Evaluation of GSMaP Version 8 Precipitation Products on an Hourly Timescale over Mainland China
Abstract
1. Introduction
2. Data and Methodology
2.1. Study Area
2.2. Datasets
2.2.1. Ground Reference Dataset
2.2.2. Satellite-Based GSMaP Products
2.3. Validation Methods
3. Results
3.1. Accuracy Evaluation of GSMaP at Hourly Timescales
3.2. The Ability to Capture Hourly Scale Precipitation Events
3.3. Error Dependence on Elevation and Precipitation Intensity
4. Discussion
4.1. Performance Comparison between Hourly and Daily Scales
4.2. Uncertainty
5. Conclusions
- (1)
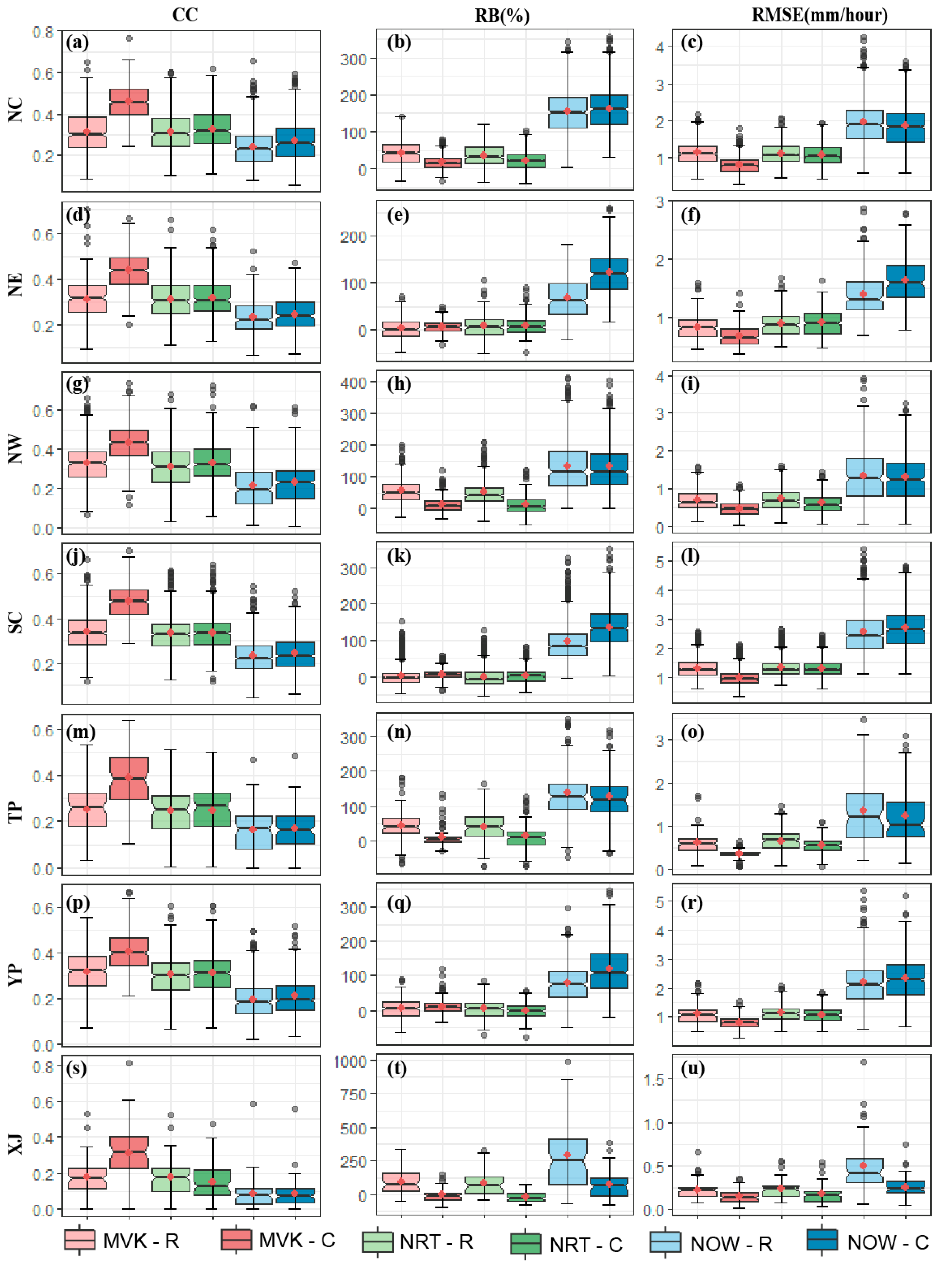
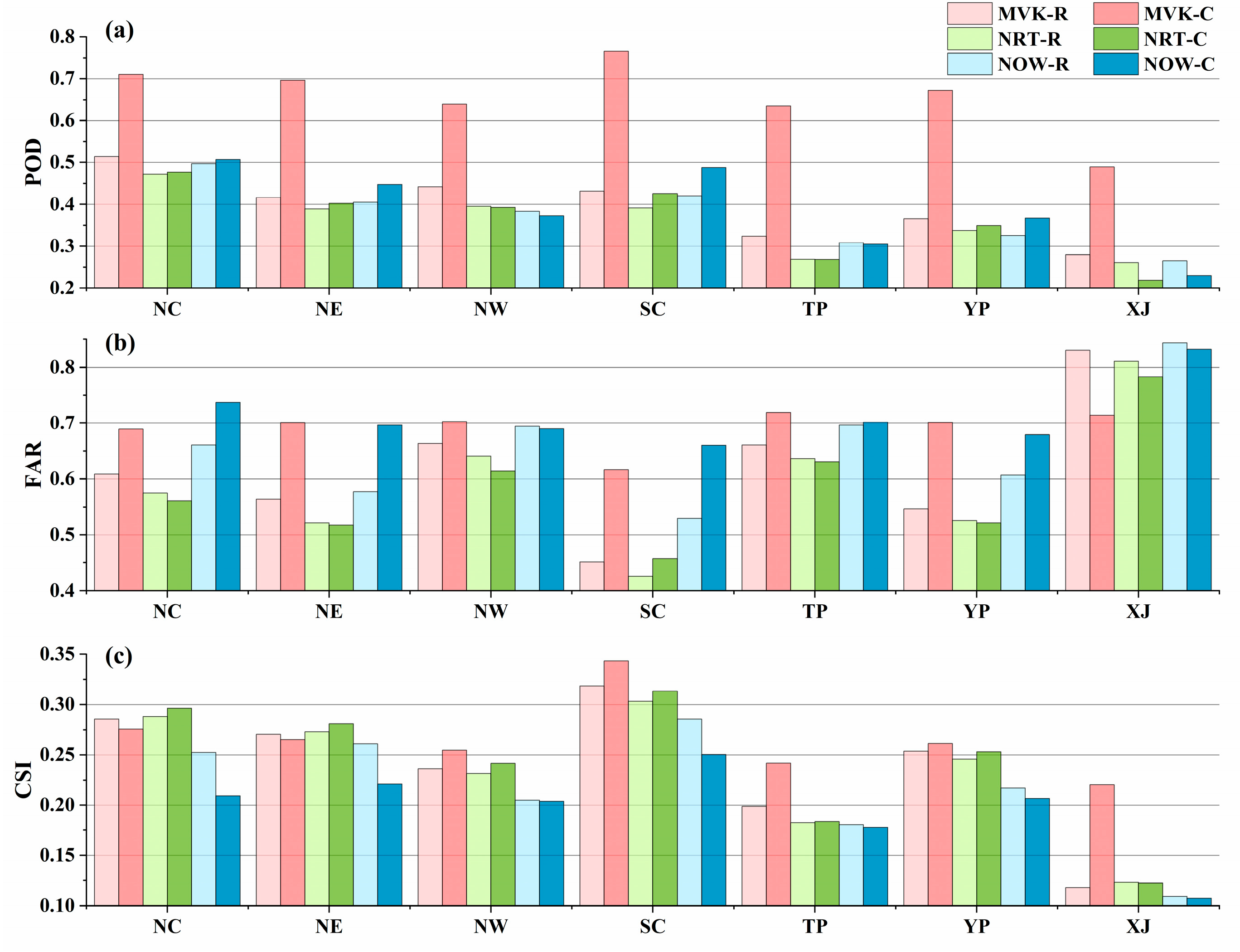
- The three versions of the GSMaP algorithm products show significant performance differences in terms of precipitation and precipitation event detection capabilities. The post-real-time versions (MVK-C and MVK-R) have the best performance, with high CC values and relatively low RB (−4.78–96.378%) and RMSE values (0.14 mm/h–1.32 mm/h). The near-real-time versions (NRT-R and NRT-C) have a slightly worse performance (CC: 0.15–0.34; RB: −19.15–88.09%; RMSE: 0.17 mm/h–1.33 mm/h), while the real-time versions (NOW-R and NOW-C) have the worst performance (CC: 0.09–0.25; RB: 68.70–288.74%; RMSE: 0.26 mm/h–2.70 mm/h). This phenomenon of better performances for longer delays and more complex algorithms is in line with our expectations. In terms of spatial distribution, SPEs perform worst in the XJ region and best in the SC region. The phenomenon of better performances in the eastern regions (i.e., SC, NC, and NE) than in the western regions (i.e., XJ and TP) is present for all products.
- (2)
- In terms of the ability to invert hourly rainfall, MVK-C performs the best, with a higher CC value (0.31 for XJ to 0.47 for SC), a smaller RMSE value (0.14 mm/h for XJ to 0.99 mm/h for SC), and a lower RB value (−4.78% for XJ to 16.03% for NC). MVK-R, NRT-C, and NRT-R have slightly lower performances, while NOW-C and NOW-R have the worst performances and lowest correlations. In the NC, NE, NW, and SC regions, the POD usually was around 0.4, the FAR was between 0.35 and 0.75, and the CSI was between 0.2 and 0.35. Compared with the above regions, the POD and CSI in TB, TP, and XJ regions decreased by about 0.1, and the FAR increased by about 0.2. The ability of different SPEs to retrieve the frequency of precipitation events on a daily timescale increased with the increase in timescales, and the POD values were greater than 0.6, FAR values were less than 0.5, and CSI values were greater than 0.3.
- (3)
- The correction algorithm plays an important role in reducing errors and improving the ability to capture precipitation events. The corrected product performs significantly better than the uncorrected version, exhibiting higher CC values and lower RB and RMSE values in most sub-regions. Comparisons between the different versions show that the post-real-time version has the best correction. For example, MVK-C is corrected by CPC site data, showing a significant improvement in CC values in all sub-regions (hourly timescales greater than 0.3), and the proportion of sites with CC values greater than 0.5 increased from 0.03% (MVK-R) to 28.47% (MVK-C). However, the correction algorithms had a limited effect (about 0.01) on the near-real-time and real-time versions, probably due to the limited number of trajectory observations included in the corresponding correction procedures.
- (4)
- All of the SPEs produced significant errors depending on the precipitation intensity and elevation. In terms of elevation errors, the CC values of the SPEs decreased with increasing elevation. In areas with drastic altitude changes (1200–1500 m and 3000–3300 m), the accuracy of SPEs was significantly affected. In terms of rainfall intensity, CC values decreased with an increasing rainfall intensity, RB and RMSE values increased with an increasing rainfall intensity, and all calibrated products outperformed the uncalibrated SPEs at all rainfall intensities.
Author Contributions
Funding
Data Availability Statement
Acknowledgments
Conflicts of Interest
Appendix A
| GSMaP Products | Version | Finest Evaluation Timescale | Reference |
|---|---|---|---|
| MVK-R, MVK-C | - | Daily | China [28] |
| MVK-C | - | Daily | China [29,61,62] |
| NRT-R, MVK-R, MVK-C | Version 7 | Daily | China [18] |
| NRT-R, NRT-C | Version 7 | Daily | China [34] |
| MVK-C | Version 7 | Daily | Pingtang River Basin [16] |
| NOW-R,MVK-R, MVK-C, NRT-R, NRT-C | Version 7 | Hourly | Yellow River source region [35] |
| NRT-R, NRT-C, MVK-C | - | Daily | Xijiang River Basin [31] |
| MVK-C | Version 6 | Daily | Yingjing catchment [63] |
| NOW-R, NOW-C, MVK-R, MVK-C, NRT-R, NRT-CNRT-C | Version 8 | Hourly | Indonesian Maritime Continent [55] |
| NRT-R, MVK-R,MVK-C | Version 6 | Daily | Hanjiang River Basin [15] |
| MVK-R | Version 7 | Daily | Ardabil Province, Iran [14] |
| Region | MVK-R | MVK-C | NRT-R | NRT-C | NOW-R | NRT-C | |
|---|---|---|---|---|---|---|---|
| CC | NC | 0.31 | 0.46 | 0.31 | 0.33 | 0.24 | 0.27 |
| NE | 0.31 | 0.44 | 0.31 | 0.32 | 0.23 | 0.25 | |
| NW | 0.33 | 0.44 | 0.31 | 0.33 | 0.20 | 0.23 | |
| SC | 0.34 | 0.47 | 0.33 | 0.34 | 0.23 | 0.24 | |
| TP | 0.25 | 0.39 | 0.24 | 0.25 | 0.16 | 0.17 | |
| YP | 0.32 | 0.41 | 0.30 | 0.31 | 0.20 | 0.21 | |
| XJ | 0.18 | 0.31 | 0.18 | 0.15 | 0.09 | 0.09 | |
| RB (%) | NC | 43.26 | 16.03 | 35.87 | 22.26 | 154.84 | 162.16 |
| NE | 3.19 | 7.17 | 7.93 | 9.84 | 68.69 | 122.28 | |
| NW | 58.24 | 11.70 | 52.21 | 12.51 | 135.96 | 133.77 | |
| SC | 2.62 | 6.37 | 0.14 | 3.11 | 95.14 | 136.19 | |
| TP | 42.25 | 9.20 | 39.73 | 13.38 | 138.23 | 126.32 | |
| YP | 8.49 | 11.23 | 7.38 | 0.48 | 89.36 | 129.02 | |
| XJ | 96.38 | 20.78 | 88.09 | 39.04 | 288.74 | 76.17 | |
| RMSE (mm/h) | NC | 1.13 | 0.79 | 1.12 | 1.06 | 1.96 | 1.87 |
| NE | 0.83 | 0.67 | 0.88 | 0.90 | 1.39 | 1.62 | |
| NW | 0.70 | 0.48 | 0.73 | 0.62 | 1.36 | 1.29 | |
| SC | 1.32 | 0.99 | 1.33 | 1.32 | 2.55 | 2.69 | |
| TP | 0.62 | 0.36 | 0.66 | 0.56 | 1.37 | 1.24 | |
| YP | 1.09 | 0.81 | 1.13 | 1.07 | 2.20 | 2.34 | |
| XJ | 0.23 | 0.14 | 0.23 | 0.17 | 0.50 | 0.26 |

References
- Gleick, P.H. Climate change, hydrology, and water resources. Rev. Geophys. 1989, 27, 329–344. [Google Scholar] [CrossRef]
- Sivakumar, B. Global climate change and its impacts on water resources planning and management: Assessment and challenges. Stoch. Environ. Res. Risk Assess. 2011, 25, 583–600. [Google Scholar] [CrossRef]
- Ebert, E. Comparison of Near-Real-Time Precipitation Estimates from Satellite Observations and Numerical Models. Bull. Am. Meteorol. Soc. 2010, 88, 47–64. [Google Scholar] [CrossRef]
- Maccini, S.; Yang, D. Under the Weather: Health, Schooling, and Economic Consequences of Early-Life Rainfall. Am. Econ. Rev. 2009, 99, 1006–1026. [Google Scholar] [CrossRef]
- Chapman, L.; Bell, C.; Bell, S. Can the crowdsourcing data paradigm take atmospheric science to a new level? A case study of the urban heat island of London quantified using Netatmo weather stations. Int. J. Climatol. 2017, 37, 3597–3605. [Google Scholar] [CrossRef]
- Kelley, O.A. Where the Least Rainfall Occurs in the Sahara Desert, the TRMM Radar Reveals a Different Pattern of Rainfall Each Season. J. Clim. 2014, 27, 6919–6939. [Google Scholar] [CrossRef]
- Crow, W.T.; van den Berg, M.J.; Huffman, G.J.; Pellarin, T. Correcting rainfall using satellite-based surface soil moisture retrievals: The Soil Moisture Analysis Rainfall Tool (SMART). Water Resour. Res. 2011, 47. [Google Scholar] [CrossRef]
- Wu, J.; Zhou, L.; Liu, M.; Zhang, J.; Leng, S.; Diao, C. Establishing and assessing the Integrated Surface Drought Index (ISDI) for agricultural drought monitoring in mid-eastern China. Int. J. Appl. Earth Obs. Geoinf. 2013, 23, 397–410. [Google Scholar] [CrossRef]
- Sebastianelli, S.; Russo, F.; Napolitano, F.; Baldini, L. On precipitation measurements collected by a weather radar and a rain gauge network. Nat. Hazards Earth Syst. Sci. 2013, 13, 605–623. [Google Scholar] [CrossRef]
- Saltikoff, E.; Friedrich, K.; Soderholm, J.; Lengfeld, K.; Nelson, B.; Becker, A.; Hollmann, R.; Urban, B.; Heistermann, M.; Tassone, C. An Overview of Using Weather Radar for Climatological Studies: Successes, Challenges, and Potential. Bull. Am. Meteorol. Soc. 2019, 100, 1739–1752. [Google Scholar] [CrossRef]
- Driouech, F.; Déqué, M.; Mokssit, A. Numerical simulation of the probability distribution function of precipitation over Morocco. Clim. Dyn. 2008, 32, 1055–1063. [Google Scholar] [CrossRef]
- Chevuturi, A.; Dimri, A.P.; Das, S.; Kumar, A.; Niyogi, D. Numerical simulation of an intense precipitation event over Rudraprayag in the central Himalayas during 13–14 September 2012. J. Earth Syst. Sci. 2015, 124, 1545–1561. [Google Scholar] [CrossRef]
- Cohen Liechti, T.; Matos, J.P.; Boillat, J.L.; Schleiss, A.J. Comparison and evaluation of satellite derived precipitation products for hydrological modeling of the Zambezi River Basin. Hydrol. Earth Syst. Sci. 2012, 16, 489–500. [Google Scholar] [CrossRef]
- Aslami, F.; Ghorbani, A.; Sobhani, B.; Esmali, A. Comprehensive comparison of daily IMERG and GSMaP satellite precipitation products in Ardabil Province, Iran. Int. J. Remote Sens. 2018, 40, 3139–3153. [Google Scholar] [CrossRef]
- Deng, P.; Zhang, M.; Guo, H.; Xu, C.; Bing, J.; Jia, J. Error analysis and correction of the daily GSMaP products over Hanjiang River Basin of China. Atmos. Res. 2018, 214, 121–134. [Google Scholar] [CrossRef]
- Sun, G.; Wei, Y.; Wang, G.; Shi, R.; Chen, H.; Mo, C.; Rigo, T. Downscaling Correction and Hydrological Applicability of the Three Latest High-Resolution Satellite Precipitation Products (GPM, GSMAP, and MSWEP) in the Pingtang Catchment, China. Adv. Meteorol. 2022, 2022, 6507109. [Google Scholar] [CrossRef]
- Sharifi, E.; Brocca, L. Chapter 8—Monitoring precipitation from space: Progress, challenges, and opportunities. In Precipitation Science; Michaelides, S., Ed.; Elsevier: Amsterdam, The Netherlands, 2022; pp. 239–255. [Google Scholar]
- Zhou, Z.; Guo, B.; Xing, W.; Zhou, J.; Xu, F.; Xu, Y. Comprehensive evaluation of latest GPM era IMERG and GSMaP precipitation products over mainland China. Atmos. Res. 2020, 246, 105132. [Google Scholar] [CrossRef]
- Hamada, A.; Takayabu, Y.N. Improvements in Detection of Light Precipitation with the Global Precipitation Measurement Dual-Frequency Precipitation Radar (GPM DPR). J. Atmos. Ocean. Technol. 2016, 33, 653–667. [Google Scholar] [CrossRef]
- Prakash, S.; Mitra, A.K.; Rajagopal, E.N.; Pai, D.S. Assessment of TRMM-based TMPA-3B42 and GSMaP precipitation products over India for the peak southwest monsoon season. Int. J. Climatol. 2016, 36, 1614–1631. [Google Scholar] [CrossRef]
- Mega, T.; Ushio, T.; Takahiro, M.; Kubota, T.; Kachi, M.; Oki, R. Gauge-Adjusted Global Satellite Mapping of Precipitation. IEEE Trans. Geosci. Remote Sens. 2019, 57, 1928–1935. [Google Scholar] [CrossRef]
- Kubota, T.; Aonashi, K.; Ushio, T.; Shige, S.; Yamaji, M.; Yamamoto, M.; Hirose, H.; Takayabu, Y. A new version of Global Satellite Mapping of Precipitation (GSMaP) product released in December 2021. In Proceedings of the EGU General Assembly 2022, Vienna, Austria, 23–27 May 2022. [Google Scholar] [CrossRef]
- Qi, W.; Yong, B.; Gourley, J.J. Monitoring the super typhoon lekima by GPM-based near-real-time satellite precipitation estimates. J. Hydrol. 2021, 603, 126968. [Google Scholar] [CrossRef]
- Tang, G.; Zeng, Z.; Ma, M.; Liu, R.; Wen, Y.; Hong, Y. Can Near-Real-Time Satellite Precipitation Products Capture Rainstorms and Guide Flood Warning for the 2016 Summer in South China? IEEE Geosci. Remote Sens. Lett. 2017, 14, 1208–1212. [Google Scholar] [CrossRef]
- Sorooshian, S.; Hsu, K.L.; Gao, X.; Gupta, H.V.; Imam, B.; Braithwaite, D. Evaluation of PERSIANN System Satellite-Based Estimates of Tropical Rainfall. Bull. Am. Meteorol. Soc. 2000, 81, 2035–2046. [Google Scholar] [CrossRef]
- Liu, S.; Wang, J.; Wang, H. Assessing 10 Satellite Precipitation Products in Capturing the July 2021 Extreme Heavy Rain in Henan, China. J. Meteorol. Res. 2022, 36, 798–808. [Google Scholar] [CrossRef]
- Hsu, J.; Huang, W.-R.; Liu, P.-Y. Performance assessment of GPM-based near-real-time satellite products in depicting diurnal precipitation variation over Taiwan. J. Hydrol. Reg. Stud. 2021, 38, 100957. [Google Scholar] [CrossRef]
- Chen, H.; Wen, D.; Du, Y.; Xiong, L.; Wang, L. Errors of five satellite precipitation products for different rainfall intensities. Atmos. Res. 2023, 285, 106622. [Google Scholar] [CrossRef]
- Lei, H.; Zhao, H.; Ao, T. Ground validation and error decomposition for six state-of-the-art satellite precipitation products over mainland China. Atmos. Res. 2022, 269, 106017. [Google Scholar] [CrossRef]
- Shi, J.; Yuan, F.; Shi, C.; Zhao, C.; Zhang, L.; Ren, L.; Zhu, Y.; Jiang, S.; Liu, Y. Statistical Evaluation of the Latest GPM-Era IMERG and GSMaP Satellite Precipitation Products in the Yellow River Source Region. Water 2020, 12, 1006. [Google Scholar] [CrossRef]
- Weng, P.; Tian, Y.; Jiang, Y.; Chen, D.; Kang, J. Assessment of GPM IMERG and GSMaP daily precipitation products and their utility in droughts and floods monitoring across Xijiang River Basin. Atmos. Res. 2023, 286, 106673. [Google Scholar] [CrossRef]
- Yamaji, M.; Kubota, T.; Yamamoto, M.K. An Approach to Reliability Characterization of GSMaP Near-Real-Time Precipitation Product. J. Meteorol. Soc. Jpn. 2021, 99, 673–684. [Google Scholar] [CrossRef]
- Li, D.; Min, X.; Xu, J.; Xue, J.; Shi, Z. Assessment of three gridded satellite-based precipitation products and their performance variabilities during typhoons over Zhejiang, southeastern China. J. Hydrol. 2022, 610, 127985. [Google Scholar] [CrossRef]
- Lu, D.; Yong, B. A Preliminary Assessment of the Gauge-Adjusted Near-Real-Time GSMaP Precipitation Estimate over Mainland China. Remote Sens. 2020, 12, 141. [Google Scholar] [CrossRef]
- Shi, J.; Wang, B.; Wang, G.; Yuan, F.; Shi, C.; Zhou, X.; Zhang, L.; Zhao, C. Are the Latest GSMaP Satellite Precipitation Products Feasible for Daily and Hourly Discharge Simulations in the Yellow River Source Region? Remote Sens. 2021, 13, 4199. [Google Scholar] [CrossRef]
- Hou, H.-Y. Vegetation of China With Reference to Its Geographical Distribution. Ann. Mo. Bot. Gard. 1983, 70, 509–549. [Google Scholar] [CrossRef]
- Zhao, J.; Ji, G.; Tian, Y.; Chen, Y.; Wang, Z. Environmental vulnerability assessment for mainland China based on entropy method. Ecol. Indic. 2018, 91, 410–422. [Google Scholar] [CrossRef]
- Guo, H.; Chen, S.; Bao, A.; Behrangi, A.; Hong, Y.; Ndayisaba, F.; Hu, J.; Stepanian, P.M. Early assessment of Integrated Multi-satellite Retrievals for Global Precipitation Measurement over China. Atmos. Res. 2016, 176–177, 121–133. [Google Scholar] [CrossRef]
- Yang, B.; Zhao, Y.; Zhao, H.; Li, B.; Huang, Y. Assessment of the Two Successive GPM-Based V3 and V4 GSMaP Precipitation Products at Multiple Temporal and Spatial Scales Over China. IEEE J. Sel. Top. Appl. Earth Obs. Remote Sens. 2019, 12, 577–588. [Google Scholar] [CrossRef]
- Yang, H.; Yang, D.; Hu, Q.; Lv, H. Spatial variability of the trends in climatic variables across China during 1961–2010. Theor. Appl. Climatol. 2015, 120, 773–783. [Google Scholar] [CrossRef]
- Kubota, T.; Aonashi, K.; Ushio, T.; Shige, S.; Takayabu, Y.N.; Kachi, M.; Arai, Y.; Tashima, T.; Masaki, T.; Kawamoto, N.; et al. Global Satellite Mapping of Precipitation (GSMaP) Products in the GPM Era. In Advances in Global Change Research; Springer: Berlin/Heidelberg, Germany, 2020; Volume 67. [Google Scholar]
- Aonashi, K.; Awaka, J.; Hirose, M.; Kozu, T.; Kubota, T.; Liu, G.; Shige, S.; Kida, S.; Seto, S.; Takahashi, N.; et al. GSMaP Passive Microwave Precipitation Retrieval Algorithm: Algorithm Description and Validation. J. Meteorol. Soc. Jpn. 2009, 87A, 119–136. [Google Scholar] [CrossRef]
- Ushio, T.; Sasashige, K.; Kubota, T.; Shige, S.; Okamoto, K.i.; Aonashi, K.; Inoue, T.; Takahashi, N.; Iguchi, T.; Kachi, M.; et al. A Kalman Filter Approach to the Global Satellite Mapping of Precipitation (GSMaP) from Combined Passive Microwave and Infrared Radiometric Data. J. Meteorol. Soc. Jpn. 2009, 87A, 137–151. [Google Scholar] [CrossRef]
- Khatakho, R.; Talchabhadel, R.; Thapa, B.R. Evaluation of different precipitation inputs on streamflow simulation in Himalayan River basin. J. Hydrol. 2021, 599, 126390. [Google Scholar] [CrossRef]
- AghaKouchak, A.; Mehran, A. Extended contingency table: Performance metrics for satellite observations and climate model simulations. Water Resour. Res. 2013, 49, 7144–7149. [Google Scholar] [CrossRef]
- Yuan, F.; Wang, B.; Shi, C.; Cui, W.; Zhao, C.; Liu, Y.; Ren, L.; Zhang, L.; Zhu, Y.; Chen, T.; et al. Evaluation of hydrological utility of IMERG Final run V05 and TMPA 3B42V7 satellite precipitation products in the Yellow River source region, China. J. Hydrol. 2018, 567, 696–711. [Google Scholar] [CrossRef]
- Fu, H.; Zhu, L.; Nzabarinda, V.; Lv, X.; Guo, H. Error Characteristic Analysis of Satellite-Based Precipitation Products over Mainland China. Atmosphere 2022, 13, 1211. [Google Scholar] [CrossRef]
- Bi, Z.; Sun, S.; Shen, H.; Liu, Y.; Ren, Y.; Li, J.; Lin, B. Systematic assessment of GPM IMERG V06 precipitation products with dense rain gauge observations over Zhejiang Province, China. Int. J. Climatol. 2022, 42, 9471–9493. [Google Scholar] [CrossRef]
- Sunilkumar, K.; Narayana Rao, T.; Satheeshkumar, S. Assessment of small-scale variability of rainfall and multi-satellite precipitation estimates using measurements from a dense rain gauge network in Southeast India. Hydrol. Earth Syst. Sci. 2016, 20, 1719–1735. [Google Scholar] [CrossRef]
- Shrestha, D.; Sharma, S.; Hamal, K.; Khan Jadoon, U.; Dawadi, B. Spatial Distribution of Extreme Precipitation Events and Its Trend in Nepal. Appl. Ecol. Environ. Sci. 2020, 9, 58–66. [Google Scholar] [CrossRef]
- Rodrigues, D.T.; Gonçalves, W.A.; Spyrides, M.H.C.; Santos e Silva, C.M. Spatial and temporal assessment of the extreme and daily precipitation of the Tropical Rainfall Measuring Mission satellite in Northeast Brazil. Int. J. Remote Sens. 2020, 41, 549–572. [Google Scholar] [CrossRef]
- Bharti, V.; Singh, C. Evaluation of error in TRMM 3B42V7 precipitation estimates over the Himalayan region. J. Geophys. Res. Atmos. 2015, 120, 12458–12473. [Google Scholar] [CrossRef]
- Mahendra, M.S.; Tanaka, T.; Ogawara, K.; Sugiartha, N. Application of GSMaP Product and Rain Gauge Data for Monitoring Rainfall Condition of Flood Events in Indonesia. Int. J. Environ. Geosci. 2017, 1, 36–47. [Google Scholar] [CrossRef]
- Nepal, B.; Shrestha, D.; Sharma, S.; Shrestha, M.S.; Aryal, D.; Shrestha, N. Assessment of GPM-Era Satellite Products’ (IMERG and GSMaP) Ability to Detect Precipitation Extremes over Mountainous Country Nepal. Atmosphere 2021, 12, 254. [Google Scholar] [CrossRef]
- Ramadhan, R.; Marzuki, M.; Yusnaini, H.; Muharsyah, R.; Tangang, F.; Vonnisa, M.; Harmadi, H. A Preliminary Assessment of the GSMaP Version 08 Products over Indonesian Maritime Continent against Gauge Data. Remote Sens. 2023, 15, 1115. [Google Scholar] [CrossRef]
- Takido, K.; Saavedra Valeriano, O.C.; Ryo, M.; Tanuma, K.; Ushio, T.; Kubota, T. Spatiotemporal Evaluation of the Gauge-Adjusted Global Satellite Mapping of Precipitation at the Basin Scale. J. Meteorol. 2016, 94, 185–195. [Google Scholar] [CrossRef]
- Kubota, T.; Shige, S.; Hashizume, H.; Aonashi, K.; Takahashi, N.; Seto, S.; Hirose, M.; Takayabu, Y.N.; Ushio, T.; Nakagawa, K.; et al. Global Precipitation Map Using Satellite-Borne Microwave Radiometers by the GSMaP Project: Production and Validation. IEEE Trans. Geosci. Remote Sens. 2007, 45, 2259–2275. [Google Scholar] [CrossRef]
- Tang, G.; Behrangi, A.; Long, D.; Li, C.; Hong, Y. Accounting for spatiotemporal errors of gauges: A critical step to evaluate gridded precipitation products. J. Hydrol. 2018, 559, 294–306. [Google Scholar] [CrossRef]
- Adam, J.C.; Lettenmaier, D.P. Adjustment of global gridded precipitation for systematic bias. J. Geophys. Res. Atmos. 2003, 108. [Google Scholar] [CrossRef]
- Tustison, B.; Harris, D.; Foufoula-Georgiou, E. Scale issues in verification of precipitation forecasts. J. Geophys. Res. Atmos. 2001, 106, 11775–11784. [Google Scholar] [CrossRef]
- Wu, X.; Zhao, N. Evaluation and Comparison of Six High-Resolution Daily Precipitation Products in Mainland China. Remote Sens. 2022, 15, 223. [Google Scholar] [CrossRef]
- Tang, G.; Clark, M.P.; Papalexiou, S.M.; Ma, Z.; Hong, Y. Have satellite precipitation products improved over last two decades? A comprehensive comparison of GPM IMERG with nine satellite and reanalysis datasets. Remote Sens. Environ. 2020, 240, 111697. [Google Scholar] [CrossRef]
- Tang, X.; Li, H.; Qin, G.; Huang, Y.; Qi, Y. Evaluation of Satellite-Based Precipitation Products over Complex Topography in Mountainous Southwestern China. Remote Sens. 2023, 15, 473. [Google Scholar] [CrossRef]










| Data Name | Abbreviation | Latency | Resolution | Gauge Correction |
|---|---|---|---|---|
| GSMaP_NOW | NOW-R | 0 h | 0.1° half hour | None |
| GSMaP_NOW_G | NOW-C | 0 h | 0.1° half hour | Correction by empirical coefficients |
| GSMaP_NRT | NRT-R | 4 h | 0.1° hourly | None |
| GSMaP_NRT_G | NRT-C | 4 h | 0.1° hourly | Correction by empirical coefficients |
| GSMaP_MVK | MVK-R | 3 days | 0.1° hourly | None |
| GSMaP_Gauge | MVK-C | 3 days | 0.1° hourly | Corrected by daily rain gauges |
| Metric Categories | Statistical Metrics | Formula | Optimal Value |
|---|---|---|---|
| Continuous Metrics | Correlation Coefficient (CC) | 1 | |
| Relative Bias (RB) | 0 | ||
| Root Mean Square Error (RMSE) | 0 | ||
| Categorical Metrics | Probability of Detection (POD) | 1 | |
| False Alarm Ratio (FAR) | 0 | ||
| Critical Success Index (CSI) | 1 |
Disclaimer/Publisher’s Note: The statements, opinions and data contained in all publications are solely those of the individual author(s) and contributor(s) and not of MDPI and/or the editor(s). MDPI and/or the editor(s) disclaim responsibility for any injury to people or property resulting from any ideas, methods, instructions or products referred to in the content. |
© 2024 by the authors. Licensee MDPI, Basel, Switzerland. This article is an open access article distributed under the terms and conditions of the Creative Commons Attribution (CC BY) license (https://creativecommons.org/licenses/by/4.0/).
Share and Cite
Lv, X.; Guo, H.; Tian, Y.; Meng, X.; Bao, A.; De Maeyer, P. Evaluation of GSMaP Version 8 Precipitation Products on an Hourly Timescale over Mainland China. Remote Sens. 2024, 16, 210. https://doi.org/10.3390/rs16010210
Lv X, Guo H, Tian Y, Meng X, Bao A, De Maeyer P. Evaluation of GSMaP Version 8 Precipitation Products on an Hourly Timescale over Mainland China. Remote Sensing. 2024; 16(1):210. https://doi.org/10.3390/rs16010210
Chicago/Turabian StyleLv, Xiaoyu, Hao Guo, Yunfei Tian, Xiangchen Meng, Anming Bao, and Philippe De Maeyer. 2024. "Evaluation of GSMaP Version 8 Precipitation Products on an Hourly Timescale over Mainland China" Remote Sensing 16, no. 1: 210. https://doi.org/10.3390/rs16010210
APA StyleLv, X., Guo, H., Tian, Y., Meng, X., Bao, A., & De Maeyer, P. (2024). Evaluation of GSMaP Version 8 Precipitation Products on an Hourly Timescale over Mainland China. Remote Sensing, 16(1), 210. https://doi.org/10.3390/rs16010210

