Radiometric Calibration of GF5-02 Advanced Hyperspectral Imager Based on RadCalNet Baotou Site
Abstract
1. Introduction
2. Materials and Methods
2.1. GF5-02 Satellite and AHSI
2.2. Reflectance-Based Vicarious Calibration Method
2.3. RadCalNet Baotou Site
3. Results
3.1. Vicarious Radiometric Calibration Campaign at the RadCalNet Baotou Site
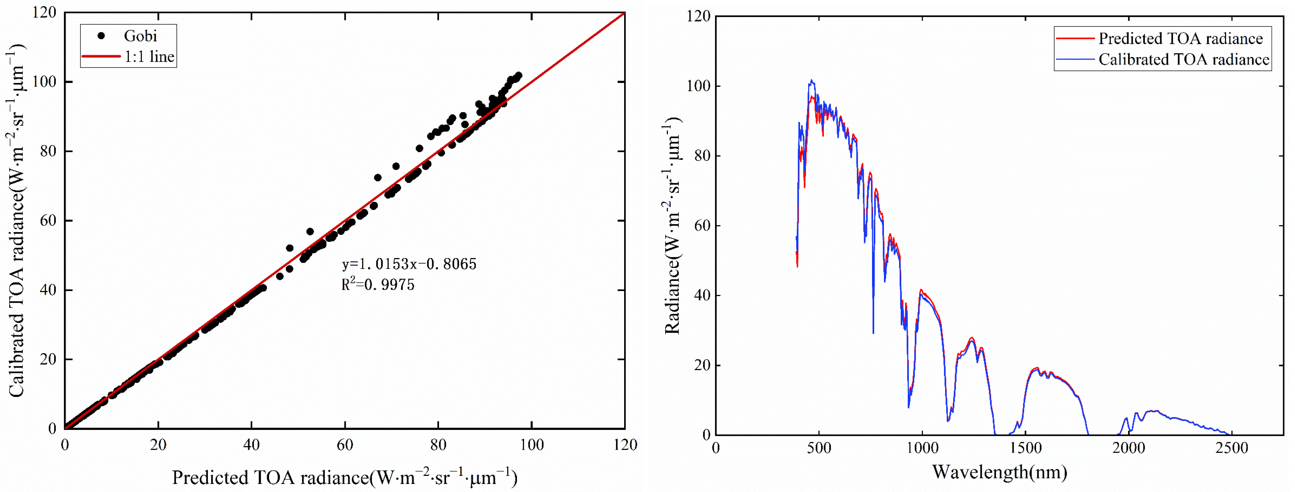
3.2. Calibration Results
3.3. Baotou Validation Results
3.4. Dunhuang Validation Results
4. Discussion
- (1)
- The uncertainty from the spectral reflectance measurement mainly included the calibration accuracy of the reference panel and the measurement error. In this calibration campaign, the calibration uncertainty of the reference panel was approximately 2%, the uncertainty caused by the spectral measurement of the targets was about 1%, and the bi-directional reflectance distribution function (BRDF) correction uncertainty of targets was approximately 2%.
- (2)
- The atmospheric aerosol optical depth was determined with an uncertainty of about 2% using a rigorously calibrated CE318 sunphotometer, and the uncertainty in retrieving the physical properties of atmospheric aerosol particles from the CIMEL Software was about 1%. The absorption and transmittance of the atmosphere in the visible and near-infrared bands (380–2500 nm) are primarily influenced by typical absorbing gases such as oxygen and ozone. The uncertainty of choosing an acceptable atmospheric aerosol type was about 2%. The uncertainty of aerosol parameters in radiative transfer calculation was less than 3%, with the microphysical properties of the atmospheric aerosol considered [17].
- (3)
- The uncertainty of the MODTRAN 6.0 model was less than 2%, and the uncertainty caused by the solar-target-satellite geometric parameters was less than 0.5%.
5. Conclusions
Author Contributions
Funding
Data Availability Statement
Conflicts of Interest
References
- Dinguirard, M.; Slater, P.N. Calibration of Space-Multispectral Imaging Sensors: A Review. Remote Sens. Environ. 1999, 68, 194–205. [Google Scholar] [CrossRef]
- Biggar, S.F.; Thome, K.J.; Wisniewski, W. Vicarious radiometric calibration of EO-1 sensors by reference to high-reflectance ground targets. IEEE Trans. Geosci. Remote Sens. 2003, 41, 1174–1179. [Google Scholar] [CrossRef]
- Biggar, S.F.; Dinguirard, M.C.; Gellman, G.I.; Henry, P.; Jackson, R.D.; Moran, M.S.; Slater, P.N. Radiometric Calibration of SPOT 2 HRV-a Comparison of Three Methods. Proceeding SPIE 1991, 1493, 155–162. [Google Scholar]
- Thome, K.J. Absolute Radiometric Calibration of Landsat 7 ETM+ Using the Reflectance-Based Method. Remote Sens. Environ. 2001, 78, 27–38. [Google Scholar] [CrossRef]
- Gao, H.L.; Gu, X.F.; Yu, T. The Research Overview on Visible and Near-infrared Channels Radiometric Calibration of Space-borne Optical Remote Sensors. Remote Sens. Inf. 2010, 4, 12. [Google Scholar]
- Hu, X.; Liu, J.; Sun, L.; Rong, Z.; Li, Y.; Zhang, Y.; Zheng, Z.; Wu, R.; Zhang, L.; Gu, X. Characterization of CRCS Dunhuang test site and vicarious calibration utilization for Fengyun (FY) series sensors. Can. J. Remote Sens. 2010, 36, 566–582. [Google Scholar] [CrossRef]
- Tang, H.; Xie, J.; Tang, X.; Chen, W.; Li, Q. On-Orbit Radiometric Performance of GF-7 Satellite Multispectral Imagery. Remote Sens. 2022, 14, 886. [Google Scholar] [CrossRef]
- Tang, H.; Xie, J.; Tang, X.; Chen, W.; Li, Q. On-Orbit Absolute Radiometric Calibration and Validation of ZY3-02 Satellite Multispectral Sensor. Sensors 2022, 22, 2066. [Google Scholar] [CrossRef] [PubMed]
- Chen, W.; Yan, L.; Li, Z.; Jing, X.; Duan, Y.; Xiong, X. In-flight absolute calibration of an airborne wide-view multispectral imager using a reflectance-based method and its validation. Int. J. Remote Sens. 2013, 34, 1995–2005. [Google Scholar] [CrossRef]
- Czapla-Myers, J.; McCorkel, J.; Anderson, N.; Thome, K.; Biggar, S.; Helder, D.; Aaron, D.; Leigh, L.; Mishra, N. The ground-based absolute radiometric calibration of Landsat 8 OLI. Remote Sens. 2015, 7, 600–626. [Google Scholar] [CrossRef]
- Czapla-Myers, J.; Ong, L.; Thome, K.; McCorkel, J. Validation of EO-1 Hyperion and Advanced Land Imager Using the Radiometric Calibration Test Site at Railroad Valley. IEEE J. Sel. Top. Appl. Earth Obs. Remote Sens. 2015, 9, 816–826. [Google Scholar] [CrossRef]
- Czapla-Myers, J.S.; Thome, K.J.; Leisso, N.P. Radiometric calibration of earth-observing sensors using an automated test site at Railroad Valley. Can. J. Remote Sens. 2010, 36, 474–487. [Google Scholar] [CrossRef]
- Bouvet, M.; Thome, K.; Berthelot, B.; Bialek, A.; Czapla-Myers, J.; Fox, N.P.; Goryl, P.; Henry, P.; Ma, L.; Marcq, S.; et al. RadCalNet: A Radiometric Calibration Network for Earth Observing Imagers Operating in the Visible to Shortwave Infrared Spectral Range. Remote Sens. 2019, 11, 2401. [Google Scholar] [CrossRef]
- Li, C.R.; Ma, L.L.; Tang, L.L.; Gao, C.X.; Qian, Y.G.; Wang, N.; Wang, X.H. A comprehensive calibration site for high resolution remote sensors dedicated to quantitative remote sensing and its applications. Natl. Remote Sens. Bull. 2021, 25, 198–219. [Google Scholar]
- Xiong, X.; Angal, A.; Twedt, K.A.; Chen, H.; Link, D.; Geng, X.; Aldoretta, E.; Mu, Q. MODIS reflective solar bands on-orbit calibration and performance. IEEE Trans. Geosci. Remote Sens. 2019, 57, 6355–6371. [Google Scholar] [CrossRef]
- Zhang, H.; Zhang, B.; Chen, Z.; Huang, Z. Vicarious Radiometric Calibration of the Hyperspectral Imaging Microsatellites SPARK-01 and-02 over Dunhuang, China. Remote Sens. 2018, 10, 120. [Google Scholar] [CrossRef]
- Biggar, S.F.; Slater, P.N.; Gellman, D.I. Uncertainties in the in-flight calibration of sensors with reference to measured ground sites in the 0.4–1.1 μm range. Remote Sens. Environ. 1994, 48, 245–252. [Google Scholar] [CrossRef]




















| GF5-02 Satellite | Orbit type | Solar synchronous orbit |
| Orbit altitude | 705 km | |
| Equator-crossing time | 10:35 p.m. | |
| Repeat cycle time | 51 days | |
| Satellite weight | 2850 kg | |
| Design lifetime | 8 years | |
| AHSI | Spectral range | 380–2500 nm |
| Number of bands | 150 (380–1000 nm) 180 (1000–2500 nm) 330 bands in total | |
| Spectral resolution | ≤5 nm (VNIR, 380–1000 nm) ≤10 nm (SWIR, 1000–2500 nm) | |
| Signal-to-noise ratio | ≥200 (380–900 nm) ≥150 (900–1700 nm) ≥100 (1700–2500 nm) | |
| Ground sampling distance | 30 m | |
| Width | 60 km | |
| Quantization bits | 12 bit |
| GF5-02 Satellite | Overpass (UTC) | Solar Zenith | Solar Azimuth | View Zenith | View Azimuth | Aerosol Optical Depth @550 nm | Water Vapor |
|---|---|---|---|---|---|---|---|
| 2 April | 03:37:47 | 40.341° | 197.217° | 0.0799° | 157.135 | 0.1276 | 1.872 g/cm2 |
| 23 May | 03:38:12 | 23.819° | 143.146° | 0.0636° | 194.773° | 0.0908 | 1.507 g/cm2 |
| 13 July | 03:38:41 | 23.674° | 137.664° | 0.0781° | 194.026° | 0.2165 | 2.185 g/cm2 |
| 2 September | 03:39:47 | 37.664° | 155.841° | 0.0928° | 193.963 | 0.1393 | 1.323 g/cm2 |
| Surface Type | Sand | Bare Soil | Grassland |
|---|---|---|---|
| ARD at Baotou site On 13 July | 5.78% | 6.07% | 6.62% |
| GF5-02 Satellite | Overpass (UTC) | Solar Zenith | Solar Azimuth | View Zenith | View Azimuth | Aerosol Optical Depth @550 nm | Water Vapor |
|---|---|---|---|---|---|---|---|
| 29 September | 04:41:32 | 44.162° | 161.459° | 0.094° | 193.686° | 0.1125 | 1.027 g/cm2 |
| Sources of Uncertainty | Uncertainty Contribution |
|---|---|
| Calibration of the reference panel | 1% |
| Surface reflectance measurement | 2% |
| BRDF correction | 2% |
| Atmospheric Aerosol Optical Depth | 2% |
| Atmospheric Aerosol type | 1% |
| Water vapor and Ozone | 2% |
| Radiative transfer model | 2% |
| Solar-target-satellite geometric parameters | 0.5% |
| Total uncertainty | 6.18% |
Disclaimer/Publisher’s Note: The statements, opinions and data contained in all publications are solely those of the individual author(s) and contributor(s) and not of MDPI and/or the editor(s). MDPI and/or the editor(s) disclaim responsibility for any injury to people or property resulting from any ideas, methods, instructions or products referred to in the content. |
© 2023 by the authors. Licensee MDPI, Basel, Switzerland. This article is an open access article distributed under the terms and conditions of the Creative Commons Attribution (CC BY) license (https://creativecommons.org/licenses/by/4.0/).
Share and Cite
Tang, H.; Xiao, C.; Shang, K.; Wu, T.; Li, Q. Radiometric Calibration of GF5-02 Advanced Hyperspectral Imager Based on RadCalNet Baotou Site. Remote Sens. 2023, 15, 2233. https://doi.org/10.3390/rs15092233
Tang H, Xiao C, Shang K, Wu T, Li Q. Radiometric Calibration of GF5-02 Advanced Hyperspectral Imager Based on RadCalNet Baotou Site. Remote Sensing. 2023; 15(9):2233. https://doi.org/10.3390/rs15092233
Chicago/Turabian StyleTang, Hongzhao, Chenchao Xiao, Kun Shang, Taixia Wu, and Qi Li. 2023. "Radiometric Calibration of GF5-02 Advanced Hyperspectral Imager Based on RadCalNet Baotou Site" Remote Sensing 15, no. 9: 2233. https://doi.org/10.3390/rs15092233
APA StyleTang, H., Xiao, C., Shang, K., Wu, T., & Li, Q. (2023). Radiometric Calibration of GF5-02 Advanced Hyperspectral Imager Based on RadCalNet Baotou Site. Remote Sensing, 15(9), 2233. https://doi.org/10.3390/rs15092233

