Joint Radar and Communications Waveform Design Based on Complementary Sequence Sets
Abstract
1. Introduction
- (1)
- A new co-use JRC waveform is devised by exploiting the philosophy of the complementary sequence and is called the JRC-CWG.
- (2)
- (3)
- A new Doppler resilient waveform design method is proposed to design the DR-JRC-CWG that is not sensitive to Doppler shift caused by the relative radial velocity between the vehicle and target.
- (4)
- An algorithm based on the framework of the FR-CG algorithm and the FFT algorithm is proposed to design the DR-JRC-CWG.
2. JRC-CWG Model
2.1. Transmit JRC-CWG Model
2.2. Receive Signal Model at the Radar Receiver
2.3. Receive Signal Model at the Communications User
3. JRC-CWG and DR-JRC-CWG Design
3.1. JRC-CWG Design with Low Sidelobe Level
3.1.1. Problem Formulation
3.1.2. JRC-CWG Design Algorithm
| Algorithm 1: The JRC-CWG design algorithm. |
| Input:, , , , the threshold , and WCIs. Step 1: Initialize , let , , and the search direction . Step 2: Calculate the gradient matrix using (16), where . Step 3: Calculate the search direction . Step 4: Compute , where is the optimal solution that minimizes , which is obtained with the line search method [45]. Step 5: If , go to Output, else (1) Let ; (2) Calculate the gradient matrix using (16), where ; (3) Calculate ; (4) Turn to Step 3. Output: The phase of WTOs . |
3.1.3. Computational Complexity Analysis
3.2. DR-JRC-CWG Design
3.2.1. Doppler Sensitivity Analysis
3.2.2. Problem Formulation
3.2.3. DR-JRC-CWG Design Algorithm
| Algorithm 2: The DR-JRC-CWG design algorithm |
| Input:, , , , , the threshold , , and WCIs. Step 1: Initialize , and let , , and . Step 2: Calculate the gradient matrix using (28) and (29), where . Step 3: Calculate the search direction . Step 4: Compute , where is the optimal solution that minimizes , which is obtained with the line search method. Step 5: If , go to Output, else (1) Let ; (2) Calculate the gradient matrix using (28) and (29), where ; (3) Calculate ; (4) Turn to Step 3. Output: The phase of WTOs . |
3.2.4. Computational Complexity Analysis
4. Results
4.1. Performance of the JRC-CWG
4.2. Performance of the DR-JRC-CWG
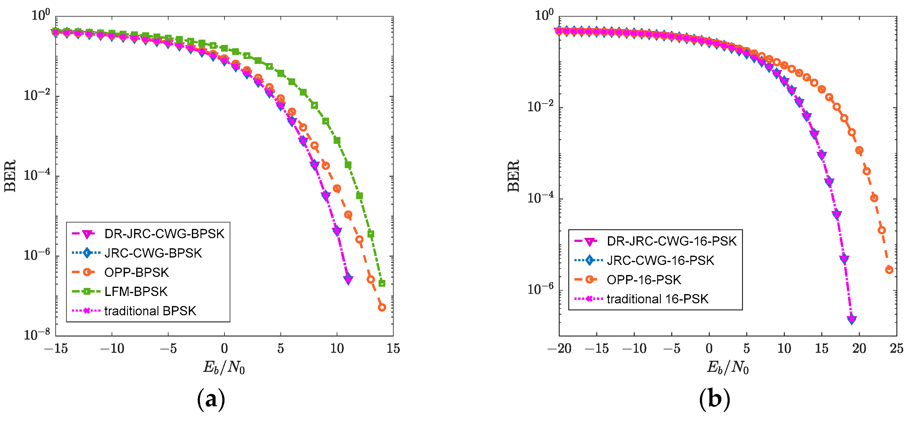
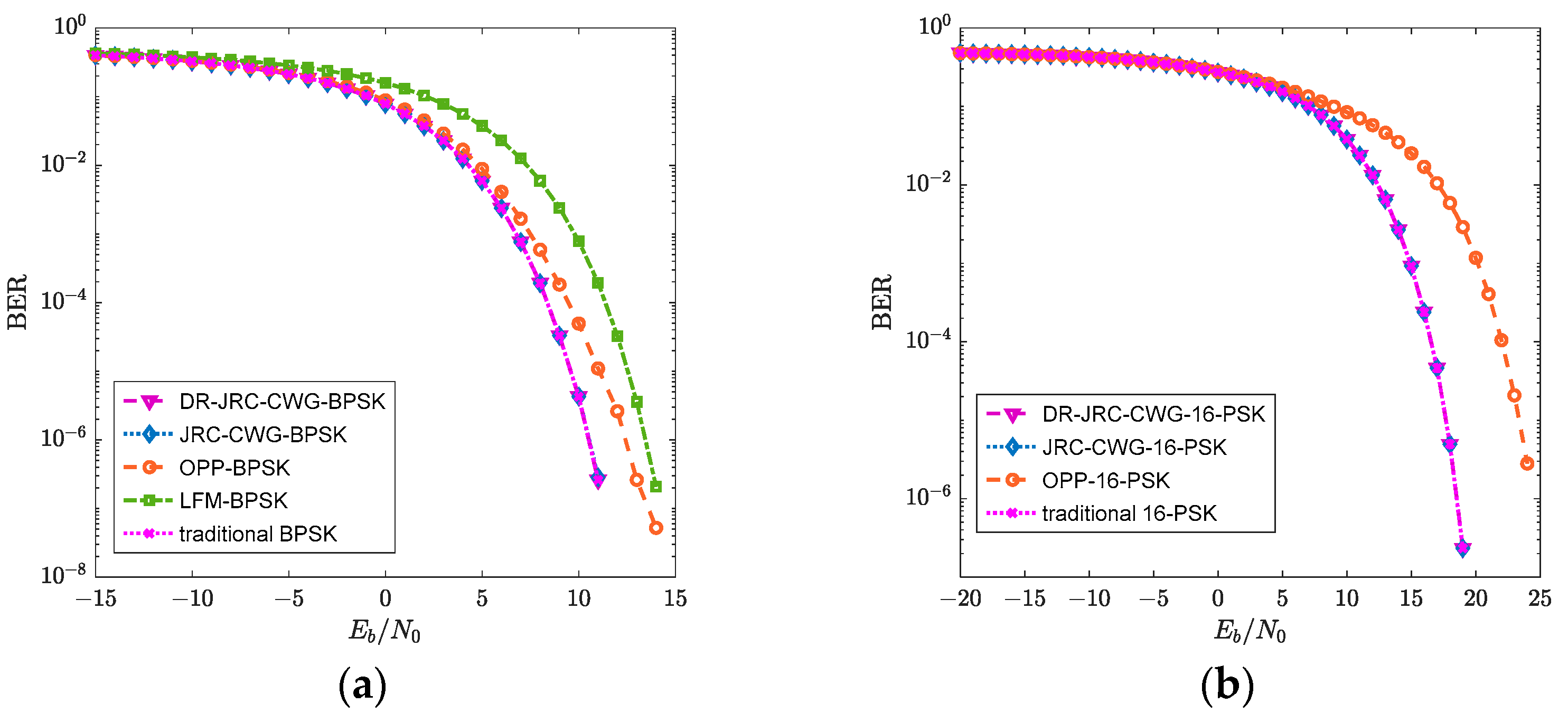
4.3. Communications Performance
5. Discussion
6. Conclusions
Author Contributions
Funding
Data Availability Statement
Conflicts of Interest
References
- Dokhanchi, S.H.; Shankar, M.R.B.; Stifter, T.; Ottersten, B. OFDM-based automotive joint radar-communication system. In Proceedings of the 2018 IEEE Radar Conference, Oklahoma City, OK, USA, 23–27 April 2018. [Google Scholar]
- Ma, Z.; Huo, Q.; Yang, X.; Zhao, X. Safety cruise control of connected vehicles using radar and vehicle-to-vehicle communi-cation. IEEE Syst. J. 2020, 14, 4602–4613. [Google Scholar] [CrossRef]
- Dokhanchi, S.H.; Mysore, B.S.; Mishra, K.V.; Ottersten, B. A mmWave automotive joint radar-communications system. IEEE Trans. Aerosp. Electron. Syst. 2019, 55, 1241–1260. [Google Scholar] [CrossRef]
- Kumari, P.; Gonzalez-Prelcic, N.; Heath, R.W. Investigating the IEEE 802.11ad standard for millimeter wave automotive radar. In Proceedings of the 2015 IEEE 82nd Vehicular Technology Conference, Boston, MA, USA, 6–9 September 2015. [Google Scholar]
- Dokhanchi, S.H.; Shankar, M.R.B.; Alaee-Kerahroodi, M.; Stifter, T.; Ottersten, B. Adaptive waveform design for automotive joint radar-communications systems. In Proceedings of the 2019 IEEE International Conference on Acoustics, Speech and Signal Processing, Brighton, UK, 12–17 May 2019. [Google Scholar]
- Paul, B.; Chiriyath, A.R.; Bliss, D.W. Survey of RF communications and sensing convergence research. IEEE Access 2017, 5, 252–270. [Google Scholar] [CrossRef]
- Luong, N.C.; Lu, X.; Hoang, D.T.; Niyato, D.; Kim, D.I. Radio resource management in joint radar and communication: A comprehensive survey. IEEE Commun. Surv. Tutor. 2021, 23, 780–814. [Google Scholar] [CrossRef]
- Cheng, Z.; He, Z.; Liao, B. Hybrid beamforming for multi-carrier dual-function radar-communication system. IEEE Trans. Cogn. Commun. Netw. 2021, 7, 1002–1015. [Google Scholar] [CrossRef]
- Liu, F.; Masouros, C.; Petropulu, A.P.; Griffiths, H.; Hanzo, L. Joint radar and communication design: Applications, state-of-the-art, and the road ahead. IEEE Trans. Commun. 2020, 68, 3834–3862. [Google Scholar] [CrossRef]
- Zhang, Q.Y.; Zhou, Y.; Zhang, L.R.; Gu, Y.B.; Zhang, J. Waveform design for a dual-function radar-communication system based on CE-OFDM-PM signal. IET Radar Sonar Navig. 2019, 13, 566–572. [Google Scholar] [CrossRef]
- Qian, J.; Tian, F.; Huang, N.; Liu, T. Multiobjective optimization for spectral coexistence of radar and communication system. In Proceedings of the 2019 IEEE Radar Conference, Boston, MA, USA, 22–26 April 2019. [Google Scholar]
- Ahmed, A.; Zhang, Y.D.; Gu, Y. Dual-function radar-communications using QAM-based sidelobe modulation. Dig. Signal Process. 2018, 82, 166–174. [Google Scholar] [CrossRef]
- Zhou, S.; Liang, X.; Yu, Y.; Liu, H. Joint radar-communications co-use waveform design using optimized phase perturbation. IEEE Trans. Aerosp. Electron. Syst. 2019, 55, 1227–1240. [Google Scholar] [CrossRef]
- Aubry, A.; De Maio, A.; Govoni, M.A.; Martino, L. On the design of multi-spectrally constrained constant modulus radar signals. IEEE Trans. Signal Process. 2020, 68, 2231–2243. [Google Scholar] [CrossRef]
- Fan, W.; Liang, J.; So, H.C.; Lu, G. Min-max metric for spectrally compatible waveform design via log-exponential smoothing. IEEE Trans. Signal Process. 2020, 68, 1075–1090. [Google Scholar] [CrossRef]
- Jiang, M.; Liao, G.; Yang, Z.; Liu, Y.; Chen, Y. Integrated radar and communication waveform design based on a shared array. Signal Process. 2021, 182, 107956. [Google Scholar] [CrossRef]
- Liu, Y.; Liao, G.; Xu, J.; Yang, Z.; Zhang, Y. Adaptive OFDM integrated radar and communications waveform design based on information theory. IEEE Commun. Lett. 2017, 21, 2174–2177. [Google Scholar] [CrossRef]
- Ciuonzo, D.; De Maio, A.; Foglia, G.; Piezzo, M. Intrapulse radar-embedded communications via multiobjective optimization. IEEE Trans. Aerosp. Electron. Syst. 2015, 51, 2960–2974. [Google Scholar] [CrossRef]
- Hassanien, A.; Amin, M.G.; Zhang, Y.D.; Ahmad, F. Dual-function radar-communications: Information embedding using sidelobe control and waveform diversity. IEEE Trans. Signal Process. 2016, 64, 2168–2181. [Google Scholar] [CrossRef]
- Ahmed, A.; Zhang, Y.M.D.; Himed, B. Multi-user dual-function radar-communications exploiting sidelobe control and waveform diversity. In Proceedings of the 2018 IEEE Radar Conference, Oklahoma City, OK, USA, 23–27 April 2018. [Google Scholar]
- Jiang, Z.M.; Rihan, M.; Zhang, P.; Huang, L.; Deng, Q.; Zhang, J.; Mohamed, E.M. Intelligent reflecting surface aided du-al-function radar and communication system. IEEE Syst. J. 2021, 16, 475–486. [Google Scholar] [CrossRef]
- Yang, J.; Cui, G.; Yu, X.; Kong, L. Dual-use signal design for radar and communication via ambiguity function sidelobe control. IEEE Trans. Veh. Technol. 2020, 69, 9781–9794. [Google Scholar] [CrossRef]
- Liu, Y.; Liao, G.; Xu, J.; Yang, Z.; Huang, L.; Zhang, Y. Transmit power adaptation for orthogonal frequency division multi-plexing integrated radar and communication systems. J. Appl. Remote Sens. 2017, 11, 035017. [Google Scholar] [CrossRef]
- Sit, Y.L.; Nuss, B.; Zwick, T. On mutual interference cancellation in a MIMO OFDM multiuser radar-communication network. IEEE Trans. Veh. Technol. 2018, 67, 3339–3348. [Google Scholar] [CrossRef]
- Liu, Y.; Liao, G.; Yang, Z. Robust OFDM integrated radar and communications waveform design based on information theory. Signal Process. 2019, 162, 317–329. [Google Scholar] [CrossRef]
- Liu, Y.; Liao, G.; Yang, Z.; Xu, J. Joint range and angle estimation for an integrated system combining MIMO radar with OFDM communication. Multidimens. Syst. Signal Process. 2019, 30, 661–687. [Google Scholar] [CrossRef]
- Chiriyath, A.R.; Ragi, S.; Mittelmann, H.D.; Bliss, D.W. Novel radar waveform optimization for a cooperative ra-dar-communications system. IEEE Trans. Aerosp. Electron. Syst. 2019, 55, 1160–1173. [Google Scholar] [CrossRef]
- Jiang, M.; Liao, G.; Yang, Z.; Liu, Y.; Chen, Y. Tunable filter design for integrated radar and communication waveforms. IEEE Commun. Lett. 2021, 25, 570–573. [Google Scholar] [CrossRef]
- Zeng, Y.; Ma, Y.; Sun, S. Joint radar-communication with cyclic prefixed single carrier waveforms. IEEE Trans. Veh. Technol. 2020, 69, 4069–4079. [Google Scholar] [CrossRef]
- Sun, S.; Xu, L.; Jeong, N. Sparse step-frequency MIMO radar design for autonomous driving. In Proceedings of the 2021 IEEE Radar Conference, Atlanta, GA, USA, 8–14 May 2021. [Google Scholar]
- Nowak, M.J.; Zhang, Z.; Qu, Y.; Dessources, D.A.; Wicks, M.; Wu, Z. Co-designed radar-communication using linear frequency modulation waveform. IEEE Aerosp. Electron. Syst. Mag. 2016, 31, 918–923. [Google Scholar] [CrossRef]
- Nowak, M.J.; Zhang, Z.; LoMonte, L.; Wicks, M.; Wu, Z. Mixed-modulated linear frequency modulated radar-communications. IET Radar Sonar Navig. 2017, 11, 313–320. [Google Scholar] [CrossRef]
- Sarwate, D.V.; Pursley, M.B. Crosscorrelation properties of pseudorandom and related sequences. Proc. IEEE 1980, 68, 593–619. [Google Scholar] [CrossRef]
- Golay, M.J.E. Complementary series. IRE Trans. Inf. Theory 1961, 7, 82–87. [Google Scholar] [CrossRef]
- Kishigami, T.; Morita, T.; Yomo, H.; Yasugi, M.; Nakagawa, Y. Advanced wide field of view millimeter-wave radar using orthogonal complementary codes. In Proceedings of the 2014 IEEE Radar Conference, Cincinnati, OH, USA, 19–23 May 2014. [Google Scholar]
- Akita, M.; Watanabe, M.; Inaba, T. Development of millimeter wave radar using stepped multiple frequency complementary phase code and concept of MIMO configuration. In Proceedings of the 2017 IEEE Radar Conference, Seattle, WA, USA, 8–12 May 2017. [Google Scholar]
- Overdevest, J.; Jansen, F.; Uysal, F.; Yarovoy, A. Doppler influence on waveform orthogonality in 79 GHz MIMO phase-coded automotive radar. IEEE Trans. Veh. Technol. 2019, 69, 16–25. [Google Scholar] [CrossRef]
- Pezeshki, A.; Calderbank, A.R.; Moran, W.; Howard, S.D. Doppler resilient Golay complementary waveforms. IEEE Trans. Inf. Theory 2008, 54, 4254–4266. [Google Scholar] [CrossRef]
- Wang, F.; Pang, C.; Wu, H.; Li, Y.; Wang, X. Designing constant modulus complete complementary sequence with high Doppler tolerance for simultaneous polarimetric radar. IEEE Signal Process. Lett. 2019, 26, 1837–1841. [Google Scholar] [CrossRef]
- Swerling, P. Probability of detection for fluctuating targets, IRE Trans. Inf. Theory. 1960, 6, 269–308. [Google Scholar] [CrossRef]
- Zheng, L.; Lops, M.; Eldar, Y.C.; Wang, X.D. Radar and Communication Coexistence: An Overview. IEEE Signal Process. Mag. 2019, 36, 85–99. [Google Scholar] [CrossRef]
- Liu, F.; Yuan, W.; Masouros, C.; Yuan, J. Radar-assisted predictive beamforming for vehicle-to-infrastructure links. In Proceedings of the 2020 IEEE International Conference on Communications Workshops, Dublin, Ireland, 7–11 June 2020. [Google Scholar]
- Liu, F.; Cui, Y.; Masouros, C.; Xu, J.; Han, T.X.; Eldar, Y.C.; Buzzi, S. Integrated sensing and communications: Towards du-al-functional wireless networks for 6G and beyond. IEEE J. Sel. Areas Commun. 2022, 40, 1728–1767. [Google Scholar] [CrossRef]
- Delgado, K.K. The complex gradient operator and the CR-calculus. arXiv 2009, arXiv:0906.4835. [Google Scholar]
- Nocedal, J.; Wright, S.J. Numerical Optimization; Springer: Berlin/Heidelberg, Germany, 2006; pp. 34–63. [Google Scholar]
- Kumari, P.; Choi, J.; Gonzalez-Prelcic, N.; Heath, R.W. IEEE 802.11ad-based radar: An approach to joint vehicular commu-nication-radar system. IEEE Trans. Veh. Technol. 2018, 67, 3012–3027. [Google Scholar] [CrossRef]
- Rice, M. Data-aided and non-data-aided maximum likelihood SNR estimators for CPM. IEEE Trans. Commun. 2015, 63, 4244–4253. [Google Scholar] [CrossRef]










| Figure | JRC Waveform | |||||||
|---|---|---|---|---|---|---|---|---|
| Figure 6(a1,a2) | JRC-CWG-BPSK | 0 | - | 1 | 6 | 64 | ||
| Figure 6(b1,b2) | DR-JRC-CWG-BPSK | 1 | 1 | 6 | 64 | |||
| Figure 6(c1,c2) | DR-JRC-CWG-BPSK | 1 | 1 | 6 | 64 | |||
| Figure 6(e1,e2) | DR-JRC-CWG-16-PSK | 1 | 1 | 6 | 64 | |||
| Figure 6(e1,e2) | OPP-BPSK | - | - | - | 6 | 64 | ||
| Figure 6(f1,f2) | LFM-BPSK | - | - | - | 6 | 64 |
| JRC Waveform | PSLR (dB) | Velocity (m/s) | ||
|---|---|---|---|---|
| JRC-CWG-BPSK | - | −35 | 986.3 | 25.1 |
| DR-JRC-CWG-BPSK | −35 | 2513.0 | 63.9 | |
| DR-JRC-CWG-BPSK | −35 | 2654.0 | 67.5 | |
| DR-JRC-CWG-16-PSK | −35 | 2631.4 | 66.9 | |
| OPP-BPSK | - | −35 | NA | NA |
| LFM-BPSK | - | −35 | NA | NA |
| JRC Waveform | Communications Rate (Mbps) | PSLR (dB) |
|---|---|---|
| DR-JRC-CWG-16-PSK | 9.6 | −30.72 |
| JRC-CWG-16-PSK | 9.6 | −33.01 |
| OPP-16-PSK | 10.24 | −17.33 |
| LFM-BPSK | 2.56 | −19.27 |
Disclaimer/Publisher’s Note: The statements, opinions and data contained in all publications are solely those of the individual author(s) and contributor(s) and not of MDPI and/or the editor(s). MDPI and/or the editor(s) disclaim responsibility for any injury to people or property resulting from any ideas, methods, instructions or products referred to in the content. |
© 2023 by the authors. Licensee MDPI, Basel, Switzerland. This article is an open access article distributed under the terms and conditions of the Creative Commons Attribution (CC BY) license (https://creativecommons.org/licenses/by/4.0/).
Share and Cite
Li, H.; Liu, Y.; Liao, G.; Chen, Y. Joint Radar and Communications Waveform Design Based on Complementary Sequence Sets. Remote Sens. 2023, 15, 645. https://doi.org/10.3390/rs15030645
Li H, Liu Y, Liao G, Chen Y. Joint Radar and Communications Waveform Design Based on Complementary Sequence Sets. Remote Sensing. 2023; 15(3):645. https://doi.org/10.3390/rs15030645
Chicago/Turabian StyleLi, Haichuan, Yongjun Liu, Guisheng Liao, and Yufeng Chen. 2023. "Joint Radar and Communications Waveform Design Based on Complementary Sequence Sets" Remote Sensing 15, no. 3: 645. https://doi.org/10.3390/rs15030645
APA StyleLi, H., Liu, Y., Liao, G., & Chen, Y. (2023). Joint Radar and Communications Waveform Design Based on Complementary Sequence Sets. Remote Sensing, 15(3), 645. https://doi.org/10.3390/rs15030645

