A Random Forest-Based CA-Markov Model to Examine the Dynamics of Land Use/Cover Change Aided with Remote Sensing and GIS
Abstract
1. Introduction
2. Material and Methods
2.1. Study Area
2.2. Data Sources
2.3. The RF-CA-Markov Model
2.4. Accuracy Assessment of Land Use/Cover Change
2.5. Scenario Analysis
3. Results
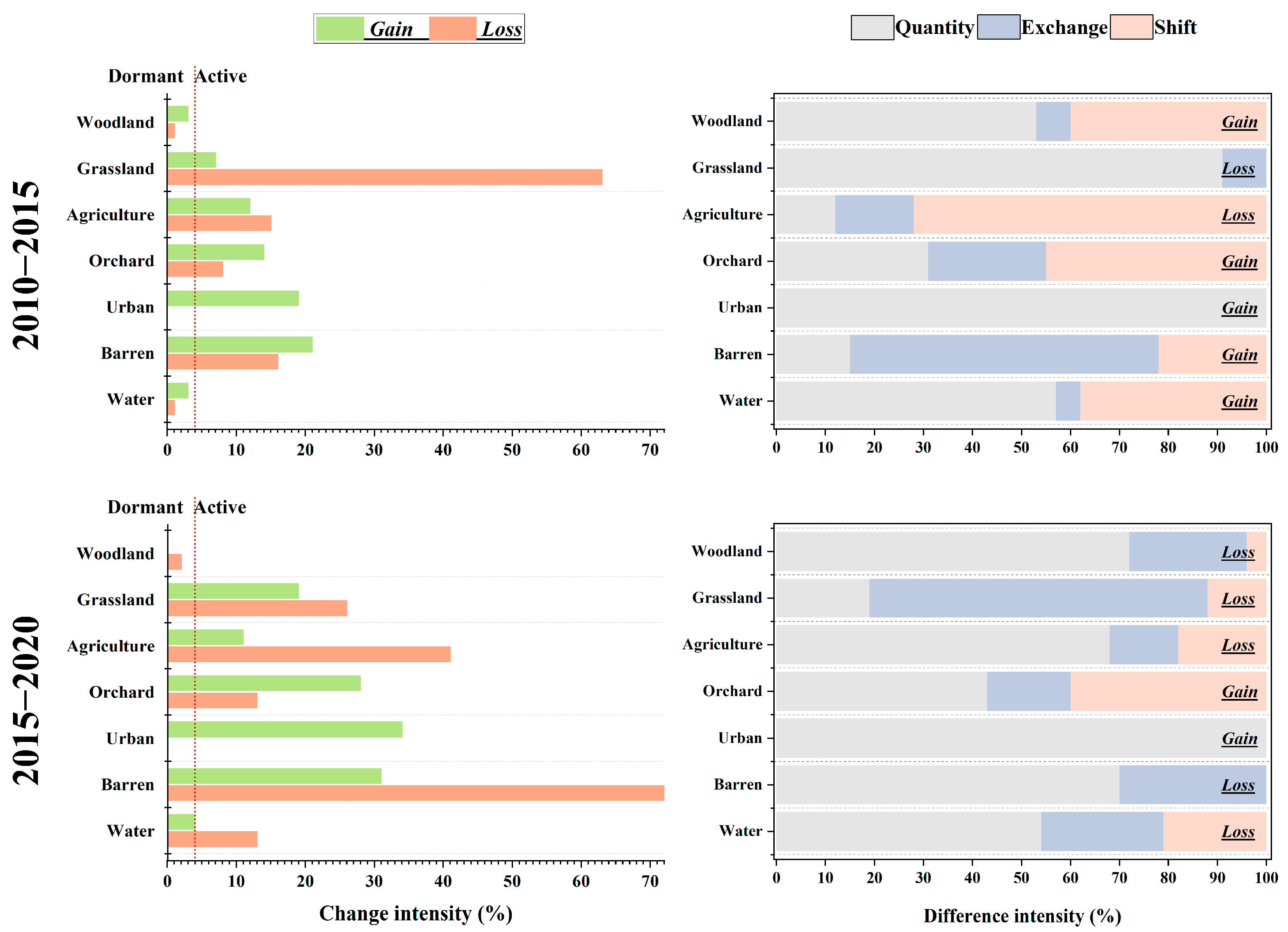
3.1. Patterns of Land Use Change
3.2. Model Training and Validation
3.3. Land Use Change under Different Scenarios
4. Discussion
4.1. LUCC in the MRW
4.2. Driving Factors for Land Use Change
4.3. Effects of Spatial Planning on the Dynamics of Land Use Change
5. Conclusions
Supplementary Materials
Author Contributions
Funding
Data Availability Statement
Conflicts of Interest
References
- Meyer, W.B.; Turner, B.L. Changes in Land Use and Land Cover: A Global Perspective; Cambridge University Press: Cambridge, UK, 1994. [Google Scholar]
- Parker, D.C.; Manson, S.M.; Janssen, M.A.; Hoffmann, M.J.; Deadman, P. Multi-agent systems for the simulation of land-use and land-cover change: A review. Ann. Assoc. Am. Geogr. 2003, 93, 314–337. [Google Scholar] [CrossRef]
- Lambin, E.F.; Geist, H.J.; Lepers, E. Dynamics of land-use and land-cover change in tropical regions. Annu. Rev. Environ. Resour. 2003, 28, 205–241. [Google Scholar] [CrossRef]
- Chen, Y.; Kirwan, M.L. Climate-driven decoupling of wetland and upland biomass trends on the mid-Atlantic coast. Nat. Geosci. 2022, 15, 913–918. [Google Scholar] [CrossRef]
- Palmate, S.S.; Wagner, P.D.; Fohrer, N.; Pandey, A. Assessment of uncertainties in modelling land use change with an integrated Cellular Automata-Markov chain model. Environ. Model. Assess. 2022, 27, 275–293. [Google Scholar] [CrossRef]
- Huang, J.L.; Pontius, R.G.; Li, Q.S.; Zhang, Y.J. Use of intensity analysis to link patterns with processes of land change from 1986 to 2007 in a coastal watershed of southeast China. Appl. Geogr. 2012, 34, 371–384. [Google Scholar] [CrossRef]
- Marques, A.; Martins, I.S.; Kastner, T.; Plutzar, C.; Theurl, M.C.; Eisenmenger, N.; Huijbregts, M.A.J.; Wood, R.; Stadler, K.; Bruckner, M.; et al. Increasing impacts of land use on biodiversity and carbon sequestration driven by population and economic growth. Nat. Ecol. Evol. 2019, 3, 628–637. [Google Scholar] [CrossRef]
- Ayalew, A.D.; Wagner, P.D.; Sahlu, D.; Fohrer, N. Land use change and climate dynamics in the Rift Valley Lake Basin, Ethiopia. Environ. Monit. Assess. 2022, 194, 791. [Google Scholar] [CrossRef]
- Aburas, M.M.; Ho, Y.M.; Ramli, M.F.; Ash’aari, Z.H. Improving the capability of an integrated CA-Markov model to simulate spatio-temporal urban growth trends using an analytical hierarchy process and frequency ratio. Int. J. Appl. Earth Obs. Geoinf. 2017, 59, 65–78. [Google Scholar] [CrossRef]
- Zhou, L.; Dang, X.W.; Sun, Q.K.; Wang, S.H. Multi-scenario simulation of urban land change in Shanghai by random forest and CA-Markov model. Sustain. Cities Soc. 2020, 55, 102045. [Google Scholar] [CrossRef]
- Wu, F.; Webster, C.J. Simulation of land development through the integration of cellular automata and multicriteria evaluation. Environ. Plan. B Plan. Des. 1998, 25, 103–126. [Google Scholar] [CrossRef]
- Arsanjani, J.J.; Helbich, M.; Kainz, W.; Boloorani, A.D. Integration of logistic regression, Markov chain and cellular automata models to simulate urban expansion. Int. J. Appl. Earth Obs. Geoinf. 2013, 21, 265–275. [Google Scholar] [CrossRef]
- Fu, X.; Wang, X.H.; Yang, Y.J. Deriving suitability factors for CA-Markov land use simulation model based on local historical data. J. Environ. Manag. 2018, 206, 10–11. [Google Scholar] [CrossRef]
- Li, H.; Reynolds, J.F. Modeling Effects of Spatial Pattern, Drought, and Grazing on Rates of Rangeland Degradation: A Combined Markov and Cellular Automaton Approach. In Scale in Remote Sensing and GIS; Quattrochi, D.A., Goodchild, M.F., Eds.; Lewis Publishers: Boca Raton, FL, USA, 1997; pp. 211–230. [Google Scholar]
- Serneels, S.; Lambin, E.F. Proximate causes of land use change in Narok district Kenya: A spatial statistical model. Agric. Ecosyst. Environ. 2001, 85, 65–81. [Google Scholar] [CrossRef]
- Wager, P.D.; Fohrer, N. Gaining prediction accuracy in land use modeling by integrating modeled hydrologic variables. Environ. Model. Softw. 2019, 115, 155–163. [Google Scholar] [CrossRef]
- Wang, Q.; Wang, H.J.; Chang, R.H.; Zeng, H.R.; Bai, X.P. Dynamic simulation patterns and spatiotemporal analysis of land-use/land-cover changes in the Wuhan metropolitan area, China. Ecol. Model. 2022, 464, 109850. [Google Scholar] [CrossRef]
- Lei, C.G.; Wagner, P.D.; Fohrer, N. Identifying the most important spatially distributed variables for explaining land use patterns in a rural lowland catchment in Germany. J. Geogr. Sci. 2019, 29, 1788–1806. [Google Scholar] [CrossRef]
- Mansour, S.; Al-Belushi, M.; Al-Awadhi, T. Monitoring land use and land cover changes in the mountainous cities of Oman using GIS and CA-Markov modelling techniques. Land Use Policy 2020, 91, 104414. [Google Scholar] [CrossRef]
- Xu, T.; Gao, J.; Coco, G. Simulation of urban expansion via integrating artificial neural network with Markov chain-cellular automata. Int. J. Geogr. Inf. Sci. 2019, 33, 1960–1983. [Google Scholar] [CrossRef]
- Rani, M.S.; Cameron, R.; Schroth, O.; Lange, E. Updating and backdating analyses for mitigating uncertainties in land change modeling: A case study of the Ci Kapundung upper water catchment area, Java Island, Indonesia. Int. J. Geogr. Inf. Sci. 2022, 12, 2549–2562. [Google Scholar] [CrossRef]
- Okwuashi, O.; Ndehedehe, C.E. Integrating machine learning with Markov chain and cellular automata models for modelling urban land use change. Remote Sens. Appl. Soc. Environ. 2021, 21, 100461. [Google Scholar] [CrossRef]
- Amato, F.; Tonini, M.; Murgante, B.; Kanevski, M. Fuzzy definition of rural urban interface: An application based on land use change scenarios in Portugal. Environ. Model. Softw. 2018, 104, 171–187. [Google Scholar] [CrossRef]
- Viana, C.M.; Santos, M.; Freire, D.; Abrantes, P.; Rocha, J. Evaluation of the factors explaining the use of agriculture land: A machine learning and model-agnostic approach. Ecol. Indic. 2021, 131, 108200. [Google Scholar] [CrossRef]
- Ren, X.; Mi, Z.; Georgopoulos, P.G. Comparison of machine learning and land use regression for fine scale spatiotemporal estimation of ambient air pollution: Modeling ozone concentration across the contiguous United States. Environ. Int. 2020, 142, 105827. [Google Scholar] [CrossRef] [PubMed]
- Gounaridis, D.; Chorianopoulos, I.; Symeonakis, E.; Koukoulas, S. A random forest-cellular automata modelling approach to explore future land use/cover change in Attica (Greece), under different socio-economic realities and scales. Sci. Total Environ. 2015, 646, 320–335. [Google Scholar] [CrossRef]
- Zhou, P.; Huang, J.; Pontius, R.G.; Hong, H. New Insight into the Correlations between Land Use and Water Quality in a Coastal Watershed of China: Does Point Source Pollution Weaken It? Sci. Total Environ. 2016, 543, 591–600. [Google Scholar] [CrossRef]
- Zhang, Z.; Huang, J.; Zhou, M.; Huang, Y.; Lu, Y. A Coupled Modeling Approach for Water Management in a River-reservoir System. Int. J. Environ. Res. Public Health 2019, 16, 2949. [Google Scholar] [CrossRef]
- Yang, X.J.; Liu, Z. Using satellite imagery and GIS for land-use and land-cover change mapping in an estuarine watershed. Int. J. Remote Sens. 2005, 26, 5275–5296. [Google Scholar] [CrossRef]
- Huang, B.Q.; Huang, J.L.; Pontius, R.G.; Tu, Z.S. Comparison of intensity analysis and the land use dynamic degrees to measure land changes versus inside the coastal zone of Longhai, China. Ecol. Indic. 2018, 89, 336–347. [Google Scholar] [CrossRef]
- Zhou, P.; Huang, J.L.; Pontius, R.G.; Hong, H.S. Land classification and change intensity analysis in a coastal watershed of southeast China. Sensors 2014, 14, 11640–11658. [Google Scholar] [CrossRef]
- Elvidge, C.D.; Baugh, K.; Zhizhin, M.; Hsu, F.C.; Ghosh, T. VIIRS night-time lights. Int. J. Remote Sens. 2017, 38, 5860–5879. [Google Scholar] [CrossRef]
- Elvidge, C.D.; Zhizhin, M.; Ghosh, T.; Hsu, F.C. Annual time series of global VIIRS nighttime lights derived from monthly averages: 2012 to 2019. Remote Sens. 2021, 13, 922. [Google Scholar] [CrossRef]
- WorldPop, Center for International Earth Science Information Network (CIESIN), Columbia University. Global High Resolution Population Denominators Project. 2018. Available online: https://hub.worldpop.org/geodata/summary?id=24926 (accessed on 26 March 2023).
- Xu, D.; Zhang, K.; Cao, L.; Guan, X.; Zhang, H. Driving forces and prediction of urban land use change based on the geodetector and CA-Markov model: A case study of Zhengzhou, China. Int. J. Digit. Earth 2022, 15, 2246–2267. [Google Scholar] [CrossRef]
- Rodriguez-Galiano, V.F.; Ghimire, B.; Rogan, J.; Chica-Olmo, M.; Rigol-Sanchez, J.P. An assessment of the effectiveness of a random forest classifier for land-cover classification. ISPRS J. Photogramm. Remote Sens. 2012, 67, 93–104. [Google Scholar] [CrossRef]
- Tan, M.; Liu, K.; Liu, L.; Zhu, Y.; Wang, D. Spatialization of population in the Pearl River Delta in 30m grids using random forest model. Prog. Geogr. 2017, 36, 1304–1312. [Google Scholar]
- Webster, C.; Wu, F. Coarse, spatial pricing and self-organising cities. Urban Stud. 2001, 38, 2037–2054. [Google Scholar] [CrossRef]
- Wolfram, S. Cellular automata as models of complexity. Nature 1998, 311, 419–424. [Google Scholar] [CrossRef]
- Hou, X.; Chang, B.; Yu, F. Land use in Hexi corridor based on CA-Markov methods. Trans. CSAE 2004, 20, 286–291. [Google Scholar]
- Hamad, R.; Balzter, H.; Kolo, K. Predicting land use/cover changes using a CA-Markov model under two different scenarios. Sustainability 2018, 10, 3421. [Google Scholar] [CrossRef]
- Sang, L.; Zhang, C.; Yang, J.; Zhu, D.; Yun, W. Simulation of land use spatial pattern of towns and villages based on CA-Markov model. Math. Comput. Model. 2011, 54, 938–943. [Google Scholar] [CrossRef]
- Jiang, G.; Zhang, F.; Kong, X. Determining conversion direction of the rural residential land consolidation in Beijing mountainous areas. Trans. CSAE 2009, 25, 214–221. [Google Scholar]
- Pontius, R.G.; Scheider, L.C. Land-cover change model validation by an ROC method for the Ipswich watershed Massachusetts, USA. Agric. Ecosyst. Environ. 2001, 85, 239–248. [Google Scholar] [CrossRef]
- Pontius, R.G.; Shusas, E.; McEachern, M. Detecting important categorical land changes while accounting for persistence. Agric. Ecosyst. Environ. 2004, 101, 251–268. [Google Scholar] [CrossRef]
- Aldwaik, S.Z.; Pontius, R.G. Intensity analysis to unify measurements of size and stationarity of land changes by interval, category, and transition. Landsc. Urban Plan. 2012, 106, 103–114. [Google Scholar] [CrossRef]
- Pontius, R.G.; Santacruz, A. Quantity, exchange, and shift components of difference in a square contingency table. Int. J. Remote Sens. 2014, 35, 7543–7554. [Google Scholar] [CrossRef]
- Shafizadeh-Moghadam, H.; Minaei, M.; Feng, Y.J.; Pontius, R.G. Globaeland30 maps show four times larger gross than net land change from 2000 to 2010 in Asia. Int. J. Appl. Earth Obs. Geoinf. 2019, 78, 240–248. [Google Scholar]
- Pontius, R.G. Component intensities to relate difference by category with difference overall. Int. J. Appl. Earth Obs. Geoinf. 2019, 77, 94–99. [Google Scholar] [CrossRef]
- Pontius, R.G.; Miliones, M. Death to Kappa: Birth of quantity disagreement and allocation disagreement for accuracy assessment. Int. J. Remote Sens. 2011, 32, 4407–4429. [Google Scholar] [CrossRef]
- Su, C.; Fu, B.; Lu, Y.; Lu, N.; Zeng, Y.; He, A.; Lamparski, H. Land use change and anthropogenic driving forces: A case study in Yanhe River Basin. Chin. Geogr. Sci. 2011, 21, 587–599. [Google Scholar] [CrossRef]
- Chang, X.; Xing, Y.; Wang, J.; Yang, H.; Gong, W. Effects of land use and cover change (LUCC) on terrestrial carbon stocks in China between 2000 and 2018. Resour. Conserv. Recycl. 2022, 182, 106333. [Google Scholar] [CrossRef]
- Stevens-Ruman, C.S.; Morgan, P. Tree regeneration following wildfires in the western US: A review. Fire Ecol. 2019, 15, 15. [Google Scholar] [CrossRef]
- Pontius, R.G.; Versluis, A.J.; Malizia, N.R. Visualizing certainty of extrapolations from models of land change. Landsc. Ecol. 2006, 21, 1151–1161. [Google Scholar] [CrossRef]
- Ren, Y.J.; Lu, Y.H.; Comber, A.; Fu, B.J.; Harris, P.; Wu, L.H. Spatially explicit simulation of land use/land cover changes: Current coverage and future prospects. Earth-Sci. Rev. 2019, 190, 398–415. [Google Scholar] [CrossRef]
- Lu, D.; Gao, G.Y.; Lu, Y.H.; Ren, Y.J.; Fu, B.J. An effective accuracy assessment indicator for credible land use change modelling: Insights from hypothetical and real landscape analyses. Ecol. Indic. 2020, 117, 106552. [Google Scholar] [CrossRef]
- Liu, X.; Liang, X.; Li, X.; Xu, X.; Ou, J.; Chen, Y.; Li, S.; Wang, S.; Pei, F. A future land use simulation model (FLUS) for simulating multiple land use scenarios by coupling human and natural effects. Landsc. Urban Plan. 2017, 168, 94–116. [Google Scholar] [CrossRef]
- Price, B.; Kienast, F.; Seidl, I.; Ginzler, C.; Verburg, P.H.; Bolliger, J. Future landscapes of Swizerland: Risk areas for urbanisation and land abandonment. Appl. Geogr. 2015, 57, 32–41. [Google Scholar] [CrossRef]
- Guan, D.J.; Zhao, Z.L.; Tan, J. Dynamic simulation of land use change based on logistic-CA-Markov and WLC-CA-Markov models: A case study in three gorges reservoir area of Chongqing, China. Environ. Sci. Pollut. Res. 2019, 26, 20669–20688. [Google Scholar] [CrossRef]
- Pazur, R.; Bolliger, J. Land changes in Slovakia: Past processes and future directions. Appl. Geogr. 2017, 85, 163–175. [Google Scholar] [CrossRef]







| Year 2010 | Year 2015 | Year 2020 | ||||||
|---|---|---|---|---|---|---|---|---|
| Acquisition Data | Path/Row | Satellite Senor | Acquisition Data | Path/Row | Satellite Senor | Acquisition Data | Path/Row | Satellite Senor |
| 31 October 2010 | 119/41 | Landsat 5-TM | 27 September 2015 | 119/41 | Landsat 8-OLI | 10 October 2020 | 119/41 | Landsat 8-OLI |
| 31 October 2010 | 119/42 | Landsat 5-TM | 27 September 2015 | 119/42 | Landsat 8-OLI | 17 April 2020 | 119/42 | Landsat 8-OLI |
| 9 December 2010 | 120/41 | Landsat 5-TM | 26 February 2015 | 120/41 | Landsat 8-OLI | 20 February 2020 | 120/41 | Landsat 8-OLI |
| 9 December 2010 | 120/42 | Landsat 5-TM | 13 May 2015 | 120/42 | Landsat 8-OLI | 20 February 2020 | 120/42 | Landsat 8-OLI |
| 14 January 2010 | 121/41 | Landsat 5-TM | 11 October 2015 | 121/41 | Landsat 8-OLI | 15 April 2020 | 121/41 | Landsat 8-OLI |
| 14 January 2010 | 121/42 | Landsat 5-TM | 13 February 2015 | 121/42 | Landsat 8-OLI | 15 April 2020 | 121/42 | Landsat 8-OLI |
| Category | Description |
|---|---|
| Woodland | Any significant clustering of dense vegetation, typically with a closed or dense canopy. |
| Grassland | Open areas covered in homogenous grasses with little other vegetation. |
| Agriculture | Land used for cultivation, including newly cultivated land, fallow land, swidden land, and rotation plough land. |
| Orchard | Areas for planting perennial woody plants and perennial herbs that are used for collecting fruit, leaves, or rhizomes. |
| Urban | Human-made structures, roads, railways, large homogenous impervious surfaces. |
| Barren | Areas with little vegetation, including exposed rock or soil, desert and sand dunes, dry salt flats/pans, and mines. |
| Water | Areas where water is predominant throughout the year. |
| Category | Driving Factor | Year |
|---|---|---|
| Topographic variable | Elevation | |
| Slope | ||
| Aspect | ||
| Proximity variable | Distance to highway | 2015, 2020 |
| Distance to high-speed rail | 2015, 2020 | |
| Distance to city center (i.e., cities and counties) | 2020 | |
| Distance to education facilities (i.e., kindergartens, schools, colleges and universities) | ||
| Distance to entertainment facilities (e.g., public garden) | ||
| Socioeconomic variable | Population density | 2015, 2020 |
| VIIRS nighttime lights | 2015, 2020 |
| Observed (Yes) | Observed (No) | |
|---|---|---|
| Simulated (Yes) | Hits (H) | False Alarms (FA) |
| Simulated (No) | Misses (M) | Correct Rejections (CR) |
| Period | Origin Category | Woodland | Grassland | Agriculture | Orchard | Urban | Barren | Water | Sum | Loss |
|---|---|---|---|---|---|---|---|---|---|---|
| 2010–2015 | Woodland | 84.13 | 0.11 | 0.36 | 0.12 | 0.2 | 0.01 | 0.01 | 84.94 | 0.81 |
| Grassland | 2.51 | 1.59 | 0.02 | 0.06 | 0.1 | 0.01 | 0.03 | 4.32 | 2.73 | |
| Agriculture | 0.02 | 0.01 | 3.18 | 0.1 | 0.45 | 3.76 | 0.58 | |||
| Orchard | 0.05 | 1.8 | 0.09 | 0.01 | 1.95 | 0.15 | ||||
| Urban | 0 | 0 | 0 | 0 | 3.54 | 0 | 0 | 3.54 | 0 | |
| Barren | 0.01 | 0.01 | 0.1 | 0.12 | 0.02 | |||||
| Water | 0.01 | 1.36 | 1.37 | 0.01 | ||||||
| Sum | 86.66 | 1.72 | 3.63 | 2.08 | 4.38 | 0.13 | 1.4 | 100 | ||
| Loss | 2.53 | 0.13 | 0.45 | 0.28 | 0.84 | 0.03 | 0.04 | |||
| 2015–2020 | Woodland | 85.34 | 0.17 | 0.14 | 0.28 | 0.71 | 0.01 | 0.01 | 86.66 | 1.32 |
| Grassland | 0.15 | 1.28 | 0.09 | 0.13 | 0.06 | 0.01 | 1.72 | 0.44 | ||
| Agriculture | 0.02 | 0.07 | 2.16 | 0.15 | 1.21 | 0.02 | 3.63 | 1.47 | ||
| Orchard | 0.03 | 0.03 | 1.81 | 0.2 | 0.01 | 2.08 | 0.27 | |||
| Urban | 0 | 0 | 0 | 0 | 4.38 | 0 | 0 | 4.38 | 0 | |
| Barren | 0.02 | 0.02 | 0.02 | 0.02 | 0.01 | 0.04 | 0.13 | 0.09 | ||
| Water | 0.03 | 0.01 | 0.11 | 0.03 | 1.22 | 1.4 | 0.18 | |||
| Sum | 85.56 | 1.58 | 2.44 | 2.5 | 6.6 | 0.05 | 1.27 | 100 | ||
| Loss | 0.22 | 0.3 | 0.28 | 0.7 | 2.22 | 0.01 | 0.05 |
| Woodland | Grassland | Agriculture | Orchard | Urban | Barren | Water | |
|---|---|---|---|---|---|---|---|
| Overall accuracy | 98.59% | 99.46% | 98.73% | 99.18% | 98.53% | 99.91% | 99.78% |
| Producer’s accuracy | 99.76% | 60.98% | 96.59% | 75.60% | 78.00% | 68.30% | 96.72% |
| User’s accuracy | 98.63% | 84.59% | 66.74% | 92.20% | 99.89% | 61.70% | 87.32% |
| FOM | 0.99 | 0.64 | 0.65 | 0.75 | 0.78 | 0.6 | 0.85 |
| Overall accuracy of map | 0.971 | ||||||
| Kappa * | 0.884 | ||||||
Disclaimer/Publisher’s Note: The statements, opinions and data contained in all publications are solely those of the individual author(s) and contributor(s) and not of MDPI and/or the editor(s). MDPI and/or the editor(s) disclaim responsibility for any injury to people or property resulting from any ideas, methods, instructions or products referred to in the content. |
© 2023 by the authors. Licensee MDPI, Basel, Switzerland. This article is an open access article distributed under the terms and conditions of the Creative Commons Attribution (CC BY) license (https://creativecommons.org/licenses/by/4.0/).
Share and Cite
Zhang, Z.; Hörmann, G.; Huang, J.; Fohrer, N. A Random Forest-Based CA-Markov Model to Examine the Dynamics of Land Use/Cover Change Aided with Remote Sensing and GIS. Remote Sens. 2023, 15, 2128. https://doi.org/10.3390/rs15082128
Zhang Z, Hörmann G, Huang J, Fohrer N. A Random Forest-Based CA-Markov Model to Examine the Dynamics of Land Use/Cover Change Aided with Remote Sensing and GIS. Remote Sensing. 2023; 15(8):2128. https://doi.org/10.3390/rs15082128
Chicago/Turabian StyleZhang, Zhenyu, Georg Hörmann, Jinliang Huang, and Nicola Fohrer. 2023. "A Random Forest-Based CA-Markov Model to Examine the Dynamics of Land Use/Cover Change Aided with Remote Sensing and GIS" Remote Sensing 15, no. 8: 2128. https://doi.org/10.3390/rs15082128
APA StyleZhang, Z., Hörmann, G., Huang, J., & Fohrer, N. (2023). A Random Forest-Based CA-Markov Model to Examine the Dynamics of Land Use/Cover Change Aided with Remote Sensing and GIS. Remote Sensing, 15(8), 2128. https://doi.org/10.3390/rs15082128

