Filtering Airborne LiDAR Data in Forested Environments Based on Multi-Directional Narrow Window and Cloth Simulation
Abstract
1. Introduction
- (1)
- Sufficient and evenly distributed ground seeds are identified. In this step, we propose a ground seed identification method based on the multi-directional narrow rectangle window. The method can identify ground seeds in more positions and directions, obtaining more complete ground seeds on various terrain details than the common square window. Moreover, a line-segmentation-based ground seed enhancement method is developed to increase ground seeds on raised terrain. High-quality ground seeds provide a detailed basis for ground point extraction and therefore improve ground filtering accuracy in various forested environments.
- (2)
- Complete and accurate ground points are extracted. In this step, the ground points are extracted iteratively based on the updated terrain by executing three key procedures, i.e., incorrect ground point elimination, terrain reconstruction and ground point selection. The incorrect points among the extracted ground points can be eliminated by the internal force adjustment of cloth simulation, improving the accuracy of the terrain surface. The terrain surface is reconstructed through the moving least-squares plane fitting, which enhances the reliability of terrain due to it being terrain-adaptive. The two improvements provide guarantees for accurately extracting ground points in each iteration. Finally, ground points are extracted iteratively based on the progressively refined terrain, which ensures the extraction of complete ground points.
2. Methods
2.1. Ground Seed Identification
2.2. Ground Point Extraction
2.3. Implementation
3. Experiments and Results
3.1. Experimental Setup
3.1.1. Data Description
3.1.2. Accuracy Metrics
3.1.3. Existing Methods Applied to Do Comparison
3.1.4. Parameter Settings
3.2. Results
3.2.1. Results of the Proposed Method
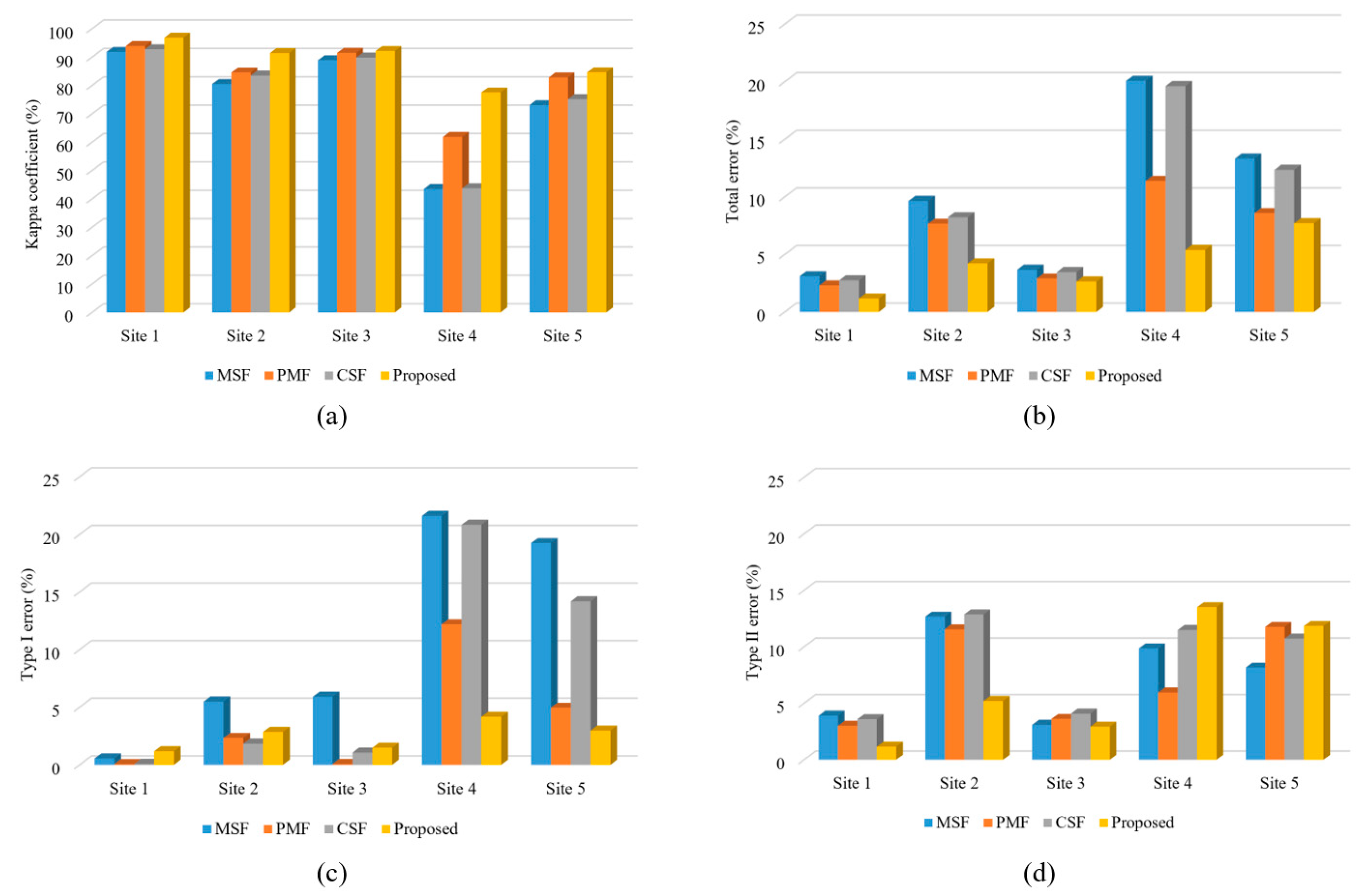
3.2.2. Comparisons between the Proposed Method and Existing Methods
4. Discussion
- (1)
- Is the proposed method effective for performing ground filtering?
- (2)
- Why is the proposed method effective for performing ground filtering?
- (3)
- What improvements are needed in the proposed method?
5. Conclusions
Author Contributions
Funding
Data Availability Statement
Conflicts of Interest
References
- Saarela, S.; Grafström, A.; Ståhl, G.; Kangas, A.; Holopainen, M.; Tuominen, S.; Nordkvist, K.; Hyyppä, J. Model-Assisted Estimation of Growing Stock Volume Using Different Combinations of LiDAR and Landsat Data as Auxiliary Information. Remote Sens. Environ. 2015, 158, 431–440. [Google Scholar] [CrossRef]
- Drake, J.B.; Dubayah, R.O.; Clark, D.B.; Knox, R.G.; Blair, J.B.; Hofton, M.A.; Chazdon, R.L.; Weishampel, J.F.; Prince, S. Estimation of Tropical Forest Structural Characteristics Using Large-Footprint Lidar. Remote Sens. Environ. 2002, 79, 305–319. [Google Scholar] [CrossRef]
- Jackson, R.B.; Randerson, J.T.; Canadell, J.G.; Anderson, R.G.; Avissar, R.; Baldocchi, D.D.; Bonan, G.B.; Caldeira, K.; Diffenbaugh, N.S.; Field, C.B.; et al. Protecting Climate with Forests. Environ. Res. Lett. 2008, 3, 044006. [Google Scholar] [CrossRef]
- Luyssaert, S.; Schulze, E.-D.; Börner, A.; Knohl, A.; Hessenmöller, D.; Law, B.E.; Ciais, P.; Grace, J. Old-Growth Forests as Global Carbon Sinks. Nature 2008, 455, 213–215. [Google Scholar] [CrossRef] [PubMed]
- Wulder, M.A.; White, J.C.; Nelson, R.F.; Næsset, E.; Ørka, H.O.; Coops, N.C.; Hilker, T.; Bater, C.W.; Gobakken, T. Lidar Sampling for Large-Area Forest Characterization: A Review. Remote Sens. Environ. 2012, 121, 196–209. [Google Scholar] [CrossRef]
- Ferraz, A.; Bretar, F.; Jacquemoud, S.; Gonçalves, G.; Pereira, L.; Tomé, M.; Soares, P. 3-D Mapping of a Multi-Layered Mediterranean Forest Using ALS Data. Remote Sens. Environ. 2012, 121, 210–223. [Google Scholar] [CrossRef]
- Li, W.; Guo, Q.; Jakubowski, M.K.; Kelly, M. A New Method for Segmenting Individual Trees from the Lidar Point Cloud. Photogramm. Eng. Remote Sens. 2012, 78, 75–84. [Google Scholar] [CrossRef]
- Shi, Y.; Wang, T.; Skidmore, A.K.; Heurich, M. Important LiDAR Metrics for Discriminating Forest Tree Species in Central Europe. ISPRS J. Photogramm. Remote Sens. 2018, 137, 163–174. [Google Scholar] [CrossRef]
- Brandtberg, T. Classifying Individual Tree Species under Leaf-off and Leaf-on Conditions Using Airborne Lidar. ISPRS J. Photogramm. Remote. Sens. 2007, 61, 325–340. [Google Scholar] [CrossRef]
- Hartling, S.; Sagan, V.; Sidike, P.; Maimaitijiang, M.; Carron, J. Urban Tree Species Classification Using a WorldView-2/3 and LiDAR Data Fusion Approach and Deep Learning. Sensors 2019, 19, 1284. [Google Scholar] [CrossRef]
- Kwak, D.-A.; Lee, W.-K.; Lee, J.-H.; Biging, G.S.; Gong, P. Detection of Individual Trees and Estimation of Tree Height Using LiDAR Data. J. For. Res. 2007, 12, 425–434. [Google Scholar] [CrossRef]
- Clark, M.L.; Clark, D.B.; Roberts, D.A. Small-Footprint Lidar Estimation of Sub-Canopy Elevation and Tree Height in a Tropical Rain Forest Landscape. Remote Sens. Environ. 2004, 91, 68–89. [Google Scholar] [CrossRef]
- Mielcarek, M.; Stereńczak, K.; Khosravipour, A. Testing and Evaluating Different LiDAR-Derived Canopy Height Model Generation Methods for Tree Height Estimation. Int. J. Appl. Earth Obs. Geoinf. 2018, 71, 132–143. [Google Scholar] [CrossRef]
- Dai, W.; Guan, Q.; Cai, S.; Liu, R.; Chen, R.; Liu, Q.; Chen, C.; Dong, Z. A Comparison of the Performances of Unmanned-Aerial-Vehicle (UAV) and Terrestrial Laser Scanning for Forest Plot Canopy Cover Estimation in Pinus Massoniana Forests. Remote Sens. 2022, 14, 1188. [Google Scholar] [CrossRef]
- Cai, S.; Zhang, W.; Jin, S.; Shao, J.; Li, L.; Yu, S.; Yan, G. Improving the Estimation of Canopy Cover from UAV-LiDAR Data Using a Pit-Free CHM-Based Method. Int. J. Digit. Earth 2021, 14, 1477–1492. [Google Scholar] [CrossRef]
- Popescu, S.C. Estimating Biomass of Individual Pine Trees Using Airborne Lidar. Biomass Bioenergy 2007, 31, 646–655. [Google Scholar] [CrossRef]
- Hyyppä, J.; Hyyppä, H.; Leckie, D.; Gougeon, F.; Yu, X.; Maltamo, M. Review of Methods of Small-footprint Airborne Laser Scanning for Extracting Forest Inventory Data in Boreal Forests. Int. J. Remote Sens. 2008, 29, 1339–1366. [Google Scholar] [CrossRef]
- Shao, J.; Yao, W.; Wan, P.; Luo, L.; Wang, P.; Yang, L.; Lyu, J.; Zhang, W. Efficient Co-Registration of UAV and Ground LiDAR Forest Point Clouds Based on Canopy Shapes. Int. J. Appl. Earth Obs. Geoinf. 2022, 114, 103067. [Google Scholar] [CrossRef]
- Shan, J.; Aparajithan, S. Urban DEM Generation from Raw Lidar Data. Photogramm. Eng. Remote Sens. 2005, 71, 217–226. [Google Scholar] [CrossRef]
- Meng, X.; Wang, L.; Silván-Cárdenas, J.L.; Currit, N. A Multi-Directional Ground Filtering Algorithm for Airborne LIDAR. ISPRS J. Photogramm. Remote Sens. 2009, 64, 117–124. [Google Scholar] [CrossRef]
- Susaki, J. Adaptive Slope Filtering of Airborne LiDAR Data in Urban Areas for Digital Terrain Model (DTM) Generation. Remote Sens. 2012, 4, 1804–1819. [Google Scholar] [CrossRef]
- Vosselman, G. Slope based filtering of laser altimetry data. Int. Arch. Photogramm. Remote Sens. 2000, 33, 935–942. [Google Scholar]
- Chen, Z.; Gao, B.; Devereux, B. State-of-the-Art: DTM Generation Using Airborne LIDAR Data. Sensors 2017, 17, 150. [Google Scholar] [CrossRef] [PubMed]
- Wan, P.; Zhang, W.; Skidmore, A.K.; Qi, J.; Jin, X.; Yan, G.; Wang, T. A Simple Terrain Relief Index for Tuning Slope-Related Parameters of LiDAR Ground Filtering Algorithms. ISPRS J. Photogramm. Remote Sens. 2018, 143, 181–190. [Google Scholar] [CrossRef]
- Chen, C.; Guo, J.; Wu, H.; Li, Y.; Shi, B. Performance Comparison of Filtering Algorithms for High-Density Airborne LiDAR Point Clouds over Complex LandScapes. Remote Sens. 2021, 13, 2663. [Google Scholar] [CrossRef]
- Kilian, J.; Haala, N.; Englich, M. Capture and evaluation of airborne laser scanner data. Int. Arch. Photogramm. Remote Sens. 1996, 31, 383–388. [Google Scholar]
- Zhang, K.; Chen, S.C.; Whitman, D.; Shyu, M.L.; Yan, J.; Zhang, C. A Progressive Morphological Filter for Removing Nonground Measurements from Airborne LIDAR Data. IEEE Trans. Geosci. Remote Sens. 2003, 41, 872–882. [Google Scholar] [CrossRef]
- Chen, Q.; Gong, P.; Baldocchi, D.; Xie, G. Filtering Airborne Laser Scanning Data with Morphological Methods. Photogramm. Eng. Remote Sens. 2007, 73, 175–185. [Google Scholar] [CrossRef]
- Pingel, T.J.; Clarke, K.C.; McBride, W.A. An Improved Simple Morphological Filter for the Terrain Classification of Airborne LIDAR Data. ISPRS J. Photogramm. Remote Sens. 2013, 77, 21–30. [Google Scholar] [CrossRef]
- Li, Y.; Yong, B.; Wu, H.; An, R.; Xu, H. An Improved Top-Hat Filter with Sloped Brim for Extracting Ground Points from Airborne Lidar Point Clouds. Remote Sens. 2014, 6, 12885–12908. [Google Scholar] [CrossRef]
- Mongus, D.; Lukač, N.; Žalik, B. Ground and Building Extraction from LiDAR Data Based on Differential Morphological Profiles and Locally Fitted Surfaces. ISPRS J. Photogramm. Remote Sens. 2014, 93, 145–156. [Google Scholar] [CrossRef]
- Yang, B.; Huang, R.; Dong, Z.; Zang, Y.; Li, J. Two-Step Adaptive Extraction Method for Ground Points and Breaklines from Lidar Point Clouds. ISPRS J. Photogramm. Remote Sens. 2016, 119, 373–389. [Google Scholar] [CrossRef]
- Liu, L.; Lim, S. A Voxel-Based Multiscale Morphological Airborne Lidar Filtering Algorithm for Digital Elevation Models for Forest Regions. Measurement 2018, 123, 135–144. [Google Scholar] [CrossRef]
- Tan, Y.; Wang, S.; Xu, B.; Zhang, J. An Improved Progressive Morphological Filter for UAV-Based Photogrammetric Point Clouds in River Bank Monitoring. ISPRS J. Photogramm. Remote Sens. 2018, 146, 421–429. [Google Scholar] [CrossRef]
- Hui, Z.; Jin, S.; Xia, Y.; Nie, Y.; Xie, X.; Li, N. A Mean Shift Segmentation Morphological Filter for Airborne LiDAR DTM Extraction under Forest Canopy. Opt. Laser Technol. 2021, 136, 106728. [Google Scholar] [CrossRef]
- Axelsson, P. DEM Generation from Laser Scanner Data Using Adaptive TIN Models. Int. Arch. Photogramm. Remote Sens. 2000, 33, 111–118. [Google Scholar]
- Evans, J.S.; Hudak, A.T. A Multiscale Curvature Algorithm for Classifying Discrete Return LiDAR in Forested Environments. IEEE Trans. Geosci. Remote Sens. 2007, 45, 1029–1038. [Google Scholar] [CrossRef]
- Mongus, D.; Žalik, B. Parameter-Free Ground Filtering of LiDAR Data for Automatic DTM Generation. ISPRS J. Photogramm. Remote Sens. 2012, 67, 1–12. [Google Scholar] [CrossRef]
- Chen, C.; Li, Y.; Li, W.; Dai, H. A Multiresolution Hierarchical Classification Algorithm for Filtering Airborne LiDAR Data. ISPRS J. Photogramm. Remote Sens. 2013, 82, 1–9. [Google Scholar] [CrossRef]
- Maguya, A.S.; Junttila, V.; Kauranne, T. Adaptive Algorithm for Large Scale Dtm Interpolation from Lidar Data for Forestry Applications in Steep Forested Terrain. ISPRS J. Photogramm. Remote Sens. 2013, 85, 74–83. [Google Scholar] [CrossRef]
- Hu, H.; Ding, Y.; Zhu, Q.; Wu, B.; Lin, H.; Du, Z.; Zhang, Y.; Zhang, Y. An Adaptive Surface Filter for Airborne Laser Scanning Point Clouds by Means of Regularization and Bending Energy. ISPRS J. Photogramm. Remote Sens. 2014, 92, 98–111. [Google Scholar] [CrossRef]
- Zhang, W.; Qi, J.; Wan, P.; Wang, H.; Xie, D.; Wang, X.; Yan, G. An Easy-to-Use Airborne LiDAR Data Filtering Method Based on Cloth Simulation. Remote Sens. 2016, 8, 501. [Google Scholar] [CrossRef]
- Nie, S.; Wang, C.; Dong, P.; Xi, X.; Luo, S.; Qin, H. A Revised Progressive TIN Densification for Filtering Airborne LiDAR Data. Measurement 2017, 104, 70–77. [Google Scholar] [CrossRef]
- Yang, A.; Wu, Z.; Yang, F.; Su, D.; Ma, Y.; Zhao, D.; Qi, C. Filtering of Airborne LiDAR Bathymetry Based on Bidirectional Cloth Simulation. ISPRS J. Photogramm. Remote Sens. 2020, 163, 49–61. [Google Scholar] [CrossRef]
- Chen, C.; Chang, B.; Li, Y.; Shi, B. Filtering Airborne LiDAR Point Clouds Based on a Scale-Irrelevant and Terrain-Adaptive Approach. Measurement 2021, 171, 108756. [Google Scholar] [CrossRef]
- Hui, Z.; Wang, L.; Ziggah, Y.Y.; Cai, S.; Xia, Y. Automatic Morphological Filtering Algorithm for Airborne Lidar Data in Urban Areas. Appl. Opt. 2019, 58, 1164. [Google Scholar] [CrossRef] [PubMed]
- Zhao, X.; Guo, Q.; Su, Y.; Xue, B. Improved Progressive TIN Densification Filtering Algorithm for Airborne LiDAR Data in Forested Areas. ISPRS J. Photogramm. Remote Sens. 2016, 117, 79–91. [Google Scholar] [CrossRef]
- Chen, C.; Wang, M.; Chang, B.; Li, Y. Multi-Level Interpolation-Based Filter for Airborne LiDAR Point Clouds in Forested Areas. IEEE Access 2020, 8, 41000–41012. [Google Scholar] [CrossRef]
- Montealegre, A.L.; Lamelas, M.T.; de la Riva, J. A Comparison of Open-Source LiDAR Filtering Algorithms in a Mediterranean Forest Environment. IEEE J. Sel. Top. Appl. Earth Obs. Remote Sens. 2015, 8, 4072–4085. [Google Scholar] [CrossRef]
- Zhao, X.; Su, Y.; Li, W.; Hu, T.; Liu, J.; Guo, Q. A Comparison of LiDAR Filtering Algorithms in Vegetated Mountain Areas. Can. J. Remote Sens. 2018, 44, 287–298. [Google Scholar] [CrossRef]
- Moudrý, V.; Klápště, P.; Fogl, M.; Gdulová, K.; Barták, V.; Urban, R. Assessment of LiDAR Ground Filtering Algorithms for Determining Ground Surface of Non-Natural Terrain Overgrown with Forest and Steppe Vegetation. Measurement 2020, 150, 107047. [Google Scholar] [CrossRef]
- Véga, C.; Durrieu, S.; Morel, J.; Allouis, T. A Sequential Iterative Dual-Filter for Lidar Terrain Modeling Optimized for Complex Forested Environments. Comput. Geosci. 2012, 44, 31–41. [Google Scholar] [CrossRef]
- Bigdeli, B.; Amini Amirkolaee, H.; Pahlavani, P. DTM Extraction under Forest Canopy Using LiDAR Data and a Modified Invasive Weed Optimization Algorithm. Remote Sens. Environ. 2018, 216, 289–300. [Google Scholar] [CrossRef]
- Zhang, J.; Lin, X. Filtering Airborne LiDAR Data by Embedding Smoothness-Constrained Segmentation in Progressive TIN Densification. ISPRS J. Photogramm. Remote Sens. 2013, 81, 44–59. [Google Scholar] [CrossRef]
- Lin, X.; Zhang, J. Segmentation-Based Filtering of Airborne LiDAR Point Clouds by Progressive Densification of Terrain Segments. Remote Sens. 2014, 6, 1294–1326. [Google Scholar] [CrossRef]
- Chen, C.; Li, Y.; Yan, C.; Dai, H.; Liu, G.; Guo, J. An Improved Multi-Resolution Hierarchical Classification Method Based on Robust Segmentation for Filtering ALS Point Clouds. Int. J. Remote Sens. 2016, 37, 950–968. [Google Scholar] [CrossRef]
- Wei, L.; Yang, B.; Jiang, J.; Cao, G.; Wu, M. Vegetation Filtering Algorithm for UAV-Borne Lidar Point Clouds: A Case Study in the Middle-Lower Yangtze River Riparian Zone. Int. J. Remote Sens. 2017, 38, 2991–3002. [Google Scholar] [CrossRef]
- Shi, W.; Ahmed, W.; Wu, K. Morphologically Iterative Triangular Irregular Network for Airborne LiDAR Filtering. J. Appl. Remote Sens. 2020, 14, 034525. [Google Scholar] [CrossRef]
- Li, F.; Zhu, H.; Luo, Z.; Shen, H.; Li, L. An Adaptive Surface Interpolation Filter Using Cloth Simulation and Relief Amplitude for Airborne Laser Scanning Data. Remote Sens. 2021, 13, 2938. [Google Scholar] [CrossRef]
- Hui, Z.; Hu, Y.; Yevenyo, Y.; Yu, X. An Improved Morphological Algorithm for Filtering Airborne LiDAR Point Cloud Based on Multi-Level Kriging Interpolation. Remote Sens. 2016, 8, 35. [Google Scholar] [CrossRef]
- Choi, S.; Kim, T.; Yu, W. Performance Evaluation of RANSAC Family. In Proceedings of the British Machine Vision Conference 2009; British Machine Vision Association: London, UK, 2009; pp. 271–300. [Google Scholar]
- Meng, X.; Lin, Y.; Yan, L.; Gao, X.; Yao, Y.; Wang, C.; Luo, S. Airborne LiDAR Point Cloud Filtering by a Multilevel Adaptive Filter Based on Morphological Reconstruction and Thin Plate Spline Interpolation. Electronics 2019, 8, 1153. [Google Scholar] [CrossRef]
- Sithole, G.; Vosselman, G. Experimental Comparison of Filter Algorithms for Bare-Earth Extraction from Airborne Laser Scanning Point Clouds. ISPRS J. Photogramm. Remote Sens. 2004, 59, 85–101. [Google Scholar] [CrossRef]
- Fareed, N.; Flores, J.P.; Das, A.K. Analysis of UAS-LiDAR Ground Points Classification in Agricultural Fields Using Traditional Algorithms and PointCNN. Remote Sens. 2023, 15, 483. [Google Scholar] [CrossRef]












| Site | Location | Collection Date | System | Flying Height (m) | Scan Frequency (Hz) | Scan Angle (°) | Overlap (%) | Density (pts/m2) |
|---|---|---|---|---|---|---|---|---|
| 1 | Lake Tahoe, Sierra Nevada | August, 2010 | Leica ALS50 | 900 | 83 | 14 | 100 | 21.74 |
| 2 | North, Wasatch | July, 2008 | Optech GEMINI ALTM | 700 | 70 | 20 | 50 | 7.9 |
| 3 | East, California | October, 2010 | ALIS-60S LIDAR | 400 | - | - | 55 | 25.45 |
| 4 | West Reno | July, 2007 | Optech GEMINI ALTM | 700 | 40 | 25 | 50 | 2.16 |
| 5 | Teton National Forest, Wyoming | August, 2008 | Optech GEMINI ALTM | 1400 | 36 | 20 | - | 1.63 |
| Site | Feature | Height (m) | Slope (°) | Canopy Cover (%) | Canopy Height (m) | ||||
|---|---|---|---|---|---|---|---|---|---|
| ave 1 | sd 2 | ave | sd | ave | sd | ave | sd | ||
| 1 | Density trees on gentle hillside | 2377.93 | 14.99 | 18.3 | 10.36 | 80.08 | 19.14 | 23.61 | 11.19 |
| 2 | Trees on abrupt terrain | 2456.29 | 15.74 | 19.58 | 10.26 | 68.7 | 14.35 | 11.5 | 5.4 |
| 3 | Density trees on gentle undulating terrain | 1561.72 | 25.56 | 25.3 | 13.77 | 84.45 | 17.29 | 16.15 | 7.86 |
| 4 | Trees on raised and abrupt terrain | 2472.66 | 40.65 | 25.55 | 11.93 | 8.74 | 18.25 | 13.45 | 8.21 |
| 5 | Trees on undulating terrain | 2321.47 | 32.12 | 33.14 | 12.17 | 44.16 | 28.6 | 12.67 | 7.11 |
| Filtered Results | |||
|---|---|---|---|
| Ground Points | Non-Ground Points | ||
| Reference | Ground points | a | b |
| Non-ground points | c | d | |
| Site | Type I Error | Type II Error | Total Error | Kappa Coefficient |
|---|---|---|---|---|
| 1 | 1.18 | 1.15 | 1.16 | 96.84 |
| 2 | 2.87 | 5.19 | 4.21 | 91.41 |
| 3 | 1.42 | 2.89 | 2.59 | 92.15 |
| 4 | 4.18 | 12.96 | 5.31 | 77.53 |
| 5 | 2.98 | 11.74 | 7.66 | 84.61 |
| ave 1 | 2.53 | 6.93 | 4.22 | 88.51 |
| sd 2 | 1.09 | 4.89 | 2.25 | 6.74 |
| Site | MSF | PMF | CSF | Proposed |
|---|---|---|---|---|
| 1 | 44.94 | 128.05 | 11.7 | 26.96 |
| 2 | 20.68 | 50.36 | 10.1 | 16.04 |
| 3 | 26.5 | 89.27 | 13.8 | 30.32 |
| 4 | 13.33 | 31.66 | 29.2 | 13.14 |
| 5 | 4.2 | 7.72 | 18.2 | 9.83 |
| ave 1 | 21.93 | 61.41 | 16.6 | 19.26 |
Disclaimer/Publisher’s Note: The statements, opinions and data contained in all publications are solely those of the individual author(s) and contributor(s) and not of MDPI and/or the editor(s). MDPI and/or the editor(s) disclaim responsibility for any injury to people or property resulting from any ideas, methods, instructions or products referred to in the content. |
© 2023 by the authors. Licensee MDPI, Basel, Switzerland. This article is an open access article distributed under the terms and conditions of the Creative Commons Attribution (CC BY) license (https://creativecommons.org/licenses/by/4.0/).
Share and Cite
Cai, S.; Yu, S. Filtering Airborne LiDAR Data in Forested Environments Based on Multi-Directional Narrow Window and Cloth Simulation. Remote Sens. 2023, 15, 1400. https://doi.org/10.3390/rs15051400
Cai S, Yu S. Filtering Airborne LiDAR Data in Forested Environments Based on Multi-Directional Narrow Window and Cloth Simulation. Remote Sensing. 2023; 15(5):1400. https://doi.org/10.3390/rs15051400
Chicago/Turabian StyleCai, Shangshu, and Sisi Yu. 2023. "Filtering Airborne LiDAR Data in Forested Environments Based on Multi-Directional Narrow Window and Cloth Simulation" Remote Sensing 15, no. 5: 1400. https://doi.org/10.3390/rs15051400
APA StyleCai, S., & Yu, S. (2023). Filtering Airborne LiDAR Data in Forested Environments Based on Multi-Directional Narrow Window and Cloth Simulation. Remote Sensing, 15(5), 1400. https://doi.org/10.3390/rs15051400

