholar] [CrossRef]
- National Institute of Statistics and Geography/Instituto Nacional de Estadística, Geografía e Informática (INEGI). Available online: https://en.www.inegi.org.mx (accessed on 24 April 2024).
- Sykes, G. The Colorado River Delta; Carnegie Institution of Washington: Washington, DC, USA, 1937; pp. 1–252. [Google Scholar]
- Leopold, A. A Sand County Almanac, The Green Lagoons—Colorado River Delta; Oxford University Press: Oxford, UK, 1949; pp. 150–158. Available online: http://eebweb.arizona.edu/faculty/Bonine/Leopold1949_GreenLagoons-150-158.pdf (accessed on 24 April 2024).
- Fradkin, P.L. A river no more: The Colorado River and the West; University of California Press: Berkeley, CA, USA, 1996. [Google Scholar]
- Glenn, E.; Lee, C.; Felger, R.; Zengel, S. Effects of water management on the wetlands of the Colorado River Delta, México. Conserv. Biol. 1996, 10, 1175–1186. [Google Scholar] [CrossRef]
- Glenn, E.P.; Lee, C.; Valdes-Casillas, C. Introduction to special issue, Colorado River Delta. J. Arid Environ. 2001, 49, 1–4. [Google Scholar] [CrossRef]
- Glenn, E.P.; Flessa, K.W.; Pitt, J. Restoration potential of the aquatic ecosystems of the Colorado River Delta, Mexico: Introduction to special issue, Wetlands of the Colorado River Delta. Ecol. Eng. 2013, 59, 1–6. [Google Scholar] [CrossRef]
- Glenn, E.P.; Flessa, K.W.; Kendy, E.; Shafroth, P.B.; Ramirez-Hernandez, J.; Gomez-Sapiens, M.; Nagler, P.L.; Pitt, J. Environmental Flows for the Colorado River Delta: Results of an Experimental Pulse Release from the US to Mexico. Ecol. Eng. 2017, 106 Pt B, 629–632. [Google Scholar] [CrossRef]
- Pitt, J.; Luecke, D.F.; Cohen, M.J.; Glenn, E.P.; Valdes-Casillas, C. Two nations, one river: Managing ecosystem conservation in the Colorado River Delta. Nat. Resour. J. 2000, 40, 819–864. [Google Scholar]
- Glenn, E.P.; Zamora-Arroyo, F.; Nagler, P.L.; Briggs, M.; Shaw, W.; Flessa, K. Ecology and conservation biology of the Colorado River delta, Mexico. J. Arid Environ. 2001, 49, 5–15. [Google Scholar] [CrossRef]
- McCabe, G.J.; Wolock, D.M.; Woodhouse, C.A.; Pederson, G.T.; McAfee, S.A.; Gray, S.; Csank, A. Basinwide hydroclimatic drought in the Colorado River Basin. Earth Interact. 2020, 24, 1–20. [Google Scholar] [CrossRef]
- Glenn, E.P.; Nagler, P.L. Comparative ecophysiology of Tamarix ramosissima and native trees in western US riparian zones. J. Arid Environ. 2005, 61, 419–446. [Google Scholar] [CrossRef]
- Nagler, P.L.; Hinojosa-Huerta, O.; Glenn, E.P.; Garcia-Hernandez, J.; Romo, R.; Curtis, C.; Huete, A.R.; Nelson, S.G. Regeneration of native trees in the presence of invasive saltcedar in the Colorado River delta, Mexico. Conserv. Biol. 2005, 19, 1842–1852. [Google Scholar] [CrossRef]
- Kendy, E.; Flessa, K.W.; Schlatter, K.J.; de la Parra, C.A.; Huerta, O.M.H.; Carrillo-Guerrero, Y.K.; Guillen, E. Leveraging environmental flows to reform water management policy: Lessons learned from the 2014 Colorado River Delta pulse flow. Ecol. Eng. 2017, 106, 683–694. [Google Scholar] [CrossRef]
- Glenn, E.P.; Nagler, P.L.; Shafroth, P.B.; Jarchow, C.J. Effectiveness of environmental flows for riparian restoration in arid regions: A tale of four rivers. Ecol. Eng. 2017, 106, 695–703. [Google Scholar] [CrossRef]
- Stromberg, J.C. Restoration of riparian vegetation in the south-western United States: Importance of flow regimes and fluvial dynamism. J. Arid Environ. 2001, 49, 17–34. [Google Scholar] [CrossRef]
- Cohen, M.J.; Henges-Jeck, C.; Castillo-Moreno, G. A preliminary water balance for the Colorado River delta, 1992–1998. J. Arid Environ. 2001, 49, 35–48. [Google Scholar] [CrossRef][Green Version]
- Scott, R.L.; Cable, W.L.; Huxman, T.E.; Nagler, P.L.; Hernandez, M.; Goodrich, D.C. Multiyear riparian evapotranspiration and groundwater use for a semiarid watershed. J. Arid Environ. 2008, 72, 1232–1246. [Google Scholar] [CrossRef]
- Ramírez-Hernández, J.; Hinojosa-Huerta, O.; Peregrina-Llanes, M.; Calvo-Fonseca, A.; Carrera-Villa, E. Groundwater responses to controlled water releases in the limitrophe region of the Colorado River: Implications for management and restoration. Ecol. Eng. 2013, 59, 93–103. [Google Scholar] [CrossRef]
- Ramírez-Hernández, J.; Rodríguez-Burgueño, J.E.; Kendy, E.; Salcedo-Peredia, A.; Lomeli, M.A. Hydrological response to an environmental flood: Pulse flow 2014 on the Colorado River Delta. Ecol. Eng. 2017, 106, 633–644. [Google Scholar] [CrossRef]
- Kennedy, J.; Rodriguez-Burgueno, E.; Ramirez-Hernandez, J. Groundwater response to the 2014 Minute 319 pulse flow. Ecol. Eng. 2017, 106, 715–724. [Google Scholar] [CrossRef]
- Flessa, K.W.; Kendy, E.; Schlatter, K. Minute 319 Colorado River Delta Environmental Flows Monitoring Interim Report; International Boundary and Water Commission (IBWC): El Paso, TX, USA, 2016. [Google Scholar]
- Flessa, K.W. Minute 323 Colorado River Delta Environmental Flows Monitoring Interim Report; International Boundary and Water Commission (IBWC): El Paso, TX, USA, 2018. [Google Scholar]
- Nagler, P.L.; Barreto-Muñoz, A.; Didan, K.; Gomez-Sapiens, M.M.; Flessa, K. Minute 323 Colorado River Limitrophe and Delta Environmental Flows Monitoring Interim Report; International Boundary and Water Commission United States and Mexico (IBWC): El Paso, TX, USA, 2021. [Google Scholar]
- Grand, J.; Meehan, T.D.; DeLuca, W.V.; Morton, J.; Pitt, J.; Calvo-Fonseca, A.; Dodge, C.; Gómez-Sapiens, M.; González-Sargas, E.; Hinojosa-Huerta, O.; et al. Strategic restoration planning for land birds in the Colorado River Delta, Mexico. J. Environ. Manag. 2024, 351, 119755. [Google Scholar] [CrossRef] [PubMed]
- AZMET. Arizona Meteorological Network. Available online: https://ag.arizona.edu/azmet/az-docs.htm (accessed on 24 April 2024).
- Blaney, H.F.; Criddle, W.D. Determining Water Requirements in Irrigated Areas from Climatological and Irrigation Data; SCS-TP 96; U.S. Department Agriculture Soil Conservation Service: Somerset, NJ, USA, 1950; pp. 1–44.
- Allen, R.G.; Pruitt, W.O. Rational use of the FAO Blaney-Criddle formula. J. Irrig. Drain. Eng. 1986, 112, 139–155. [Google Scholar] [CrossRef]
- United Nations Food and Agricultural Organization (FAO). Irrigation Water Management: Irrigation Water Needs. Chapter 3 Crop Water Needs. 1986. Available online: https://www.fao.org/3/s2022e/s2022e07.htm#3.1.3%20blaney%20criddle%20method (accessed on 24 April 2024).
- Trajkovic, S.; Kolakovic, S. Estimating Reference Evapotranspiration Using Limited Weather Data. J. Irrig. Drain. Eng. 2009, 135, 139–155. [Google Scholar] [CrossRef]
- Nagler, P.L.; Barreto-Muñoz, A.; Chavoshi Borujeni, S.; Nouri, H.; Jarchow, C.J.; Didan, K. Riparian area changes in greenness and water use on the lower Colorado river in the USA from 2000 to 2020. Remote Sens. 2021, 13, 1332. [Google Scholar] [CrossRef]
- Albano, C.M.; Abatzoglou, J.T.; McEvoy, D.J.; Huntington, J.L.; Morton, C.G.; Dettinger, M.D.; Ott, T.J. A Multidataset Assessment of Climate Drivers and Uncertainties of Recent Trends in Evaporative Demand across the Continental United States. J. Hydrometeorol. 2022, 4, 505–519. [Google Scholar] [CrossRef]
- Thornton, P.E.; Thornton, M.M.; Mayer, B.W.; Wilhelmi, N.; Wei, Y.; Devarakonda, R.; Cook, R.B. Daymet: Daily Surface Weather Data on a 1-km Grid for North America, Version 2; Oak Ridge National Lab (ORNL): Oak Ridge, TN, USA, 2014. [Google Scholar]
- Daymet: Daily Surface Weather Data on a 1-km Grid for North America, Version 4 R1. Available online: https://www.ornl.gov (accessed on 23 February 2024).
- Groeneveld, D.P.; Baugh, W.M. Correcting satellite data to detect vegetation signal for eco-hydrologic analyses. J. Hydrol. 2007, 344, 135–145. [Google Scholar]
- Google Earth Engine. 2012. Available online: https://earthengine.google.org/#intro (accessed on 24 April 2024).
- Melton, F.S.; Huntington, J.; Grimm, R.; Herring, J.; Hall, M.; Rollison, D.; Erickson, T.; Allen, R.; Anderson, M.; Fisher, J.B. OpenET: Filling a critical data gap in water management for the western united states. J. Am. Water Resour. Assoc. 2021, 58, 971–994. [Google Scholar] [CrossRef]
- Senay, G.B.; Parrish, G.E.L.; Schauer, M.; Friedrichs, M.; Khand, K.; Boiko, O.; Kagone, S.; Dittmeier, R.; Arab, S.; Ji, L. Improving the Operational Simplified Surface Energy Balance Evapotranspiration Model Using the Forcing and Normalizing Operation. Remote Sens. 2023, 15, 260. [Google Scholar] [CrossRef]
- Nagler, P.L.; Sall, I.; Barreto-Munoz, A.; Didan, K.; Abbasi, N.; Nouri, H.; Schauer, M.; Senay, G.B. Evaluation of two types of evapotranspiration methods in riparian vegetation with the two-band Enhanced Vegetation Index and SSEBop in restored and unrestored reaches of the Lower Colorado River in the USA. In Proceedings of the AGU Fall Meeting Abstracts, Chicago, IL, USA, 12–16 December 2022; p. H54C-02. [Google Scholar]
- Abbasi, N.; Nouri, H.; Nagler, P.; Didan, K.; Chavoshi Borujeni, S.; Barreto-Muñoz, A.; Opp, C.; Siebert, S. Crop water use dynamics over arid and semi-arid croplands in the lower Colorado River Basin. Eur. J. Remote Sens. 2023, 56, 2259244. [Google Scholar] [CrossRef]
- Glenn, E.P.; Huete, A.R.; Nagler, P.L.; Nelson, S.G. Relationship between remotely-sensed vegetation indices, canopy attributes and plant physiological processes: What vegetation indices can and cannot tell us about the landscape. Sensors 2008, 8, 2136–2160. [Google Scholar] [CrossRef] [PubMed]













| Reach | Area (ha) (ac) | Number of Pixels |
|---|---|---|
| 1 | 1647.2 (4070.2) | 18,301 |
| 2 # | 753.2 (1861.3) | 8369 |
| 3 | 2929.8 (7239.8) | 32,552 |
| 4 *# | 1669.9 (4126.3) | 18,553 |
| 5 * | 7254.9 (17,927.2) | 80,606 |
| 6 | 2309.6 (5707.2) | 25,661 |
| 7 * | 13,945.9 (34,461.1) | 154,947 |
| Total Area all Reaches | 30,510.6 (75,393.2) | 338,989 |
| Restoration Sites | ||
| Reach 2 | ||
| Miguel Aleman | 191.5 (473.3) | 2128 |
| Reach 4 | ||
| CILA | 121.1 (299.1) | 1345 |
| Chausse | 63.4 (156.6) | 704 |
| Laguna Cori | 314.8 (776.0) | 3489 |
| Laguna Grande | 131.3 (324.5) | 1459 |
| Total Area Restoration Sites | 821.3 (2029.5) | 9125 |
| Change between Years from Three Studies | Reach 1 | Reach 2 | Reach 3 | Reach 4 | Reach 5 | Reach 6 | Reach 7 | All Reaches |
|---|---|---|---|---|---|---|---|---|
| Change from 2013 to 2014 using NDVI* (scaled NDVI) [12] | 22.5% | 48.8% | 38.3% | 1.6% | 7.5% | 25.7% | 26.5% | 17.0% |
| Change from 2013 to 2014 using EVI (not EVI2) [13] | 7.0% | 9.4% | 6.2% | −2.6% | −1.7% | 2.1% | −1.3% | 2.3% |
| Change from 2020 to 2021 using EVI2 [26] | 0.8% | 5.7% | −2.4% | 9.2% | 6.9% | 5.8% | 7.5% | 5.8% |
| Change from 2020 to 2022 using EVI2 [26] | −3.8% | 2.9% | −3.6% | 7.1% | 2.8% | 0.2% | 10.9% | 4.6% |
Disclaimer/Publisher’s Note: The statements, opinions and data contained in all publications are solely those of the individual author(s) and contributor(s) and not of MDPI and/or the editor(s). MDPI and/or the editor(s) disclaim responsibility for any injury to people or property resulting from any ideas, methods, instructions or products referred to in the content. |
© 2024 by the authors. Licensee MDPI, Basel, Switzerland. This article is an open access article distributed under the terms and conditions of the Creative Commons Attribution (CC BY) license (https://creativecommons.org/licenses/by/4.0/).
Share and Cite
Nagler, P.L.; Sall, I.; Gomez-Sapiens, M.; Barreto-Muñoz, A.; Jarchow, C.J.; Flessa, K.; Didan, K. Greenness and Actual Evapotranspiration in the Unrestored Riparian Corridor of the Colorado River Delta in Response to In-Channel Water Deliveries in 2021 and 2022. Remote Sens. 2024, 16, 1801. https://doi.org/10.3390/rs16101801
Nagler PL, Sall I, Gomez-Sapiens M, Barreto-Muñoz A, Jarchow CJ, Flessa K, Didan K. Greenness and Actual Evapotranspiration in the Unrestored Riparian Corridor of the Colorado River Delta in Response to In-Channel Water Deliveries in 2021 and 2022. Remote Sensing. 2024; 16(10):1801. https://doi.org/10.3390/rs16101801
Chicago/Turabian StyleNagler, Pamela L., Ibrahima Sall, Martha Gomez-Sapiens, Armando Barreto-Muñoz, Christopher J. Jarchow, Karl Flessa, and Kamel Didan. 2024. "Greenness and Actual Evapotranspiration in the Unrestored Riparian Corridor of the Colorado River Delta in Response to In-Channel Water Deliveries in 2021 and 2022" Remote Sensing 16, no. 10: 1801. https://doi.org/10.3390/rs16101801
APA StyleNagler, P. L., Sall, I., Gomez-Sapiens, M., Barreto-Muñoz, A., Jarchow, C. J., Flessa, K., & Didan, K. (2024). Greenness and Actual Evapotranspiration in the Unrestored Riparian Corridor of the Colorado River Delta in Response to In-Channel Water Deliveries in 2021 and 2022. Remote Sensing, 16(10), 1801. https://doi.org/10.3390/rs16101801

