Abstract
Radiative transfer models (RTMs) provide reliable information about crop yield and traits with high resource efficiency. In this study, we have conducted a systematic literature review (SLR) to fill the gaps in the overall insight of RTM-based crop yield prediction (CYP) and crop traits retrieval. Following the Preferred Reporting Items for Systematic Reviews and Meta-Analyses (PRISMA) guidelines, 76 articles were found to be relevant to crop traits retrieval and 15 for CYP. China had the highest number of RTM applications (33), followed by the USA (13). Crop-wise, cereals, and traits-wise, leaf area index (LAI) and chlorophyll, had a high number of research studies. Among RTMs, the PROSAIL model had the highest number of articles (62), followed by SCOPE (6) with PROSAIL accuracy for CYP (median R2 = 0.62) and crop traits (median R2 = 0.80). The same was true for crop traits retrieval with LAI (CYP median R2 = 0.62 and traits median R2 = 0.85), followed by chlorophyll (crop traits median R2 = 0.70). Document co-citation analysis also found the relevancy of selected articles within the theme of this SLR. This SLR not only focuses on information about the accuracy and reliability of RTMs but also provides comprehensive insight towards understanding RTM applications for crop yield and traits, further exploring possibilities of new endeavors in agriculture, particularly crop yield modeling.
1. Introduction
Crop yield, being the outcome of the crop production process, is a complex phenomenon. It is influenced by almost all biotic and abiotic factors, including genetics, climate, soil quality, pest and disease management, water availability, nutrient availability, farming practices and technological advancements [1]. Interaction among these factors affects crop yield, leading to the size of the overall harvest at the end of the growing season [2]. Thus, analysis of possible factors by farmers, agronomists and researchers is needed to make effective decisions for the maximization of crop production and risk reduction. Crop yield is a crucial phenomenon for predicting and planning food production, assessing the economic viability of agricultural systems, evaluating the impact of climate change on agriculture and developing strategies to meet the growing global food demand [3].
Similar to the crop yield phenomenon, crop yield modeling (CYM) is also a challenging task. Crop yield modeling is multifaceted, as crop yield processes and approaches are time-bound and nonlinear in nature [4]. The large and interconnected range of factors that are affected by external aspects with non-arbitrary relationships make crop yield modeling complex [5]. Despite the complexity of crop yield modeling, global food production requires area assessment, crop protection and crop yield prediction (CYP) to mitigate hunger for ever-rising populations [6]. Moreover, reliable crop yield modeling is also mandatory, as import and export evaluations of agriculture commodities by policymakers depends on the size of the crop during the season [7].
Among different techniques, remote sensing-based agriculture monitoring, including yield prediction, is an advanced and sustainable approach due to its repeatable, non-destructive and comprehensive information-gathering (wall-to-wall coverage) methods [8]. Crop growth models (CGMs) are also effective tools for yield prediction due to their simulation of growth and physiological development. These models, however, lack vegetation reflectance and spatial characteristics, which are a key basis of remote sensing satellite data [9].
The limitation of CGM lacking vegetation reflectance characteristics [9] could be managed through the use of a radiative transfer model (RTM). An RTM can simulate the spectral and bidirectional reflectance of a crop canopy [10], but not its growth or physiological development dynamics. An RTM is a mathematical framework used to simulate and understand the interaction of electromagnetic radiation with the atmosphere, land surface, vegetation cover and other environmental objects. It provides a quantitative description of how radiation propagates through various media, such as the atmosphere, vegetation canopy or water bodies. These models incorporate physical principles, such as the laws of radiative transfer and the optical properties of different materials.
A variety of empirical, remote sensing, growth process, physical and state-of-the-art techniques like machine and deep learning have been investigated. However, as all have their pros and cons, the target of having a single method for crop yield prediction has not been fully achieved. It is, therefore, an integrated approach of new technological advancements to cater to the complexity of the crop yield phenomenon that seems to be promising to optimize crop yield modeling. Different simulation models with machine learning techniques also provide an opportunity to produce reliable and precise predictions of crop yield [11,12]. This integrated approach of remote sensing data, crop growth and radiative transfer models can allow these techniques to cater to the limitations of each other to produce the best possible estimations.
Studies have shown that the integrated modeling framework of crop growth and radiative transfer models results in reliable and comprehensive outputs relevant to temporal changes in response to the spectral reflectance and crop growth behavior underlying physiological developments [13,14,15]. Consequently, promising results of crop yield estimation at the regional scale are possible through remote sensing reflectance assimilation into CGM.
Moreover, there is a rising need to investigate reliable retrieval techniques to achieve quantification and retrieve spatiotemporal information about crop traits. Accurate and reliable quantification of biophysical and chemical parameters is essential for precision agriculture [16], crop trait monitoring [17] and phenotyping [18]. These reliable and accurate quantifications are also vital for improvements in yield prediction [17,19].
Similarly, RTMs are often coupled with remote sensing data, which allows for estimation of important crop variables at larger scales. Remote sensing platforms provide spatially explicit information on crop canopy properties, such as leaf area index (LAI) [20], vegetation indices [16,21] and photosynthetic capacity (biomass) [22]. Integrating remote sensing data with an RTM and CGM enables the estimation of crop yields over large areas, facilitating regional or global assessments of agricultural productivity.
Researchers have worked on novel approaches and algorithms for sustainable management practices in agriculture systems through the estimation of crop physiological processes from Earth Observation (EO) data [23]. They worked on yield prediction and retrieval of biophysical variables of crops for food security through different crop management strategies. Results showed RTM inversion to retrieve LAI, followed by its assimilation into a crop growth model (SAFY), produced more accurate assessments of crop yields compared to open loop model runs. This assimilation approach had an RMSE of 1.14 tons per ha as compared to 4.42 tons per ha for the open loop model [23].
Several articles have been published regarding the use of RTMs in agriculture since 2015. Research studies are even available on RTM applications in aquatic vegetation [24]. However, aquatic vegetation research in this field is limited and faces problems of the complexity of scattering media, ground measurements, model validation and performance evaluation [25]. Researchers are still exploring possibilities for future aquatic vegetation research [24,25]. However, there are hardly any systematic or comprehensive reviews published in any journal that can provide insight into RTM applications for crop yield and crop traits estimation. A few review articles [26,27,28,29,30] relevant to the retrieval of crop traits using RTMs are available. Among these, only the review article [26] outlined a conceptual framework that integrates hybrid retrieval models using parametric and nonparametric techniques to obtain biophysical and biochemical variables (crop traits). The review article, however, lacked information about the accuracy and reliability analysis of these methods to retrieve crop traits. Other review articles contained limited information about radiative transfer models for the retrieval of crop traits. The review article [27] focused on vegetation cover fraction through ground and aerial methods, describing the role of RTMs in retrieval accuracy improvement without any knowledge about other traits or methods. Other review articles [28,29] described the RTM role for crop stress detection, focusing on spectral synergies from multi-sensors [28] and crop nitrogen monitoring in addition to other available remote sensing methods [29]. The review article [30] covered remote sensing applications for agriculture with limited description of RTM utility in the retrieval of primary and agronomic variables. Therefore, we can state that this study is the first systematic literature review (SLR) about the publications relevant to RTM use for crop yield prediction and crop traits retrieval. This review also highlights the outcomes of crop growth model and radiative transfer model integration towards improving crop yield prediction and crop traits retrieval.
This current study will be a valuable resource for researchers interested in understanding RTM research and its integration with CGMs. It offers comprehensive information about their integration and highlights opportunities for further research to enhance current crop yield prediction approaches and crop traits retrieval. While this article reviews the application of RTMs alone or in conjunction with other techniques for predicting crop yield on a large scale, it acknowledges the limited availability of studies on the integrated use of RTMs for crop yield prediction. It is important to note that this article primarily focuses on information extraction and techniques for improving crop yield prediction and crop traits retrieval using RTMs. Moreover, research gaps will also be identified to suggest future areas of improvement in this field.
Crop yield prediction and crop traits retrieval using an RTM, alone or via its integration with a CGM or other advanced techniques, has the potential for improved prediction accuracy, process-based understanding, sensitivity analysis, remote sensing capabilities and enhanced decision support. These approaches offer valuable insights into crop growth dynamics, enable spatially explicit predictions and facilitate targeted interventions for optimizing agricultural productivity.
The above discussion indicates the requirement for a systematic review to provide insight into research studies about RTM applications for crop yield prediction and crop traits retrieval. Hence, the contribution of this article is described here with the below given objectives:
- To observe the current status of research studies pertaining to RTM applications for crop yield prediction and retrieval of crop traits.
- To evaluate the effect of integration of RTMs and CGMs on crop yield prediction
- To assess RTM-based crop traits retrieval.
2. Materials and Methods
Conducting a systematic literature review offers a valuable approach to evaluating theories or evidence within a specific area and assessing the accuracy or validity of particular theories. This review process adhered to the guidelines set forth in the Preferred Reporting Items for Systematic reviews and Meta-Analyses (PRISMA) statement [31,32]. The articles were carefully assessed and filtered based on predetermined quality criteria. This review followed the basic guidelines of PRISMA for the execution and reporting of its findings.
2.1. Search Approach and Search Terms
Two key terms “Crop Yield and Radiative Transfer Model” and “Crop Traits and Radiative Transfer Model” were used as query strings for searching in the selected databases to achieve the objectives of this review. The purpose of using two key terms was to have maximum access to published articles relevant to the review. These terms have high numbers of articles available, particularly in the database ScienceDirect (1604), due to commonly used terms of crop and yield in agriculture studies without relevancy to RTM applications, i.e., [33,34,35,36,37]. Due attention, however, was given so that all the relevant published research papers should be included in this article to avoid the omission of any relevant research paper within the prescribed criteria.
2.2. Timeline and Data Sources
Keeping in view RTM use and recent technological advancements for crop yield prediction, a short timeline from 2015 to June 2023 was selected, as radiative transfer use in agriculture is a recent area of interest from researchers. This timeframe effectively highlights recent advancements and current status, as described in the objectives of the article.
Five electronic databases, namely ScienceDirect, Scopus, Nature, IEEE Xplore and MDPI, were selected as primary data sources to find relevant articles for comprehensive coverage in this review. Moreover, Google Scholar was also used as an external source of studies. Search findings from Google Scholar were merely duplications of primary data sources. As such, after the removal of duplicate articles, only unique results from the primary sources mentioned above were considered in this review.
2.3. Selection Process
The PRISMA flow process was carried out to select the relevant studies. The PRISMA process is presented by Kitchenham and includes four phases [32]. Primary studies from selected databases were collected as the first phase, which was considered to be identification. Screening of collected studies based on titles and abstracts was performed as the second phase to check relevancy with review article objectives. Full articles were compared for inclusion or exclusion to meet the quality criteria, determining their eligibility, as the third phase. The last or fourth phase was regarding the ultimate inclusion of research studies for quantity synthesis.
Following the above-described procedure, a total of 1763 studies were found in the described databases. This huge number of articles was found due to the commonly used terms “crop”, “yield”, “traits” and “model” in agriculture research articles. These terms have high numbers of articles available, particularly in the database ScienceDirect (1604), without any relevancy to RTM applications, i.e., [33,34,35,36,37], which were not included. Similarly, forest-relevant articles [38,39,40], even those having RTM applications, were excluded. Resultantly, a total of 179 articles were relevant to RTM applications for crop yield prediction and crop traits retrieval. Narrowing to the scope of the review, articles that did not have quality evaluation parameters or RTM applications for CYP and crop traits retrieval were also excluded. Thus, a total of 109 research articles were screened. Finally, after removal of 18 duplicated articles among selected databases, a total of 91 publications were included in this SLR that had RTM applications for crop yield prediction and crop traits retrieval. These articles were further segregated into categories relevant to estimated or retrieved features. This process of article screening is recapitulated in a flowchart given below as Figure 1.
Figure 1.
Articles Screening Flowchart.
The following facts have been thoroughly extracted from each article: publication year, information about the dataset, detailed information about features, crop yield prediction based on radiative transfer models and whether they feature integration with crop growth models. The number of selected articles by year and by source are described in the results.
2.4. Inclusion and Exclusion Criteria
Inclusion and exclusion criteria were made and implemented to control eligibility and relevancy of primary selected studies. Keeping in view these criteria, research studies from the above-mentioned sources published in journals were included from the year 2015 to June 2023. Non-English articles and those lacking RTM applications for yield modeling and crop traits retrieval were excluded from this SLR. Similarly, posters, abstracts, conference publications, blog information and Wikipedia data were also excluded. Only published research papers having any evaluation or accuracy criteria were included in this SLR. Research studies (9) having other accuracy criteria, like RMSE, RRMSE, BIAS, or percentage variations, were included in SLR. Meta-analysis, however, was carried out only for those articles (82) with a coefficient of determination (R2). This resulted in the exclusion of 9 included articles during the meta-analysis about accuracy assessment.
2.5. Quality Assessment Criteria
Quality assessment criteria for SLR were also developed. During this criteria implementation, it was ensured that primarily selected articles must have clearly defined objectives and goals. These articles must have novelty, validity or assistance about radiative transfer applications for crop yield prediction or crop traits retrieval. The evaluation criteria, like biases, coefficient of determination or RMSE, etc., of the results were observed as a part of the quality assessment.
Among the total selected 179 articles after the screening phase, 109 articles fully satisfied the quality assessment criteria. Checking of duplicated articles among different databases resulted in the removal of 18 more articles. As such, 91 articles were included in this SLR. These 91 primary selected articles fulfilled the quality assessment criteria mentioned above and were relevant to RTM applications for crop yield prediction (15) and crop traits retrieval (76). Moreover, among these selected research papers (91), only those research papers (82) having a coefficient of determination (R2) were segregated for meta-analysis about accuracy assessment of RTMs and research studies’ outcomes.
Quality assessment under the umbrella of inclusion and exclusion criteria provided additional confidence in the selected articles. It also provided effective coverage to ensure relevant and comprehensive information within the scope of this SLR.
All of these phases were supported and assisted with the help of the Mendeley Desktop software v.1.19.8 [41]. Research papers’ organization, citation and bibliography with reliability were also carried out through this software [41].
2.6. Segregation and Analytics
The selected articles were classified into crop yield prediction and crop traits retrieval as per use of RTMs for analysis. Types of models, crop traits, research area and crops were the main segregating parameters for analysis. These analytics are further explained under the Results Section 3 and Discussion Section 4 to provide insight into this review.
Accuracy of models was evaluated through use of coefficient of determination (R2), root mean square error (RMSE), normalized RMSE (nRMSE) and mean absolute error (MAE). During this review, only the coefficient of determination (R2) was analyzed for accuracy assessment as RMSE evaluation depends on observed values, which were different for different crops and regions/countries of the world.
2.7. Scientometrics Analysis
Scientometrics analysis was also carried out using CiteSpace Software v.6.2.R4 Basic [42]. These analytics provide insight into citations to cover the webometrics, cybermetrics, bibliometrics and informetrics of the selected articles. Relationships between geographical locations and key terms were found through this software. Node and size of the node described the value and number of each geographic location and key term used in the analysis of literature. This helped the effective visualization and relationship identification among countries and the terms used in the literature. Geography or country-wise distribution and publication numbers were part of this SLR to assist with authentication through scientometric analysis using CiteSpace software.
3. Results
Results showed that, among the total selected research papers (91), 15 were CYM related and 76 were crop traits retrieval related. Year-wise and source-wise publications are given in Table 1 and Table 2.
Table 1.
Year-wise distribution of selected articles.
Table 2.
Database source-wise distribution of selected articles.
It can be observed that the highest number (21) of papers were published in 2022, followed by 2021 and 2020. The lower number of publications (8) during 2023 as compared to 2022 and 2021 is due to the half-year period of consideration of publications, ending on 30 June 2023. The lowest number (4) of publications were available for the year 2017. From this, it can also be concluded that RTM use for yield modeling and crop traits retrieval is a new dimension and will be popularized in the coming era, particularly in the context of precision and smart agriculture.
Among database sources, ScienceDirect was a significant source, having the highest number of publications (53), followed by Scopus (18) and MDPI (13).
As per taxonomical arrangement, research articles were segregated into two categories of crop yield prediction and crop traits retrieval. Among the 91 total articles, only 15 were relevant to crop yield prediction and 76 had RTM applications for the retrieval of crop traits. A taxonomical summary of the research studies is given in Figure 2. This taxonomical development gives better representation of results and easier understanding of this study’s analysis. A further detailed taxonomical segregation of each category is also summarized in the results.
Figure 2.
Taxonomical arrangement of selected articles.
3.1. Crop Yield Prediction
In the included articles, RTMs were used alone and in combination with CGMs for CYP. Therefore, this category is further divided into two sections: RTM applications and RTM integration with CGMs.
3.1.1. RTM Applications
There is great potential to develop CYMs based on RTMs, because these RTMs can provide more reliable information on the basis of vegetation reflectance [13,14,15]. Moreover, these RTMs require limited ground information and reliable prediction is possible on the basis of inversion methods of a look-up table (LUT), Gaussian process regression (GPR), and a few others. Still, there were very limited studies (4) on RTM-based models for crop yield prediction.
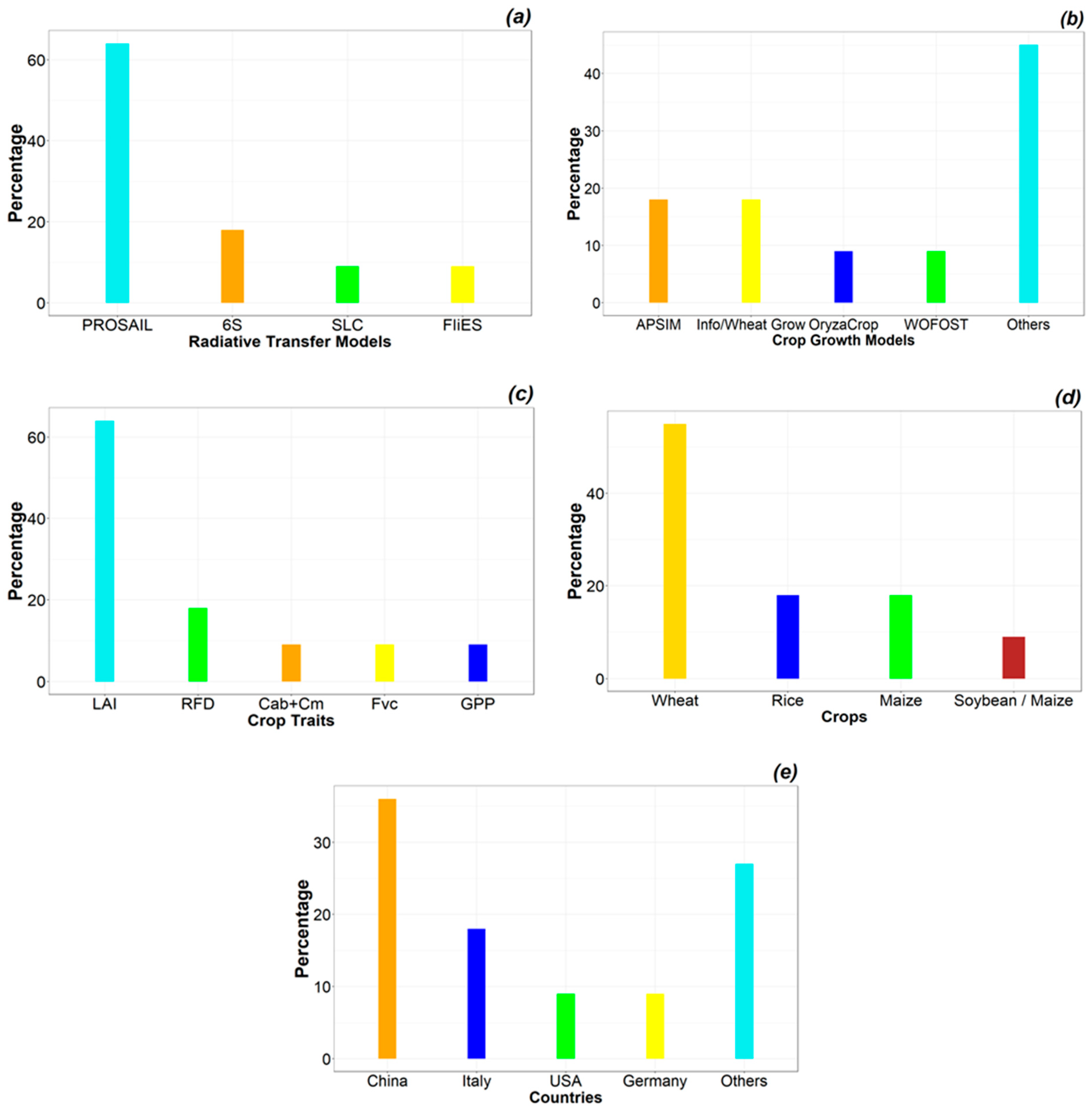
The RTM models used in these studies were PROSAIL [21,43] SCOPE [44] and PILOTE [45]. These articles explored the application of RTMs on wheat (2) and maize (2) crops. Crop traits used for crop yield modeling were leaf area index (LAI) (4), chlorophyll (2), Fraction of Absorbed Photosynthetically Active Radiation (FAPAR) (1), fractional ground cover (Fcover) (1), and nitrogen deficiency-related photosynthesis traits (1). Regional distribution of only RTMs used for CYP described their application in the USA (1), Mexico (1), Germany (1) and Italy (1). Graphs showing the percentage distribution of research papers in terms of RTM models, crop traits, crops and countries are given below in Figure 3.
Figure 3.
Graphs showing RTM-based CYP characteristics. (a) Radiative transfer models used; (b) crop traits investigated; (c) countries of study; (d) crops investigated.
The higher number of crop traits used is due to more than one trait being used per study. LAI (100%) means all studies used LAI, whereas only one study [43] used four crop traits (LAI, Cab, FAPAR and Fcover). The same is the case for crop traits in other studies of CYP and crop trait retrieval sections.
3.1.2. RTM Integration with CGMs
Integration of RTMs with CGMs is extremely limited, with only 11 available studies. Most of the studies have different CGMs integrated and lacked repetitive studies to validate the findings of individual studies with other research outputs featuring the integration of the same RTMs and CGMs. However, this also provides an opportunity for researchers to work on this area so that an integrated approach with more reliability for CYP may be evolved.
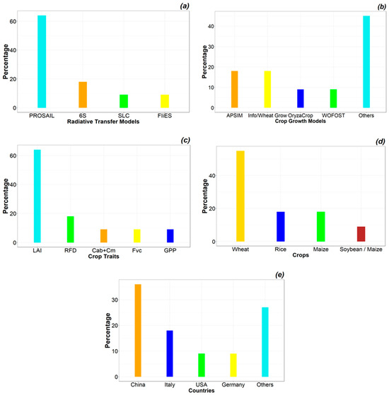
Analysis of the selected articles (11) showed that only four types of RTMs were integrated with 10 different types of CGMs. These RTM models were PROSAIL (7) [19,23,46,47,48,49,50], 6S (2) [51,52], SLC (1) [53] and FLiES (1) [54]. These RTMs were integrated with CGMs, namely APSIM (2), Wheat Grow/Info Wheat Grow (2), Oryza (1), WOFOST (1) and others (5). CGMs grouped under other categories were Aquacrop-OS, PROMET, Geo-CropSim, SAFY and BESS. This grouping helped with the ease of data handling, understanding and analysis. Among crops, the maximum number of integration studies was found for wheat (6), followed by rice (2), maize (2) and one study on maize and soybean. Crop traits used for CYP for integration of RTMs and CGMs were LAI (7), radiation flux density (RFD) (2), chlorophyll ab +dry matter (Cab + Cm) (1), fraction vegetation cover (FVC) (1) and gross primary productivity (GPP) (1). These investigations were distributed geographically as China (4), Italy (2), the USA (1), Germany (1) and Others (3). Other countries were South Korea, Vietnam and India. Research studies depicted that PROSAIL (RTM), APSIM (CGM), Wheat (Crop), LAI (Crop Traits) and China (Country) were distinct features relevant to this integration approach. Graphs showing the percentage distribution of research papers in terms of RTMs, CGMs, retrieved crop traits used, crops and country-wise distribution are given below in Figure 4.
Figure 4.
Graphs showing RTM and CGM integration-based CYP characteristics. (a) RTMs used; (b) CGMs used; (c) crop traits used; (d) crops investigated; (e) countries of study.
A flow chart showing the overall summarized findings and characteristics of the RTMs used for CYP is given below in Figure 5.
Figure 5.
Summary flow chart of RTM-based CYP characteristics.
Due to the limited number of studies relevant to RTM applications for crop yield prediction, the summarized information of each study is given in Table 3 to highlight the specific findings.
Table 3.
Summarized information of RTM-based Crop Yield Prediction Articles.
3.2. Crop Traits Retrieval
Crop traits are very important parameters, as not only does crop productivity depend on it but increased crop yield is also linked to the selection of the best crop traits for breeding technologies and crop management measures that target sustainable increases in total productive potential [55]. As such, reliable estimation of crop traits will not only aid in reliable yield prediction, but also contribute towards technology-oriented decision-making for smart and precision agriculture. It was, however, observed that despite significant research articles (76), there is little utilization of these traits towards decision-making to benefit crop field operations. Increasingly, research studies towards reliable estimation have the potential to be utilized in crop field operations not only for CYM but also to promote smart/precision agriculture [56].
During this SLR, a total of 76 papers were found that described RTMs used for crop traits retrieval. Different models used for crop traits retrieval were classified into five categories of PROSAIL (53) including all types of PROSAIL PRO, D or different inversion methods [17,20,56,57,58,59,60,61,62,63,64,65,66,67,68,69,70,71,72,73,74,75,76,77,78,79,80,81,82,83,84,85,86,87,88,89,90,91,92,93,94,95,96,97,98,99,100,101,102,103,104,105,106], PROSPECT (7) [107,108,109,110,111,112,113], PROCOSINE (4) [22,114,115,116], SCOPE (5) [117,118,119,120,121] and Others (7) [40,122,123,124,125,126,127]. The Community Microwave Emission Model (CMEM), Polynomial Chaos Expansion (PCE) MetaModel, SunScan (SS1), Fluorescence Correction Vegetation Index (FCVI), REGularized canopy reFLECtance (REGFLEC) and Fluspect-CX + SAIL (Flusail) were a few of the relevant RTMs grouped under Others.
PROSAIL was the most prevalent RTM, featuring in more than 70 percent of crop traits studies, followed by PROSPECT alone and SCOPE. The most frequent use of the PROSAIL model can be attributed to its ease of use, robustness and consistent validation through several experiments in lab, field and space [10]. Crop traits retrieved through the use of various RTMs were classified into five categories of LAI, chlorophyll, biomass, water content, and others. All traits relevant to chlorophyll like chlorophyll a, b (Cab), leaf chlorophyll content (LCC), canopy chlorophyll content (CCC), etc., were grouped under chlorophyll, while biomass-relevant traits like above ground biomass (AGB) (wet or dry), leaf mass per area (LMA), gross primary productivity (GPP), net primary productivity (NPP), etc., were grouped under biomass. Similarly, equivalent water thickness (EWT), water content (Cw), crop canopy water content (CCWC), etc., were grouped under water content. Remaining traits like carotenoid content (Car), brown pigment (Cb), soil moisture, diseases, average leaf inclination angle (ALIA), etc., were grouped under others. LAI (71% of total studies) and chlorophyll (76% of total studies) were the most-investigated crop traits. These investigations were motivated by the crucial importance of these traits in describing crop health, directly linked to crop yield.
Wheat, maize and rice were major crops for crop trait retrieval investigations accounting for 20, 19, and 15 percent of studies, respectively. Publications that had examined more than one crop were grouped under multiple crops with a share of 27%. Other categories consisted of crops having one or two research investigations like sugarcane (1), cotton (1), banana (1), grasses (2), raya (1), etc., with a share of 20% among total studies relevant to retrieval of crop traits. China, the USA and Germany were the primary users of RTMs for the retrieval of crop traits. China has a lead with 39% of publications, followed by the USA (15%), Germany (12%), Italy (8%) and others (27%). Remaining countries like India (2), France (2), Australia (2), etc., were grouped under others and represent 27% of the publications. Thus, it is evident that RTMs are popular in China, as given in Figure 6d, as numerous studies rely on these models to derive reliable information for crop traits retrieval. Graphs showing the percentage distribution of research papers in terms of RTMs, crop traits, investigated crops and country-wise distribution are given below in Figure 6.

Figure 6.
RTM-based crop trait characteristics. (a) RTMs used; (b) crop trait retrieval; (c) crops investigated; (d) countries of study.
A flow chart showing overall summarized findings and characteristics of the RTMs used for the retrieval of crop traits is given below in Figure 7.
Figure 7.
Summary flow chart of RTM-based retrieved crop traits characteristics.
3.3. Accuracy Assessment Analytics
The coefficient of determination (R2) was selected as the evaluation criteria for RTMs’ accuracy performance. It was opted for because R2 is a statistical measure that provides valuable insights about model performance and the proportion of variance among dependent variables (yield and crop traits) and independent variables (crops, models and model inputs). Analysis for R2 is depicted as a boxplot to display the performance information for RTMs, retrieved crop traits and crops. Statistical parameters such as the mean, median, min, max, and 1st and 3rd quartile were used to describe the behavior of the consistency, reliability and range of R2 among different research studies pertinent to models, crops and traits. This analysis is also divided into two sections, (i) CYP and (ii) retrieved crop traits, for a comprehensive understanding of this SLR’s results.
3.3.1. Radiative Transfer Models Used for CYP
Evaluation of accuracy for CYP was performed cumulatively for the RTMs used alone or integrated with CGMs. The reason for this cumulative analysis was that RTMs alone (4 screened articles) have a limited number of articles. Moreover, integrated RTMs also have limited screened articles where the integration of the same CGM and RTM was studied. There were two articles where APSIM (CGM) and 6S (RTM) [51,52] were used, with a difference of study area only. The remaining RTM and CGM integrations in relevant screened articles feature different CGMs. Therefore, the R2 analysis did not provide any insight into the performance of CGMs with different crops or retrieved crop traits. The RTM boxplot (Figure 8) showed that PROSAIL is the only model with a reasonable number of studies for analysis. PROSAIL had a maximum R2 value of 0.96, with median and mean values of 0.62 and 0.59. The PROSAIL model boxplot showed an R2 value of 0.11 as an outlier (dot in the boxplot) for the wheat yield estimated via integration with the Aquacrop-OS Model [47]. This outlier was only present in yield estimation; otherwise, FVC retrieval and biomass estimation had a good relationship, with R2 values of 0.76 and 0.51, respectively. The 6S model had a maximum R2 value of 1, with a mean and median of 0.90 and 0.93, respectively. However, in these research studies [51,52], only radiation flux density (RFD) was measured instead of crop traits, and variation in R2 values was due to changes in the area of the studies in different provinces of China. There is a need to evaluate APSIM model integration using crop traits with RTMs, particularly of PROSAIL as APSIM and PROSAIL are popular CGMs and RTMs, respectively. Some papers calculated R2 values separately for each crop trait, each crop or each area in the study. Therefore, the count of data in the analysis is greater than the total number of papers selected.
Figure 8.
Graph showing RTM-based accuracy assessment analysis.
3.3.2. Crop Traits Used for CYP
RFD has the highest accuracy, even reaching 1 at the Hefei and Taihu AErosol RObotic NETwork (AERONET) monitoring stations in the Anhui province. There were, however, only two research articles where RFD was used to assess biomass and yield for maize crop, and only in ten provinces of China. Further applications of RFD with other CGMs and RTMs can explore its true potential for CYP. Other crop traits, however, have variance, with the most frequent use being LAI. This is because LAI is the only parameter that is processed and linked by both types of models. The GPP trait also had high accuracy (0.82), but was limited to only one study. Similar is the case with FVC (1 article), which has the lowest accuracy of 0.11 for yield prediction, as shown in Figure 9. Only crop yield prediction had this low of a R2 value; otherwise, FVC retrieval has an R2 value of 0.76.
Figure 9.
Graph showing crop traits used by RTMs for CYP.
3.3.3. Crops Used for CYP
The boxplots for the coefficient of determination relevant to various crops are given in Figure 10. Maize has a maximum R2 value of 1, followed by wheat at 0.93 and rice at 0.82. However, there was only one article available for rice crop, which needs more authentication through further investigations. The same is the case with soybean, which had only one research article with four R2 values due to two growing seasons (2012 and 2015) from irrigated and non-irrigated areas of Nebraska state in the USA. The outlier with an R2 value of 0.11 was for wheat crop, due to the FVC trait found in the crop trait analytics [47].
Figure 10.
Graph showing crops used by RTMs for CYP.
3.3.4. Radiative Transfer Models Used for Crop Traits Retrieval
Crop traits retrieval using RTMs indicated greater reliability when compared to CYP. This could be due to more investigations and research on crop traits retrieval as compared to CYP. The high accuracy of the SCOPE model as given in Figure 11 was due to limited studies as compared to PROSAIL and PROSPECT. Mean values of R2 were in the range of 0.70 to 0.80, except for PROCOSINE, describing the similar nature of most RTMs. This is because PROSPECT is an integral part for most of the RTMs for leaf reflectance. Analytics of R2 for PROSAIL and PROCOSINE showed outliers (dots) in the data, as given in Figure 11. This was due to very low values found in studies [73,85,92,104,114]. The lower R2 = 0.22 in the selected article was due to remotely sensed biomass, actual RPM observations and limited ground measurements [85]. However, in the case of [73], Cw had lower value of R2 = 0.30; otherwise, retrievals of other traits had good R2 values for LAI (0.90), Cab (0.71) and CCC (0.89). Retrieval of Cw with poor accuracy of R2 = 0.30 was, however, due to the narrow variation range in the dataset. A similar limitation of low Cw accuracy (R2 = 0.29) was found in the article [104]. These retrieval accuracies may be improved for canopies having a wide range of variations. However, in the outlier case of [92], low LCC accuracy (R2 = 0.11) was found due to poor signal propagation from the leaves and small LCC variance in the datasets. Researchers were also of the view that the lower accuracy of Cw, with R2 = 0.14, may be due to spectral differences in two datasets, and bias or uncertainty in experiments of two datasets [114].
Figure 11.
Graph showing RTMs used for crop traits.
3.3.5. Crop Traits Retrieval through RTMs
LAI accuracy analytics showed that it was not only the most investigated crop trait but had high accuracy and reliability for all analytics, given in Figure 12, as compared to other traits. Similar was the case with chlorophyll, which also had good accuracies with a minimum R2 value of 0.11 (for LCC) and a median of 0.70. Lower accuracies with biomass, water contents and others can be attributed to narrow variation ranges and limited investigations. Outliers [73,92,98,102,104,114] of RTM analytics shown as dots in Figure 12 were associated with LAI [102], LCC [92,98], Cw [73,114] and LWC [104]. The reasons for these outliers were related to the narrow variation ranges of datasets. However, in the case of LAI [102], it was due to soil type background variations resulting in low accuracy, whereas for LCC and LWC [98], it was due to numerous crops (winter and spring cereals, fodders, etc.) with varying growth stages across the season.
Figure 12.
Graph showing crop traits retrieval accuracy using RTMs.
3.3.6. Crops Used for RTM-Based Crop Traits Retrieval
Crops analytics for accuracy assessment, as given in Figure 13, showed that maize crops had high and consistent accuracy for R2 values with min, median and max values of 0.37, 0.85 and 0.95, respectively. Similar was the situation with wheat and rice investigations, which had good accuracy values of R2 for analytical parameters, as given in Figure 13. All screened articles that had more than one crop investigation were grouped under multiple crops and had reliable accuracies of R2 values. Grasses, pastures and other vegetables or high-value crops were grouped under others. Crops having outliers [92,98,104,114] shown as dots in Figure 13 were rice, maize and multiple crops, respectively. These outliers were not due to the specific crops but instead mainly linked to narrow variation ranges of crop traits and RTMs. However, in this case [98], it was due to the seasonal study of winter and spring cereals, fodders and many other crops with varying crop growth stages.
Figure 13.
Graph showing crops used for RTM-based crop traits retrieval.
Cereals (wheat, rice and maize) cumulatively constitute more than 50% of the total available studies (Figure 6) of RTM applications for crop traits retrieval. There is a need to include other major crops like cotton, sugarcane or orchards to broaden the scope and application of RTMs for crop traits retrieval.
3.4. Scientometrics Analysis
CiteSpace software v.6.2.R4 Basic has the ability to provide citation analytics of references based on keywords, subject, terms and abstracts. Although meta-analysis is specific to the criteria defined in this SLR considering PRISMA guidelines, scientometrics provides detailed information relevant to citations based on selected databases like Web of Science (WoS), Scopus and a few others. For example, the systematic review in this article covered the characteristics described in the included publications without any consideration of the citations of selected articles, but scientometrics is mainly concerned with citations.
Among the screened 91 articles, WoS refined articles were 87 with citations of 2832. WoS did not include publications with no index. There were four Not Indexed [56,63,67,73] articles among the selected articles that were not included in the scientometrics analysis. Web of Science accepted 87 articles for the Scientometrics analysis text list for use in CiteSpace Software. As per WoS analysis, year-wise publications and citation trends are given in the graph as Figure 14. The graph shows that citations have seen an increasing trend since 2015 (except for 2023, due to the short timeline ending in June 2023). This also indicates the dynamic interest of researchers in recent years to work on RTM applications in CYP and crop traits retrieval. Thus, the selection of a timeline from 2015 to June 2023 was appropriate, as evident from citation growth trend, for comprehensive knowledge sharing during this SLR.
Figure 14.
Year-wise publications and citation trend (WoS).
Scientometrics analysis was conducted for document co-citations of sorted (87) articles with an unlimited look-back years condition. The rest of the default settings were followed for the analysis. The analysis resulted in merged network nodes of 292 for 1121 links, describing an average link amount of 3.94 per node. Document co-citation clustering analysis based on keywords using CiteSpace is shown in Figure 14. Among clusters, agronomic variables and RTM inversion models were most relevant, followed by Sentinel-2 and winter wheat keywords cited in the document co-citations. The document co-citation analysis also covered the key theme of RTMs described in this SLR. Moreover, this analysis found four references with the strongest citation bursts, with details given in Figure 15.
Figure 15.
Co-citation analysis [42] based on keywords using CiteSpace.
Country analytics of the document co-citations showed that China was the largest node with 38 counts, followed by the USA with a count of 18. China document co-citations are linked to England, Italy and France, whereas the USA is mainly linked to the Netherlands and a few others, as shown in Figure 16.
Figure 16.
Country wise publication Cluster Nodes and Links.
In our study, we employed CiteSpace v.6.2.R4 Basic to analyze the scholarly land-scape from 2015 to 2023. The analysis, conducted on 14 August 2023, revealed a network of 47 nodes and 163 edges, with a density of 0.1508. The 30 largest connected components covered 72% of the network, and 1.0% of nodes were labeled. The selection criteria included Gindex (k = 25) and LRF = −1.0, among others. The pruning method applied was Pathfinder, resulting in a modularity (Q) of 0.4127 and a weighted mean silhouette (S) of 0.9982. The harmonic mean (Q, S) was calculated as 0.584.
4. Discussion
4.1. Crop Yield Prediction
Crop yield prediction is a new research area for RTM applications. The limited number of studies (15) of RTM applications did not provide enough information for a comprehensive systematic review. It is, however, indicative for researchers to employ RTMs specifically to crop monitoring and CYP. These studies mainly focused on LAI use for crop monitoring or linkage for integration with other models. Investigation of the retrieval of other crop traits, particularly of net primary productivity or above-ground biomass exploration towards applications for RTM-based CYP, could provide further benefits in reliability and accuracy enhancement. Similarly, developing CGMs having more crop traits coupling abilities, like APSIM or better, can provide more accurate input information for RTMs. Most CGMs are limited to simulating LAI that can be used as an input in RTMs for CYP.
The availability of repeated research provides information about reliability and improvement. RTM-based CYP lacks reputative studies for evaluation of the integration impacts in different environmental scenarios. Only two studies have used APSIM (CGM) and 6S (RTM) [51,52] for maize yield loss, having high accuracy. Cereals (wheat, rice and maize) are priority crops under investigation due to their linear relationship between LAI and crop yield. The many crops that have a nonlinear relationship, like cotton, are another research area to be addressed by researchers.
Research study [48] relevant to CYP was the most cited study, with a per-year average citation of 17.2. This study worked on winter wheat regional estimates using the integration of the WOFOST and PROSAIL models. Although model efficiency was good, with an RMSE of 595 kg/ha, it had an R2 of 0.30. Similarly, study [51] had a high R2 of up to 1 in some provinces of China, but had a limited average citation rate of 3.75 per year. This study used the integration of APSIM and 6S models for the assessment of maize production. It is therefore a vigorous study in this area that will not only improve the efficiency of models in different scenarios but will also be helpful in the development of new models.
4.2. Crop Traits Retrieval
Crop traits retrieval based on RTMs is a key step towards developing a reliable CYP system. The investigation of more crop traits retrieval through RTMs and/or integration with CGMs could be vital, not only for CYP systems but also for precision and smart agriculture to have data-driven decisions. Currently, all investigations mainly focus on LAI and/or chlorophyll retrievals through RTMs. Other crop traits like net primary productivity or above ground mass need much more investigation for the improvement of the reliability and retrieval efficiency of models as well as these traits.
The highest average citation rate, for the study [58], was 25.0, with a minimum citation of 1 in the year 2015 and a maximum of 47 in the year 2023. This study has an R2 of 0.928 with an RMSE of 0.485 through the PROSAIL model. Thus, in the case of crop traits, reliable information for LAI retrieval based on RTMs is possible, mainly due to significant (total, 54) research studies. However, the retrieval of a few other crop traits still needs the attention of researchers for reliability and efficiency. In the study [73], crop water content (Cw) had a lower value of R2 = 0.30, but in the same study other crop traits, LAI (R2 = 0.90), Cab (R2 = 0.71) and CCC (R2 = 0.89), indicated good retrieval performance of the model. The reason identified was the narrow variation range in the dataset, thus describing the limitation of RTMs to cater to the impact of narrow variations on the retrieval of crop traits.
4.3. Findings, Challenges, and Research Scope
Following future research intentions, along with knowledge gaps, are suggested for researchers based on the findings of this SLR. This will provide a way forward to improve the scope and accuracy of RTM-based CYP and crop traits retrieval.
- During this SLR, it was identified that there is a lack of consistent research for RTM-based crop yield modeling. Repeated research will improve RTMs and pave the way for more reliability and consistency for decision making.
- Most CGMs, like WOFOST, DSSAT, etc., have only LAI as a crop trait for integration with RTMs for CYP due to coupling problems. The addition of more crop traits along with efficient and accurate coupling techniques could provide scope for reliable CYP and further applications of CGM and RTM integration to assist in smart, precision agriculture.
- These limited parameters, mostly LAI and ground measurements, hinder model validation, particularly of canopy structure, leaf, and soil properties. Robust and efficient technique development will improve model validation.
- Among the available popular CGMs, APSIM is the only model that can provide a high number of crop traits, such as LAI, chlorophyll ab, leaf dry matter (Cm) and leaf water content (Cw). These crop traits can be integrated with RTMs for CYP. Currently, within the criteria of this SLR, two research studies [51,52] have used APSIM for CYP. These research studies used RFD instead of crop traits for CYP. A crop trait simulation through APSIM used as an input for an RTM can provide a straightforward specific solution to the problem of optimal solution search from the inversion techniques like LUT. No research is currently available for APSIM and RTM integration-based CYP, an area with the potential to provide viable solutions.
- Most RTM-based applications in agriculture are specific to cereals (wheat, rice and maize). Many crops are still not investigated for RTM-based estimation for crop traits and CYP. Cotton and sugarcane are cash crops, but still have no RTM-based CYP studies. This may be due to the limitations of models. Developing crop-specific or crop group-specific RTM can be very useful, robust and efficient for reliable CYP.
- Research studies are mostly confined to a few countries. In Asia, China is the major country working on RTM applications for agriculture. Other countries like Russia, India, Pakistan and Bangladesh should also be included for RTM applications in agriculture.
- The outlier of R2 = 0.11 in the study [47] for yield estimation was due to calibration against a few pixels for optimal parameter identification. Parcel-based calibration of RTM-based CYP is another area for further investigation.
- Spatial heterogeneity among fields due to crop density variations is another area not addressed by RTMs. RTM applications for parcel-based calibrations to account for crop density variations can improve RTM efficiency for CYP.
- RTMs have the limitation of not catering to the narrow variations in datasets, as in the case of [73], for retrieval of Cw (R2 = 0.30). RTMs should respond to narrow variations, as crops with narrow growth variations have different yields.
- Crop phenology development resulted in variations of crop traits dynamics. Capturing these crop traits dynamics over time is challenging but has a key role in enhancing model accuracy for CYP.
- New computational techniques like machine and deep learning have the potential to improve CYP. This, however, needs training datasets and ground information for model training. RTM integration with CGM outputs with state-of-the-art computational techniques [128] is another research focus area. The same approach could be effective in CYP subjected to research investigations in this field.
5. Conclusions
This SLR provides a comprehensive understanding of RTM applications for crop yield and traits retrieval as per the described criteria. It can be concluded from this SLR that RTMs are significantly effective in crop yield prediction and crop traits retrieval. This is because the radiative transfer model’s philosophy is similar to crop growth linked to radiation’s reflectance, absorbance and transmission. Still, this area needs the attention of researchers for further exploration to benefit agriculture with enhanced crop productivity. The limited number of studies of crop yield prediction, however, indicate a research gap for further investigation, particularly through integration with crop growth models to strengthen information reliability and accuracy. Moreover, there is a need for more radiative transfer models that have ability to capture small trait variations. Similarly, RTMs other than PROSAIL also need further research to explore their potential for crop yield prediction and crop traits retrieval. This will improve crop traits retrieval accuracy, leading to improvements in crop yield modeling. Most RTMs and CGMs connecting through LAI is another area of research focus, in order to have other crop traits for strengthening this connectivity. The addition of investigations into crops other than cereal could broaden the base of RTM applications to explore its potential and enhance research activities in this field. In the future, as crop traits and their retrieval accuracy are improved, crop productivity will also be enhanced due to effective decision-making and crop growth monitoring being used to mitigate the challenges of food security.
Author Contributions
Conceptualization, R.A.F.I. and G.Z.; methodology, R.A.F.I., G.Z., C.T. and O.-u.-R.; formal analysis, R.A.F.I.; investigation, R.A.F.I. and C.T.; resources, Y.T. and H.J.; data curation, R.A.F.I. and O.-u.-R.; writing—original draft preparation, R.A.F.I.; writing—review and editing, G.Z., Y.T. and G.J.; visualization, R.A.F.I.; funding acquisition, G.Z. and G.J. All authors have read and agreed to the published version of the manuscript.
Funding
This research was funded by the National Natural Science Foundation of China (grant number 41971320), Beijing Natural Science Foundation (grant number 162028), the Science and Technology Program of Yunnan Province, China (grant number 202102AE090051) and the Study on Carbon Neutrality Benefits and Contribution Accounting of Three Gorges Reservoir (grant number 102126222020270019081).
Data Availability Statement
All the relevant data (screened articles) is available in the manuscript as references and graphs.
Acknowledgments
The author wants to acknowledge the support and dedication of Shahida Perveen, Abdul Hadi Rao, Muhammad Saadi, Syed Roshaan Ali Shah and Yasir Shabbir for completing this manuscript. Their support made it possible to complete this task in a short period. Moreover, we are grateful to Chen and his team for the development of CiteSpace. A free and effective source, not only for scientometrics and bibliometric analysis, but also for comprehensive visualizations relevant to the research interest. We are also grateful to Franz Pablo Antezana Lopez, Aamir Ali, Muhammad Imran, Haseeb-ur-Rehman and M. Kamran Lodhi for reviewing this manuscript.
Conflicts of Interest
The authors declare no conflicts of interest.
Abbreviations
| Sr | Abb | Word/Phrase |
| 1 | ALIA | Average Leaf Inclination Angle |
| 2 | APSIM | Agricultural Production Systems sIMulator |
| 3 | AGB | Above Ground Biomass |
| 4 | Cab | Chlorophyll a and b |
| 5 | Car | Carotenoid content |
| 6 | Cb | Brown Pigment |
| 7 | CCC | Canopy Chlorophyll Content |
| 8 | CCWC | Crop Canopy Water Content |
| 9 | CGM | Crop Growth Model |
| 10 | CMEM | Community Microwave Emission Model |
| 11 | Cw | Water Content |
| 12 | Cxc | Carotenoid |
| 13 | CYM | Crop Yield Modeling |
| 14 | CYP | Crop Yield Prediction |
| 15 | EWT | Equivalent Water Thickness |
| 16 | FAPAR | Fraction of Absorbed Photosynthetically Active Radiation |
| 17 | Fcover | Fractional Ground Cover |
| 18 | FCVI | Fluorescence Correction Vegetation Index |
| 19 | FVC | Fraction of vegetation cover |
| 20 | FLiES | Forest Light Environmental Simulator |
| 21 | Flusail | Fluspect-CX + SAIL |
| 22 | GPP | Gross Primary Productivity |
| 23 | GPR | Gaussian Process Regression |
| 24 | LAI | Leaf Area Index |
| 25 | LCC | Leaf Chlorophyll Content |
| 26 | LMA | Leaf Mass per Area |
| 27 | N | Nitrogen |
| 28 | NPP | Net Primary Productivity |
| 29 | PCE | Polynomial Chaos Expansion |
| 30 | PRISMA | Preferred Reporting Items for Systematic Reviews and Meta-Analyses |
| 31 | PROSAIL | PROSPECT (Leaf) and SAIL (Canopy) Models |
| 32 | R2 | Coefficient of Determination |
| 33 | REGFLEC | REGularized canopy reFLECtance |
| 34 | RFD | Radiation Flux Density |
| 35 | RPM | Rising Plate Meter |
| 36 | RTM | Radiative Transfer Model |
| 37 | SAFY | Simple Algorithm for Yield |
| 38 | SCOPE | Soil-Canopy Observation of Photochemistry and Energy fluxes |
| 39 | SLC | Soil Leaf Canopy |
| 40 | SLR | Systematic Literature Review |
| 41 | SS1 | SunScan |
| 42 | 6S | Second Simulation of a Satellite Signal in the Solar Spectrum |
| 43 | WoS | Web of Science |
| 44 | WOFOST | WOrld FOod STudies |
References
- Pantazi, X.E.; Moshou, D.; Alexandridis, T.; Whetton, R.L.; Mouazen, A.M. Wheat Yield Prediction Using Machine Learning and Advanced Sensing Techniques. Comput. Electron. Agric. 2016, 121, 57–65. [Google Scholar] [CrossRef]
- Holzman, M.E.; Carmona, F.; Rivas, R.; Niclòs, R. Early Assessment of Crop Yield from Remotely Sensed Water Stress and Solar Radiation Data. ISPRS J. Photogramm. Remote Sens. 2018, 145, 297–308. [Google Scholar] [CrossRef]
- Jones, E.J.; Bishop, T.F.A.; Malone, B.P.; Hulme, P.J.; Whelan, B.M.; Filippi, P. Identifying Causes of Crop Yield Variability with Interpretive Machine Learning. Comput. Electron. Agric. 2022, 192, 106632. [Google Scholar] [CrossRef]
- Whetton, R.; Zhao, Y.; Shaddad, S.; Mouazen, A.M. Nonlinear Parametric Modelling to Study How Soil Properties Affect Crop Yields and NDVI. Comput. Electron. Agric. 2017, 138, 127–136. [Google Scholar] [CrossRef]
- Dash, Y.; Mishra, S.K.; Panigrahi, B.K. Rainfall Prediction for the Kerala State of India Using Artificial Intelligence Approaches. Comput. Electr. Eng. 2018, 70, 66–73. [Google Scholar] [CrossRef]
- Li, S.; Peng, S.; Chen, W.; Lu, X. INCOME: Practical Land Monitoring in Precision Agriculture with Sensor Networks. Comput. Commun. 2013, 36, 459–467. [Google Scholar] [CrossRef]
- Rashid, M.; Bari, B.S.; Yusup, Y.; Kamaruddin, M.A.; Khan, N. A Comprehensive Review of Crop Yield Prediction Using Machine Learning Approaches with Special Emphasis on Palm Oil Yield Prediction. IEEE Access 2021, 9, 63406–63439. [Google Scholar] [CrossRef]
- Adhikary, S.; Biswas, B.; Kumar Naskar, M.; Mukherjee, B.; Pratap Singh, A.; Atta, K. Remote Sensing for Agricultural Applications. In Arid Environment—Perspectives, Challenges and Management; IntechOpen: London, UK, 2023. [Google Scholar] [CrossRef]
- Kasampalis, D.A.; Alexandridis, T.K.; Deva, C.; Challinor, A.; Moshou, D.; Zalidis, G. Contribution of Remote Sensing on Crop Models: A Review. J. Imaging 2018, 4, 52. [Google Scholar] [CrossRef]
- Jacquemoud, S.; Verhoef, W.; Baret, F.; Bacour, C.; Zarco-Tejada, P.J.; Asner, G.P.; François, C.; Ustin, S.L. PROSPECT + SAIL Models: A Review of Use for Vegetation Characterization. Remote Sens. Environ. 2009, 113, S56–S66. [Google Scholar] [CrossRef]
- Basso, B.; Liu, L. Seasonal Crop Yield Forecast: Methods, Applications, and Accuracies, 1st ed.; Elsevier: Amsterdam, The Netherlands, 2019; Volume 154. [Google Scholar]
- Shahhosseini, M.; Martinez-Feria, R.A.; Hu, G.; Archontoulis, S.V. Maize Yield and Nitrate Loss Prediction with Machine Learning Algorithms. Environ. Res. Lett. 2019, 14, 124026. [Google Scholar] [CrossRef]
- Thorp, K.R.; Wang, G.; West, A.L.; Moran, M.S.; Bronson, K.F.; White, J.W.; Mon, J. Estimating Crop Biophysical Properties from Remote Sensing Data by Inverting Linked Radiative Transfer and Ecophysiological Models. Remote Sens. Environ. 2012, 124, 224–233. [Google Scholar] [CrossRef]
- Wu, L.; Liu, X.; Wang, P.; Zhou, B.; Liu, M.; Li, X. The Assimilation of Spectral Sensing and the WOFOST Model for the Dynamic Simulation of Cadmium Accumulation in Rice Tissues. Int. J. Appl. Earth Obs. Geoinf. 2013, 25, 66–75. [Google Scholar] [CrossRef]
- Zhou, G.; Liu, X.; Zhao, S.; Liu, M.; Wu, L. Estimating FAPAR of Rice Growth Period Using Radiation Transfer Model Coupled with the WOFOST Model for Analyzing Heavy Metal Stress. Remote Sens. 2017, 9, 424. [Google Scholar] [CrossRef]
- Tao, H.; Feng, H.; Xu, L.; Miao, M.; Long, H.; Yue, J.; Li, Z.; Yang, G.; Yang, X.; Fan, L. Estimation of Crop Growth Parameters Using UAV- Based Hyperspectral Remote Sensing Data. Sensors 2020, 20, 1296. [Google Scholar] [CrossRef] [PubMed]
- Jay, S.; Maupas, F.; Bendoula, R.; Gorretta, N. Retrieving LAI, Chlorophyll and Nitrogen Contents in Sugar Beet Crops from Multi-Angular Optical Remote Sensing: Comparison of Vegetation Indices and PROSAIL Inversion for Field Phenotyping. Field Crops Res. 2017, 210, 33–46. [Google Scholar] [CrossRef]
- Impollonia, G.; Croci, M.; Martani, E.; Ferrarini, A.; Kam, J.; Trindade, L.M.; Clifton-Brown, J.; Amaducci, S. Moisture Content Estimation and Senescence Phenotyping of Novel Miscanthus Hybrids Combining UAV-Based Remote Sensing and Machine Learning. GCB Bioenergy 2022, 14, 639–656. [Google Scholar] [CrossRef]
- Dhakar, R.; Sehgal, V.K.; Chakraborty, D.; Sahoo, R.N.; Mukherjee, J.; Ines, A.V.M.; Kumar, S.N.; Shirsath, P.B.; Roy, S.B. Field Scale Spatial Wheat Yield Forecasting System under Limited Field Data Availability by Integrating Crop Simulation Model with Weather Forecast and Satellite Remote Sensing. Agric. Syst. 2022, 195, 103299. [Google Scholar] [CrossRef]
- Yang, Y.; Huang, Q.; Wu, Z.; Wu, T.; Luo, J.; Dong, W.; Sun, Y.; Zhang, X.; Zhang, D. Mapping Crop Leaf Area Index at the Parcel Level via Inverting a Radiative Transfer Model under Spatiotemporal Constraints: A Case Study on Sugarcane. Comput. Electron. Agric. 2022, 198, 107003. [Google Scholar] [CrossRef]
- Kayad, A.; Rodrigues, F.A.; Naranjo, S.; Sozzi, M.; Pirotti, F.; Marinello, F.; Schulthess, U.; Defourny, P.; Gerard, B.; Weiss, M. Radiative Transfer Model Inversion Using High-Resolution Hyperspectral Airborne Imagery—Retrieving Maize LAI to Access Biomass and Grain Yield. Field Crops Res. 2022, 282, 108449. [Google Scholar] [CrossRef]
- Wang, S.; Guan, K.; Wang, Z.; Ainsworth, E.A.; Zheng, T.; Townsend, P.A.; Li, K.; Moller, C.; Wu, G.; Jiang, C. Unique Contributions of Chlorophyll and Nitrogen to Predict Crop Photosynthetic Capacity from Leaf Spectroscopy. J. Exp. Bot. 2020, 72, 341–354. [Google Scholar] [CrossRef]
- Pignatti, S.; Casa, R.; Laneve, G.; Li, Z.; Liu, L.; Marzialetti, P.; Mzid, N.; Pascucci, S.; Silvestro, P.C.; Tolomio, M.; et al. Sino–EU Earth Observation Data to Support the Monitoring and Management of Agricultural Resources. Remote Sens. 2021, 13, 2889. [Google Scholar] [CrossRef]
- Zhou, G.; Niu, C.; Xu, W.; Yang, W.; Wang, J.; Zhao, H. Canopy Modeling of Aquatic Vegetation: A Radiative Transfer Approach. Remote Sens. Environ. 2015, 163, 186–205. [Google Scholar] [CrossRef]
- Zhou, G.; Yang, S.; Sathyendranath, S.; Platt, T. Canopy Modeling of Aquatic Vegetation: A Geometric Optical Approach (AVGO). Remote Sens. Environ. 2020, 245, 111829. [Google Scholar] [CrossRef]
- Abdelbaki, A.; Udelhoven, T. A Review of Hybrid Approaches for Quantitative Assessment of Crop Traits Using Optical Remote Sensing: Research Trends and Future Directions. Remote Sens. 2022, 14, 3515. [Google Scholar] [CrossRef]
- Li, L.; Mu, X.; Jiang, H.; Chianucci, F.; Hu, R.; Song, W.; Qi, J.; Liu, S.; Zhou, J.; Chen, L.; et al. Review of Ground and Aerial Methods for Vegetation Cover Fraction (FCover) and Related Quantities Estimation: Definitions, Advances, Challenges, and Future Perspectives. ISPRS J. Photogramm. Remote Sens. 2023, 199, 133–156. [Google Scholar] [CrossRef]
- Berger, K.; Machwitz, M.; Kycko, M.; Kefauver, S.C.; Van Wittenberghe, S.; Gerhards, M.; Verrelst, J.; Atzberger, C.; van der Tol, C.; Damm, A.; et al. Multi-Sensor Spectral Synergies for Crop Stress Detection and Monitoring in the Optical Domain: A Review. Remote Sens. Environ. 2022, 280, 113198. [Google Scholar] [CrossRef] [PubMed]
- Berger, K.; Verrelst, J.; Féret, J.B.; Wang, Z.; Wocher, M.; Strathmann, M.; Danner, M.; Mauser, W.; Hank, T. Crop Nitrogen Monitoring: Recent Progress and Principal Developments in the Context of Imaging Spectroscopy Missions. Remote Sens. Environ. 2020, 242, 111758. [Google Scholar] [CrossRef]
- Weiss, M.; Jacob, F.; Duveiller, G. Remote Sensing for Agricultural Applications: A Meta-Review. Remote Sens. Environ. 2020, 236, 111402. [Google Scholar] [CrossRef]
- Page, M.J.; McKenzie, J.E.; Bossuyt, P.M.; Boutron, I.; Hoffmann, T.C.; Mulrow, C.D.; Shamseer, L.; Tetzlaff, J.M.; Akl, E.A.; Brennan, S.E.; et al. The PRISMA 2020 Statement: An Updated Guideline for Reporting Systematic Reviews. BMJ 2021, 372, 105906. [Google Scholar] [CrossRef]
- Kitchenham, B.A.; Charters, S. Guidelines for Performing Systematic Literature Reviews in Software Engineering; Version 2.3, EBSE Technical Report, EBSE-2007-01; Keele University: Keele, UK; University of Durham: Durham, UK, 2007. [Google Scholar]
- Osman, R.; Ata-ul-karim, S.T.; Naveed, M.; Ishaque, W. Multi-Model Ensembles for Assessing the Impact of Future Climate Change on Rainfed Wheat Productivity under Various Cultivars and Nitrogen Levels. Eur. J. Agron. 2022, 139, 126554. [Google Scholar] [CrossRef]
- Kherif, O.; Seghouani, M.; Justes, E.; Plaza-bonilla, D.; Bouhenache, A.; Zemmouri, B.; Dokukin, P.; Latati, M. The First Calibration and Evaluation of the STICS Soil-Crop Model on Chickpea-Based Intercropping System under Mediterranean Conditions. Eur. J. Agron. 2022, 133, 126449. [Google Scholar] [CrossRef]
- Wang, B.; Deveson, E.D.; Waters, C.; Spessa, A.; Lawton, D.; Feng, P.; Liu, D.L. Science of the Total Environment Future Climate Change Likely to Reduce the Australian Plague Locust (Chortoicetes terminifera) Seasonal Outbreaks. Sci. Total Environ. 2019, 668, 947–957. [Google Scholar] [CrossRef] [PubMed]
- Emberson, L.D.; Pleijel, H.; Ainsworth, E.A.; Van den Berg, M.; Ren, W.; Osborne, S.; Mills, G.; Pandey, D.; Dentener, F.; Büker, P.; et al. Ozone e Ff Ects on Crops and Consideration in Crop Models. Eur. J. Agron. 2018, 100, 19–34. [Google Scholar] [CrossRef]
- Low, S. Science of the Total Environment Engineering Imaginaries: Anticipatory Foresight for Solar Radiation Management Governance. Sci. Total Environ. 2017, 580, 90–104. [Google Scholar] [CrossRef] [PubMed]
- Shan, N.; Zhang, Y.; Chen, J.M.; Ju, W.; Migliavacca, M.; Pe, J. A Model for Estimating Transpiration from Remotely Sensed Solar-Induced Chlorophyll Fluorescence. Remote Sens. Environ. 2021, 252, 112134. [Google Scholar] [CrossRef]
- Lukeš, P.; Neuwirthová, E.; Lhotáková, Z.; Janoutová, R.; Albrechtová, J. Remote Sensing of Environment Upscaling Seasonal Phenological Course of Leaf Dorsiventral Reflectance in Radiative Transfer Model. Remote Sens. Environ. 2020, 246, 111862. [Google Scholar] [CrossRef]
- Yang, P.; van der Tol, C.; Campbell, P.K.E.; Middleton, E.M. Fluorescence Correction Vegetation Index (FCVI): A Physically Based Reflectance Index to Separate Physiological and Non-Physiological Information in Far-Red Sun-Induced Chlorophyll Fluorescence. Remote Sens. Environ. 2020, 240, 111676. [Google Scholar] [CrossRef]
- Iskandar, I.; Patak, A.A. The Significance of Mendeley Usage on the Accuracy of Citation and References. Int. J. Humanit. Innov. 2019, 2, 108–114. [Google Scholar] [CrossRef]
- Zhang, Y.; Zhao, D.; Liu, H.; Huang, X.; Deng, J.; Jia, R.; He, X.; Tahir, M.N.; Lan, Y. Research Hotspots and Frontiers in Agricultural Multispectral Technology: Bibliometrics and Scientometrics Analysis of the Web of Science. Front. Plant Sci. 2022, 13, 955340. [Google Scholar] [CrossRef]
- Castaldi, F.; Casa, R.; Pelosi, F.; Yang, H. Influence of Acquisition Time and Resolution on Wheat Yield Estimation at the Field Scale from Canopy Biophysical Variables Retrieved from SPOT Satellite Data. Int. J. Remote Sens. 2015, 36, 2438–2459. [Google Scholar] [CrossRef]
- Wang, S.; Guan, K.; Wang, Z.; Ainsworth, E.A.; Zheng, T.; Townsend, P.A.; Liu, N.; Nafziger, E.; Masters, M.D.; Li, K.; et al. Airborne Hyperspectral Imaging of Nitrogen Deficiency on Crop Traits and Yield of Maize by Machine Learning and Radiative Transfer Modeling. Int. J. Appl. Earth Obs. Geoinf. 2021, 105, 102617. [Google Scholar] [CrossRef]
- Zare, H.; Weber, T.K.D.; Ingwersen, J.; Nowak, W.; Gayler, S.; Streck, T. Combining Crop Modeling with Remote Sensing Data Using a Particle Filtering Technique to Produce Real-Time Forecasts of Winter Wheat Yields under Uncertain Boundary Conditions. Remote Sens. 2022, 14, 1360. [Google Scholar] [CrossRef]
- Bandaru, V.; Yaramasu, R.; Jones, C.; César Izaurralde, R.; Reddy, A.; Sedano, F.; Daughtry, C.S.T.; Becker-Reshef, I.; Justice, C. Geo-CropSim: A Geo-Spatial Crop Simulation Modeling Framework for Regional Scale Crop Yield and Water Use Assessment. ISPRS J. Photogramm. Remote Sens. 2022, 183, 34–53. [Google Scholar] [CrossRef]
- Upreti, D.; Pignatti, S.; Pascucci, S.; Tolomio, M.; Huang, W.; Casa, R. Bayesian Calibration of the Aquacrop-OS Model for Durum Wheat by Assimilation of Canopy Cover Retrieved from VENμS Satellite Data. Remote Sens. 2020, 12, 1–23. [Google Scholar] [CrossRef]
- Huang, J.; Ma, H.; Sedano, F.; Lewis, P.; Liang, S.; Wu, Q.; Su, W.; Zhang, X.; Zhu, D. Evaluation of Regional Estimates of Winter Wheat Yield by Assimilating Three Remotely Sensed Reflectance Datasets into the Coupled WOFOST–PROSAIL Model. Eur. J. Agron. 2019, 102, 1–13. [Google Scholar] [CrossRef]
- Setiyono, T.D.; Quicho, E.D.; Gatti, L.; Campos-Taberner, M.; Busetto, L.; Collivignarelli, F.; García-Haro, F.J.; Boschetti, M.; Khan, N.I.; Holecz, F. Spatial Rice Yield Estimation Based on MODIS and Sentinel-1 SAR Data and ORYZA Crop Growth Model. Remote Sens. 2018, 10, 293. [Google Scholar] [CrossRef]
- Zhang, L.; Guo, C.L.; Zhao, L.Y.; Zhu, Y.; Cao, W.X.; Tian, Y.C.; Cheng, T.; Wang, X. Estimating Wheat Yield by Integrating the WheatGrow and PROSAIL Models. Field Crops Res. 2016, 192, 55–66. [Google Scholar] [CrossRef]
- Zhao, J.; Kong, X.; He, K.; Xu, H.; Mu, J. Assessment of the Radiation Effect of Aerosols on Maize Production in China. Sci. Total Environ. 2020, 720, 137567. [Google Scholar] [CrossRef]
- Zhao, J.; Kong, X.; Xu, H.; Zhang, Y.; Jiang, Y. Assessment of Biomass and Yield Loss of Maize Caused by Aerosols in Heavily Polluted Agricultural Areas of China Based on APSIM Model. Phys. Chem. Earth 2020, 115, 102835. [Google Scholar] [CrossRef]
- Hank, T.B.; Bach, H.; Mauser, W. Using a Remote Sensing-Supported Hydro-Agroecological Model for Field-Scale Simulation of Heterogeneous Crop Growth and Yield: Application for Wheat in Central Europe. Remote Sens. 2015, 7, 3934–3965. [Google Scholar] [CrossRef]
- Huang, Y.; Ryu, Y.; Jiang, C.; Kimm, H.; Kim, S.; Kang, M.; Shim, K. BESS-Rice: A Remote Sensing Derived and Biophysical Process-Based Rice Productivity Simulation Model. Agric. For. Meteorol. 2018, 256–257, 253–269. [Google Scholar] [CrossRef]
- Burgess, A.J.; Masclaux-Daubresse, C.; Strittmatter, G.; Weber, A.P.M.; Taylor, S.H.; Harbinson, J.; Yin, X.; Long, S.; Paul, M.J.; Westhoff, P.; et al. Improving Crop Yield Potential: Underlying Biological Processes and Future Prospects. Food Energy Secur. 2023, 12, e435. [Google Scholar] [CrossRef] [PubMed]
- Adeluyi, O.; Harris, A.; Verrelst, J.; Foster, T.; Clay, G.D. Estimating the Phenological Dynamics of Irrigated Rice Leaf Area Index Using the Combination of PROSAIL and Gaussian Process Regression. Int. J. Appl. Earth Obs. Geoinf. 2021, 102, 102454. [Google Scholar] [CrossRef] [PubMed]
- Li, D.; Chen, J.M.; Zhang, X.; Yan, Y.; Zhu, J.; Zheng, H.; Zhou, K.; Yao, X.; Tian, Y.; Zhu, Y.; et al. Improved Estimation of Leaf Chlorophyll Content of Row Crops from Canopy Reflectance Spectra through Minimizing Canopy Structural Effects and Optimizing Off-Noon Observation Time. Remote Sens. Environ. 2020, 248, 111985. [Google Scholar] [CrossRef]
- Liang, L.; Di, L.; Zhang, L.; Deng, M.; Qin, Z.; Zhao, S.; Lin, H. Estimation of Crop LAI Using Hyperspectral Vegetation Indices and a Hybrid Inversion Method. Remote Sens. Environ. 2015, 165, 123–134. [Google Scholar] [CrossRef]
- Wocher, M.; Berger, K.; Danner, M.; Mauser, W.; Hank, T. RTM-Based Dynamic Absorption Integrals for the Retrieval of Biochemical Vegetation Traits. Int. J. Appl. Earth Obs. Geoinf. 2020, 93, 102219. [Google Scholar] [CrossRef]
- Jin, H.; Xu, W.; Li, A.; Xie, X.; Zhang, Z.; Xia, H. Spatially and Temporally Continuous Leaf Area Index Mapping for Crops through Assimilation of Multi-Resolution Satellite Data. Remote Sens. 2019, 11, 2517. [Google Scholar] [CrossRef]
- He, L.I.; Chen, Z.X.; Jiang, Z.W.; Wu, W.B.; Ren, J.Q.; Bin, L.; Tuya, H. Comparative Analysis of GF-1, HJ-1, and Landsat-8 Data for Estimating the Leaf Area Index of Winter Wheat. J. Integr. Agric. 2017, 16, 266–285. [Google Scholar] [CrossRef]
- Li, Z.; Li, Z.; Fairbairn, D.; Li, N.; Xu, B.; Feng, H.; Yang, G. Multi-LUTs Method for Canopy Nitrogen Density Estimation in Winter Wheat by Field and UAV Hyperspectral. Comput. Electron. Agric. 2019, 162, 174–182. [Google Scholar] [CrossRef]
- Antonucci, G.; Impollonia, G.; Croci, M.; Potenza, E.; Marcone, A.; Amaducci, S. Evaluating Biostimulants via High-Throughput Field Phenotyping: Biophysical Traits Retrieval through PROSAIL Inversion. Smart Agric. Technol. 2023, 3, 100067. [Google Scholar] [CrossRef]
- Sun, Q.; Jiao, Q.; Chen, X.; Xing, H.; Huang, W.; Zhang, B. Machine Learning Algorithms for the Retrieval of Canopy Chlorophyll Content and Leaf Area Index of Crops Using the PROSAIL-D Model with the Adjusted Average Leaf Angle. Remote Sens. 2023, 15, 2264. [Google Scholar] [CrossRef]
- Chakhvashvili, E.; Siegmann, B.; Muller, O.; Verrelst, J.; Bendig, J.; Kraska, T.; Rascher, U. Retrieval of Crop Variables from Proximal Multispectral UAV Image Data Using PROSAIL in Maize Canopy. Remote Sens. 2022, 14, 1247. [Google Scholar] [CrossRef] [PubMed]
- Chen, Z.; Jia, K.; Wei, X.; Liu, Y.; Zhan, Y.; Xia, M.; Yao, Y.; Zhang, X. Improving Leaf Area Index Estimation Accuracy of Wheat by Involving Leaf Chlorophyll Content Information. Comput. Electron. Agric. 2022, 196, 106902. [Google Scholar] [CrossRef]
- Ravi, J.; Nigam, R.; Bhattacharya, B.K.; Desai, D.; Patel, P. Retrieval of Crop Biophysical-Biochemical Variables from Airborne AVIRIS-NG Data Using Hybrid Inversion of PROSAIL-D. Adv. Space Res. 2022, in press. [CrossRef]
- Wocher, M.; Berger, K.; Verrelst, J.; Hank, T. Retrieval of Carbon Content and Biomass from Hyperspectral Imagery over Cultivated Areas. ISPRS J. Photogramm. Remote Sens. 2022, 193, 104–114. [Google Scholar] [CrossRef] [PubMed]
- Danner, M.; Berger, K.; Wocher, M.; Mauser, W.; Hank, T. Efficient RTM-Based Training of Machine Learning Regression Algorithms to Quantify Biophysical & Biochemical Traits of Agricultural Crops. ISPRS J. Photogramm. Remote Sens. 2021, 173, 278–296. [Google Scholar] [CrossRef]
- Wan, L.; Zhang, J.; Dong, X.; Du, X.; Zhu, J.; Sun, D.; Liu, Y.; He, Y.; Cen, H. Unmanned Aerial Vehicle-Based Field Phenotyping of Crop Biomass Using Growth Traits Retrieved from PROSAIL Model. Comput. Electron. Agric. 2021, 187, 106304. [Google Scholar] [CrossRef]
- Xie, Q.; Dash, J.; Huete, A.; Jiang, A.; Yin, G.; Ding, Y.; Peng, D.; Hall, C.C.; Brown, L.; Shi, Y.; et al. Retrieval of Crop Biophysical Parameters from Sentinel-2 Remote Sensing Imagery. Int. J. Appl. Earth Obs. Geoinf. 2019, 80, 187–195. [Google Scholar] [CrossRef]
- Xu, J.; Meng, J.; Quackenbush, L.J. Use of Remote Sensing to Predict the Optimal Harvest Date of Corn. Field Crops Res. 2019, 236, 1–13. [Google Scholar] [CrossRef]
- Sehgal, V.K.; Chakraborty, D.; Sahoo, R.N. Inversion of Radiative Transfer Model for Retrieval of Wheat Biophysical Parameters from Broadband Reflectance Measurements. Inf. Process. Agric. 2016, 3, 107–118. [Google Scholar] [CrossRef]
- Xu, D.; He, B.; Quan, X. Retrieval of Canopy Water Content Using Objective Based Method. In Proceedings of the International Geoscience and Remote Sensing Symposium (IGARSS), Beijing, China, 10–15 July 2016; IEEE: Piscataway, NJ, USA, 2016; pp. 4343–4346. [Google Scholar]
- Zhang, Q.; Middleton, E.M.; Cheng, Y.B.; Huemmrich, K.F.; Cook, B.D.; Corp, L.A.; Kustas, W.P.; Russ, A.L.; Prueger, J.H.; Yao, T. Integrating Chlorophyll FAPAR and Nadir Photochemical Reflectance Index from EO-1/Hyperion to Predict Cornfield Daily Gross Primary Production. Remote Sens. Environ. 2016, 186, 311–321. [Google Scholar] [CrossRef]
- Campos-taberner, M.; García-haro, F.J.; Camps-valls, G.; Grau-muedra, G.; Nutini, F.; Crema, A.; Boschetti, M. Multitemporal and Multiresolution Leaf Area Index Retrieval for Operational Local Rice Crop Monitoring. Remote Sens. Environ. 2016, 187, 102–118. [Google Scholar] [CrossRef]
- Verrelst, J.; Rivera, J.P.; Veroustraete, F.; Muñoz-Marí, J.; Clevers, J.G.P.W.; Camps-Valls, G.; Moreno, J. Experimental Sentinel-2 LAI Estimation Using Parametric, Non-Parametric and Physical Retrieval Methods—A Comparison. ISPRS J. Photogramm. Remote Sens. 2015, 108, 260–272. [Google Scholar] [CrossRef]
- Thorp, K.R.; Gore, M.A.; Andrade-Sanchez, P.; Carmo-Silva, A.E.; Welch, S.M.; White, J.W.; French, A.N. Proximal Hyperspectral Sensing and Data Analysis Approaches for Field-Based Plant Phenomics. Comput. Electron. Agric. 2015, 118, 225–236. [Google Scholar] [CrossRef]
- Yang, L.; Deng, S.; Zhang, Z. New Spectral Model for Estimating Leaf Area Index Based on Gene Expression Programming. Comput. Electr. Eng. 2020, 83, 106604. [Google Scholar] [CrossRef]
- Su, W.; Zhang, M.; Bian, D.; Liu, Z.; Huang, J.; Wang, W. Phenotyping of Corn Plants Using Unmanned Aerial. Remote Sens. 2021, 11, 2021. [Google Scholar] [CrossRef]
- Chen, Q.; Zheng, B.; Chenu, K.; Chapman, S.C. A Generic Model to Estimate Wheat LAI over Growing Season Regardless of the Soil-Type Background. Plant Phenomics 2023, 5, 0055. [Google Scholar] [CrossRef] [PubMed]
- Dong, T.; Liu, J.; Liu, J.; He, L.; Wang, R.; Qian, B.; McNairn, H.; Powers, J.; Shi, Y.; Chen, J.M.; et al. Assessing the Consistency of Crop Leaf Area Index Derived from Seasonal Sentinel-2 and Landsat 8 Imagery over Manitoba, Canada. Agric. For. Meteorol. 2023, 332, 109357. [Google Scholar] [CrossRef]
- Xu, M.; Liu, R.; Chen, J.M.; Liu, Y.; Shang, R.; Ju, W.; Wu, C.; Huang, W. Retrieving Leaf Chlorophyll Content Using a Matrix-Based Vegetation Index Combination Approach. Remote Sens. Environ. 2019, 224, 60–73. [Google Scholar] [CrossRef]
- Zhang, M.; Su, W.; Fu, Y.; Zhu, D.; Xue, J.H.; Huang, J.; Wang, W.; Wu, J.; Yao, C. Super-Resolution Enhancement of Sentinel-2 Image for Retrieving LAI and Chlorophyll Content of Summer Corn. Eur. J. Agron. 2019, 111, 125938. [Google Scholar] [CrossRef]
- Punalekar, S.M.; Verhoef, A.; Quaife, T.L.; Humphries, D.; Bermingham, L.; Reynolds, C.K. Application of Sentinel-2A Data for Pasture Biomass Monitoring Using a Physically Based Radiative Transfer Model. Remote Sens. Environ. 2018, 218, 207–220. [Google Scholar] [CrossRef]
- Wang, S.; Gao, W.; Ming, J.; Li, L.; Xu, D.; Liu, S.; Lu, J. A TPE Based Inversion of PROSAIL for Estimating Canopy Biophysical and Biochemical Variables of Oilseed Rape. Comput. Electron. Agric. 2018, 152, 350–362. [Google Scholar] [CrossRef]
- Zhang, C.; Pattey, E.; Liu, J.; Cai, H.; Shang, J.; Dong, T. Retrieving Leaf and Canopy Water Content of Winter Wheat Using Vegetation Water Indices. IEEE J. Sel. Top. Appl. Earth Obs. Remote Sens. 2018, 11, 112–126. [Google Scholar] [CrossRef]
- Boschetti, M.; Busetto, L.; Ranghetti, L.; Haro, J.G.; Campos-Taberner, M.; Confalonieri, R. Testing Multi-Sensors Time Series of LAI Estimates to Monitor Rice Phenology: Preliminary Results. In Proceedings of the International Geoscience and Remote Sensing Symposium (IGARSS), Valencia, Spain, 22–27 July 2018; pp. 8221–8224. [Google Scholar]
- Danner, M.; Berger, K.; Wocher, M.; Mauser, W.; Hank, T. Retrieval of Biophysical Crop Variables from Multi-Angular Canopy Spectroscopy. Remote Sens. 2017, 9, 726. [Google Scholar] [CrossRef]
- Kimm, H.; Guan, K.; Jiang, C.; Peng, B.; Gentry, L.F.; Wilkin, S.C.; Wang, S.; Cai, Y.; Bernacchi, C.J.; Peng, J.; et al. Deriving High-Spatiotemporal-Resolution Leaf Area Index for Agroecosystems in the U.S. Corn Belt Using Planet Labs CubeSat and STAIR Fusion Data. Remote Sens. Environ. 2020, 239, 111615. [Google Scholar] [CrossRef]
- Jiang, J.; Weiss, M.; Liu, S.; Baret, F. Effective GAI Is Best Estimated from Reflectance Observations as Compared to GAI and LAI: Demonstration for Wheat and Maize Crops Based on 3D Radiative Transfer Simulations. Field Crops Res. 2022, 283, 108538. [Google Scholar] [CrossRef]
- Wang, L.; Chen, S.; Peng, Z.; Huang, J.; Wang, C.; Jiang, H.; Zheng, Q.; Li, D. Phenology Effects on Physically Based Estimation of Paddy Rice Canopy Traits from Uav Hyperspectral Imagery. Remote Sens. 2021, 13, 1792. [Google Scholar] [CrossRef]
- Longmire, A.R.; Poblete, T.; Hunt, J.R.; Chen, D.; Zarco-Tejada, P.J. Assessment of Crop Traits Retrieved from Airborne Hyperspectral and Thermal Remote Sensing Imagery to Predict Wheat Grain Protein Content. ISPRS J. Photogramm. Remote Sens. 2022, 193, 284–298. [Google Scholar] [CrossRef]
- Zhang, Y.; Hui, J.; Qin, Q.; Sun, Y.; Zhang, T.; Sun, H.; Li, M. Transfer-Learning-Based Approach for Leaf Chlorophyll Content Estimation of Winter Wheat from Hyperspectral Data. Remote Sens. Environ. 2021, 267, 112724. [Google Scholar] [CrossRef]
- Berger, K.; Verrelst, J.; Féret, J.B.; Hank, T.; Wocher, M.; Mauser, W.; Camps-Valls, G. Retrieval of Aboveground Crop Nitrogen Content with a Hybrid Machine Learning Method. Int. J. Appl. Earth Obs. Geoinf. 2020, 92, 102174. [Google Scholar] [CrossRef]
- Verrelst, J.; Rivera-Caicedo, J.P.; Reyes-Muñoz, P.; Morata, M.; Amin, E.; Tagliabue, G.; Panigada, C.; Hank, T.; Berger, K. Mapping Landscape Canopy Nitrogen Content from Space Using PRISMA Data. ISPRS J. Photogramm. Remote Sens. 2021, 178, 382–395. [Google Scholar] [CrossRef] [PubMed]
- Sun, J.; Wang, L.; Shi, S.; Li, Z.; Yang, J.; Gong, W.; Wang, S.; Tagesson, T. Leaf Pigment Retrieval Using the PROSAIL Model: Influence of Uncertainty in Prior Canopy-Structure Information. Crop J. 2022, 10, 1251–1263. [Google Scholar] [CrossRef]
- Tomíček, J.; Mišurec, J.; Lukeš, P. Prototyping a Generic Algorithm for Crop Parameter Retrieval across the Season Using Radiative Transfer Model Inversion and Sentinel-2 Satellite Observations. Remote Sens. 2021, 13, 3659. [Google Scholar] [CrossRef]
- Gutman, G.; Skakun, S.; Gitelson, A. Revisiting the Use of Red and Near-Infrared Reflectances in Vegetation Studies and Numerical Climate Models. Sci. Remote Sens. 2021, 4, 100025. [Google Scholar] [CrossRef]
- Cheng, J.; Han, S.; Verrelst, J.; Zhao, C.; Zhang, N.; Zhao, Y.; Lei, L.; Wang, H.; Yang, G.; Yang, H. Deciphering Maize Vertical Leaf Area Profiles by Fusing Spectral Imagery Data and a Bell-Shaped Function. Int. J. Appl. Earth Obs. Geoinf. 2023, 120, 103355. [Google Scholar] [CrossRef]
- Tagliabue, G.; Boschetti, M.; Bramati, G.; Candiani, G.; Colombo, R.; Nutini, F.; Pompilio, L.; Rivera-Caicedo, J.P.; Rossi, M.; Rossini, M.; et al. Hybrid Retrieval of Crop Traits from Multi-Temporal PRISMA Hyperspectral Imagery. ISPRS J. Photogramm. Remote Sens. 2022, 187, 362–377. [Google Scholar] [CrossRef] [PubMed]
- Gao, L.; Darvishzadeh, R.; Somers, B.; Johnson, B.A.; Wang, Y.; Verrelst, J.; Wang, X.; Atzberger, C. Hyperspectral Response of Agronomic Variables to Background Optical Variability: Results of a Numerical Experiment. Agric. For. Meteorol. 2022, 326, 109178. [Google Scholar] [CrossRef] [PubMed]
- Gitelson, A.; Arkebauer, T.; Viña, A.; Skakun, S.; Inoue, Y. Evaluating Plant Photosynthetic Traits via Absorption Coefficient in the Photosynthetically Active Radiation Region. Remote Sens. Environ. 2021, 258, 112401. [Google Scholar] [CrossRef]
- Estévez, J.; Salinero-Delgado, M.; Berger, K.; Pipia, L.; Rivera-Caicedo, J.P.; Wocher, M.; Reyes-Muñoz, P.; Tagliabue, G.; Boschetti, M.; Verrelst, J. Gaussian Processes Retrieval of Crop Traits in Google Earth Engine Based on Sentinel-2 Top-of-Atmosphere Data. Remote Sens. Environ. 2022, 273, 112958. [Google Scholar] [CrossRef]
- Roosjen, P.P.J.; Brede, B.; Suomalainen, J.M.; Bartholomeus, H.M.; Kooistra, L.; Clevers, J.G.P.W. Improved Estimation of Leaf Area Index and Leaf Chlorophyll Content of a Potato Crop Using Multi-Angle Spectral Data—Potential of Unmanned Aerial Vehicle Imagery. Int. J. Appl. Earth Obs. Geoinf. 2018, 66, 14–26. [Google Scholar] [CrossRef]
- Jay, S.; Baret, F.; Dutartre, D.; Malatesta, G.; Héno, S.; Comar, A.; Weiss, M.; Maupas, F. Exploiting the Centimeter Resolution of UAV Multispectral Imagery to Improve Remote-Sensing Estimates of Canopy Structure and Biochemistry in Sugar Beet Crops. Remote Sens. Environ. 2019, 231, 110898. [Google Scholar] [CrossRef]
- Féret, J.B.; Berger, K.; de Boissieu, F.; Malenovský, Z. PROSPECT-PRO for Estimating Content of Nitrogen-Containing Leaf Proteins and Other Carbon-Based Constituents. Remote Sens. Environ. 2021, 252, 112173. [Google Scholar] [CrossRef]
- Ren, Y.; Huang, W.; Ye, H.; Zhou, X.; Ma, H. International Journal of Applied Earth Observations and Geoinformation Quantitative Identification of Yellow Rust in Winter Wheat with a New Spectral Index: Development and Validation Using Simulated and Experimental Data. Int. J. Appl. Earth Obs. Geoinf. 2021, 102, 102384. [Google Scholar] [CrossRef]
- Wan, L.; Zhang, J.; Xu, Y.; Huang, Y.; Zhou, W.; Jiang, L.; He, Y.; Cen, H. PROSDM: Applicability of PROSPECT Model Coupled with Spectral Derivatives and Similarity Metrics to Retrieve Leaf Biochemical Traits from Bidirectional Reflectance. Remote Sens. Environ. 2021, 267, 112761. [Google Scholar] [CrossRef]
- Sun, J.; Shi, S.; Yang, J.; Chen, B.; Gong, W.; Du, L.; Mao, F.; Song, S. Estimating Leaf Chlorophyll Status Using Hyperspectral Lidar Measurements by PROSPECT Model Inversion. Remote Sens. Environ. 2018, 212, 1–7. [Google Scholar] [CrossRef]
- Li, D.; Cheng, T.; Yao, X.; Zhang, Z.; Tian, Y.; Zhu, Y.; Cao, W. Wavelet-Based PROSPECT Inversion for Retrieving Leaf Mass per Area (LMA) and Equivalent Water Thickness (EWT) from Leaf Reflectance. In Proceedings of the International Geoscience and Remote Sensing Symposium (IGARSS), Beijing, China, 10–15 July 2016; IEEE: Piscataway, NJ, USA, 2016; pp. 6910–6913. [Google Scholar]
- Candiani, G.; Tagliabue, G.; Panigada, C.; Verrelst, J.; Picchi, V.; Caicedo, J.P.R.; Boschetti, M. Evaluation of Hybrid Models to Estimate Chlorophyll and Nitrogen Content of Maize Crops in the Framework of the Future CHIME Mission. Remote Sens. 2022, 14, 1792. [Google Scholar] [CrossRef] [PubMed]
- Fang, M.; Ju, W.; Zhan, W.; Cheng, T.; Qiu, F.; Wang, J. A New Spectral Similarity Water Index for the Estimation of Leaf Water Content from Hyperspectral Data of Leaves. Remote Sens. Environ. 2017, 196, 13–27. [Google Scholar] [CrossRef]
- Wang, Z.; Féret, J.B.; Liu, N.; Sun, Z.; Yang, L.; Geng, S.; Zhang, H.; Chlus, A.; Kruger, E.L.; Townsend, P.A. Generality of Leaf Spectroscopic Models for Predicting Key Foliar Functional Traits across Continents: A Comparison between Physically- and Empirically-Based Approaches. Remote Sens. Environ. 2023, 293, 113614. [Google Scholar] [CrossRef]
- Morel, J.; Jay, S.; Féret, J.B.; Bakache, A.; Bendoula, R.; Carreel, F.; Gorretta, N. Exploring the Potential of PROCOSINE and Close-Range Hyperspectral Imaging to Study the Effects of Fungal Diseases on Leaf Physiology. Sci. Rep. 2018, 8, 15933. [Google Scholar] [CrossRef] [PubMed]
- Li, J.; Wijewardane, N.K.; Ge, Y.; Shi, Y. Improved Chlorophyll and Water Content Estimations at Leaf Level with a Hybrid Radiative Transfer and Machine Learning Model. Comput. Electron. Agric. 2023, 206, 107669. [Google Scholar] [CrossRef]
- Scodellaro, R.; Cesana, I.; D’Alfonso, L.; Bouzin, M.; Collini, M.; Chirico, G.; Colombo, R.; Miglietta, F.; Celesti, M.; Schuettemeyer, D.; et al. A Novel Hybrid Machine Learning Phasor-Based Approach to Retrieve a Full Set of Solar-Induced Fluorescence Metrics and Biophysical Parameters. Remote Sens. Environ. 2022, 280, 113196. [Google Scholar] [CrossRef]
- Shan, N.; Xi, L.; Zhang, Q.; Lin, N.; Xu, D.; Cao, B. Better Revisiting Chlorophyll Content Retrieval with Varying Senescent Material and Solar-Induced Chlorophyll Fluorescence Simulation on Paddy Rice during the Entire Growth Stages. Ecol. Indic. 2021, 130, 108057. [Google Scholar] [CrossRef]
- Pascual-Venteo, A.B.; Portalés, E.; Berger, K.; Tagliabue, G.; Garcia, J.L.; Pérez-Suay, A.; Rivera-Caicedo, J.P.; Verrelst, J. Prototyping Crop Traits Retrieval Models for CHIME: Dimensionality Reduction Strategies Applied to PRISMA Data. Remote Sens. 2022, 14, 2448. [Google Scholar] [CrossRef]
- Prikaziuk, E.; Ntakos, G.; ten Den, T.; Reidsma, P.; van der Wal, T.; van der Tol, C. Using the SCOPE Model for Potato Growth, Productivity and Yield Monitoring under Different Levels of Nitrogen Fertilization. Int. J. Appl. Earth Obs. Geoinf. 2022, 114, 102997. [Google Scholar] [CrossRef]
- Wang, S.; Guan, K.; Zhang, C.; Jiang, C.; Zhou, Q.; Li, K.; Qin, Z.; Ainsworth, E.A.; He, J.; Wu, J.; et al. Airborne Hyperspectral Imaging of Cover Crops through Radiative Transfer Process-Guided Machine Learning. Remote Sens. Environ. 2023, 285, 113386. [Google Scholar] [CrossRef]
- Saavedra, P.; Simmer, C.; Schalge, B. Evaluation of Modeled High Resolution Virtual Brightness Temperatures Compared to Space-Borne Observations for the Neckar Catchment. In Proceedings of the 14th Specialist Meeting on Microwave Radiometry and Remote Sensing of the Environment, MicroRad 2016—Proceedings, Espoo, Finland, 11–14 April 2016; IEEE: Piscataway, NJ, USA, 2016; pp. 85–90. [Google Scholar]
- Yuzugullu, O.; Erten, E.; Hajnsek, I. Morphology Estimation of Rice Fields Using X-Band PolSAR Data. In Proceedings of the International Geoscience and Remote Sensing Symposium (IGARSS), Beijing, China, 10–15 July 2016; IEEE: Piscataway, NJ, USA, 2016; pp. 7121–7124. [Google Scholar]
- Schirrmann, M.; Hamdorf, A.; Giebel, A.; Dammer, K.H.; Garz, A. A Mobile Sensor for Leaf Area Index Estimation from Canopy Light Transmittance in Wheat Crops. Biosyst. Eng. 2015, 140, 23–33. [Google Scholar] [CrossRef]
- Houborg, R.; McCabe, M.F. A Hybrid Training Approach for Leaf Area Index Estimation via Cubist and Random Forests Machine-Learning. ISPRS J. Photogramm. Remote Sens. 2018, 135, 173–188. [Google Scholar] [CrossRef]
- Suarez, L.; Zhang, P.; Sun, J.; Wang, Y.; Poblete, T.; Hornero, A.; Zarco-Tejada, P.J. Assessing Wine Grape Quality Parameters Using Plant Traits Derived from Physical Model Inversion of Hyperspectral Imagery. Agric. For. Meteorol. 2021, 306, 108445. [Google Scholar] [CrossRef]
- Wang, Y.; Suarez, L.; Poblete, T.; Gonzalez-Dugo, V.; Ryu, D.; Zarco-Tejada, P.J. Evaluating the Role of Solar-Induced Fluorescence (SIF) and Plant Physiological Traits for Leaf Nitrogen Assessment in Almond Using Airborne Hyperspectral Imagery. Remote Sens. Environ. 2022, 279, 113141. [Google Scholar] [CrossRef]
- Chen, Q.; Zheng, B.; Chen, T.; Chapman, S.C. Integrating a Crop Growth Model and Radiative Transfer Model to Improve Estimation of Crop Traits Based on Deep Learning. J. Exp. Bot. 2022, 73, 6558–6574. [Google Scholar] [CrossRef]
Disclaimer/Publisher’s Note: The statements, opinions and data contained in all publications are solely those of the individual author(s) and contributor(s) and not of MDPI and/or the editor(s). MDPI and/or the editor(s) disclaim responsibility for any injury to people or property resulting from any ideas, methods, instructions or products referred to in the content. |
© 2023 by the authors. Licensee MDPI, Basel, Switzerland. This article is an open access article distributed under the terms and conditions of the Creative Commons Attribution (CC BY) license (https://creativecommons.org/licenses/by/4.0/).
















