Automated Identification of Thermokarst Lakes Using Machine Learning in the Ice-Rich Permafrost Landscape of Central Yakutia (Eastern Siberia)
Abstract
1. Introduction
2. Materials and Methods
2.1. Study Site
- Unconnected alas lakes: These are residual lakes located within hydrologically closed basins [16], which are represented in clear blue in Figure 2. Most of these lakes likely formed during the transition between the Pleistocene and Holocene, approximately 10–8 cal kBP or during the Holocene Thermal Maximum (~6.7–5 cal kBP) [43,49]. These lakes can be up to a few meters deep but are typically very shallow (1 m deep or less) and are usually completely frozen in winter. The ancient lake depressions surrounding the small residual lakes of this type can be up to several kilometers wide and several meters deep and are relatively easy to distinguish on satellite images. These alas lakes have already undergone much of the thermokarst processes and very little ground ice typically remains beneath the residual lake. Therefore, the thaw potential and resulting input of stored carbon to these lakes are low compared to recently formed thermokarst lakes [50].
- Connected alas lakes: These lakes, represented in magenta in Figure 2, are hydrologically connected to the watershed by streams or rivers. These lakes are consistently several hundreds of meters across and up to ~10 m deep. Most of them were probably formed during the mid-Holocene, approximately 5–3.5 thousand years ago, although detailed chronology about their inception is still incomplete [43,51].
- Recent thermokarst lakes: These lakes, in red in Figure 2, formed over the last several decades mostly from human activities (e.g., forest fire and forest removal for agriculture, pipelines, or road construction) and rising temperature [35,52]. These lakes are generally small (meters to tens of meters across) and relatively shallow (one to two meters deep) and are still expanding downwards and laterally due to active layer deepening and thermokarst processes. Compared to the other lake types, they have notably higher concentrations of dissolved OC [53].
2.2. Image Data Sources
2.3. Defining Lake Boundaries and Lake Types
2.4. General Deep Learning Workflow
2.4.1. Machine Learning Model
2.4.2. Fine Tuning and Training
2.4.3. Accuracy Assessment of Model
2.4.4. Ensembling
2.4.5. Comparison of Total Surface Area for Prediction and Corrected Lake Outlines
2.5. Surface Area Change Analysis
2.5.1. South Study Site
2.5.2. Center Study Site
2.6. Temperature, Precipitation, and Evapotranspiration
3. Results
3.1. Trends in Temperature, Precipitation, and Evapotranspiration since 1900
3.2. Spatial Distribution of Lake Types
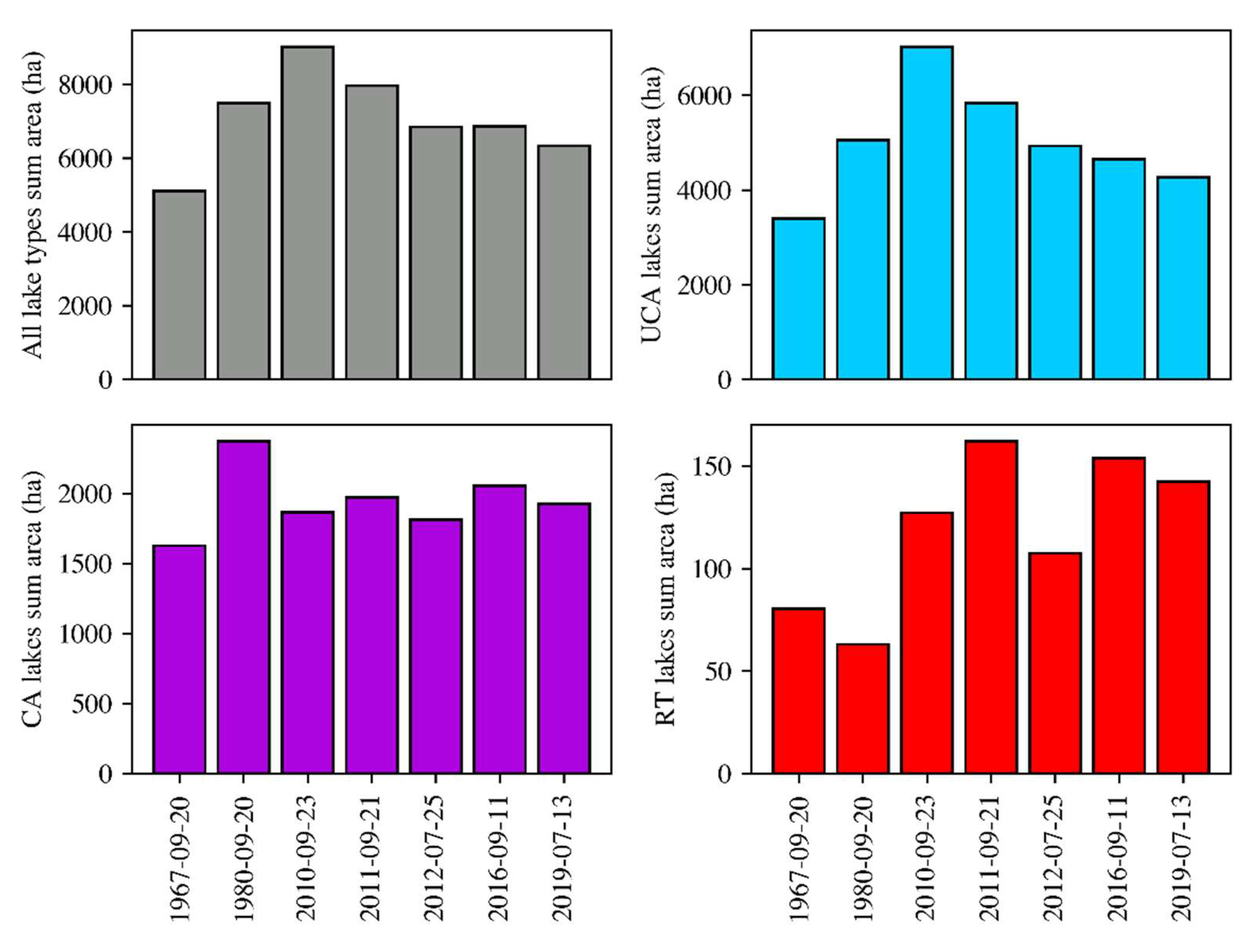
3.3. Lake Surface Area Change: South Study Site
3.4. Lake Surface Area Change: Center Study Site
4. Discussion
4.1. Alas Lake Dynamics and Environmental Variables
4.2. Recent Thermokarst Lake Dynamics and Environmental Variables
5. Conclusions
- Mask R-CNN instance segmentation method is an effective and efficient way to delineate the lake polygons of large satellite images.
- Correction of the polygons generated by the Mask R-CNN was much less time-consuming than manual digitization. Manual digitizing one 60×60 km2 scene without the aid of the polygons generated by the neural network takes at least one full week of motivated work. Correction of the polygons generated by the neural network for one scene can be completed in two–three hours or less.
- The limited availability of clear, cloud free scenes and the single band nature of the images made automatic detection of lake polygons difficult. More fine tuning can likely improve this process.
- The detection accuracy of our model using single band images is comparable to similar studies of permafrost features and waterbodies which utilize multispectral images (80–90% detection accuracy [31,32,33]). Comparison of the model predicted and manually corrected overall lake surface area indicate error rates between 0.5–12%.
- UCA lakes appear to be particularly sensitive to increasing evapotranspiration and changes in precipitation. These lakes are hydrologically isolated, and their surface area is controlled only by evaporation and precipitation. RT lakes and CA lakes were less affected, and their lake levels are controlled by expansion into surrounding permafrost and connecting streams and rivers, respectively.
- RT lakes exhibited the strongest clustering of the three lake types. Many RT lakes formed adjacent to human disturbance (forest removal, road building, etc.). Some RT lakes, however, formed in the absence of any disturbance, likely because of climate warming. RT lake surface area is significantly positively correlated to temperature and evapotranspiration for both study sites.
Supplementary Materials
Author Contributions
Funding
Data Availability Statement
Acknowledgments
Conflicts of Interest
References
- Brown, J.; Ferrians, O.J., Jr.; Heginbottom, J.A.; Melnikov, E.S. Circum-Arctic Map of Permafrost and Ground-Ice Conditions; USGS: Reston, VA, USA, 1997. [Google Scholar]
- Obu, J.; Westermann, S.; Bartsch, A.; Berdnikov, N.; Christiansen, H.H.; Dashtseren, A.; Delaloye, R.; Elberling, B.; Etzelmüller, B.; Kholodov, A.; et al. Northern Hemisphere Permafrost Map Based on TTOP Modelling for 2000–2016 at 1 km2 Scale. Earth-Sci. Rev. 2019, 193, 299–316. [Google Scholar] [CrossRef]
- Schirrmeister, L.; Froese, D.; Tumskoy, V.; Grosse, G.; Wetterich, S. Yedoma: Late Pleistocene Ice-Rich Syngenetic Permafrost of Beringia. Encycl. Quat. Sci. 2013, 3, 542–552. [Google Scholar] [CrossRef]
- Strauss, J.; Schirrmeister, L.; Grosse, G.; Fortier, D.; Hugelius, G.; Knoblauch, C.; Romanovsky, V.; Schädel, C.; Schneider von Deimling, T.; Schuur, E.A.G.; et al. Deep Yedoma Permafrost: A Synthesis of Depositional Characteristics and Carbon Vulnerability. Earth-Sci. Rev. 2017, 172, 75–86. [Google Scholar] [CrossRef]
- Schuur, E.A.; McGuire, A.D.; Schädel, C.; Grosse, G.; Harden, J.W.; Hayes, D.J.; Hugelius, G.; Koven, C.D.; Kuhry, P.; Lawrence, D.M.; et al. Climate Change and the Permafrost Carbon Feedback. Nature 2015, 520, 171–179. [Google Scholar] [CrossRef]
- Hughes-Allen, L.; Bouchard, F.; Laurion, I.; Séjourné, A.; Marlin, C.; Hatté, C.; Costard, F.; Fedorov, A.; Desyatkin, A. Seasonal Patterns in Greenhouse Gas Emissions from Thermokarst Lakes in Central Yakutia (Eastern Siberia). Limnol. Oceanogr. 2021, 66, S98–S116. [Google Scholar] [CrossRef]
- Hugelius, G.; Strauss, J.; Zubrzycki, S.; Harden, J.W.; Schuur, E.A.G.; Ping, C.; Schirrmeister, L.; Grosse, G.; Michaelson, G.J.; Koven, C.D.; et al. Estimated Stocks of Circumpolar Permafrost Carbon with Quantified Uncertainty Ranges and Identified Data Gaps. Biogeosciences 2014, 11, 6573–6593. [Google Scholar] [CrossRef]
- Park, H.; Kim, Y.; Kimball, J.S. Widespread Permafrost Vulnerability and Soil Active Layer Increases over the High Northern Latitudes Inferred from Satellite Remote Sensing and Process Model Assessments. Remote Sens. Environ. 2016, 175, 349–358. [Google Scholar] [CrossRef]
- Nitze, I.; Grosse, G.; Jones, B.M.; Romanovsky, V.E.; Boike, J. Remote Sensing Quantifies Widespread Abundance of Permafrost Region Disturbances across the Arctic and Subarctic. Nat. Commun. 2018, 9, 5423. [Google Scholar] [CrossRef]
- Nitze, I.; Grosse, G.; Jones, B.M.; Arp, C.D.; Ulrich, M.; Fedorov, A.; Veremeeva, A. Landsat-Based Trend Analysis of Lake Dynamics across Northern Permafrost Regions. Remote Sens. 2017, 9, 640. [Google Scholar] [CrossRef]
- Hjort, J.; Streletskiy, D.; Doré, G.; Wu, Q.; Bjella, K.; Luoto, M. Impacts of Permafrost Degradation on Infrastructure. Nat. Rev. Earth Environ. 2022, 3, 24–38. [Google Scholar] [CrossRef]
- Grosse, G.; Jones, B.; Arp, C. Thermokarst Lakes, Drainage, and Drained Basins. In Treatise on Geomorphology; USGS: Reston, VA, USA, 2013; pp. 326–349. ISBN 9780123747396. [Google Scholar]
- Ulrich, M.; Matthes, H.; Schirrmeister, L.; Schütze, J.; Park, H.; Iijima, Y.; Fedorov, A.N. Differences in Behavior and Distribution of Permafrost-Related Lakes in Central Yakutia and Their Response to Climatic Drivers. Water Resour. Res. 2017, 53, 1167–1188. [Google Scholar] [CrossRef]
- Serreze, M.C.; Barry, R.G. Processes and Impacts of Arctic Amplification: A Research Synthesis. Glob. Planet. Change 2011, 77, 85–96. [Google Scholar] [CrossRef]
- Pörtner, H.-O.; Roberts, D.C.; Masson-Delmotte, V.; Zhai, P.; Tignor, M.; Poloczanska, E.; Mintenbeck, K.; Alegría, A.; Nicolai, M.; Okem, A.; et al. IPCC Special Report on the Ocean and Cryosphere in a Changing Climate; IPCC: Geneva, Switzerland, 2019. [Google Scholar]
- Desyatkin, A.R.; Takakai, F.; Fedorov, P.P.; Nikolaeva, M.C.; Desyatkin, R.V.; Hatano, R. CH 4 Emission from Different Stages of Thermokarst Formation in Central Yakutia, East Siberia. Soil Sci. Plant Nutr. 2009, 55, 558–570. [Google Scholar] [CrossRef]
- Bouchard, F.; Laurion, I.; Preskienis, V.; Fortier, D.; Xu, X.; Whiticar, M.J. Modern to Millennium-Old Greenhouse Gases Emitted from Ponds and Lakes of the Eastern Canadian Arctic (Bylot Island, Nunavut). Biogeosciences 2015, 12, 7279–7298. [Google Scholar] [CrossRef]
- Prėskienis, V.; Laurion, I.; Bouchard, F.; Douglas, P.M.J.; Billett, M.F.; Fortier, D.; Xu, X. Seasonal Patterns in Greenhouse Gas Emissions from Lakes and Ponds in a High Arctic Polygonal Landscape. Limnol. Oceanogr. 2021, 66, S117–S141. [Google Scholar] [CrossRef]
- French, H. Thermokarst Processes and Landforms. Periglac. Environ. 2017, 24, 169–192. [Google Scholar]
- Bouchard, F.; Macdonald, L.A.; Turner, K.W.; Thienpont, J.R.; Medeiros, A.S.; Biskaborn, B.K.; Korosi, J.; Hall, R.I.; Pienitz, R.; Wolfe, B.B. Paleolimnology of Thermokarst Lakes: A Window into Permafrost Landscape Evolution. Arct. Sci. 2017, 3, 91–117. [Google Scholar] [CrossRef]
- Verpoorter, C.; Kutser, T.; Seekell, D.A.; Tranvik, L.J. A Global Inventory of Lakes Based on High-Resolution Satellite Imagery. Geophys. Res. Lett. 2014, 41, 6396–6402. [Google Scholar] [CrossRef]
- Liebner, S.; Welte, C.U. Roles of Thermokarst Lakes in a Warming World. Trends Microbiol. 2020, 28, 769–779. [Google Scholar] [CrossRef]
- Elder, C.D.; Thompson, D.R.; Thorpe, A.K.; Chandanpurkar, H.A.; Hanke, P.J.; Hasson, N.; James, S.R.; Minsley, B.J.; Pastick, N.J.; Olefeldt, D.; et al. Characterizing Methane Emission Hotspots From Thawing Permafrost. Glob. Biogeochem. Cycles 2021, 35, e2020GB006922. [Google Scholar] [CrossRef]
- Tarasenko, T. Interannual Variations in the Areas of Thermokarst Lakes in Central Yakutia. Water Resour. 2013, 40, 111–119. [Google Scholar] [CrossRef]
- Boike, J.; Grau, T.; Heim, B.; Günther, F.; Langer, M.; Muster, S.; Gouttevin, I.; Lange, S. Satellite-Derived Changes in the Permafrost Landscape of Central Yakutia, 2000–2011: Wetting, Drying, and Fires. Glob. Planet. Change 2016, 139, 116–127. [Google Scholar] [CrossRef]
- Travers-Smith, H.Z.; Lantz, T.C.; Fraser, R.H. Surface Water Dynamics and Rapid Lake Drainage in the Western Canadian Subarctic (1985–2020). J. Geophys. Res. Biogeosci. 2021, 126, e2021JG006445. [Google Scholar] [CrossRef]
- Chen, Y.; Liu, A.; Cheng, X. Detection of Thermokarst Lake Drainage Events in the Northern Alaska Permafrost Region. Sci. Total Environ. 2022, 807, 150828. [Google Scholar] [CrossRef] [PubMed]
- Bouchard, F.; Francus, P.; Pienitz, R.; Laurion, I.; Feyte, S. Subarctic Thermokarst Ponds: Investigating Recent Landscape Evolution and Sediment Dynamics in Thawed Permafrost of Northern Québec (Canada). Arct. Antarct. Alp. Res. 2014, 46, 251–271. [Google Scholar] [CrossRef]
- Karlsson, J.M.; Lyon, S.W.; Destouni, G. Temporal Behavior of Lake Size-Distribution in a Thawing Permafrost Landscape in Northwestern Siberia. Remote Sens. 2014, 6, 621–636. [Google Scholar] [CrossRef]
- Saito, H.; Iijima, Y.; Basharin, N.I.; Fedorov, A.N.; Kunitsky, V.V. Thermokarst Development Detected from High-Definition Topographic Data in Central Yakutia. Remote Sens. 2018, 10, 1579. [Google Scholar] [CrossRef]
- Zhang, W.; Witharana, C.; Liljedahl, A.K.; Kanevskiy, M. Deep Convolutional Neural Networks for Automated Characterization of Arctic Ice-Wedge Polygons in Very High Spatial Resolution Aerial Imagery. Remote Sens. 2018, 10, 1487. [Google Scholar] [CrossRef]
- Bhuiyan, M.A.; Witharana, C.; Liljedahl, A.K. Use of Very High Spatial Resolution Commercial Satellite Imagery and Deep Learning to Automatically Map Ice-Wedge Polygons across Tundra Vegetation Types. J. Imaging 2020, 6, 137. [Google Scholar] [CrossRef]
- Yang, F.; Feng, T.; Xu, G.; Chen, Y. Applied Method for Water-Body Segmentation Based on Mask R-CNN. J. Appl. Remote Sens. 2020, 14, 14502. [Google Scholar] [CrossRef]
- He, K.; Gkioxari, G.; Dollar, P.; Girshick, R. Mask R-CNN. IEEE Trans Pattern Anal Mach Intell. 2020, 42, 386–397. [Google Scholar] [CrossRef]
- Fedorov, A.N.; Ivanova, R.N.; Park, H.; Hiyama, T.; Iijima, Y. Recent Air Temperature Changes in the Permafrost Landscapes of Northeastern Eurasia. Polar Sci. 2014, 8, 114–128. [Google Scholar] [CrossRef]
- Gorokhov, A.N.; Fedorov, A.N. Current Trends in Climate Change in Yakutia. Geogr. Nat. Resour. 2018, 39, 153–161. [Google Scholar] [CrossRef]
- Czerniawska, J.; Chlachula, J. Climate-Change Induced Permafrost Degradation in Yakutia, East Siberia. Arctic 2020, 73, 509–528. [Google Scholar] [CrossRef]
- Ivanov, M.S. Cryogenic Structure of Quaternary Sediments in the Lena-Aldan Depression; Nauka: Novosibirsk, Russia, 1984. (In Russian) [Google Scholar]
- Strauss, J.; Schirrmeister, L.; Grosse, G.; Wetterich, S.; Ulrich, M.; Herzschuh, U.; Hubberten, H.-W. The Deep Permafrost Carbon Pool of the Yedoma Region in Siberia and Alaska. Geophys. Res. Lett. 2013, 40, 6165–6170. [Google Scholar] [CrossRef] [PubMed]
- Windirsch, T.; Grosse, G.; Ulrich, M.; Schirrmeister, L.; Fedorov, A.N.; Konstantinov, P.Y.; Fuchs, M.; Jongejans, L.L.; Wolter, J.; Opel, T.; et al. Organic carbon characteristics in ice-rich permafrost in alas and Yedoma deposits, central Yakutia. Sib. Biogeosciences 2020, 17, 3797–3814. [Google Scholar] [CrossRef]
- Siewert, M.; Hanisch, J.; Weiss, N.; Kuhry, P.; Maximov, T.; Hugelius, G. Comparing Carbon Storage of Siberian Tundra and Taiga Permafrost Ecosystems at Very High Spatial Resolution. J. Geophys. Res. Biogeosciences 2015, 120, 1973–1994. [Google Scholar] [CrossRef]
- Soloviev, P.A. The Cryolithozone of Northern Part of the Lena-Amga Interfluve; USSR Acad. Sci. Publ.: Moscow, Russia, 1959. [Google Scholar]
- Ulrich, M.; Schmidt, J.; Ulrich, M.; Wetterich, S.; Rudaya, N.; Frolova, L.; Schmidt, J.; Siegert, C.; Fedorov, A.N.; Zielhofer, C. Rapid Thermokarst Evolution during the Mid- Holocene in Central Yakutia, Russia Rapid Thermokarst Evolution during the Mid-Holocene in Central Yakutia, Russia. Holocene 2017, 27, 1899–1913. [Google Scholar] [CrossRef]
- Desyatkin, R.V. Soil Formation in Thermokarst Depression- Alases of Cryolithozone; Nauka: Novosibirsk, Russia, 2009. [Google Scholar]
- Brouchkov, A.; Fukuda, M.; Fedorov, A.; Konstantinov, P.; Iwahana, G. Thermokarst as a Short-Term Permafrost Disturbance, Central Yakutia. Permafr. Periglac. Process. 2004, 51, 81–87. [Google Scholar] [CrossRef]
- Crate, S.; Ulrich, M.; Habeck, J.O.; Desyatkin, A.R.; Desyatkin, R.V.; Fedorov, A.N.; Hiyama, T.; Iijima, Y.; Ksenofontov, S.; Mészáros, C.; et al. Permafrost Livelihoods: A Transdisciplinary Review and Analysis of Thermokarst-Based Systems of Indigenous Land Use. Anthropocene 2017, 18, 89–104. [Google Scholar] [CrossRef]
- Fedorov, A.N.; Gavriliev, P.P.; Konstantinov, P.Y.; Hiyama, T.; Iijima, Y.; Iwahana, G. Estimating the Water Balance of a Thermokarst Lake in the Middle of the Lena River Basin, Eastern Siberia. Ecohydrology 2014, 7, 188–196. [Google Scholar] [CrossRef]
- Séjourné, A.; Costard, F.; Fedorov, A.; Gargani, J.; Skorve, J.; Massé, M.; Mège, D. Evolution of the Banks of Thermokarst Lakes in Central Yakutia (Central Siberia) Due to Retrogressive Thaw Slump Activity Controlled by Insolation. Geomor-Phology 2015, 241, 31–40. [Google Scholar] [CrossRef]
- Biskaborn, B.K.; Herzschuh, U.; Bolshiyanov, D.; Savelieva, L.; Diekmann, B. Environmental Variability in Northeastern Siberia during the Last ~13,300 Yr Inferred from Lake Diatoms and Sediment—Geochemical Parameters. Paleogeography Paleoclimatology Palaeoecol. 2012, 329–330, 22–36. [Google Scholar] [CrossRef]
- Ulrich, M.; Matthes, H.; Schmidt, J.; Fedorov, A.; Siegert, C.; Schneider, B.; Strauss, J.; Zielhofer, C.; Iijima, Y. Holocene Thermokarst Dynamics in Central Yakutia—A Multi-Core and Robust Grain-Size Endmember Modeling Approach. Quat. Sci. Rev. 2019, 218C, 10–33. [Google Scholar] [CrossRef]
- Soloviev, P.A. Thermokarst Phenomena and Land-Forms Due to Frost Heaving in Central Yakutia. Biul. Peryglacialny 1973, 23, 135–155. [Google Scholar]
- Holloway, J.E.; Lewkowicz, A.G.; Douglas, T.A.; Li, X.; Turetsky, M.R.; Baltzer, J.L.; Jin, H. Impact of Wildfire on Perma-frost Landscapes: A Review of Recent Advances and Future Prospects. Permafr. Periglac. Process. 2020, 31, 371–382. [Google Scholar] [CrossRef]
- Hughes-Allen, L.; Bouchard, F.; Séjourné, A.; Gandois, L. Limnological properties of lakes in Central Yakutia (Eastern Siberia) during four seasons (2018–2019). PANGAEA. 2020. Available online: https://doi.org/10.1594/PANGAEA.919907 (accessed on 1 January 2023).
- QGIS Development Team. QGIS Geographic Information System. Open Source Geospatial Foundation Project. 2022. Available online: http://qgis.osgeo.org (accessed on 1 January 2023).
- Paszke, A.; Gross, S.; Massa, F.; Lerer, A.; Bradbury, J.; Chanan, G.; Killeen, T.; Lin, Z.; Gimelshein, N.; Antiga, L.; et al. PyTorch: An Imperative Style, High-Performance Deep Learning Library. In Advances in Neural Information Processing Systems 32; Curran Assoicates, Inc.: Red Hoo, NY, USA, 2019; pp. 8024–8035. [Google Scholar]
- Lin, T.-Y.; Maire, M.; Belongie, S.; Hays, J.; Perona, P.; Ramanan, D.; Dollár, P.; Zitnick, C.L. Microsoft Coco: Common Objects in Context. In Proceedings of the European Conference on Computer Vision, Zurich, Switzerland, 6–12 September 2014; Springer: Berlin/Heidelberg, Germany, 2014; pp. 740–755. [Google Scholar]
- Kingma, D.P.; Ba, J. Adam: A Method for Stochastic Optimization. arXiv 2014, arXiv:1412.6980 2014. [Google Scholar]
- Sammis, T.W.; Gregory, E.J.; Kallsen, C.E. Estimating Evapotranspiration with Water-Production Functions or the Blaney-Criddle Method. Trans. ASAE 1982, 25, 1656–1661. [Google Scholar] [CrossRef]
- Bouchard, F.; Fortier, D.; Paquette, M.; Boucher, V.; Pienitz, R.; Laurion, I. Thermokarst Lake Inception and Development in Syngenetic Ice-Wedge Polygon Terrain during a Cooling Climatic Trend, Bylot Island (Nunavut), Eastern Canadian Arctic. Cryosphere 2020, 14, 2607–2627. [Google Scholar] [CrossRef]
- Nesterova, N.V.; Makarieva, O.M.; Fedorov, A.N.; Shikhov, A.N. Geocryological Factors of Dynamics of the Thermokarst Lake Area in Central Yakutia. Earth’s Cryosph. 2021, 25, 19–29. [Google Scholar] [CrossRef]
- Iijima, Y.; Abe, T.; Saito, H.; Ulrich, M.; Fedorov, A.N.; Basharin, N.I.; Gorokhov, A.N.; Makarov, V.S. Thermokarst Land-scape Development Detected by Multiple-Geospatial Data in Churapcha, Eastern Siberia. Front. Earth Sci. 2021, 9, 750298. [Google Scholar] [CrossRef]
- Yu, Q.; Epstein, H.; Engstrom, R.; Shiklomanov, N.; Streletskiy, D. Land Cover and Land Use Changes in the Oil and Gas Regions of Northwestern Siberia under Changing Climatic Conditions. Environ. Res. Lett. 2015, 10, 124020. [Google Scholar] [CrossRef]
- Abnizova, A.; Siemens, J.; Langer, M.; Boike, J. Small Ponds with Major Impact: The Relevance of Ponds and Lakes in Permafrost Landscapes to Carbon Dioxide Emissions. Glob. Biogeochem. Cycles 2012, 26. [Google Scholar] [CrossRef]
















| Scene Date | Satellite | Scene Area (km2) | Pixel Area (m2) | Number of Lakes |
|---|---|---|---|---|
| 2016-09-11 | Spot 7 | 35 × 43 | 1.5 | 2525 |
| 2012-09-25 | Spot 5 | 60 × 60 | 2.5 | 4197 |
| 2010-10-03 N | Spot 5 | 60 × 46 | 2.5 | 1210 |
| 2010-10-03 S | Spot 5 | 60 × 14 | 2.5 | 1413 |
| South (1220 km2) | Satellite | Center (1150 km2) | Satellite |
|---|---|---|---|
| 1989-07-12 | Spot 1 | 1967-09-20 | KH-4 Corona |
| 2005-09-25 | Spot 5 | 1980-09-20 | KH-9 Hexagon |
| 2007-08-02 | Spot 5 | 2010-09-23 | Spot 5 |
| 2010-10-03 | Spot 5 | 2011-09-21 | Spot 5 |
| 2011-09-08 | Spot 5 | 2012-07-25 | Spot 5 |
| 2012-07-25 | Spot 5 | 2016-09-11 | Spot 7 |
| 2019-06-17 | Spot 6 | 2019-06-17 | Spot 6 |
| Lake Type | Min Area (ha) | Max Area (ha) | Median Area (ha) | Mean Area (ha) | Count | |
|---|---|---|---|---|---|---|
| South | UCA | 0.01 | 1816.4 | 5.1 | 17.4 | 1212 |
| CA | 7.9 | 2178.7 | 179.5 | 517.7 | 28 | |
| RT | 0.1 | 17.7 | 1.0 | 1.8 | 165 | |
| Center | UCA | 0.01 | 94.5 | 0.9 | 2.9 | 1486 |
| CA | 0.02 | 237.7 | 7.1 | 44.7 | 43 | |
| RT | 0.01 | 13.9 | 0.2 | 0.4 | 323 |
| Lake Type | Precipitation | Temperature | Evapotranspiration | ||||
|---|---|---|---|---|---|---|---|
| Coefficient | p-Value | Coefficient | p-Value | Coefficient | p-Value | ||
| South | UCA | −0.82 | 0.02 | 0.46 | 0.29 | 0.61 | 0.15 |
| CA | −0.46 | 0.29 | 0.71 | 0.07 | 0.68 | 0.09 | |
| RT | −0.36 | 0.43 | 0.86 | 0.01 | 0.89 | 0.01 | |
| Center | UCA | −0.29 | 0.53 | 0.04 | 0.94 | 0.18 | 0.70 |
| CA | −0.29 | 0.53 | 0.29 | 0.53 | 0.29 | 0.53 | |
| RT | 0.54 | 0.22 | 0.82 | 0.02 | 0.79 | 0.04 | |
Disclaimer/Publisher’s Note: The statements, opinions and data contained in all publications are solely those of the individual author(s) and contributor(s) and not of MDPI and/or the editor(s). MDPI and/or the editor(s) disclaim responsibility for any injury to people or property resulting from any ideas, methods, instructions or products referred to in the content. |
© 2023 by the authors. Licensee MDPI, Basel, Switzerland. This article is an open access article distributed under the terms and conditions of the Creative Commons Attribution (CC BY) license (https://creativecommons.org/licenses/by/4.0/).
Share and Cite
Hughes-Allen, L.; Bouchard, F.; Séjourné, A.; Fougeron, G.; Léger, E. Automated Identification of Thermokarst Lakes Using Machine Learning in the Ice-Rich Permafrost Landscape of Central Yakutia (Eastern Siberia). Remote Sens. 2023, 15, 1226. https://doi.org/10.3390/rs15051226
Hughes-Allen L, Bouchard F, Séjourné A, Fougeron G, Léger E. Automated Identification of Thermokarst Lakes Using Machine Learning in the Ice-Rich Permafrost Landscape of Central Yakutia (Eastern Siberia). Remote Sensing. 2023; 15(5):1226. https://doi.org/10.3390/rs15051226
Chicago/Turabian StyleHughes-Allen, Lara, Frédéric Bouchard, Antoine Séjourné, Gabriel Fougeron, and Emmanuel Léger. 2023. "Automated Identification of Thermokarst Lakes Using Machine Learning in the Ice-Rich Permafrost Landscape of Central Yakutia (Eastern Siberia)" Remote Sensing 15, no. 5: 1226. https://doi.org/10.3390/rs15051226
APA StyleHughes-Allen, L., Bouchard, F., Séjourné, A., Fougeron, G., & Léger, E. (2023). Automated Identification of Thermokarst Lakes Using Machine Learning in the Ice-Rich Permafrost Landscape of Central Yakutia (Eastern Siberia). Remote Sensing, 15(5), 1226. https://doi.org/10.3390/rs15051226

