Comparison of Simulated Multispectral Reflectance among Four Sensors in Land Cover Classification
Abstract
1. Introduction
2. Materials and Methods
2.1. Four Sensors in Comparison
2.2. Spectral Response Function
2.3. Simulation of Multispectral Observations from Hyperspectral Data
2.4. Comparisons in Classification
3. Results
3.1. Comparison of Sensor Characteristics
3.2. Methods Comparison
3.3. Comparisons for Individual Classes
3.4. Comparisons for Representative Cases
4. Discussion
4.1. Classification Improvements through Observations vs. Other Methods
4.2. Contribution of Spectral Channels to Classification
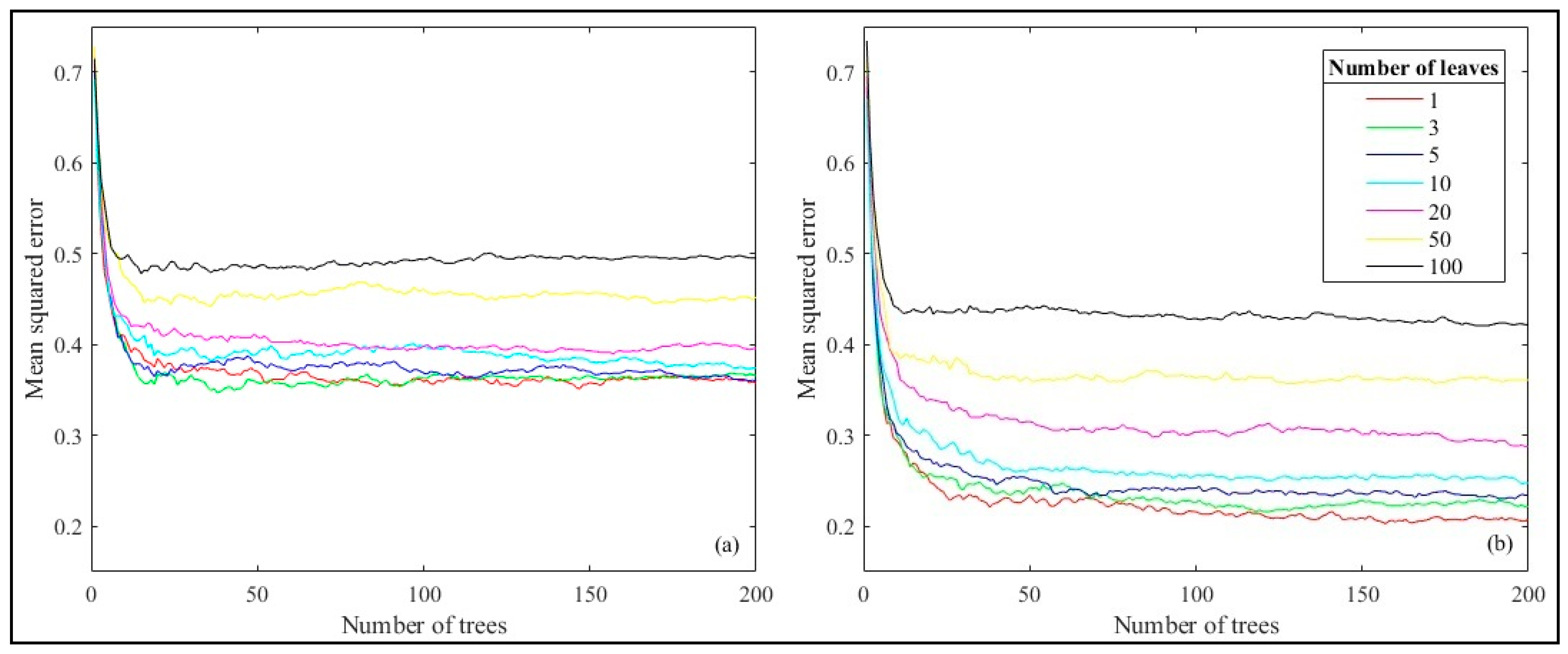
4.3. Parameter Determination in Performing RF
5. Conclusions
- General comparison in sensor characteristics and in channel reflectance. On average, the GF-1 WFV was quite comparable to the GF-6 WFV in all visible and NIR channels, except the red channel. Over the visible region, the L8 OLI showed consistency with the S2A MSI in the blue and red channels, but differed obviously in the green channel. Both the S2A MSI and the L8 OLI have two SWIR channels, showing between-sensor comparability.
- General comparison in classification. Generally, the GF-1 WFV was inferior to other sensors in classification, and the GF-6 WFV slightly outperformed it. Generally, the differences in classification between the L8 OLI and the S2A MSI varied with the classifier, although similar performances were observed for the two sensors. With channel reflectance, SVM outperformed other classifiers in pixel-based classification, likely addressing the problems related to imperfect channel settings (i.e., the position and number of channels). Since several factors possibly influence the performance of a classifier, attention should be paid to method selection.
- Importance of channels for classification. For the GF-1/-6 WFVs, the NIR channel had the greatest importance in most classification cases. Meanwhile, for the L8 OLI and the S2A MSI, the NIR and SWIR channels were more significant relative to other channels. For the L8 OLI, SWIR1 (1560–1660 nm) was more effective than SWIR2 (2100–2300 nm). Without channels over the SWIR region, both the GF-1 WFV and the GF-6 WFV showed inferior performance.
- Merits of the simulated data collection on the basis of which more tests were conducted. The multispectral channel reflectance simulated from the well-processed hyperspectral data was used, to focus mainly on the differences among sensors in spectral characteristics. In addition, with ground truth, comparative analyses among sensors and among classifiers were readily made. However, the spatial coverage of the Indian Pines AVIRIS data was relatively small.
Author Contributions
Funding
Data Availability Statement
Acknowledgments
Conflicts of Interest
References
- Khatami, R.; Mountrakis, G.; Stehman, S.V. A meta-analysis of remote sensing research on supervised pixel-based land-cover image classification processes: General guidelines for practitioners and future research. Remote Sens. Environ. 2016, 177, 89–100. [Google Scholar] [CrossRef]
- Goward, S.; Chander, G.; Pagnutti, M.; Marx, A.; Ryan, R.; Thomas, N.; Tetrault, R. Complementarity of ResourceSat-1 AWiFS and Landsat TM/ETM+ sensors. Remote Sens. Environ. 2012, 123, 41–56. [Google Scholar] [CrossRef]
- Liu, L.; Zhang, X.; Gao, Y.; Chen, X.; Shuai, X.; Mi, J. Finer-resolution mapping of global land cover: Recent developments, consistency analysis, and prospects. J. Remote Sens. 2021, 2021, 5289697. [Google Scholar] [CrossRef]
- Yu, L.; Du, Z.; Dong, R.; Zheng, J.; Tu, Y.; Chen, X.; Hao, P.; Zhong, B.; Peng, D.; Zhao, J.; et al. FROM-GLC Plus: Toward near real-time and multi-resolution land cover mapping. GIScience Remote Sens. 2022, 59, 1026–1047. [Google Scholar] [CrossRef]
- Ghanbari, H.; Mahdianpari, M.; Homayouni, S.; Mohammadimanesh, F. A meta-analysis of convolutional neural networks for remote sensing applications. IEEE J. Sel. Top. Appl. Earth Obs. Remote Sens. 2021, 14, 3602–3613. [Google Scholar] [CrossRef]
- Yang, L.M.; Jin, S.M.; Danielson, P.; Homer, C.; Gass, L.; Bender, S.M.; Case, A.; Costello, C.; Dewitz, J.; Fry, J.; et al. A new generation of the United States National Land Cover Database: Requirements, research priorities, design, and implementation strategies. ISPRS J. Photogramm. Remote Sens. 2018, 146, 108–123. [Google Scholar] [CrossRef]
- Gong, P.; Liu, H.; Zhang, M.; Li, C.; Wang, J.; Huang, H.; Clinton, N.; Ji, L.; Li, W.; Bai, Y.; et al. Stable classification with limited sample: Transferring a 30-m resolution sample set collected in 2015 to mapping 10-m resolution global land cover in 2017. Sci. Bull. 2019, 64, 370–373. [Google Scholar] [CrossRef]
- Corcoran, J.M.; Knight, J.F.; Gallant, A.L. Influence of multi-mource and multi-temporal remotely sensed and ancillary data on the accuracy of random forest classification of wetlands in Northern Minnesota. Remote Sens. 2013, 5, 3212–3238. [Google Scholar] [CrossRef]
- Franklin, S.E.; Ahmed, O.S.; Wulder, M.; White, J.; Hermosilla, T.; Coops, N. Large area mapping of annual land cover dynamics using multitemporal change detection and classification of Landsat time series data. Can. J. Remote Sens. 2015, 41, 293–314. [Google Scholar] [CrossRef]
- Astola, H.; Häme, T.; Sirro, L.; Molinier, M.; Kilpi, J. Comparison of Sentinel-2 and Landsat 8 imagery for forest variable prediction in boreal region. Remote Sens. Environ. 2019, 223, 257–273. [Google Scholar] [CrossRef]
- Niu, Q.F.; Fu, J.K.; Lu, M.; Ma, Y.N.; Zhang, M. Comparison of GF-6 WFV and Landsat8 OLI remote sensing image classification based on random forest. Geospat. Inf. 2022, 20, 49–54. (In Chinese) [Google Scholar]
- Sibanda, M.; Mutanga, O.; Rouget, M. Discriminating rangeland management practices using simulated HyspIRI, Landsat 8 OLI, Sentinel 2 MSI, and VENµS spectral data. IEEE J. Sel. Top. Appl. Earth Obs. Remote Sens. 2016, 9, 3957–3969. [Google Scholar] [CrossRef]
- Song, J.W.; Zhang, Y.J.; Li, X.C.; Yang, W.Z. Comparison between GF-1 and Landsat-8 images in land cover classification. Prog. Geogr. 2016, 35, 255–263. (In Chinese) [Google Scholar]
- Xi, Y.; Thinh, N.X.; Li, C. Preliminary comparative assessment of various spectral indices for built-up land derived from Landsat-8 OLI and Sentinel-2A MSI imageries. Eur. J. Remote Sens. 2019, 52, 240–252. [Google Scholar] [CrossRef]
- Xin, Q.-R.; Kong, W.-H.; Xu, X.-Y.; Wang, R. Information extraction of montanic apple orchard based on GF-1 and Landsat-8 images. Geomat. Spat. Inf. Technol. 2017, 40, 104–106. (In Chinese) [Google Scholar]
- Fan, J.; Zhang, X.; Zhao, C.; Qin, Z.; De Vroey, M.; Defourny, P. Evaluation of crop type classification with different high resolution satellite data sources. Remote Sens. 2021, 13, 911. [Google Scholar] [CrossRef]
- Ji, C.; Li, X.; Wei, H.; Li, S. Comparison of different multispectral sensors for photosynthetic and non-photosynthetic vegetation-fraction retrieval. Remote Sens. 2020, 12, 115. [Google Scholar] [CrossRef]
- Zhao, B.; Liu, Y.; Wang, L.; Liu, Y.; Sun, C.; Fagherazzi, S. Stability evaluation of tidal flats based on time-series satellite images: A case study of the Jiangsu central coast, China. Estuar. Coast. Shelf Sci. 2021, 264, 107697. [Google Scholar] [CrossRef]
- Xia, T.; He, Z.; Cai, Z.; Wang, C.; Wang, W.; Wang, J.; Hu, Q.; Song, Q. Exploring the potential of Chinese GF-6 images for crop mapping in regions with complex agricultural landscapes. Int. J. Appl. Earth Obs. Geoinf. 2022, 107, 102702. [Google Scholar] [CrossRef]
- Peng, X.; He, G.; She, W.; Zhang, X.; Wang, G.; Yin, R.; Long, T. A comparison of random forest algorithm-based forest extraction with GF-1 WFV, Landsat 8 and Sentinel-2 images. Remote Sens. 2022, 14, 5296. [Google Scholar] [CrossRef]
- Gong, P.; Howarth, P.J. An assessment of some factors influencing multispectral land-cover classification. Photogramm. Eng. Remote Sens. 1990, 56, 597–603. [Google Scholar]
- Chen, F.; Zhang, W.; Hu, J.; Zhao, B.; Wang, C.; Song, Y. Preliminary comparisons among the Gaofen-1 wide field of view sensors. In Proceedings of the International Conference on Geoinformatics, Beijing, China, 15–18 August 2022. [Google Scholar] [CrossRef]
- Chander, G.; Helder, D.L.; Aaron, D.B.; Mishra, N.; Shrestha, A.K. Assessment of spectral, misregistration, and spatial uncertainties inherent in the cross-calibration study. IEEE Trans. Geosci. Remote Sens. 2013, 51, 1282–1296. [Google Scholar] [CrossRef]
- Chen, F.; Yang, S.; Su, Z.; Wang, K. Effect of emissivity uncertainty on surface temperature retrieval over urban areas: Investigations based on spectral libraries. ISPRS J. Photogramm. Remote Sens. 2016, 114, 53–65. [Google Scholar] [CrossRef]
- Chen, F.; Lou, S.; Fan, Q.; Wang, C.; Claverie, M.; Wang, C.; Li, J. Normalized difference vegetation index continuity of the Landsat 4-5 MSS and TM: Investigations based on simulation. Remote Sens. 2019, 11, 1681. [Google Scholar] [CrossRef]
- Chen, F.; Fan, Q.; Lou, S.; Yang, L.; Wang, C.; Claverie, M.; Wang, C.; Junior, J.M.; Goncalves, W.N.; Li, J. Characterization of MSS channel reflectance and derived spectral indices for building consistent Landsat 1–5 data record. IEEE Trans. Geosci. Remote Sens. 2020, 58, 8967–8984. [Google Scholar] [CrossRef]
- Chastain, R.; Housman, I.; Goldstein, J.; Finco, M.; Tenneson, K. Empirical cross sensor comparison of Sentinel-2A and 2B MSI, Landsat-8 OLI, and Landsat-7 ETM+ top of atmosphere spectral characteristics over the conterminous United States. Remote Sens. Environ. 2018, 221, 274–285. [Google Scholar] [CrossRef]
- Clark, M.L. Comparison of simulated hyperspectral HyspIRI and multispectral Landsat 8 and Sentinel-2 imagery for multi-seasonal, regional land-cover mapping. Remote Sens. Environ. 2017, 200, 311–325. [Google Scholar] [CrossRef]
- Chen, F.; Wang, C.; Zhang, Y.; Yi, Z.; Fan, Q.; Liu, L.; Song, Y. Inconsistency among Landsat Sensors in land surface mapping: A comprehensive investigation based on simulation. Remote Sens. 2021, 13, 1383. [Google Scholar] [CrossRef]
- Baumgardner, M.F.; Biehl, L.L.; Landgrebe, D.A. 220 band AVIRIS hyperspectral image data set: June 12, 1992 Indian Pine Test Site 3. Available online: https://purr.purdue.edu/publications/1947/1 (accessed on 10 January 2023).
- Maxwell, A.E.; Warner, T.A.; Fang, F. Implementation of machine-learning classification in remote sensing: An applied review. Int. J. Remote Sens. 2018, 39, 2784–2817. [Google Scholar] [CrossRef]
- Thuillier, G.; Hersé, M.; Labs, D.; Foujols, T.; Peetermans, W.; Gillotay, D.; Simon, P.C.; Mandel, H. The solar spectral irradiance from 200 to 2400 nm as measured by the SOLSPEC spectrometer from the Atlas and Eureca Missions. Sol. Phys. 2003, 214, 1–22. [Google Scholar] [CrossRef]
- Chander, G.; Markham, B.L.; Helder, D.L. Summery of current radiometric calibration coefficients for Landsat MSS, TM, ETM+, and EO-1 ALI sensors. Remote Sens. Environ. 2009, 113, 893–903. [Google Scholar] [CrossRef]
- Gascon, F.; Bouzinac, C.; Thépaut, O.; Jung, M.; Francesconi, B.; Louis, J.; Lonjou, V.; Lafrance, B.; Massera, S.; Gaudel-Vacaresse, A.; et al. Copernicus Sentinel-2A calibration and products validation status. Remote Sens. 2017, 9, 584. [Google Scholar] [CrossRef]
- Chen, F.; Zhang, Z.; Zhang, W.; Song, Y. Impacts of radiance quantization on surface mapping: Comparisons among the Landsat sensors. In Proceedings of the International Conference on Geoinformatics, Nanchang, China, 3–5 November 2021. [Google Scholar] [CrossRef]
- Yu, L.; Liang, L.; Wang, J.; Zhao, Y.; Cheng, Q.; Hu, L.; Liu, S.; Yu, L.; Wang, X.; Zhu, P.; et al. Meta-discoveries form a synthesis of satellite-based land-cover mapping research. Int. J. Remote Sens. 2014, 35, 4573–4588. [Google Scholar] [CrossRef]
- Breiman, L. Random forests. Mach. Learn. 2001, 45, 5–32. [Google Scholar] [CrossRef]
- Sheykhmousa, M.; Mahdianpari, M.; Ghanbari, H.; Mohammadimanesh, F.; Ghamisi, P.; Homayouni, S. Support vector machine versus random forest for remote sensing image classification: A meta-analysis and systematic review. IEEE J. Sel. Top. Appl. Earth Obs. Remote Sens. 2020, 13, 6308–6325. [Google Scholar] [CrossRef]
- Gislason, P.O.; Benediktsson, J.A.; Sveinsson, J.R. Random forests for land cover classification. Pattern Recognit. Lett. 2006, 27, 294–300. [Google Scholar] [CrossRef]
- Rodriguez-Galiano, V.F.; Ghimire, B.; Rogan, J.; Chica-Olmo, M.; Rigol-Sanchez, J.P. An assessment of the effectiveness of a random forest classifier for land-cover classification. ISPRS J. Photogramm. Remote Sens. 2012, 67, 93–104. [Google Scholar] [CrossRef]
- Belgiu, M.; Drăguţ, L. Random forest in remote sensing: A review of applications and future directions. ISPRS J. Photogramm. Remote Sens. 2016, 114, 24–31. [Google Scholar] [CrossRef]
- Liu, J.; Feng, Q.; Gong, J.; Zhou, J.; Liang, J.; Li, Y. Winter wheat mapping using a random forest classifier combined with multi-temporal and multi-sensor data. Int. J. Digit. Earth 2017, 11, 783–802. [Google Scholar] [CrossRef]
- Zhang, F.; Yang, X. Improving land cover classification in an urbanized coastal area by random forests: The role of variable selection. Remote Sens. Environ. 2020, 251, 112105. [Google Scholar] [CrossRef]
- Guan, H.; Yu, J.; Li, J.; Luo, L. Random forests-based feature selection for land-use classification using Lidar data and orthoimagery. Int. Arch. Photogramm. Remote Sens. Spat. Inf. Sci. 2012, 39, B7. [Google Scholar] [CrossRef]
- Li, C.; Wang, J.; Wang, L.; Hu, L.; Gong, P. Comparison of classification algorithms and training sample sizes in urban land classification with Landsat thematic mapper imagery. Remote Sens. 2014, 6, 964–983. [Google Scholar] [CrossRef]
- Wilson, E.H.; Sader, S.A. Detection of forest harvest type using multiple dates of Landsat TM imagery. Remote Sens. Environ. 2002, 80, 385–396. [Google Scholar] [CrossRef]
- Jin, S.; Sader, S.A. Comparison of time series tasseled cap wetness and the normalized difference moisture index in detecting forest disturbances. Remote Sens. Environ. 2005, 94, 364–372. [Google Scholar] [CrossRef]
- Ochtyra, A.; Marcinkowska-Ochtyra, A.; Raczko, E. Threshold- and trend-based vegetation change monitoring algorithm based on the inter-annual multi-temporal normalized difference moisture index series: A case study of the Tatra Mountains. Remote Sens. Environ. 2020, 249, 112026. [Google Scholar] [CrossRef]
- Xu, H.Q. Modification of normalised difference water index (NDWI) to enhance open water features in remotely sensed imagery. Int. J. Remote Sens. 2006, 27, 3025–3033. [Google Scholar] [CrossRef]
- Sitokonstantinou, V.; Papoutsis, I.; Kontoes, C.; Lafarga Arnal, A.; Armesto Andrés, A.P.; Garraza Zurbano, J.A. Scalable parcel-based crop identification scheme using Sentinel-2 data time-series for the monitoring of the common agricultural policy. Remote Sens. 2018, 10, 911. [Google Scholar] [CrossRef]
- Ferreira, M.P.; Wagner, F.H.; Aragão, L.; Shimabukuro, Y.E.; de Souza Filho, C.R. Tree species classification in tropical forests using visible to shortwave infrared WorldView-3 images and texture analysis. ISPRS J. Photogramm. Remote Sens. 2019, 149, 119–131. [Google Scholar] [CrossRef]
- Pu, J.; Zhao, X.; Dong, P.; Wang, Q.; Yue, Q. Extracting information on rocky desertification from satellite images: A comparative study. Remote Sens. 2021, 13, 2497. [Google Scholar] [CrossRef]
- Zhou, J.X.; Qiu, Y.; Chen, J.; Chen, X.H. A geometric misregistration resistant data fusion approach for adding red-edge (RE) and short-wave infrared (SWIR) bands to high spatial resolution imagery. Sci. Remote Sens. 2021, 4, 100033. [Google Scholar] [CrossRef]
- Phiri, D.; Morgenroth, J. Developments in Landsat land cover classification methods: A review. Remote Sens. 2017, 9, 967. [Google Scholar] [CrossRef]
- Chouari, W. Contributions of multispectral images to the study of land cover in wet depressions of eastern Tunisia. Egypt. J. Remote Sens. 2021, 24, 443–451. [Google Scholar] [CrossRef]
- Lassalle, G.; Ferreira, M.P.; Rosa, L.E.; Scafutto, R.D.; Filho, C.R. Advances in multi- and hyperspectral remote sensing of mangrove species: A synthesis and study case on airborne and multisource spaceborne imagery. ISPRS J. Photogramm. Remote Sens. 2023, 195, 298–312. [Google Scholar] [CrossRef]
- Zhao, L.L.; Zhang, R.; Liu, Y.X.; Zhu, X.C. The differences between extracting vegetation information from GF1-WFV and Landsat8-OLI. Acta Ecologica Sinica 2020, 40, 3495–3506. (In Chinese) [Google Scholar]
- Pope, A.; Rees, W.G. Impact of spatial, spectral, and radiometric properties of multispectral imagers on glacier surface classification. Remote Sens. Environ. 2014, 141, 1–13. [Google Scholar] [CrossRef]
- Rama Rao, N.; Garg, P.K.; Ghosh, S.K. Evaluation of radiometric resolution on land use/land cover mapping in an agricultural area. Int. J. Remote Sens. 2007, 28, 443–450. [Google Scholar] [CrossRef]
- Verde, N.; Mallinis, G.; Tsakiri-Strati, M.; Georgiadis, C.; Patias, P. Assessment of radiometric resolution impact on remote sensing data classification accuracy. Remote Sens. 2018, 10, 1267. [Google Scholar] [CrossRef]











| GF-1 WFV | GF-6 WFV | L8 OLI | S2 MSI |
|---|---|---|---|
| — | 7 Costal: 400–450 nm | 1 CA: 433–453 nm | 1 CA: 433–453 nm (60 m) 1 |
| 1 Blue: 450–520 nm | 1 Blue: 450–520 nm | 2 Blue: 450–515 nm | 2 Blue: 458–523 nm (10 m) |
| 2 Green: 520–590 nm | 2 Green: 520–590 nm | 3 Green: 525–600 nm | 3 Green: 543–578 nm (10 m) |
| 3 Red: 630–690 nm | 3 Red: 630–690 nm | 4 Red: 630–680 nm | 4 Red: 650–680 nm (10 m) |
| 4 NIR: 770–890 nm | 4 NIR: 770–890 nm | 5 NIR: 845–885 nm | 8 NIR: 785–900 nm (10 m) 8a NIR: 855–875 nm (20 m) |
| — | 5 RE1: 690–730 nm 6 RE2: 730–770 nm | — | 5 RE1: 694–713 nm (20 m) 6 RE2: 713–749 nm (20 m) 7 RE3: 769–797 nm (20 m) |
| — | — | 6 SWIR1: 1560–1660 nm 7 SWIR2: 2100–2300 nm | 11 SWIR1: 1565–1655 nm (20 m) 12 SWIR2: 2100–2280 nm (20 m) |
| — | 8 Yellow: 590–630 nm | — | 9 WV: 932–958 nm (60 m) |
| — | — | 9 Cirrus: 1360–1390 nm | 10 Cirrus: 1337–1412 nm (60 m) |
| — | — | PAN: 500–680 nm (15 m) 2 | — |
| Channel | GF-1 WFV1 | GF-6 WFV | L8 OLI | S2A MSI |
|---|---|---|---|---|
| Blue | 1997 [1968.63] 1 | 1972 [1952.16] | 2005 | 1960 |
| Green | 1820 [1849.19] | 1817 [1847.43] | 1821 | 1823 |
| Red | 1548 [1571.46] | 1534 [1554.76] | 1550 | 1512 |
| NIR | 1064 [1079] | 1057 [1074.06] | 952.0 | 1042 |
| 8a NIR | — | — | — | 955.0 |
| RE1 | — | 1422 [1412] | — | 1425 |
| RE2 | — | 1274 [1267.39] | — | 1288 |
| RE3 | — | — | — | 1162 |
| SWIR1 | — | — | 247.6 | 245.6 |
| SWIR2 | — | — | 85.46 | 85.25 |
| Yellow | — | 1700 [1736.92] | — | — |
| Sensor | Channels Used | Classifiers Used | |
|---|---|---|---|
| Test 1 1 | GF-1 WFV | Blue, green, red, NIR | MLC, DT, KNN, RF, SVM MLC, DT, KNN, RF, SVM MLC, DT, KNN, RF, SVM MLC, DT, KNN, RF, SVM |
| GF-6 WFV | Blue, green, red, NIR, RE1, RE2 | ||
| L8 OLI | Blue, green, red, NIR, SWIR1, SWIR2 | ||
| S2A MSI | Blue, green, red, NIR, 8a NIR, RE1, RE2, SWIR1, SWIR2 | ||
| Test 2 2 Test 3 3 | GF-1 WFV L8 OLI | Blue, green, red, NIR + SWIRs of the L8 OLI Blue, green, red, NIR | MLC, DT, KNN, RF, SVM MLC, DT, KNN, RF, SVM |
Disclaimer/Publisher’s Note: The statements, opinions and data contained in all publications are solely those of the individual author(s) and contributor(s) and not of MDPI and/or the editor(s). MDPI and/or the editor(s) disclaim responsibility for any injury to people or property resulting from any ideas, methods, instructions or products referred to in the content. |
© 2023 by the authors. Licensee MDPI, Basel, Switzerland. This article is an open access article distributed under the terms and conditions of the Creative Commons Attribution (CC BY) license (https://creativecommons.org/licenses/by/4.0/).
Share and Cite
Chen, F.; Zhang, W.; Song, Y.; Liu, L.; Wang, C. Comparison of Simulated Multispectral Reflectance among Four Sensors in Land Cover Classification. Remote Sens. 2023, 15, 2373. https://doi.org/10.3390/rs15092373
Chen F, Zhang W, Song Y, Liu L, Wang C. Comparison of Simulated Multispectral Reflectance among Four Sensors in Land Cover Classification. Remote Sensing. 2023; 15(9):2373. https://doi.org/10.3390/rs15092373
Chicago/Turabian StyleChen, Feng, Wenhao Zhang, Yuejun Song, Lin Liu, and Chenxing Wang. 2023. "Comparison of Simulated Multispectral Reflectance among Four Sensors in Land Cover Classification" Remote Sensing 15, no. 9: 2373. https://doi.org/10.3390/rs15092373
APA StyleChen, F., Zhang, W., Song, Y., Liu, L., & Wang, C. (2023). Comparison of Simulated Multispectral Reflectance among Four Sensors in Land Cover Classification. Remote Sensing, 15(9), 2373. https://doi.org/10.3390/rs15092373

