Improving Smartphone GNSS Positioning Accuracy Using Inequality Constraints
Abstract
1. Introduction
2. Positioning Model and Inequality Constraints
2.1. Positioning Model for Android Smartphones
2.2. Inequality Constraint Model
2.2.1. Vertical Velocity Constraint
2.2.2. Direction Constraint
2.2.3. Distance Constraint
2.2.4. Combining Different Types of Constraint
3. Kalman Filter with Inequality Constraints
3.1. Standard Kalman Filter
3.2. Solution of Inequality Constraint
| Algorithm 1: Kalman filter with inequality constraint. |
| Input: Estimation from the conventional unconstrained Kalman filter. State: , variance: . Output: Estimation of the Kalman filter with inequality constraints. Steps: 1. Transform and into a constrained frame. Obtain the transformed expectation and variance . 2. Check . 3. If : 4. go to Stop. 5. Else: (Constrain Process) 6. Compute the of the constrained area using Equation (27). 7. Normalize the PDF and compute the expectation and the variance of the area using Equation (28). 8. Update the result of standard KF, , and using , and , and obtain the inequality constraint results for and . 9. Compute the using the updated state and variance. 10. If: : 11. go to Stop. 12. Else: 13. Enlarge and . 14. Go to (Constrain Process). 15. Stop. |
4. Experiment and Setting
4.1. Data Description
4.2. Accuracy Statistics
5. Results Analysis
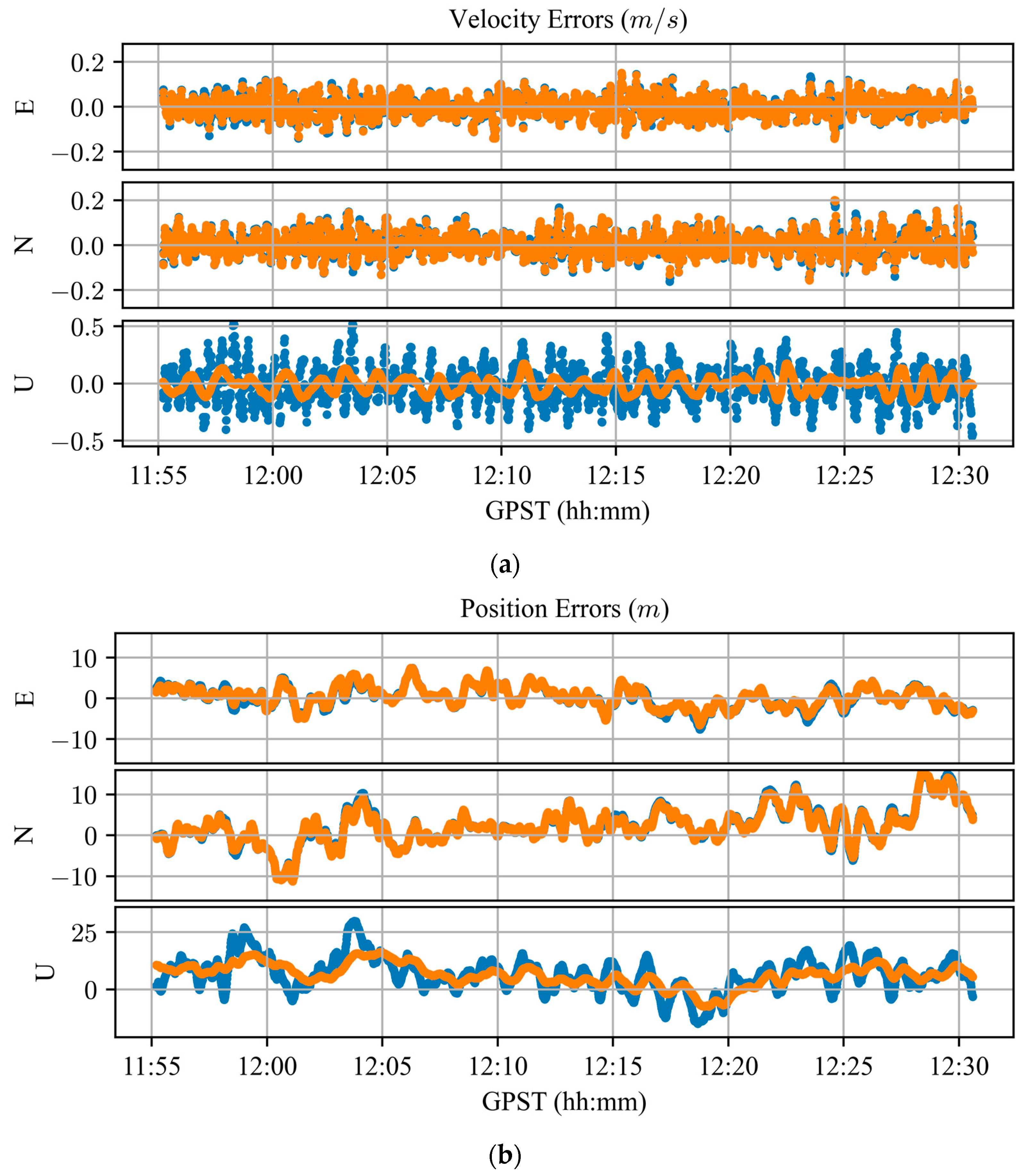
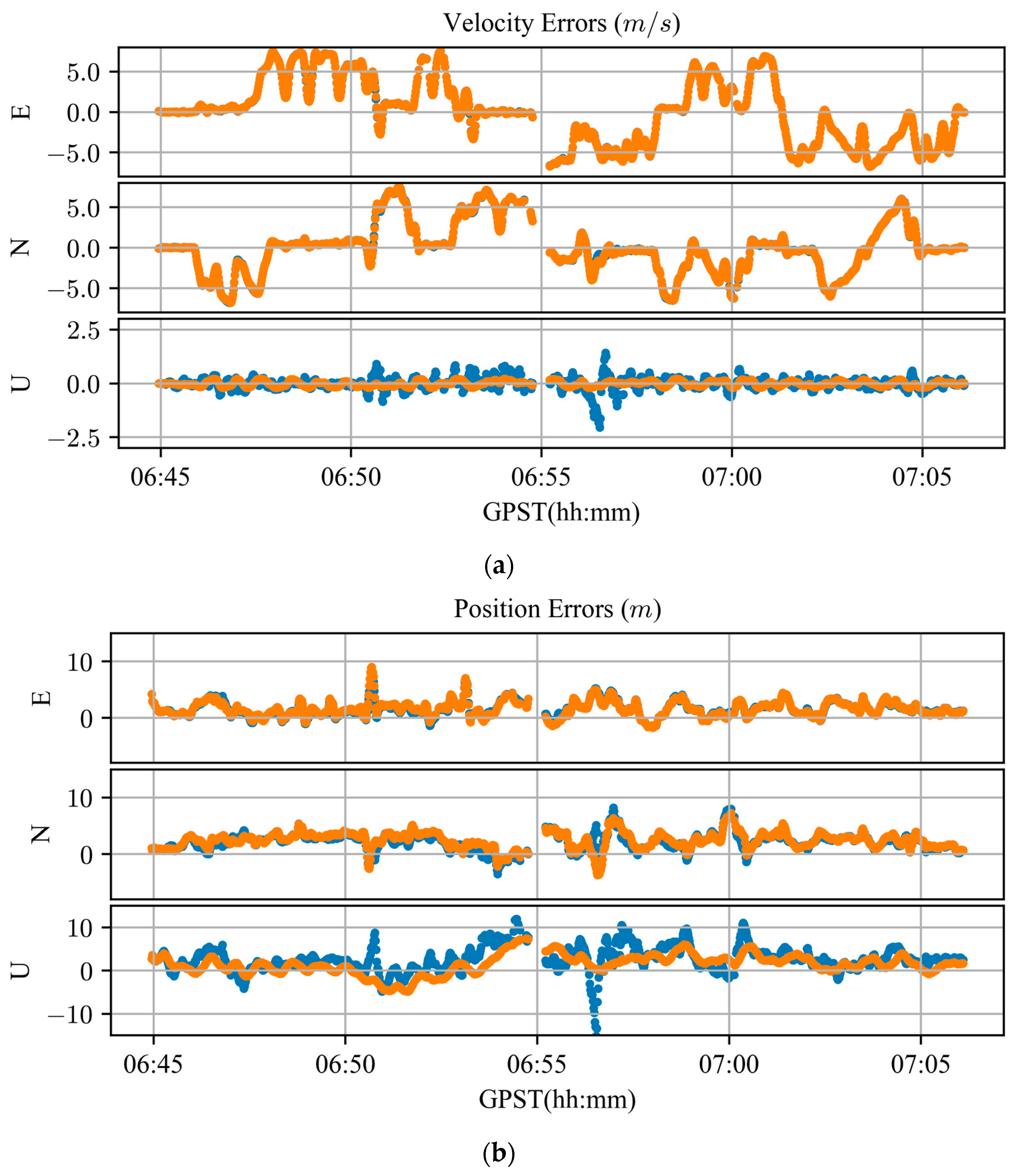
5.1. Performance of Vertical Velocity Constraint
5.2. Performance of Direction Constraint
5.3. Performance of Distance Constraint
6. Conclusions
Author Contributions
Funding
Data Availability Statement
Conflicts of Interest
References
- Humphreys, T.E.; Murrian, M.; van Diggelen, F.; Podshivalov, S.; Pesyna, K.M. On the feasibility of cm-accurate positioning via a Smartphone’s antenna and GNSS chip. In Proceedings of the 2016 IEEE/ION Position, Location and Navigation Symposium (PLANS), Savannah, GA, USA, 11–14 April 2016; pp. 232–242. [Google Scholar] [CrossRef]
- Paziewski, J. Recent advances and perspectives for positioning and applications with smartphone GNSS observations. Meas. Sci. Technol. 2020, 31, 091001. [Google Scholar] [CrossRef]
- Zangenehnejad, F.; Gao, Y. GNSS smartphones positioning: Advances, challenges, opportunities, and future perspectives. Satell. Navig. 2021, 2, 24. [Google Scholar] [CrossRef] [PubMed]
- Banville, S.; Diggelen, F. Precise GNSS for Everyone: Precise Positioning Using Raw GPS Measurements from Android Smartphones. GPS World 2016, 27, 43–48. [Google Scholar]
- Zhang, K.; Jiao, W.; Wang, L.; Li, Z.; Li, J.; Zhou, K. Smart-RTK: Multi-GNSS Kinematic Positioning Approach on Android Smart Devices with Doppler-Smoothed-Code Filter and Constant Acceleration Model. Adv. Space Res. 2019, 64, R713–R715. [Google Scholar] [CrossRef]
- Geng, J.; Jiang, E.; Li, G.; Xin, S.; Wei, N. An Improved Hatch Filter Algorithm towards Sub-Meter Positioning Using only Android Raw GNSS Measurements without External Augmentation Corrections. Remote Sens. 2019, 11, 1679. [Google Scholar] [CrossRef]
- Zhang, X.; Tao, X.; Zhu, F.; Shi, X.; Wang, F. Quality assessment of GNSS observations from an Android N smartphone and positioning performance analysis using time-differenced filtering approach. GPS Solut. 2018, 22, 70. [Google Scholar] [CrossRef]
- Aggrey, J.; Bisnath, S.; Naciri, N.; Shinghal, G.; Yang, S. Multi-GNSS precise point positioning with next-generation smartphone measurements. J. Spat. Sci. 2020, 65, 79–98. [Google Scholar] [CrossRef]
- Shinghal, G.; Bisnath, S. Conditioning and PPP processing of smartphone GNSS measurements in realistic environments. Satell. Navig. 2021, 2, 10. [Google Scholar] [CrossRef] [PubMed]
- Chen, B.; Gao, C.; Liu, Y.; Sun, P. Real-time Precise Point Positioning with a Xiaomi MI 8 Android Smartphone. Sensors 2019, 19, 2835. [Google Scholar] [CrossRef]
- Wu, Q.; Sun, M.; Zhou, C.; Zhang, P. Precise Point Positioning Using Dual-Frequency GNSS Observations on Smartphone. Sensors 2019, 19, 2189. [Google Scholar] [CrossRef] [PubMed]
- Elmezayen, A.; El-Rabbany, A. Precise Point Positioning Using World’s First Dual-Frequency GPS/GALILEO Smartphone. Sensors 2019, 19, 2593. [Google Scholar] [CrossRef]
- Paziewski, J.; Sieradzki, R.; Baryla, R. Signal characterization and assessment of code GNSS positioning with low-power consumption smartphones. GPS Solut. 2019, 23, 98. [Google Scholar] [CrossRef]
- Zeng, S.; Kuang, C.; Yu, W. Evaluation of Real-Time Kinematic Positioning and Deformation Monitoring Using Xiaomi Mi 8 Smartphone. Appl. Sci. 2022, 12, 435. [Google Scholar] [CrossRef]
- Altuntas, C.; Tunalioglu, N. Feasibility of retrieving effective reflector height using GNSS-IR from a single-frequency android smartphone SNR data. Digit Signal Process. 2021, 112, 103011. [Google Scholar] [CrossRef]
- Zhu, F.; Tao, X.; Liu, W.; Shi, X.; Wang, F.; Zhang, X. Walker: Continuous and Precise Navigation by Fusing GNSS and MEMS in Smartphone Chipsets for Pedestrians. Remote Sens. 2019, 11, 139. [Google Scholar] [CrossRef]
- Yan, W.; Bastos, L.; Magalhães, A. Performance Assessment of the Android Smartphone’s IMU in a GNSS/INS Coupled Navigation Model. IEEE Access. 2019, 7, 171073–171083. [Google Scholar] [CrossRef]
- Bochkati, M.; Sharma, H.; Lichtenberger, C.A.; Pany, T. Demonstration of Fused RTK (Fixed) + Inertial Positioning Using Android Smartphone Sensors Only. In Proceedings of the 2020 IEEE/ION Position, Location and Navigation Symposium (PLANS), Portland, OR, USA, 20–23 April 2020; pp. 1140–1154. [Google Scholar] [CrossRef]
- Li, Z.; Zhao, L.; Qin, C.; Wang, Y. WiFi/PDR integrated navigation with robustly constrained Kalman filter. Meas. Sci. Technol. 2020, 31, 084002. [Google Scholar] [CrossRef]
- Mostafa, M.Z.; Khater, H.A.; Rizk, M.R.; Bahasan, A.M. A novel GPS/ RAVO/MEMS-INS smartphone-sensor-integrated method to enhance USV navigation systems during GPS outages. Meas. Sci. Technol. 2019, 30, 095103. [Google Scholar] [CrossRef]
- Niu, Z.; Zhao, X.; Sun, J.; Tao, L.; Zhu, B. A Continuous Positioning Algorithm Based on RTK and VI-SLAM With Smartphones. IEEE Access. 2020, 8, 185638–185650. [Google Scholar] [CrossRef]
- Wang, Q.; Cheng, M.; Noureldin, A.; Guo, Z. Research on the improved method for dual foot-mounted Inertial/Magnetometer pedestrian positioning based on adaptive inequality constraints Kalman Filter algorithm. Measurement 2019, 135, 189–198. [Google Scholar] [CrossRef]
- Sircoulomb, V.; Hoblos, G.; Chafouk, H.; Ragot, J. State estimation under nonlinear state inequality constraints. A tracking application. In Proceedings of the 2008 16th Mediterranean Conference on Control and Automation, Ajaccio, Corsica, 25–27 June 2008; pp. 1669–1674. [Google Scholar] [CrossRef]
- Gioia, C.; Borio, D. Android positioning: From stand-alone to cooperative approaches. Appl. Geomat. 2021, 13, 195–216. [Google Scholar] [CrossRef]
- Schwarzbach, P.; Michler, A.; Tauscher, P.; Michler, O. An Empirical Study on V2X Enhanced Low-Cost GNSS Cooperative Positioning in Urban Environments. Sensors 2019, 19, 5201. [Google Scholar] [CrossRef]
- Verheyde, T.; Blais, A.; Macabiau, C.; Marmet, F.X. SmartCoop Algorithm: Improving Smartphones Position Accuracy and Reliability through Collaborative Positioning. In Proceedings of the 2021 International Conference on Localization and GNSS (ICL-GNSS), Tampere, Finland, 1–3 June 2021; pp. 1–6. [Google Scholar] [CrossRef]
- Simon, D.; Simon, D.L. Kalman filtering with inequality constraints for turbofan engine health estimation. IEE Proc. Control Theory Appl. 2006, 153, 371–378. [Google Scholar] [CrossRef]
- Zhu, J.; Santerre, R.; Chang, X.W. A Bayesian method for linear, inequality-constrained adjustment and its application to GPS positioning. J. Geod. 2005, 78, 528–534. [Google Scholar] [CrossRef]
- Gupta, N.; Hauser, R. Kalman Filtering with Equality and Inequality State Constraints. arXiv 2007, arXiv:0709.2791. [Google Scholar]
- Tully, S.; Kantor, G.; Choset, H. Inequality constrained Kalman filtering for the localization and registration of a surgical robot. In Proceedings of the 2011 IEEE/RSJ International Conference on Intelligent Robots and Systems, San Francisco, CA, USA, 25–30 September 2011; pp. 5147–5152. [Google Scholar] [CrossRef]
- Simon, D.; Simon, D.L. Constrained Kalman filtering via density function truncation for turbofan engine health estimation. Int. J. Syst. Sci. 2010, 41, 159–171. [Google Scholar] [CrossRef]
- Zhou, Z.; Li, B. Optimal Doppler-aided smoothing strategy for GNSS navigation. GPS Solut. 2017, 21, 197–210. [Google Scholar] [CrossRef]
- Li, G.; Geng, J. Characteristics of raw multi-GNSS measurement error from Google Android smart devices. GPS Solut. 2019, 23, 90. [Google Scholar] [CrossRef]
- Purfürst, T. Evaluation of Static Autonomous GNSS Positioning Accuracy Using Single-, Dual-, and Tri-Frequency Smartphones in Forest Canopy Environments. Sensors 2022, 22, 1289. [Google Scholar] [CrossRef] [PubMed]
- Paziewski, J.; Pugliano, G.; Robustelli, U. Performance assessment of GNSS single point positioning with recent smartphones. In Proceedings of the IMEKO TC-19 International Workshop on Metrology for the Sea, Naples, Italy, 5–7 October 2020. [Google Scholar]
- Takasu, T.; Yasuda, A. Development of the low-cost RTK-GPS receiver with an open source program package RTKLIB. In Proceedings of the International symposium on GPS/GNSS 2009, Jeju, Republic of Korea, 4–6 November 2009; Available online: https://www.semanticscholar.org/paper/Development-of-the-low-cost-RTK-GPS-receiver-with-Takasu-Yasuda/22a2003edb2c8962b8c96975029810c62c66389b (accessed on 2 April 2023).
- JTG B01-2019; Technical Standard of Highway Engineering. Ministry of Transportation Highway Division of China: Beijing, China, 2019.
- Alam, N.; Tabatabaei Balaei, A.; Dempster, A.G. A DSRC Doppler-Based Cooperative Positioning Enhancement for Vehicular Networks With GPS Availability. IEEE Trans. Veh. Technol. 2011, 60, 4462–4470. [Google Scholar] [CrossRef]
- He, K.; Xu, T.; Förste, C.; Petrovic, S.; Barthelmes, F.; Jiang, N.; Flechtner, F. GNSS Precise Kinematic Positioning for Multiple Kinematic Stations Based on A Priori Distance Constraints. Sensors 2016, 16, 470. [Google Scholar] [CrossRef] [PubMed]
- Ma, L.; Lu, L.; Zhu, F.; Liu, W.; Lou, Y. Baseline length constraint approaches for enhancing GNSS ambiguity resolution: Comparative study. GPS Solut. 2021, 25, 40. [Google Scholar] [CrossRef]
- Wen, W.; Pfeifer, T.; Bai, X.; Hsu, L.T. Factor graph optimization for GNSS/INS integration: A comparison with the extended Kalman filter. Navig. J. Inst. Navig. 2021, 68, 315–331. [Google Scholar] [CrossRef]
- Simon, D.; Chia, T.L. Kalman filtering with state equality constraints. IEEE Trans Aerosp Electron Syst. 2002, 38, 128–136. [Google Scholar] [CrossRef]
- Bahadur, B. A study on the real-time code-based GNSS positioning with Android smartphones. Measurement 2022, 194, 111078. [Google Scholar] [CrossRef]
- Kalman, R.E. A new approach to linear filtering and prediction problems. Trans. ASME–J. Basic Eng. 1960, 82, 35–45. [Google Scholar] [CrossRef]
- Nocedal, J.; Wright, S.J. Numerical Optimization, 2nd ed.; Springer: Berlin/Heidelberg, Germany, 2006. [Google Scholar]
- Montenbruck, O.; Steigenberger, P.; Hauschild, A. Broadcast versus precise ephemerides: A multi-GNSS perspective. GPS Solut. 2015, 19, 321–333. [Google Scholar] [CrossRef]
- Teng, Y.T.; Wang, J. Some Remarks on PDOP and TDOP for Multi-GNSS Constellations. J. Navig. 2016, 69, 145–155. [Google Scholar] [CrossRef]
















| A | B | C | D | |
|---|---|---|---|---|
| Latitude () | 31.893451 | 31.8936597 | 31.8933643 | 31.8935834 |
| Longitude () | 118.8175719 | 118.8184759 | 118.817593 | 118.818498 |
| Device | Original RMSE (m) | Constrained RMSE (m) | Imp | |||||||
|---|---|---|---|---|---|---|---|---|---|---|
| E | N | U | E | N | U | E | N | U | ||
| Static | HP40 | 2.56 | 5.05 | 10.07 | 2.49 | 4.93 | 7.94 | 3.00% | 2.32% | 21.09% |
| HP30 | 4.08 | 5.27 | 9.41 | 3.79 | 4.87 | 6.38 | 7.15% | 7.65% | 32.22% | |
| XMI8 | 3.29 | 3.60 | 15.31 | 3.18 | 3.70 | 13.66 | 3.21% | −2.74% | 10.80% | |
| Dynamic | HP40 | 1.77 | 3.15 | 5.04 | 1.81 | 2.77 | 3.93 | −2.58% | 12.12% | 21.92% |
| HP30 | 2.04 | 2.78 | 3.83 | 2.09 | 2.59 | 2.57 | −2.30% | 6.82% | 32.80% | |
| XMI8 | 1.41 | 2.40 | 4.65 | 1.44 | 2.24 | 4.32 | −2.43% | 6.61% | 7.01% | |
| Smartphone | Method | Position RMSE (m) | Imp | |||||
|---|---|---|---|---|---|---|---|---|
| E | N | U | E | N | U | 2D | ||
| HP30 | Original | 3.14 | 6.12 | 3.24 | 1.66% | 21.20% | −0.12% | 16.77% |
| Constrained | 3.08 | 4.83 | 3.25 | |||||
| HP40 | Original | 4.02 | 2.79 | 18.60 | 2.47% | 48.09% | 5.05% | 14.57% |
| Constrained | 3.92 | 1.45 | 17.67 | |||||
| XMI8 | Original | 2.94 | 5.13 | 21.07 | 2.69% | 43.43% | −1.78% | 31.09% |
| Constrained | 2.86 | 2.90 | 21.44 | |||||
Disclaimer/Publisher’s Note: The statements, opinions and data contained in all publications are solely those of the individual author(s) and contributor(s) and not of MDPI and/or the editor(s). MDPI and/or the editor(s) disclaim responsibility for any injury to people or property resulting from any ideas, methods, instructions or products referred to in the content. |
© 2023 by the authors. Licensee MDPI, Basel, Switzerland. This article is an open access article distributed under the terms and conditions of the Creative Commons Attribution (CC BY) license (https://creativecommons.org/licenses/by/4.0/).
Share and Cite
Peng, Z.; Gao, Y.; Gao, C.; Shang, R.; Gan, L. Improving Smartphone GNSS Positioning Accuracy Using Inequality Constraints. Remote Sens. 2023, 15, 2062. https://doi.org/10.3390/rs15082062
Peng Z, Gao Y, Gao C, Shang R, Gan L. Improving Smartphone GNSS Positioning Accuracy Using Inequality Constraints. Remote Sensing. 2023; 15(8):2062. https://doi.org/10.3390/rs15082062
Chicago/Turabian StylePeng, Zihan, Yang Gao, Chengfa Gao, Rui Shang, and Lu Gan. 2023. "Improving Smartphone GNSS Positioning Accuracy Using Inequality Constraints" Remote Sensing 15, no. 8: 2062. https://doi.org/10.3390/rs15082062
APA StylePeng, Z., Gao, Y., Gao, C., Shang, R., & Gan, L. (2023). Improving Smartphone GNSS Positioning Accuracy Using Inequality Constraints. Remote Sensing, 15(8), 2062. https://doi.org/10.3390/rs15082062

