Evaluating the Sand-Trapping Efficiency of Sand Fences Using a Combination of Wind-Blown Sand Measurements and UAV Photogrammetry at Tottori Sand Dunes, Japan
Abstract
1. Introduction
2. Materials and Methods
2.1. Study Area
2.2. UAV Photogrammetric Workflow
2.2.1. Image and Data Acquisition
2.2.2. Data Processing
2.3. Observation of Wind Speed, Wind Direction, and Blown-Sand Flux
2.4. Threshold Wind Speed for Sand Saltation
3. Results
3.1. Wind Condition and Threshold Wind Speed for Sand Saltation
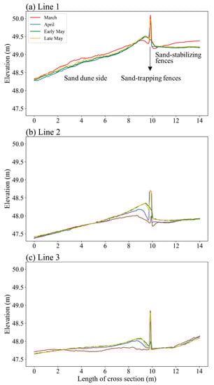
3.2. Sand-Trapping Efficiency of Sand Fences
3.3. Influence of Sand-Trapping Fences on Sand Deposition
4. Discussion
4.1. Effects of Sand Fences on Wind-Blown Sand and Sand Transport
4.2. Limitations of the Current Study
5. Conclusions
Author Contributions
Funding
Institutional Review Board Statement
Informed Consent Statement
Data Availability Statement
Acknowledgments
Conflicts of Interest
References
- Takayama, N.; Kimura, R.; Liu, J.Q.; Moriyama, M. Long-term spatial distribution of vegetation and sand movement following the commencement of landscape conservation activities to curb grassland encroachment at the Tottori Sand Dunes natural monument (Vegetation and sand movement in the Tottori Sand Dunes). Int. J. Remote Sens. 2020, 41, 3070–3094. [Google Scholar] [CrossRef]
- Wang, H.; Takle, E.S. On shelter efficiency of shelterbelts in oblique wind. Agric. For. Meteorol. 1996, 81, 95–117. [Google Scholar] [CrossRef]
- Xin, G.W.; Huang, N.; Zhang, J.; Dun, H.C. Investigations into the design of sand control fence for Gobi buildings. Aeolian Res. 2021, 49. [Google Scholar] [CrossRef]
- Li, B.L.; Sherman, D.J. Aerodynamics and morphodynamics of sand fences: A review. Aeolian Res. 2015, 17, 33–48. [Google Scholar] [CrossRef]
- Dong, Z.; Luo, W.; Qian, G.; Wang, H. A wind tunnel simulation of the mean velocity fields behind upright porous fences. Agric. For. Meteorol. 2007, 146, 82–93. [Google Scholar] [CrossRef]
- Dong, Z.; Qian, G.; Luo, W.; Wang, H. Threshold velocity for wind erosion: The effects of porous fences. Environ. Geol. 2006, 51, 471–475. [Google Scholar] [CrossRef]
- Bofah, K.; Al-Hinai, K. Field tests of porous fences in the regime of sand-laden wind. J. Wind Eng. Ind. Aerod. 1986, 23, 309–319. [Google Scholar] [CrossRef]
- Gage, B.O. Experimental Dunes of the Texas Coast; US Coastal Engineering Research Center: Washington, DC, USA, 1970. [Google Scholar]
- Manohar, M.; Bruun, P. Mechanics of dune growth by sand fences. Dock Harb. Auth. 1970, 51, 243. [Google Scholar]
- Zhang, K.; Zu, R.; Fang, H. Simulation on abrated effect of nylon net with different porosities on wind-blown sand in wind tunnel. J. Soil Water Conserv. 2004, 18, 4–7. [Google Scholar]
- Phillips, C.J.; Willetts, B.B. Predicting sand deposition at porous fences. J. Waterw. Port Coast. Ocean Div. 1979, 105, 15–31. [Google Scholar] [CrossRef]
- Trossel, C. Eolian sand control in Saudi Arabia as experienced by ARAMCO. In Proceedings of the a Symposium on Geotechnical Problems in Saudi Arabia, Riyadh, Saudi Arabia, 11–13 May 1981; pp. 329–360. [Google Scholar]
- Hotta, S.; Kraus, N.C.; Horikawa, K. Function of Sand Fences in Controlling Wind-Blown Sand. Coast. Sediments 1987, 772–787. [Google Scholar]
- Li, B.L.; Ning, Q.Q. Effect of opening geometry of sand fences on dune formation. Geophys. Res. Abstr. 2019, 21, EGU2019-9909-2011. [Google Scholar]
- Eichmanns, C.; Lechthaler, S.; Zander, W.; Pérez, M.V.; Blum, H.; Thorenz, F.; Schüttrumpf, H. Sand Trapping Fences as a Nature-Based Solution for Coastal Protection: An International Review with a Focus on Installations in Germany. Environments 2021, 8, 135. [Google Scholar] [CrossRef]
- Wu, Z. Aeolian Geomorphology; Science Press: Beijing, China, 1987. [Google Scholar]
- Sherman, D.J. Understanding wind-blown sand: Six vexations. Geomorphology 2020, 366, 107193. [Google Scholar] [CrossRef]
- Hosaka, K.; Ugal, M.; Kubota, S.; Oguri, Y. Experiment for wind blown sand using a ceramics piezo-electric sensor. Proc. Civ. Eng. Ocean. 2004, 20, 1091–1096. [Google Scholar] [CrossRef]
- Liu, J.; Kimura, R. Wind speed characteristics and blown sand flux over a gravel surface in a compact wind tunnel. Aeolian Res. 2018, 35, 39–46. [Google Scholar] [CrossRef]
- Ellis, J.T.; Morrison, R.F.; Priest, B.H. Detecting impacts of sand grains with a microphone system in field conditions. Geomorphology 2009, 105, 87–94. [Google Scholar] [CrossRef]
- Hotta, S.; Harikai, S. State-of-the-art in Japan on controlling wind-blown sand on beaches. Coast. Eng. Proc. 2011, 32, 110. [Google Scholar] [CrossRef]
- Udo, K. Field Observations of Aeolian Sand Transport Rate Using a Piezoelectric Ceramic Sensor. Proc. Coast. Eng. 2008, 55, 551–555. [Google Scholar] [CrossRef]
- Udo, K. New method for estimation of aeolian sand transport rate using ceramic sand flux sensor (UD-101). Sensors 2009, 9, 9058–9072. [Google Scholar] [CrossRef] [PubMed]
- Li, B.; Ning, Q.; Yu, Y.; Ma, J.; Meldau, L.F.; Liu, J.; He, Y. A laser sheet sensor (LASS) for wind-blown sand flux measurement. Aeolian Res. 2021, 50, 100681. [Google Scholar] [CrossRef]
- Itzkin, M.; Moore, L.J.; Ruggiero, P.; Hacker, S.D. The effect of sand fencing on the morphology of natural dune systems. Geomorphology 2020, 352, 106995. [Google Scholar] [CrossRef]
- Calkin, P.E.; Rutford, R.H. The sand dunes of Victoria Valley, Antarctica. Geogr. Rev. 1974, 64, 189–216. [Google Scholar] [CrossRef]
- Anfuso, G.; Dominguez, L.; Gracia, F. Short and medium-term evolution of a coastal sector in Cadiz, SW Spain. Catena 2007, 70, 229–242. [Google Scholar] [CrossRef]
- Bogle, R.; Redsteer, M.H.; Vogel, J. Field measurement and analysis of climatic factors affecting dune mobility near Grand Falls on the Navajo Nation, southwestern United States. Geomorphology 2015, 228, 41–51. [Google Scholar] [CrossRef]
- Mohammed, R.K. Enlargement the Sighting Distance of Sokkia Digital Level SDL30. In Proceedings of the 6th FIG Regional Conference 2007: Strategic Integration of Surveying Services, Hong Kong, China, 13–17 May 2007; Volume 7, pp. 11–13. [Google Scholar]
- Hermas, E.; Gaber, A.; Alqurashi, A.F. Advances in Measurement Techniques for Estimating Sand Dune Movements. Sand Dunes North. Hemisph. Distrib. Form. Migr. Manag. 2023, 1, 12. [Google Scholar]
- Chapapría, V.E.; Peris, J.S.; González-Escrivá, J.A. Coastal Monitoring Using Unmanned Aerial Vehicles (UAVs) for the Management of the Spanish Mediterranean Coast: The Case of Almenara-Sagunto. Int. J. Environ. Res. Public Health 2022, 19, 5457. [Google Scholar] [CrossRef]
- Vecchi, E.; Tavasci, L.; De Nigris, N.; Gandolfi, S. GNSS and Photogrammetric UAV Derived Data for Coastal Monitoring: A Case of Study in Emilia-Romagna, Italy. J. Mar. Sci. Eng. 2021, 9, 1194. [Google Scholar] [CrossRef]
- Bañón, L.; Pagán, J.I.; López, I.; Banon, C.; Aragonés, L. Validating UAS-Based Photogrammetry with Traditional Topographic Methods for Surveying Dune Ecosystems in the Spanish Mediterranean Coast. J. Mar. Sci. Eng. 2019, 7, 297. [Google Scholar] [CrossRef]
- Laporte-Fauret, Q.; Marieu, V.; Castelle, B.; Michalet, R.; Bujan, S.; Rosebery, D. Low-cost UAV for high-resolution and large-scale coastal dune change monitoring using photogrammetry. J. Mar. Sci. Eng. 2019, 7, 63. [Google Scholar] [CrossRef]
- Minervino Amodio, A.; Di Paola, G.; Rosskopf, C.M. Monitoring coastal vulnerability by using DEMs based on UAV spatial data. ISPRS Int. J. Geo-Inf. 2022, 11, 155. [Google Scholar] [CrossRef]
- Liu, J.; Kimura, R.; Wu, J.; Kawai, T. Use of UAV Photogrammetry for Monitoring Topographic Changes in the Tottori Sand Dunes, Japan. Sand Dune Res. 2022, 69, 1–9. [Google Scholar]
- Kimura, R. Natural Environment of Sand Dunes. In Tottori Sand Dunes -Nature and History of Japan’s Most Famous Coastal Dunes; Nagamatsu, D., Ed.; Imai Print Co., Ltd.: Yonago, Japan, 2022; pp. 30–33. [Google Scholar]
- Nagamatsu, D. Vegetation of the Dunes. In Tottori Sand Dunes -Nature and History of Japan’s Most Famous Coastal Dunes; Nagamatsu, D., Ed.; Imai Print Co., Ltd.: Yonago, Japan, 2022; pp. 40–42. [Google Scholar]
- Abulitipu, A.; Kimura, R. Characteristics of the sand drifting of Tottori sand dune in springtime. Sand Dune Res. 2011, 58, 31–39. [Google Scholar]
- Yamanaka, N. From Agricultural Development in the Tottori Sand Dunes to Dryland Development in the World; Tottori University: Tottori, Japan, 2020; p. 48. [Google Scholar]
- Agisoft, L. Metashape python reference. Release 2020, 1, 1–199. [Google Scholar]
- Smith, M.W.; Carrivick, J.L.; Quincey, D.J. Structure from motion photogrammetry in physical geography. Prog. Phys. Geog. 2016, 40, 247–275. [Google Scholar] [CrossRef]
- Snavely, K.N. Scene Reconstruction and Visualization from Internet Photo Collections; University of Washington: Washington, DC, USA, 2008; Available online: https://www.cs.cornell.edu/~snavely/publications/thesis/thesis.pdf (accessed on 21 October 2022).
- Geospatial Information Authority of Japan. The Manual for Public Survey Using UAV (Proposed) March 2017 Version. Available online: https://www.gsi.go.jp/common/000186712.pdf (accessed on 5 October 2022).
- Team, Q.D. QGIS Geographic Information System. Available online: http://qgis.osgeo.org (accessed on 15 October 2022).
- Hotta, S. A Review of Two-Dimensional Accumulation Forms around Single-RowSand Fences. Trans. Jpn. Geomophol. Union 2014, 35, 1–23. [Google Scholar]
- Kubota, S.; Hosaka, K.; Tamura, T. Development of wind blown sand measuring device used a ceramic piezo-electric sensor: Part 2. Verification by a visual analysis using a high-speed camera. Rep. Res. Inst. Sci. Technol. Nihon Univ. 2007, 115, 141–149. [Google Scholar]
- Liu, J.; Kimura, R.; Wu, J. Vertical Profiles of Wind-Blown Sand Flux over Fine Gravel Surfaces and Their Implications for Field Observation in Arid Regions. Atmosphere 2020, 11, 1029. [Google Scholar] [CrossRef]
- Wu, Z. Geomorphology of Wind-Drift Sands and Their Controlled Engineering; Science Press: Beijing, China, 2003. [Google Scholar]
- Liu, J.; Kimura, R.; Wu, J. Aerodynamic characteristics over fine-grained gravel surfaces in a wind tunnel. Front. Earth Sci. 2021, 9, 1125. [Google Scholar] [CrossRef]
- Barchyn, T.E.; Hugenholtz, C.H. Comparison of four methods to calculate aeolian sediment transport threshold from field data: Implications for transport prediction and discussion of method evolution. Geomorphology 2011, 129, 190–203. [Google Scholar] [CrossRef]
- Wu, J.; Kurosaki, Y.; Gantsetseg, B.; Ishizuka, M.; Sekiyama, T.T.; Buyantogtokh, B.; Liu, J. Estimation of dry vegetation cover and mass from MODIS data: Verification by roughness length and sand saltation threshold. Int. J. Appl. Earth Obs. Geoinf. 2021, 102, 102417. [Google Scholar] [CrossRef]
- Kimura, R.; Abulaiti, A. Wind direction and speed in Tottori sand dune from 2012 to 2014. Sand Dune Res. 2016, 63, 49–56. [Google Scholar]
- Liu, X.P.; Dong, Z.B. Experimental investigation of the concentration profile of a blowing sand cloud. Geomorphology 2004, 60, 371–381. [Google Scholar] [CrossRef]
- Zhang, K.C.; Qu, J.J.; Zu, R.P.; Ta, W.Q. Characteristics of wind-blown sand on Gobi/mobile sand surface. Environ. Geol. 2008, 54, 411–416. [Google Scholar] [CrossRef]
- Martin, R.L.; Kok, J.F. Wind-invariant saltation heights imply linear scaling of aeolian saltation flux with shear stress. Sci. Adv. 2017, 3, e1602569. [Google Scholar] [CrossRef]
- Rotnicka, J. Aeolian vertical mass flux profiles above dry and moist sandy beach surfaces. Geomorphology 2013, 187, 27–37. [Google Scholar] [CrossRef]
- Conlin, M.; Cohn, N.; Ruggiero, P. A quantitative comparison of low-cost structure from motion (SfM) data collection platforms on beaches and dunes. J. Coast. Res. 2018, 34, 1341–1357. [Google Scholar] [CrossRef]
- Jackson, N.L.; Nordstrom, K.F. Aeolian sediment transport and morphologic change on a managed and an unmanaged foredune. Earth Surf. Process. Landf. 2013, 38, 413–420. [Google Scholar] [CrossRef]
- Miller, D.L.; Thetford, M.; Yager, L. Evaluation of sand fence and vegetation for dune building following overwash by Hurricane Opal on Santa Rosa Island, Florida. J. Coast. Res. 2001, 17, 936–948. [Google Scholar]
- Hotta, S.; Horikawa, K. Function of sand fence placed in front of embankment. In Proceedings of the 22nd International Conference on Coastal Engineering, Delft, The Netherlands, 2–6 July 1990; pp. 2754–2767. [Google Scholar]
- Cheng, J.-J.; Lei, J.-Q.; Li, S.-Y.; Wang, H.-F. Disturbance of the inclined inserting-type sand fence to wind–sand flow fields and its sand control characteristics. Aeolian Res. 2016, 21, 139–150. [Google Scholar] [CrossRef]
- Casella, E.; Drechsel, J.; Winter, C.; Benninghoff, M.; Rovere, A. Accuracy of sand beach topography surveying by drones and photogrammetry. Geo-Mar. Lett. 2020, 40, 255–268. [Google Scholar] [CrossRef]
- Tonkin, T.N.; Midgley, N.G. Ground-control networks for image based surface reconstruction: An investigation of optimum survey designs using UAV derived imagery and structure-from-motion photogrammetry. Remote Sens. 2016, 8, 786. [Google Scholar] [CrossRef]












Disclaimer/Publisher’s Note: The statements, opinions and data contained in all publications are solely those of the individual author(s) and contributor(s) and not of MDPI and/or the editor(s). MDPI and/or the editor(s) disclaim responsibility for any injury to people or property resulting from any ideas, methods, instructions or products referred to in the content. |
© 2023 by the authors. Licensee MDPI, Basel, Switzerland. This article is an open access article distributed under the terms and conditions of the Creative Commons Attribution (CC BY) license (https://creativecommons.org/licenses/by/4.0/).
Share and Cite
Liu, J.; Wu, J.; Kimura, R. Evaluating the Sand-Trapping Efficiency of Sand Fences Using a Combination of Wind-Blown Sand Measurements and UAV Photogrammetry at Tottori Sand Dunes, Japan. Remote Sens. 2023, 15, 1098. https://doi.org/10.3390/rs15041098
Liu J, Wu J, Kimura R. Evaluating the Sand-Trapping Efficiency of Sand Fences Using a Combination of Wind-Blown Sand Measurements and UAV Photogrammetry at Tottori Sand Dunes, Japan. Remote Sensing. 2023; 15(4):1098. https://doi.org/10.3390/rs15041098
Chicago/Turabian StyleLiu, Jiaqi, Jing Wu, and Reiji Kimura. 2023. "Evaluating the Sand-Trapping Efficiency of Sand Fences Using a Combination of Wind-Blown Sand Measurements and UAV Photogrammetry at Tottori Sand Dunes, Japan" Remote Sensing 15, no. 4: 1098. https://doi.org/10.3390/rs15041098
APA StyleLiu, J., Wu, J., & Kimura, R. (2023). Evaluating the Sand-Trapping Efficiency of Sand Fences Using a Combination of Wind-Blown Sand Measurements and UAV Photogrammetry at Tottori Sand Dunes, Japan. Remote Sensing, 15(4), 1098. https://doi.org/10.3390/rs15041098

