Benchmarking Under- and Above-Canopy Laser Scanning Solutions for Deriving Stem Curve and Volume in Easy and Difficult Boreal Forest Conditions
Abstract
1. Introduction
2. Material and Methods
2.1. Related Work
2.2. Test Area
2.3. Acquisition of the Point Clouds
2.3.1. Acquisition of the Under-Canopy Point Clouds
2.3.2. Acquisition of the ALS Point Clouds
2.3.3. Acquisition of the Reference Data
2.4. Stem Curve Extraction
2.5. Bias Compensation
2.6. Evaluation Metrics
3. Results
3.1. Stem Detection
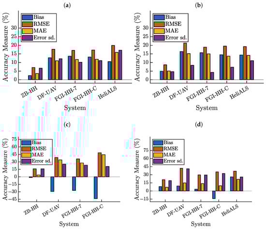
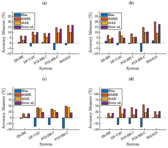
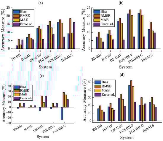
3.2. Accuracy of the Tree Attribute Estimation
3.2.1. Accuracy without the Bias Compensation
3.2.2. Accuracy with the Bias Compensation
3.3. Limitations and Further Developments
4. Conclusions
Author Contributions
Funding
Data Availability Statement
Acknowledgments
Conflicts of Interest
Appendix A. Reference Validation

Appendix B. Relative and Absolute Errors for Tree Attribute Estimation Using Bias Compensation
| System | Attribute | Bias | Bias (%) | RMSE | RMSE (%) |
|---|---|---|---|---|---|
| ZB-HH | DBH (cm) | 0.2 | 1.1 | 1.0 | 4.5 |
| stem curve (cm) | 0.6 | 3.2 | 1.3 | 6.6 | |
| height (m) | −0.5 | −2.4 | 1.5 | 8.0 | |
| volume () | 0.02 | 4.7 | 0.04 | 9.7 | |
| H-UAV | DBH (cm) | −0.1 | −0.6 | 1.6 | 6.9 |
| stem curve (cm) | 0.2 | 0.8 | 1.6 | 7.7 | |
| height (m) | −0.2 | −0.9 | 0.7 | 3.5 | |
| volume () | 0.008 | 1.7 | 0.05 | 11.6 | |
| DF-UAV | DBH (cm) | −0.7 | −3.0 | 1.5 | 6.7 |
| stem curve (cm) | 0.3 | 1.3 | 1.7 | 8.0 | |
| height (m) | −2.4 | −12.4 | 3.5 | 17.9 | |
| volume () | −0.03 | −7.4 | 0.1 | 21.6 | |
| FGI-HH-7 | DBH (cm) | 0.6 | 2.8 | 1.3 | 5.8 |
| stem curve (cm) | 0.9 | 4.4 | 1.5 | 7.2 | |
| height (m) | −0.9 | −4.7 | 2.3 | 11.8 | |
| volume () | 0.007 | 1.7 | 0.08 | 17.2 | |
| FGI-HH-C | DBH (cm) | −0.2 | −1.0 | 1.8 | 8.1 |
| stem curve (cm) | −0.02 | −0.07 | 1.9 | 8.9 | |
| height (m) | −5.1 | −26.5 | 5.8 | 30.3 | |
| volume () | −0.09 | −20.6 | 0.1 | 32.3 | |
| HeliALS | DBH (cm) | −0.8 | −3.0 | 2.9 | 11.7 |
| stem curve (cm) | 0.09 | 0.4 | 2.5 | 11.2 | |
| height (m) | - | - | - | - | |
| volume () | 0.004 | 0.8 | 0.1 | 18.7 |
| System | Attribute | Bias | Bias (%) | RMSE | RMSE (%) |
|---|---|---|---|---|---|
| ZB-HH | DBH (cm) | 0.2 | 0.8 | 1.4 | 6.8 |
| stem curve (cm) | 0.4 | 1.9 | 1.4 | 7.4 | |
| height (m) | −0.5 | −2.5 | 3.9 | 18.0 | |
| volume () | 0.0007 | 0.1 | 0.09 | 19.4 | |
| DF-UAV | DBH (cm) | −0.6 | −2.9 | 2.2 | 10.5 |
| stem curve (cm) | −0.3 | −1.6 | 2.1 | 11.1 | |
| height (m) | −7.9 | −35.9 | 9.5 | 42.9 | |
| volume () | −0.1 | −28.3 | 0.2 | 47.3 | |
| FGI-HH-7 | DBH (cm) | 0.1 | 0.7 | 1.9 | 9.3 |
| stem curve (cm) | −0.1 | −0.6 | 1.7 | 9.0 | |
| height (m) | −6.4 | −29.1 | 8.2 | 37.3 | |
| volume () | −0.1 | −24.9 | 0.2 | 44.4 | |
| FGI-HH-C | DBH (cm) | −1.3 | −6.2 | 3.1 | 14.6 |
| stem curve (cm) | −1.6 | −7.8 | 3.0 | 14.9 | |
| height (m) | −1.0 | −44.6 | 11.1 | 49.6 | |
| volume () | −0.2 | −38.8 | 0.3 | 55.5 | |
| HeliALS | DBH (cm) | −0.4 | −1.7 | 4.2 | 16.7 |
| stem curve (cm) | 0.5 | 2.4 | 4.5 | 20.0 | |
| height (m) | - | - | - | - | |
| volume () | 0.006 | 0.8 | 0.2 | 26.9 |
References
- Kettunen, M.; Vihervaara, P.; Kinnunen, S.; D’Amato, D.; Badura, T.; Argimon, M.; Ten Brink, P. Socio-Economic Importance of Ecosystem Services in the Nordic Countries; Nordic Council of Ministers: Copenhagen, Denmark, 2012. [Google Scholar]
- Luoma, V.; Saarinen, N.; Wulder, M.A.; White, J.C.; Vastaranta, M.; Holopainen, M.; Hyyppä, J. Assessing precision in conventional field measurements of individual tree attributes. Forests 2017, 8, 38. [Google Scholar] [CrossRef]
- Wang, Y.; Lehtomäki, M.; Liang, X.; Pyörälä, J.; Kukko, A.; Jaakkola, A.; Liu, J.; Feng, Z.; Chen, R.; Hyyppä, J. Is field-measured tree height as reliable as believed—A comparison study of tree height estimates from field measurement, airborne laser scanning and terrestrial laser scanning in a boreal forest. ISPRS J. Photogramm. Remote Sens. 2019, 147, 132–145. [Google Scholar] [CrossRef]
- Bragg, D.C. Accurately measuring the height of (real) forest trees. J. For. 2014, 112, 51–54. [Google Scholar] [CrossRef]
- Bienert, A.; Scheller, S.; Keane, E.; Mohan, F.; Nugent, C. Tree detection and diameter estimations by analysis of forest terrestrial laserscanner point clouds. Int. Arch. Photogramm. Remote Sens. Spat. Inf. Sci. 2007, 36, 50–55. [Google Scholar]
- Liang, X.; Kankare, V.; Yu, X.; Hyyppä, J.; Holopainen, M. Automated stem curve measurement using terrestrial laser scanning. IEEE Trans. Geosci. Remote Sens. 2014, 52, 1739–1748. [Google Scholar] [CrossRef]
- Hyyppä, E.; Kukko, A.; Kaijaluoto, R.; White, J.C.; Wulder, M.A.; Pyörälä, J.; Liang, X.; Yu, X.; Wang, Y.; Kaartinen, H.; et al. Accurate derivation of stem curve and volume using backpack mobile laser scanning. ISPRS J. Photogramm. Remote Sens. 2020, 161, 246–262. [Google Scholar] [CrossRef]
- Hyyppä, E.; Yu, X.; Kaartinen, H.; Hakala, T.; Kukko, A.; Vastaranta, M.; Hyyppä, J. Comparison of backpack, handheld, under-canopy UAV, and above-canopy UAV laser scanning for field reference data collection in boreal forests. Remote Sens. 2020, 12, 3327. [Google Scholar] [CrossRef]
- Hyyppä, E.; Kukko, A.; Kaartinen, H.; Yu, X.; Muhojoki, J.; Hakala, T.; Hyyppä, J. Direct and automatic measurements of stem curve and volume using a high-resolution airborne laser scanning system. Sci. Remote Sens. 2022, 5, 100050. [Google Scholar] [CrossRef]
- Liang, X.; Hyyppä, J.; Kaartinen, H.; Lehtomäki, M.; Pyörälä, J.; Pfeifer, N.; Holopainen, M.; Brolly, G.; Francesco, P.; Hackenberg, J.; et al. International benchmarking of terrestrial laser scanning approaches for forest inventories. ISPRS J. Photogramm. Remote Sens. 2018, 144, 137–179. [Google Scholar] [CrossRef]
- de Paula Pires, R.; Olofsson, K.; Persson, H.J.; Lindberg, E.; Holmgren, J. Individual tree detection and estimation of stem attributes with mobile laser scanning along boreal forest roads. ISPRS J. Photogramm. Remote Sens. 2022, 187, 211–224. [Google Scholar] [CrossRef]
- Laasasenaho, J. Taper Curve and Volume Functions for Pine, Spruce and Birch; Metsäntutkimuslaitos: Helsinki, Finland, 1982. [Google Scholar]
- Bauwens, S.; Bartholomeus, H.; Calders, K.; Lejeune, P. Forest Inventory with Terrestrial LiDAR: A Comparison of Static and Hand-Held Mobile Laser Scanning. Forests 2016, 7, 127. [Google Scholar] [CrossRef]
- Brede, B.; Lau, A.; Bartholomeus, H.; Kooistra, L. Comparing RIEGL RiCOPTER UAV LiDAR derived canopy height and DBH with terrestrial LiDAR. Sensors 2017, 17, 2371. [Google Scholar] [CrossRef] [PubMed]
- Cabo, C.; Del Pozo, S.; Rodríguez-Gonzálvez, P.; Ordóñez, C.; González-Aguilera, D. Comparing terrestrial laser scanning (TLS) and wearable laser scanning (WLS) for individual tree modeling at plot level. Remote Sens. 2018, 10, 540. [Google Scholar] [CrossRef]
- Gollob, C.; Ritter, T.; Nothdurft, A. Forest inventory with long range and high-speed personal laser scanning (PLS) and simultaneous localization and mapping (SLAM) technology. Remote Sens. 2020, 12, 1509. [Google Scholar] [CrossRef]
- Oveland, I.; Hauglin, M.; Giannetti, F.; Schipper Kjørsvik, N.; Gobakken, T. Comparing three different ground based laser scanning methods for tree stem detection. Remote Sens. 2018, 10, 538. [Google Scholar] [CrossRef]
- Liang, X.; Wang, Y.; Pyörälä, J.; Lehtomäki, M.; Yu, X.; Kaartinen, H.; Kukko, A.; Honkavaara, E.; Issaoui, A.E.; Nevalainen, O.; et al. Forest in situ observations using unmanned aerial vehicle as an alternative of terrestrial measurements. For. Ecosyst. 2019, 6, 20. [Google Scholar] [CrossRef]
- Chudá, J.; Hunčaga, M.; Tucek, J.; Mokros, M. The handheld mobile laser scanners as a tool for accurate positioning under forest canopy. ISPRS—Int. Arch. Photogramm. Remote Sens. Spat. Inf. Sci. 2020, 43, 211–218. [Google Scholar] [CrossRef]
- Tavi, D. Comparison of Under-Canopy Unmanned Aerial Vehicle, Airborne, and Ground-Based Mobile Laser Scanning for Forest Field Reference Measurements. Master’s Thesis, Aalto University, Espoo, Finland, 2023. [Google Scholar]
- Qian, C.; Liu, H.; Tang, J.; Chen, Y.; Kaartinen, H.; Kukko, A.; Zhu, L.; Liang, X.; Chen, L.; Hyyppä, J. An Integrated GNSS/INS/LiDAR-SLAM Positioning Method for Highly Accurate Forest Stem Mapping. Remote Sens. 2017, 9, 3. [Google Scholar] [CrossRef]
- Tang, J.; Chen, Y.; Niu, X.; Wang, L.; Chen, L.; Liu, J.; Shi, C.; Hyyppä, J. LiDAR Scan Matching Aided Inertial Navigation System in GNSS-Denied Environments. Sensors 2015, 15, 16710–16728. [Google Scholar] [CrossRef]
- Xie, Y.; Yang, T.; Wang, X.; Chen, X.; Pang, S.; Hu, J.; Wang, A.; Chen, L.; Shen, Z. Applying a Portable Backpack Lidar to Measure and Locate Trees in a Nature Forest Plot: Accuracy and Error Analyses. Remote Sens. 2022, 14, 1806. [Google Scholar] [CrossRef]
- Kukko, A.; Kaijaluoto, R.; Kaartinen, H.; Lehtola, V.V.; Jaakkola, A.; Hyyppä, J. Graph SLAM correction for single scanner MLS forest data under boreal forest canopy. ISPRS J. Photogramm. Remote Sens. 2017, 132, 199–209. [Google Scholar] [CrossRef]
- Proudman, A.; Ramezani, M.; Digumarti, S.T.; Chebrolu, N.; Fallon, M. Towards real-time forest inventory using handheld LiDAR. Robot. Auton. Syst. 2022, 157, 104240. [Google Scholar] [CrossRef]
- Faitli, T.; Hakala, T.; Kaartinen, H.; Hyyppä, J.; Kukko, A. Real-time lidar-inertial positioning and mapping for forestry automation. Int. Arch. Photogramm. Remote Sens. Spat. Inf. Sci. 2023, 48, 145–150. [Google Scholar] [CrossRef]
- Chen, S.; Liu, H.; Feng, Z.; Shen, C.; Chen, P. Applicability of personal laser scanning in forestry inventory. PLoS ONE 2019, 14, 1–22. [Google Scholar] [CrossRef] [PubMed]
- Ryding, J.; Williams, E.; Smith, M.J.; Eichhorn, M.P. Assessing handheld mobile laser scanners for forest surveys. Remote Sens. 2015, 7, 1095–1111. [Google Scholar] [CrossRef]
- Hyyppä, E.; Hyyppä, J.; Hakala, T.; Kukko, A.; Wulder, M.A.; White, J.C.; Pyörälä, J.; Yu, X.; Wang, Y.; Virtanen, J.P.; et al. Under-canopy UAV laser scanning for accurate forest field measurements. ISPRS J. Photogramm. Remote Sens. 2020, 164, 41–60. [Google Scholar] [CrossRef]
- Hyyppä, J.; Yu, X.; Hakala, T.; Kaartinen, H.; Kukko, A.; Hyyti, H.; Muhojoki, J.; Hyyppä, E. Under-Canopy UAV Laser Scanning Providing Canopy Height and Stem Volume Accurately. Forests 2021, 12, 856. [Google Scholar] [CrossRef]
- Liang, X.; Kukko, A.; Hyyppä, J.; Lehtomäki, M.; Pyörälä, J.; Yu, X.; Kaartinen, H.; Jaakkola, A.; Wang, Y. In-situ measurements from mobile platforms: An emerging approach to address the old challenges associated with forest inventories. ISPRS J. Photogramm. Remote Sens. 2018, 143, 97–107. [Google Scholar] [CrossRef]
- Giannetti, F.; Puletti, N.; Quatrini, V.; Travaglini, D.; Bottalico, F.; Corona, P.; Chirici, G. Integrating terrestrial and airborne laser scanning for the assessment of single-tree attributes in Mediterranean forest stands. Eur. J. Remote Sens. 2018, 51, 795–807. [Google Scholar] [CrossRef]
- Jurjević, L.; Liang, X.; Gašparović, M.; Balenović, I. Is field-measured tree height as reliable as believed – Part II, A comparison study of tree height estimates from conventional field measurement and low-cost close-range remote sensing in a deciduous forest. ISPRS J. Photogramm. Remote Sens. 2020, 169, 227–241. [Google Scholar] [CrossRef]
- Bienert, A.; Georgi, L.; Kunz, M.; Maas, H.G.; Von Oheimb, G. Comparison and Combination of Mobile and Terrestrial Laser Scanning for Natural Forest Inventories. Forests 2018, 9, 395. [Google Scholar] [CrossRef]
- Kankare, V.; Vauhkonen, J.; Tanhuanpää, T.; Holopainen, M.; Vastaranta, M.; Joensuu, M.; Krooks, A.; Hyyppä, J.; Hyyppä, H.; Alho, P.; et al. Accuracy in estimation of timber assortments and stem distribution—A comparison of airborne and terrestrial laser scanning techniques. ISPRS J. Photogramm. Remote Sens. 2014, 97, 89–97. [Google Scholar] [CrossRef]
- Kuželka, K.; Slavík, M.; Surovỳ, P. Very high density point clouds from UAV laser scanning for automatic tree stem detection and direct diameter measurement. Remote Sens. 2020, 12, 1236. [Google Scholar] [CrossRef]
- Vandendaele, B.; Fournier, R.A.; Vepakomma, U.; Pelletier, G.; Lejeune, P.; Martin-Ducup, O. Estimation of northern hardwood forest inventory attributes using UAV laser scanning (ULS): Transferability of laser scanning methods and comparison of automated approaches at the tree-and stand-level. Remote Sens. 2021, 13, 2796. [Google Scholar] [CrossRef]
- Wieser, M.; Mandlburger, G.; Hollaus, M.; Otepka, J.; Glira, P.; Pfeifer, N. A case study of UAS borne laser scanning for measurement of tree stem diameter. Remote Sens. 2017, 9, 1154. [Google Scholar] [CrossRef]
- Puliti, S.; Breidenbach, J.; Astrup, R. Estimation of forest growing stock volume with UAV laser scanning data: Can it be done without field data? Remote Sens. 2020, 12, 1245. [Google Scholar] [CrossRef]
- Liang, X.; Hyyppä, J.; Kaartinen, H.; Holopainen, M.; Melkas, T. Detecting changes in forest structure over time with bi-temporal terrestrial laser scanning data. ISPRS Int. J. Geo-Inf. 2012, 1, 242–255. [Google Scholar] [CrossRef]
- Liang, X.; Hyyppä, J. Automatic stem mapping by merging several terrestrial laser scans at the feature and decision levels. Sensors 2013, 13, 1614–1634. [Google Scholar] [CrossRef] [PubMed]
- Maas, H.G.; Bienert, A.; Scheller, S.; Keane, E. Automatic forest inventory parameter determination from terrestrial laser scanner data. Int. J. Remote Sens. 2008, 29, 1579–1593. [Google Scholar] [CrossRef]
- Bazezew, M.N.; Hussin, Y.A.; Kloosterman, E. Integrating Airborne LiDAR and Terrestrial Laser Scanner forest parameters for accurate above-ground biomass/carbon estimation in Ayer Hitam tropical forest, Malaysia. Int. J. Appl. Earth Obs. Geoinf. 2018, 73, 638–652. [Google Scholar] [CrossRef]
- Panagiotidis, D.; Abdollahnejad, A.; Slavik, M. 3D point cloud fusion from UAV and TLS to assess temperate managed forest structures. Int. J. Appl. Earth Obs. Geoinf. 2022, 112, 102917. [Google Scholar] [CrossRef]
- Paris, C.; Kelbe, D.; Van Aardt, J.; Bruzzone, L. A novel automatic method for the fusion of ALS and TLS LiDAR data for robust assessment of tree crown structure. IEEE Trans. Geosci. Remote Sens. 2017, 55, 3679–3693. [Google Scholar] [CrossRef]
- Shimizu, K.; Nishizono, T.; Kitahara, F.; Fukumoto, K.; Saito, H. Integrating terrestrial laser scanning and unmanned aerial vehicle photogrammetry to estimate individual tree attributes in managed coniferous forests in Japan. Int. J. Appl. Earth Obs. Geoinf. 2022, 106, 102658. [Google Scholar] [CrossRef]
- Zhou, R.; Sun, H.; Ma, K.; Tang, J.; Chen, S.; Fu, L.; Liu, Q. Improving Estimation of Tree Parameters by Fusing ALS and TLS Point Cloud Data Based on Canopy Gap Shape Feature Points. Drones 2023, 7, 524. [Google Scholar] [CrossRef]
- Wang, Y.; Kukko, A.; Hyyppä, E.; Hakala, T.; Pyörälä, J.; Lehtomäki, M.; El Issaoui, A.; Yu, X.; Kaartinen, H.; Liang, X.; et al. Seamless integration of above-and under-canopy unmanned aerial vehicle laser scanning for forest investigation. For. Ecosyst. 2021, 8, 10. [Google Scholar] [CrossRef]
- Kankare, V.; Liang, X.; Vastaranta, M.; Yu, X.; Holopainen, M.; Hyyppä, J. Diameter distribution estimation with laser scanning based multisource single tree inventory. ISPRS J. Photogramm. Remote Sens. 2015, 108, 161–171. [Google Scholar] [CrossRef]
- Wang, Y.; Pyörälä, J.; Liang, X.; Lehtomäki, M.; Kukko, A.; Yu, X.; Kaartinen, H.; Hyyppä, J. In situ biomass estimation at tree and plot levels: What did data record and what did algorithms derive from terrestrial and aerial point clouds in boreal forest. Remote Sens. Environ. 2019, 232, 111309. [Google Scholar] [CrossRef]
- SCAN FOREST. Scan Forest Research Infrastructure Website. 2024. Available online: https://www.scanforest.fi (accessed on 20 March 2024).
- Velodyne Lidar. VLP-16 User Manual. 2019. 63-9243 Rev. E. Available online: https://velodynelidar.com/wp-content/uploads/2019/12/63-9243-Rev-E-VLP-16-User-Manual.pdf (accessed on 3 January 2024).
- Ouster. Ouster OS0 Rev. 5 Datasheet. 2021. Available online: https://data.ouster.io/downloads/datasheets/datasheet-rev05-v2p1-os0.pdf (accessed on 24 August 2021).
- Ouster. Ouster OS0 Rev. C Datasheet. 2023. Available online: https://data.ouster.io/downloads/datasheets/datasheet-revc-v2p5-os0.pdf (accessed on 4 May 2023).
- Ouster. Ouster OS0 Rev. 7 Datasheet. 2023. Available online: https://data.ouster.io/downloads/datasheets/datasheet-rev7-v3p0-os0.pdf (accessed on 4 May 2023).
- RIEGL. VUX-1HA Datasheet. 2023. Available online: http://www.riegl.com/uploads/tx_pxpriegldownloads/RIEGL_VUX-1HA-22_Datasheet_2023-04-25.pdf (accessed on 2 March 2024).
- Leica Geosystems. Leica RTC360 Datasheet. 2018. Available online: https://leica-geosystems.com/-/media/files/leicageosystems/products/datasheets/leica-rtc360-ds-872750-0821-en.ashx?la=da&hash=30083BF63CCCE6919BD7964EEC5ADC77 (accessed on 2 January 2024).
- Hyyppä, J.; Inkinen, M. Detecting and estimating attributes for single trees using laser scanning. Photogramm. J. Finl. 1999, 16, 27–42. [Google Scholar]
- Næsset, E.; Gobakken, T.; Holmgren, J.; Hyyppä, H.; Hyyppä, J.; Maltamo, M.; Nilsson, M.; Olsson, H.; Persson, Å.; Söderman, U. Laser scanning of forest resources: The Nordic experience. Scand. J. For. Res. 2004, 19, 482–499. [Google Scholar] [CrossRef]
- Hyyppä, E.; Muhojoki, J.; Yu, X.; Kukko, A.; Kaartinen, H.; Hyyppä, J. Efficient coarse registration method using translation-and rotation-invariant local descriptors towards fully automated forest inventory. ISPRS Open J. Photogramm. Remote Sens. 2021, 2, 100007. [Google Scholar] [CrossRef]
- Meyer, F. Topographic distance and watershed lines. Signal Process. 1994, 38, 113–125. [Google Scholar] [CrossRef]
- Ester, M.; Kriegel, H.P.; Sander, J.; Xu, X. A density-based algorithm for discovering clusters in large spatial databases with noise. In Proceedings of the Second International Conference on Knowledge Discovery and Data Mining, Portland, OR, USA, 2–4 August 1996; pp. 226–231. [Google Scholar]
- Fischler, M.A.; Bolles, R.C. Random sample consensus: A paradigm for model fitting with applications to image analysis and automated cartography. Commun. ACM 1981, 24, 381–395. [Google Scholar] [CrossRef]
- Forsman, M.; Börlin, N.; Olofsson, K.; Reese, H.; Holmgren, J. Bias of cylinder diameter estimation from ground-based laser scanners with different beam widths: A simulation study. ISPRS J. Photogramm. Remote Sens. 2018, 135, 84–92. [Google Scholar] [CrossRef]
- Muhojoki, J.; Hakala, T.; Kukko, A.; Kaartinen, H.; Hyyppä, J. Comparing positioning accuracy of mobile laser scanning systems under a forest canopy. Sci. Remote Sens. 2024, 9, 100121. [Google Scholar] [CrossRef]
- Ringdahl, O.; Hohnloser, P.; Hellström, T.; Holmgren, J.; Lindroos, O. Enhanced Algorithms for Estimating Tree Trunk Diameter Using 2D Laser Scanner. Remote Sens. 2013, 5, 4839–4856. [Google Scholar] [CrossRef]
- Kuželka, K.; Surový, P. Noise Analysis for Unbiased Tree Diameter Estimation from Personal Laser Scanning Data. Remote Sens. 2024, 16, 1261. [Google Scholar] [CrossRef]
- Hyyppä, J.; Mielonen, T.; Hyyppä, H.; Maltamo, M.; Yu, X.; Honkavaara, E.; Kaartinen, H. Using individual tree crown approach for forest volume extraction with aerial images and laser point clouds. In Proceedings of the ISPRS Workshop Laser Scanning, Enschede, The Netherlands, 12–15 September 2005; pp. 144–149. [Google Scholar]
- Xi, Z.; Hopkinson, C. 3D Graph-Based Individual-Tree Isolation (Treeiso) from Terrestrial Laser Scanning Point Clouds. Remote Sens. 2022, 14, 6116. [Google Scholar] [CrossRef]
- Soininen, V.; Hyyppä, E.; Muhojoki, J.; Luoma, V.; Kaartinen, H.; Lehtomäki, M.; Kukko, A.; Hyyppä, J. Accuracy comparison of terrestrial and airborne laser scanning and manual measurements for stem curve-based growth measurements of individual trees. Sci. Remote Sens. 2024, 9, 100125. [Google Scholar] [CrossRef]









| Easy | Difficult | |
|---|---|---|
| Number of Plots | 3 | 3 |
| Mean tree count/plot | ||
| Pine | 46 | 2 |
| Spruce | 2 | 83 |
| Deciduous | 2 | 71 |
| Small Trees (DBH < 10 cm) | 8 | 47 |
| Total | 50 | 156 |
| Mean attribute values | ||
| DBH (cm) | 22.03 | 18.95 |
| Height (m) | 18.94 | 20.93 |
| Stem volume () | 0.42 | 0.42 |
| (a) Overview of the laser scanning systems. | ||||
| Name | Abbreviation | Laser Scanner | Platform | Collected |
| TLS | TLS | Leica RTC 360 | Tripod | April 2020 * |
| Zeb Horizon | ZB-HH | Velodyne VLP-16 | Handheld | April 2020 * |
| Hovermap | H-UAV | Velodyne VLP-16 | Drone | Sept. 2021 |
| Deep Forestry | DF-UAV | Ouster OS0-32 Rev. 5 | Drone | Sept. 2022 |
| FGI handheld 7 | FGI-HH-7 | Ouster OS0-128 Rev. 7 | Handheld | June 2023 |
| FGI handheld C | FGI-HH-7 | Ouster OS0-128 Rev. C | Handheld | July 2023 |
| HeliALS-TW | HeliALS | Riegl VUX-1HA | Helicopter | June 2021 |
| (b) Properties of the studied laser scanners. | ||||
| Scanner | Pulse Repetition Rate [kHz] | Range [m] | Beam Width at Exit (at 10 m) [mm] | Divergence [mrad] |
| Leica RTC 360 | 2000 | 130 | 6 (11) | 0.5 |
| Velodyne VLP-16 | 18.08 | 100 | 12.7 (42.7) | 3.0 |
| Ouster OS0 Rev. 5 | 20.48 | 50 | 5 (66) | 6.1 |
| Ouster OS0 Rev. 7 | 20.48 | 100 | 5 (66) | 6.1 |
| Ouster OS0 Rev. C | 20.48 | 50 | 5 (66) | 6.1 |
| Riegl VUX-1HA | 1017 | 135 | 4.5 (9.5) | 0.5 |
| Fit Parameters | Bias Removed (%) | |||
|---|---|---|---|---|
| System | Constant (mm) | Slope (mm/m) | Easy Plots | Difficult Plots |
| ZB-HH | −6.07 | 2.68 | 55.52 | 61.38 |
| H-UAV | 0.72 | 1.50 | 90.76 | - |
| DF-UAV | −3.86 | 7.56 | 92.25 | 90.21 |
| FGI-HH-7 | −4.76 | 7.00 | 79.04 | 96.29 |
| FGI-HH-C | −3.52 | 8.54 | 99.66 | 45.98 |
| HeliALS | 48.14 | −0.68 | 96.67 | 83.96 |
Disclaimer/Publisher’s Note: The statements, opinions and data contained in all publications are solely those of the individual author(s) and contributor(s) and not of MDPI and/or the editor(s). MDPI and/or the editor(s) disclaim responsibility for any injury to people or property resulting from any ideas, methods, instructions or products referred to in the content. |
© 2024 by the authors. Licensee MDPI, Basel, Switzerland. This article is an open access article distributed under the terms and conditions of the Creative Commons Attribution (CC BY) license (https://creativecommons.org/licenses/by/4.0/).
Share and Cite
Muhojoki, J.; Tavi, D.; Hyyppä, E.; Lehtomäki, M.; Faitli, T.; Kaartinen, H.; Kukko, A.; Hakala, T.; Hyyppä, J. Benchmarking Under- and Above-Canopy Laser Scanning Solutions for Deriving Stem Curve and Volume in Easy and Difficult Boreal Forest Conditions. Remote Sens. 2024, 16, 1721. https://doi.org/10.3390/rs16101721
Muhojoki J, Tavi D, Hyyppä E, Lehtomäki M, Faitli T, Kaartinen H, Kukko A, Hakala T, Hyyppä J. Benchmarking Under- and Above-Canopy Laser Scanning Solutions for Deriving Stem Curve and Volume in Easy and Difficult Boreal Forest Conditions. Remote Sensing. 2024; 16(10):1721. https://doi.org/10.3390/rs16101721
Chicago/Turabian StyleMuhojoki, Jesse, Daniella Tavi, Eric Hyyppä, Matti Lehtomäki, Tamás Faitli, Harri Kaartinen, Antero Kukko, Teemu Hakala, and Juha Hyyppä. 2024. "Benchmarking Under- and Above-Canopy Laser Scanning Solutions for Deriving Stem Curve and Volume in Easy and Difficult Boreal Forest Conditions" Remote Sensing 16, no. 10: 1721. https://doi.org/10.3390/rs16101721
APA StyleMuhojoki, J., Tavi, D., Hyyppä, E., Lehtomäki, M., Faitli, T., Kaartinen, H., Kukko, A., Hakala, T., & Hyyppä, J. (2024). Benchmarking Under- and Above-Canopy Laser Scanning Solutions for Deriving Stem Curve and Volume in Easy and Difficult Boreal Forest Conditions. Remote Sensing, 16(10), 1721. https://doi.org/10.3390/rs16101721

