Global Comparison of Leaf Area Index Products over Water-Vegetation Mixed Heterogeneous Surface Network (HESNet-WV)
Abstract
1. Introduction
2. Datasets
2.1. Land Cover Maps
2.2. Joint Research Centre (JRC) Water Classification Dataset
2.3. Global LAI Products
2.4. Landsat 8 Surface Reflectance
3. Methodology
3.1. Building a Network of Sites for Intercomparing LAI Products: HESNet-WV
3.1.1. Criteria for Network Building
- Criterion 1: S1 contained a water body and a single vegetation type. The vegetation types in S1 and S2 should be the same. The vegetation type in S2 derived from the 500-m MCD12Q1 product should be the same as in S1. All vegetation endmember types in S1 and S2 derived from FROM-GLC-2015 must be the same.
- Criterion 2: The distance between S1 and S2 should be close to ensure the best possible vegetation representation effect. Generally, S1 was screened first, and then S2 was found within a 15-km diameter circle centered on S1 (Figure 2).
- Criterion 3: The Landsat 8 monthly average NDVI values of the S2 endmembers were compared with those of the vegetation endmembers in S1 throughout the growing season (longer than seven months). The average and maximal differences between the NDVIs of the vegetation endmembers in S1 and S2 were set as the thresholds. In this paper, the (1) and (2) thresholds were set to 0.08 and 0.1, respectively:
- i.
- Criterion 4: The water bodies in S1 were required to be spatially stable.
- First, the monthly WAFs in S1 calculated using the JRC monthly water classification history dataset must have had a few variances in 2015. The standard deviation of the valid monthly WAFs in 2015 in S1 needed to have been less than 0.01, or the water area range over the year must have been less than two standard deviations.
- Second, permanent water bodies were given priority to avoid the possibility that the water area remained unchanged while its position changed. The areas of permanent and seasonal water bodies throughout the year were obtained from the JRC yearly water classification history dataset. The proportion of seasonal water in S1 was set to be less than 10%.
- ii.
- Criterion 5: The NDVI of the water body needed to remain fixed in the year of study to avoid the influence of water body eutrophication on the LAI inversion results. In this paper, the NDVI threshold of the water endmember in S1, , was set to be lower than 0.3.
3.1.2. Network of Sites
3.2. Calculation of Reference LAI Values for the S1 and Product Intercomparison
4. Results and Discussion
4.1. Evaluation of EVUs
4.1.1. Representative Evaluation of S2 Sites
4.1.2. Stability of the WAF Values in the S1 Pixels
4.2. Intercomparison of Global LAI Products under the HESNet-WV Framework
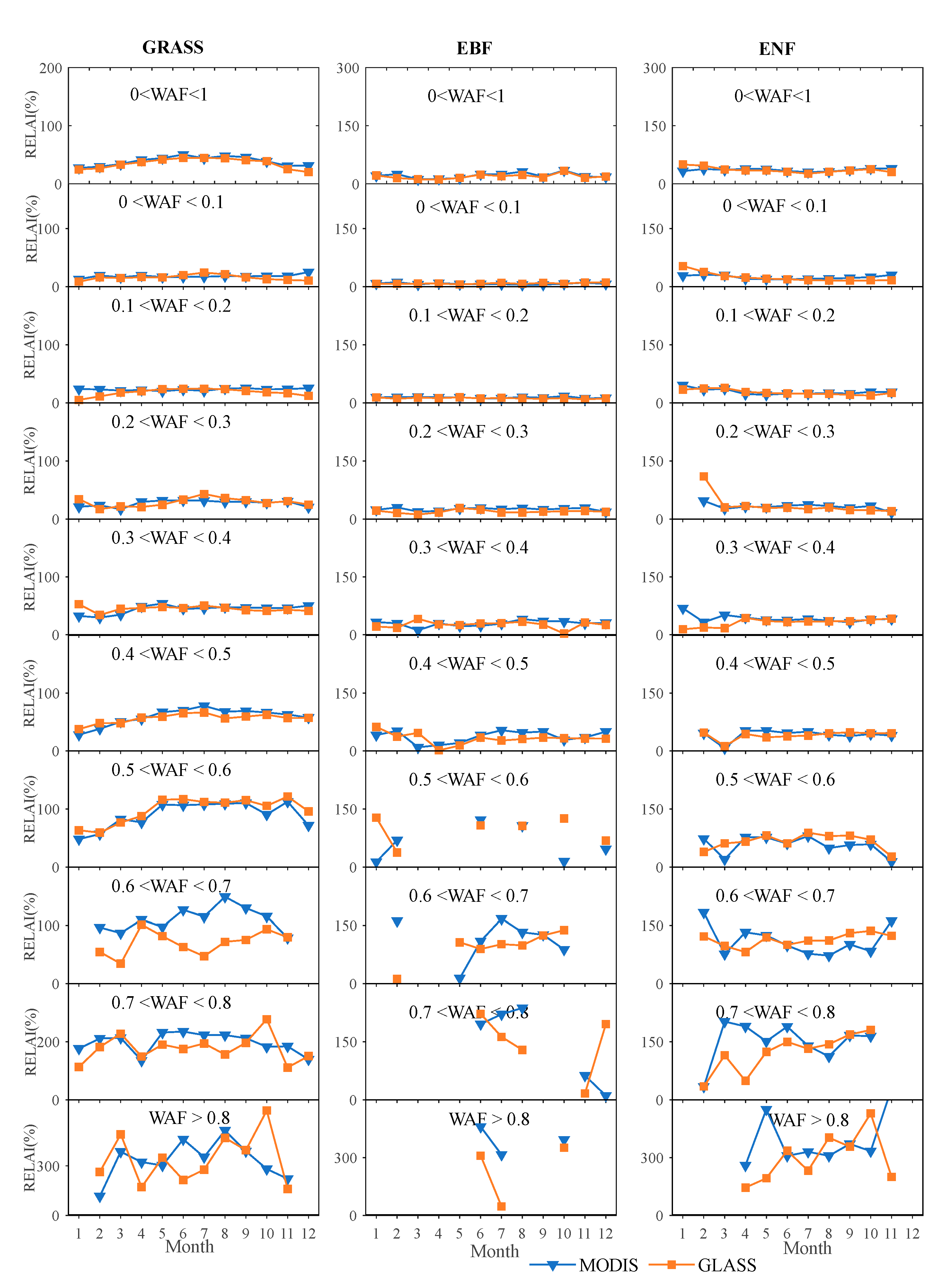
4.2.1. Intercomparison with Increasing WAFs
4.2.2. Intercomparison of MODIS and GLASS Products
4.2.3. Intercomparison under Growing-Season Conditions
4.3. Limitations and Prospects
4.3.1. The Unbalanced Spatial Distribution of the Network
4.3.2. Uncertainty Assessment
4.3.3. Prospects of Future Work
5. Conclusions
Author Contributions
Funding
Data Availability Statement
Acknowledgments
Conflicts of Interest
References
- Chen, J.M.; Black, T.A. Defining leaf area index for non-flat leaves. Agric. For. Meteorol 1992, 15, 421–429. [Google Scholar] [CrossRef]
- GCOS. The Global Observing System for Climate: Implementation Needs; WMO: Geneva, Switzerland, 2016. [Google Scholar]
- Huang, D.; Knyazikhin, Y.; Wang, W.; Deering, D.W.; Stenberg, P.; Shabanov, N.; Tan, B.; Myneni, R.B. Stochastic transport theory for investigating the three-dimensional canopy structure from space measurements. Remote Sens. Environ. 2008, 112, 35–50. [Google Scholar] [CrossRef]
- Myneni, R.; Knyazikhin, Y.; Park, T. MCD15A2H MODIS/Terra+ Aqua Leaf Area Index/FPAR 8-day L4 Global 500m SIN Grid V006. NASA EOSDIS Land Processess DAAC. 2015. Available online: https://ladsweb.modaps.eosdis.nasa.gov/missions-and-measurements/products/MCD15A2H (accessed on 1 September 2021).
- Xiao, Z.; Liang, S.; Wang, J.; Chen, P.; Yin, X.; Zhang, L.; Song, J. Use of General Regression Neural Networks for Generating the GLASS Leaf Area Index Product from Time-Series MODIS Surface Reflectance. IEEE Trans. Geosci. Remote Sens. 2013, 52, 209–223. [Google Scholar] [CrossRef]
- Baret, F.; Weiss, M.; Verger, A.; Smets, B. Atbd for lai, fapar and fcover from proba-V products at 300 mresolution (Geov3). Imagines_rp2. 1_atbd-lai. Available online: https://land.copernicus.eu/global/sites/cgls.vito.be/files/products/ImagineS_RP2.1_ATBD-FAPAR300m_I1.73.pdf (accessed on 1 September 2021).
- Lafont, S.; Zhao, Y.; Calvet, J.-C.; Peylin, P.; Ciais, P.; Maignan, F.; Weiss, M. Modelling LAI, surface water and carbon fluxes at high-resolution over France: Comparison of ISBA-A-gs and ORCHIDEE. Biogeosciences 2012, 9, 439–456. [Google Scholar] [CrossRef]
- Morisette, J.T.; Baret, F.; Privette, J.L.; Myneni, R.B.; Nickeson, J.E.; Garrigues, S.; Shabanov, N.V.; Weiss, M.; Fernandes, R.A.; Leblanc, S.G.; et al. Validation of global moderate-resolution LAI products: A framework proposed within the CEOS land product validation subgroup. IEEE Trans. Geosci. Remote Sens. 2006, 44, 1804–1817. [Google Scholar] [CrossRef]
- Garrigues, S.; Lacaze, R.; Baret, F.; Morisette, J.T.; Weiss, M.; Nickeson, J.E.; Fernandes, R.; Plummer, S.; Shabanov, N.V.; Myneni, R.B.; et al. Validation and intercomparison of global Leaf Area Index products derived from remote sensing data. J. Geophys. Res. Biogeosci. 2015, 113, G02028. [Google Scholar] [CrossRef]
- Fang, H.; Wei, S.; Liang, S. Validation of MODIS and CYCLOPES LAI products using global field measurement data. Remote Sens. Environ. 2012, 119, 43–54. [Google Scholar] [CrossRef]
- Mougin, E.; Diawara, M.O.; Soumaguel, N.; Maïga, A.A.; Demarez, V.; Hiernaux, P.; Grippa, M.; Chaffard, V.; Ba, A. A leaf area index data set acquired in Sahelian rangelands of Gourma in Mali over the 2005–2017 period. Earth Syst. Sci. Data 2019, 11, 675–686. [Google Scholar] [CrossRef]
- Filipponi, F.; Valentini, E.; Xuan, A.N.; Guerra, C.A.; Wolf, F.; Andrzejak, M.; Taramelli, A. Global MODIS Fraction of Green Vegetation Cover for Monitoring Abrupt and Gradual Vegetation Changes. Remote Sens. 2018, 10, 653. [Google Scholar] [CrossRef]
- Baret, F.; Morissette, J.T.; Fernandes, R.A.; Champeaux, J.L.; Myneni, R.B.; Chen, J.; Plummer, S.; Weiss, M.; Bacour, C.; Garrigues, S.; et al. Evaluation of the representativeness of networks of sites for the global validation and intercomparison of land biophysical products: Proposition of the CEOS-BELMANIP. IEEE Trans. Geosci. Remote Sens. 2006, 44, 1794–1803. [Google Scholar] [CrossRef]
- Myneni, R.B.; Hoffman, S.; Knyazikhin, Y.; Privette, J.L.; Glassy, J.; Tian, Y.; Wang, Y.; Song, X.; Zhang, Y.; Smith, G.R.; et al. Global products of vegetation leaf area and fraction absorbed PAR from year one of MODIS data. Remote Sens. Environ. 2002, 83, 214–231. [Google Scholar] [CrossRef]
- Deng, F.; Chen, J.; Plummer, S.; Chen, M.; Pisek, J. Algorithm for global leaf area index retrieval using satellite imagery. IEEE Trans. Geosci. Remote Sens. 2006, 44, 2219–2229. [Google Scholar] [CrossRef]
- Yu, W.; Li, J.; Liu, Q.; Zeng, Y.; Zhao, J.; Xu, B.; Yin, G. Global Land Cover Heterogeneity Characteristics at Moderate Resolution for Mixed Pixel Modeling and Inversion. Remote Sens. 2018, 10, 856. [Google Scholar] [CrossRef]
- Baret, F.; Weiss, M.; Allard, D.; Garrigue, S.; Leroy, M.; Jeanjean, H.; Fernandes, R.; Myneni, R.; Privette, J.; Morisette, J.; et al. VALERI: A network of sites and a methodology for the validation of medium spatial resolution land satellite products. Remote Sens. Environ. 2000, 1–16. [Google Scholar]
- Xu, B.; Li, J.; Liu, Q.; Huete, A.R.; Yu, Q.; Zeng, Y.; Yin, G.; Zhao, J.; Yang, L. Evaluating Spatial Representativeness of Station Observations for Remotely Sensed Leaf Area Index Products. IEEE J. Sel. Top. Appl. Earth Obs. Remote Sens. 2016, 9, 3267–3282. [Google Scholar] [CrossRef]
- Xu, B.; Li, J.; Park, T.; Liu, Q.; Zeng, Y.; Yin, G.; Zhao, J.; Fan, W.; Yang, L.; Knyazikhin, Y.; et al. An integrated method for validating long-term leaf area index products using global networks of site-based measurements. Remote Sens. Environ. 2018, 209, 134–151. [Google Scholar] [CrossRef]
- Shi, Y.; Wang, J.; Qin, J.; Qu, Y. An Upscaling Algorithm to Obtain the Representative Ground Truth of LAI Time Series in Heterogeneous Land Surface. Remote Sens. 2015, 7, 12887–12908. [Google Scholar] [CrossRef]
- Xu, S.; Chen, J.M.; Fernandes, R.; Cihlar, J. Effects of subpixel water area fraction on mapping leaf area index and modeling net primary productivity in Canada. Can. J. Remote Sens. 2004, 30, 797–804. [Google Scholar] [CrossRef]
- Fang, H.; Li, W.; Myneni, R.B. The Impact of Potential Land Cover Misclassification on MODIS Leaf Area Index (LAI) Estimation: A Statistical Perspective. Remote Sens. 2013, 5, 830–844. [Google Scholar] [CrossRef]
- Xu, B.; Li, J.; Park, T.; Liu, Q.; Zeng, Y.; Yin, G.; Yan, K.; Chen, C.; Zhao, J.; Fan, W.; et al. Improving leaf area index retrieval over heterogeneous surface mixed with water. Remote Sens. Environ. 2020, 240, 111700. [Google Scholar] [CrossRef]
- Jin, H.; Li, A.; Bian, J.; Nan, X.; Zhao, W.; Zhang, Z.; Yin, G. Intercomparison and validation of MODIS and GLASS leaf area index (LAI) products over mountain areas: A case study in southwestern China. Int. J. Appl. Earth Obs. Geoinf. 2017, 55, 52–67. [Google Scholar] [CrossRef]
- Chen, J.M. Spatial Scaling of a Remotely Sensed Surface Parameter by Contexture. Remote Sens. Environ. 1999, 69, 30–42. [Google Scholar] [CrossRef]
- Xu, B. Leaf Area Index Retrieval and Product Validation over Heterogeneous Land Surfaces; Institute of Remote Sensing and Digital Earth, Chinese Academy of Sciences: Beijing, China, 2018. [Google Scholar]
- Gong, P.; Wang, J.; Yu, L.; Zhao, Y.; Zhao, Y.; Liang, L.; Niu, Z.; Huang, X.; Fu, H.; Liu, S.; et al. Finer resolution observation and monitoring of global land cover: First mapping results with Landsat TM and ETM+ data. Int. J. Remote Sens. 2013, 34, 2607–2654. [Google Scholar] [CrossRef]
- Li, C.; Gong, P.; Wang, J.; Zhu, Z.; Biging, G.S.; Yuan, C.; Hu, T.; Zhang, H.; Wang, Q.; Li, X.; et al. The first all-season sample set for mapping global land cover with Landsat-8 data. Sci. Bull. 2017, 62, 508–515. [Google Scholar] [CrossRef] [PubMed]
- Gong, P.; Liu, H.; Zhang, M.; Li, C.; Wang, J.; Huang, H.; Clinton, N.; Ji, L.; Li, W.; Bai, Y.; et al. Stable classification with limited sample: Transferring a 30-m resolution sample set collected in 2015 to mapping 10-m resolution global land cover in 2017. Sci. Bull. 2019, 64, 370–373. [Google Scholar] [CrossRef]
- Friedl, M.A.; Sulla-Menashe, D.; Tan, B.; Schneider, A.; Ramankutty, N.; Sibley, A.; Huang, X. MODIS Collection 5 global land cover: Algorithm refinements and characterization of new datasets. Remote Sens. Environ. 2010, 114, 168–182. [Google Scholar] [CrossRef]
- Pekel, J.; Cottam, A.; Gorelick, N.; Belward, A. Global Surface Water—Data Access. 2016. Available online: https://publications.jrc.ec.europa.eu/repository/handle/JRC109054 (accessed on 1 September 2021).
- Yuan, N.; Fu, Z.; Zhang, H.; Piao, L.; Xoplaki, E.; Luterbacher, J. Detrended Partial-Cross-Correlation Analysis: A New Method for Analyzing Correlations in Complex System. Sci. Rep. 2015, 5, 8143. [Google Scholar] [CrossRef]
- Knyazikhin, Y.; Martonchik, J.V.; Diner, D.J.; Myneni, R.B.; Verstraete, M.; Pinty, B.; Gobron, N. Estimation of vegetation canopy leaf area index and fraction of absorbed photosynthetically active radiation from atmosphere-corrected MISR data. J. Geophys. Res. Atmos. 1998, 103, 32239–32256. [Google Scholar] [CrossRef]
- Knyazikhin, Y.; Martonchik, J.V.; Myneni, R.B.; Diner, D.J.; Running, S.W. Synergistic algorithm for estimating vegetation canopy leaf area index and fraction of absorbed photosynthetically active radiation from MODIS and MISR data. J. Geophys. Res. Atmos. 1998, 103, 32257–32275. [Google Scholar] [CrossRef]
- Myneni, R.; Ramakrishna, R.; Nemani, R.; Running, S. Estimation of global leaf area index and absorbed par using radiative transfer models. IEEE Trans. Geosci. Remote Sens. 1997, 35, 1380–1393. [Google Scholar] [CrossRef]
- Zeng, Y.; Li, J.; Liu, Q.; Li, L.; Xu, B.; Yin, G.; Peng, J. A Sampling Strategy for Remotely Sensed LAI Product Validation Over Heterogeneous Land Surfaces. IEEE J. Sel. Top. Appl. Earth Obs. Remote Sens. 2014, 7, 3128–3142. [Google Scholar] [CrossRef]
















| Type | GRASS | EBF | ENF | SUM | |
|---|---|---|---|---|---|
| WAF | |||||
| 0~10% | 92 | 20 | 94 | 206 | |
| 10~20% | 137 | 50 | 100 | 287 | |
| 20~30% | 63 | 25 | 76 | 164 | |
| 30~40% | 43 | 13 | 47 | 103 | |
| 40~50% | 27 | 4 | 31 | 62 | |
| >50% | 52 | 3 | 57 | 112 | |
| Sum | 414 | 115 | 405 | 934 | |
Disclaimer/Publisher’s Note: The statements, opinions and data contained in all publications are solely those of the individual author(s) and contributor(s) and not of MDPI and/or the editor(s). MDPI and/or the editor(s) disclaim responsibility for any injury to people or property resulting from any ideas, methods, instructions or products referred to in the content. |
© 2023 by the authors. Licensee MDPI, Basel, Switzerland. This article is an open access article distributed under the terms and conditions of the Creative Commons Attribution (CC BY) license (https://creativecommons.org/licenses/by/4.0/).
Share and Cite
Liu, C.; Li, J.; Liu, Q.; Xu, B.; Dong, Y.; Zhao, J.; Mumtaz, F.; Gu, C.; Zhang, H. Global Comparison of Leaf Area Index Products over Water-Vegetation Mixed Heterogeneous Surface Network (HESNet-WV). Remote Sens. 2023, 15, 1337. https://doi.org/10.3390/rs15051337
Liu C, Li J, Liu Q, Xu B, Dong Y, Zhao J, Mumtaz F, Gu C, Zhang H. Global Comparison of Leaf Area Index Products over Water-Vegetation Mixed Heterogeneous Surface Network (HESNet-WV). Remote Sensing. 2023; 15(5):1337. https://doi.org/10.3390/rs15051337
Chicago/Turabian StyleLiu, Chang, Jing Li, Qinhuo Liu, Baodong Xu, Yadong Dong, Jing Zhao, Faisal Mumtaz, Chenpeng Gu, and Hu Zhang. 2023. "Global Comparison of Leaf Area Index Products over Water-Vegetation Mixed Heterogeneous Surface Network (HESNet-WV)" Remote Sensing 15, no. 5: 1337. https://doi.org/10.3390/rs15051337
APA StyleLiu, C., Li, J., Liu, Q., Xu, B., Dong, Y., Zhao, J., Mumtaz, F., Gu, C., & Zhang, H. (2023). Global Comparison of Leaf Area Index Products over Water-Vegetation Mixed Heterogeneous Surface Network (HESNet-WV). Remote Sensing, 15(5), 1337. https://doi.org/10.3390/rs15051337

