Next Article in Journal
Remotely Sensed Agroclimatic Classification and Zoning in Water-Limited Mediterranean Areas towards Sustainable Agriculture
Next Article in Special Issue
Exploiting the Matched Filter to Improve the Detection of Methane Plumes with Sentinel-2 Data
Previous Article in Journal
Improving Colored Dissolved Organic Matter (CDOM) Retrievals by Sentinel2-MSI Data through a Total Suspended Matter (TSM)-Driven Classification: The Case of Pertusillo Lake (Southern Italy)
Previous Article in Special Issue
Spatial and Temporal Variations of Atmospheric CH4 in Monsoon Asia Detected by Satellite Observations of GOSAT and TROPOMI
 
 
Font Type:
Arial Georgia Verdana
Font Size:
Aa Aa Aa
Line Spacing:
Column Width:
Background:
Article

Environmental and Seasonal Variability of High Latitude Methane Emissions Based on Earth Observation Data and Atmospheric Inverse Modelling

1
Climate System Research, Finnish Meteorological Institut, 00560 Helsinki, Finland
2
Earth Observation Research, Finnish Meteorological Institut, 00560 Helsinki, Finland
*
Author to whom correspondence should be addressed.
Remote Sens. 2023, 15(24), 5719; https://doi.org/10.3390/rs15245719
Submission received: 30 September 2023 / Revised: 3 November 2023 / Accepted: 8 December 2023 / Published: 13 December 2023
(This article belongs to the Special Issue Remote Sensing of Greenhouse Gas Emissions II)

Abstract

:
Drivers of natural high-latitude biogenic methane fluxes were studied by combining atmospheric inversion modelling results of methane fluxes (CTE-CH4 model) with datasets on permafrost (ESA Permafrost CCI), climate (Köppen–Geiger classes) and wetland classes (BAWLD) and seasonality of soil freezing (ESA SMOS F/T) for the years 2011–2019. The highest emissions were found in the southern parts of the study region, while areas with continuous permafrost, tundra climate, and tundra wetlands had the lowest emissions. The magnitude of the methane flux per wetland area followed the order of permafrost zones excluding non-permafrost, continuous permafrost having the smallest flux and sporadic the largest. Fens had higher fluxes than bogs in the thaw period, but bogs had higher fluxes in the colder seasons. The freezing period when the soil status is between complete thaw and frozen contributed to annual emissions more in the warmest regions studied than in other regions. In the coldest areas, freezing period fluxes were lower and closer to wintertime values than elsewhere. Emissions during freezing periods were smaller than those during winter periods, but were of comparable magnitude in warm regions. The contribution of the thaw period to the total annual emission varied from 86% in warmest areas to 97% in the coldest areas, suggesting that the longest winter periods did not contribute significantly to the annual budget.

1. Introduction

Natural biogenic methane emission rates in the northern high latitudes are highest during the warm season when wetlands are an important source of natural biogenic methane emissions [1]. Spatial variation in fluxes is caused by differences in wetland types and varying climates. In addition, there is significant temporal variation caused by the seasonal cycle. Despite small fluxes in the cold season, the cold season can still have a significant impact on the annual methane budget due to its length [2]. There are many site-specific studies of methane emission rates under different conditions in the northern high latitudes [3,4], but it is still difficult to generalize the results to larger regions. As a result, the larger scale studies have large uncertainties on the estimated methane budgets [1,5].
Studies on northern high-latitude methane emission often focus only on the growing season but there are also studies about seasonality and cold season emissions. Results for the relative share of the cold season emissions vary due to different definitions of the cold season and differences between the sites on local studies. Local studies have shown that methane fluxes are close to zero during the coldest months [4,6]. However, the defined cold season varies between the studies, and might also include time periods when fluxes are higher than during winter, for example during the zero curtain period [6]. A study in northern Siberia divided emissions into seasons based on the freezing state of the soil and found that 25% of the annual flux at that site was emitted during the frozen season [7]. Another study by Zona et al. [6] in northern Alaska showed that methane emissions from September to the end of May were 50% of the annual budget due to high emissions in the fall months.
A few large-scale studies have examined cold season emissions, but they are not comparable due to different definitions of cold season. In a study by Ito et al. [8], the contribution of the subzero air temperature period to the annual emissions was smaller in models than the upscaled observations from Peltola et al. [9] suggested. The median contribution in 16 models was 3.3%, while in the upscaled observations, it was 8.2% for grid cells above 45°N with at least 5% wetland. Another large-scale study using inversion modelling showed that the cold season emissions in the northern high latitudes were about 3 Tg per year from November to April, compared to about 20 Tg for the whole year [5]. The proportion of non-growing season emissions in the northern high latitudes was shown to be about 17% in the non-permafrost area and 20–50% in the permafrost area in a study that compiled data from a large number of different sites in North America and Eurasia [2].
In addition to cold season methane emissions, the shoulder season emissions have also been studied. The magnitude and relative proportion of the methane emissions emitted during a freezing and thawing period varies between sites. In a study of three sites in northern Alaska, the freezing period, when the surface soil is partially frozen, contributes significantly more to the annual methane budget than the thawing period [10]. Several studies have also reported short pulses of methane and carbon dioxide emissions in early spring before or during snowmelt [4,11,12] which added 3 to 6% to the local annual budget.
Growing season methane emissions from wetlands account for the majority of the annual budget in most studies, and summer emissions and their drivers have been studied intensively. Wetland characteristics have been used to explain growing season emissions in several studies and categorical wetland classes have also been used [13]. The major drivers of growing season methane emissions are known based on chamber and eddy covariance measurements. Water table level is usually the most important explanatory factor, and methane emissions are exponentially dependent on it [3,14,15]. Emissions are also influenced by chemical properties in bogs and poor soil and by soil temperature in fens and rich soil [3]. This information has been used to upscale methane observations using wetland properties [9].
Climate classes as the driver of methane emissions have not been explicitly studied much, but the effect of climate class on methane emissions can be estimated based on studies that include air and soil temperatures as explanatory factors for methane emissions from wetlands. One such study is from a fen in southern Finland which concluded an exponential relationship where flux doubled when the soil temperature at 35 cm depth increased by 2.77 °C [4] as long as the temperature stayed below 12 °C. Thereafter the relationship was weak. Another study from southern West Siberia showed a linear relationship in a fen, where a 1 °C change in temperature at 15 cm depth changed the methane flux by (2.9 ± 1.4) nmolm−2s−1 [3].
There have been studies on the seasonal cycle of methane emissions and the impact of environmental conditions, but similar large-scale research has not been done before using the top-down approach (using atmospheric observations and inversion models to locate the sources). Existing research on wetland characteristics has primarily focused on the growing season, and differences in the seasonal cycle among different types of wetland have not yet been investigated. To our knowledge, a comprehensive analysis of inversion model results for methane emissions at high northern latitudes using permafrost, climate, wetland, and soil freeze/thaw data has not been done before.
In this study, results from the CarbonTracker Europe-CH4 inversion model [16] are used to analyse methane emissions at northern high latitudes. The model combines data from multiple sources in each grid cell and thus contains embedded information that we attempt to extract from the results. Here, we combine the flux data with SMOS soil freeze/thaw data, ESA permafrost CCI based permafrost zones, Köppen–Geiger climate classification, and BAWLD vegetation data. These datasets provide state-of-the-art information on wetland types, soil permafrost status and soil freeze/thaw seasonality at high northern latitudes. We apply statistical methods to combine the methane flux data from the inversion model with the wetland dataset, as multiple wetland classes may coexist in the grid cell area. By doing so, we aim to clarify whether we can extract the embedded information from the inversion results, e.g., differentiate the methane emissions between bog and fen wetland classes. As a result, we produce an estimate of the high northern latitude methane emissions divided into climate, permafrost, and wetland classifications. We analyse the flux variations, providing information on methane emissions from different wetland types and their uncertainty in colder versus warmer regions and in thaw versus winter periods.

2. Materials and Methods

2.1. Methane Flux Data

The global inversion model CarbonTracker Europe-CH4 [16] was used to generate the methane flux data. The chemical transport model used in the model was TM5 [17]. For the prior fluxes, anthropogenic emission data from the Emission database for global atmospheric research (EDGAR6 [18]) and the natural biogenic prior from LPX-Bern (v1.4, [19]) were used. Ocean emissions were taken from Weber et al. [20], fire emissions from the Global fire emission database (GFED4) [21], geological emissions from Etiope et al. [22], and termite emissions from Saunois et al. [1].
The natural biogenic prior was modified using the F/T implementation, which means that winter fluxes were replaced by the smallest winter monthly mean flux in each grid cell. This was shown by Tenkanen et al. [5] to make the posterior results accord better with atmospheric observations. The F/T implementation was done using the SMOS F/T data (see Section 2.2). The assumption behind this is that the flux has its lowest value for the whole time when the soil is frozen, so soil freezing status tells whether the flux should be the lowest or not. This can improve the results because the posterior results are strongly dependent on the prior when atmospheric observations are sparse.
Surface observations about methane concentration were assimilated into the inversion model and both the anthropogenic and natural biogenic fluxes were optimized for the period 2010–2021. The observations were mainly from Obspack v3.0 [23,24] but also from seven stations in Finland and Norway [25] and from nine towers in Siberia [26]. The methane fluxes were optimized using observed methane concentrations and the ensemble Kalman filter with 500 ensemble members and a 5-week lag. The anthropogenic and natural biogenic fluxes were optimized separately but simultaneously. Other sources were not optimized. The spatial resolution of the inversion model in the high northern latitudes was 1° × 1° and the flux optimization window was seven days. The optimized fluxes were linearly interpolated in time to daily flux values so that the seasons could be separated with daily precision.
All analyses were performed for both the prior as well as posterior natural biogenic fluxes to investigate the impact of the inversion on the results. The period used was from the end of the 2010 thaw period to the end of the 2019 thaw period. The thaw period is defined in Section 2.2.

2.2. Seasons Based on Soil Freeze/Thaw Data

Three seasons were defined based on the SMOS F/T data, which is based on passive brightness temperature observations from the SMOS satellite [27]. The average resolution of the observations is 43 km and their time interval is less than 3 days. The SMOS F/T data [28] classifies EASE2 25 km × 25 km grid cells as thawed, partially frozen or frozen on a daily basis. The brightness temperatures are different for liquid and frozen water. In the absence of snow, radiation originates 5–15 cm below the surface. Snow complicates the situation because wet snow has a similar signal to thawed soil. During the freezing period, the ground is usually still snow-free, but in spring the soil is covered by snow, meaning the thaw values in spring indicate snow melting rather than soil thawing.
The SMOS F/T data was transformed to the 1° × 1° grid by selecting those EASE2 grid cells whose centre was inside the 1° × 1° grid cell and calculating the fraction of those that were frozen or partially frozen.
Winter was defined as in Tenkanen et al. [5]. Winter began when the frozen fraction reached 0.9 for the first time after July. The freezing period began when 9 a + b 0.9 for the first time after July where a was the frozen fraction and b was the partially frozen fraction. This meant that if there was no frozen category in a 1° × 1° grid cell, the freezing period began when the fraction of partially frozen reached 0.9. Similarly, winter began when 0.9 was frozen but the freezing period was also triggered when 10% of the grid cells were frozen and none were partially frozen.
Winter ended on the last day before August when the frozen fraction was above 0.9. The freezing period usually ended when winter began. If winter did not start, the freezing period ended on the last day before August when the freezing period beginning condition was met. The time outside the defined freezing and winter periods was classified as the thaw period.
Figure 1 shows a demonstration of how seasons were defined based on the time series of frozen and partially frozen fractions in a single grid cell. In this case, the freezing period started when the frozen fraction exceeded 0.1 and the partially frozen category therefore did not affect the seasons. During the winter, the frozen fraction did not always have to be above 0.9 as it was in this case around day 30.

2.3. Land Area Categorization with Earth Observation Data

The Boreal-Arctic Wetland and Lake Dataset (BAWLD) [29] was used as a vegetation classifier. This dataset was designed to distinguish land regions with different methane emissions and to be used in bottom-up estimates of methane emissions. We focused only on wetlands and their subcategories, which in the dataset were bog, fen, marsh, permafrost bog, and tundra wetland. The categories were given as a fraction of the area of each grid cell and most of the grid cells contained multiple wetland classes. In this study, wetlands were also divided into cold, temperate and warm wetlands based on the proportion of permafrost bogs and tundra wetlands in the grid cell. These classes were related to the coldness of the other classes and even the warm wetlands were still influenced by seasonal freezing. The warm wetlands were selected so that permafrost bogs and tundra wetlands represented less than 3% of the total wetland area. The cold wetlands were selected so that permafrost bogs and tundra wetlands represented more than 97% of the total wetland area. The rest of the wetlands were temperate wetlands.
The Köppen–Geiger climate classification [30] data by Kottek et al. [31] was used as the climate classifier. The used data were based on observations from 1976 to 2000. The classification is based on temperature and precipitation. The most important major climate zones in the study area were boreal (D) and polar (E). They are further divided into minor temperature zones, of which four are important in the study area: Db (warm subarctic climate), Dc (subarctic climate), Dd (cold subarctic climate), and ET (tundra climate). Other classes were not used. The boreal climate is also divided into three precipitation categories: no dry season, dry summer, and dry winter but we combined these because areas with a dry season were not important due to their small area. The average temperature of the coldest month in the boreal D climates is below −3 °C and the warmest month is above 10 °C. At least four months are above 10 °C in Db and the coldest month is below −38 °C in Dd. All months are below 10 °C in ET.
Land areas were categorized into permafrost regions using the ESA Permafrost-CCI data [32]. These data provide both percentages and categories of permafrost. We did not use the provided permafrost categories but categorized the data ourselves. The data we used consist of annual percentages of permafrost coverage at 1 km resolution, where the lowest values above zero are 14%. Permafrost percentages were converted to 1° × 1° coordinates by taking the average of those 1 km grid cells whose centre was within the 1° × 1° grid cell and was on land rather than water. At 1° × 1° resolution, the data were categorized into non-permafrost, sporadic, discontinuous, and continuous permafrost regions with lower thresholds of (0, 10, 50, and 90)% permafrost, inclusive.
One problem with the definition of permafrost regions was that data for both water and land areas without permafrost were taken as zero. Zeros on land should be included in averages, but zeros on water should not. This was particularly problematic in the Canadian archipelago where much of the land was close to the coastline and calculating zeros from the ocean resulted in too low permafrost percentages. We used coastlines (v.4.1.0) and lakes (v.5.0.0) from the Natural Earth data collection (naturalearthdata.com) to mask out water areas but the data was not detailed enough in the Canadian archipelago. The solution was to find a grid cell on each longitude, north of which all grid cells had a value of zero or at least 90%. Zeros in this area were assumed to be water and neglected.
Since the permafrost data had annual values, the permafrost classes were also calculated annually, but the used year was chosen such that the permafrost classification did not change during a season. The used year was defined by the calendar year and the freeze/thaw status of the grid cell. The year from which the permafrost class in a grid cell was to be read was incremented when the thaw period ended. If the defined thaw period lasted multiple years, the year used for the permafrost classification was incremented on the first of February.
The surface area of the earth is an ambiguous concept due to the roughness and curvature of the earth’s surface. Therefore, a simplified model of the earth’s shape is needed to calculate surface areas. The model we used is an ellipsoid whose radii are defined by The World Geodetic System 1984 (WGS84 reference ellipsoid).

2.4. Calculation of Methane Fluxes on Different Vegetation Classes

The BAWLD classes are defined as a fraction of a grid cell and each grid cell can contain several categories. Therefore, emissions on different classes were estimated based on the spatial variation of flux and of proportions of different classes. In all cases, grid cells that contained less than 5% wetland were excluded because the wetland emissions in these grid cells may be small compared to the total emissions and thus subject to high uncertainties. The same 5% limit was also used when calculating the results for wetlands of climate and permafrost classes.

2.4.1. Flux Distribution Based on Empirical Probability

To calculate the probability distribution of fluxes from different wetland classes, the method was to use emission rates per wetland area in each grid cell and give them probabilities based on the area of the subcategory in the grid cell. This method was used to generate the spatial and annual distribution of seasonal average methane fluxes in Section 3.1. The flux data were generated by multiplying the seasonal mean fluxes in the grid cells by the wetland fractions, separately for each year. The area data were generated by multiplying the grid cell areas by the wetland subclass fractions. This produced a list of pairs of fluxes and surface areas for each grid cell and year. The pairs were then sorted in ascending order based on fluxes. Areas were then replaced by the cumulative sum of the area and then normalized to the range of 0 to 1. This normalized cumulative area was used as the cumulative probability for the corresponding flux value. Thus, each wetland category used the same flux values but with different probabilities.

2.4.2. Mean Fluxes Based on Total Emission

Average fluxes for wetland classes were obtained by calculating the total emission (described next) divided by the product of the area of the class and time. The total emission from a wetland class was calculated by dividing the emission in each grid cell into wetland classes based only on their fractions. This means that two classes with the same fraction had the same emission in a grid cell. In other words, the flux in each grid cell was considered independent of the wetland class. However, if class fractions and emissions were correlated, the classes could be separated when the emissions from all grid cells were summed:
n w , s = c C t T s ( c ) ( j c , t A c x w , c X c ) × Δ t / N ( c , s )
where n w , s is the annual average of total emissions from a wetland class w in season s, j c , t is the methane flux in grid cell c at time step t, A c is the surface area of the grid cell, x w , c is the wetland class fraction in the grid cell, X c is the total wetland fraction, C is the set of wetland grid cells ( X c 0.05 ), T s ( c ) is the set of time steps belonging to season s, Δ t is the length of a time step in seconds, and N ( c , s ) is how many times season s occurred in grid cell c. Value of N varies between grid cells because seasons may have been skipped.
Average methane flux E ( j ) on wetland class w on season s was calculated by dividing the Equation (1) by area and time.
E ( j ) w , s = c C t T s ( c ) ( j c , t A c x w , c X c ) c C t T s ( c ) ( A c x w , c )
The results of these methods are resolution-dependent, and category differences will be underestimated when multiple classes occur in the same grid cell.

2.4.3. Fluxes Based on Linear Regression

Fluxes were also calculated using linear regression for comparison to the method in Section 2.4.2. The regression was applied separately to cold and warm wetlands (Figure 2c) to partially remove the differences caused by temperature and instead examine the characteristics of the wetland classes. The explanatory variables were wetland class proportions of the total wetland. The response variable was the seasonal average methane flux in a grid cell divided by the total wetland fraction. The regression model used was weighted ordinary least squares, with grid cell areas as the weights. The expected methane flux on each wetland category was the linear coefficient of that category, i.e., the flux when there is only one wetland category.
A constant was not used in the regression because the sum of the wetland classes is always approximately one. However, we tested calculating the results using a constant, and this resulted in smaller differences between classes.
Many flux values per wetland area were much higher in grid cells with low wetland proportion than any value in grid cells with more wetland These data may be inaccurate due to issues with wetland proportions, modelled fluxes, or flux contributions from other sources such as lakes. Therefore, we chose an upper bound on flux to discard grid cells with fluxes per wetland area greater than the bound. For unbiased results, we also added a lower bound so that the same area with low and high fluxes was discarded. The bounds were chosen by trying different bounds and minimizing the error in flux in a 250-fold cross-validation:
error = 1 obtained average flux target average flux × penalty n
The obtained average flux was calculated as the mean of predicted fluxes on each class weighted by the areas of each class. The target average flux was the mean of the regression model input flux values weighted by grid cell areas. Penalty (all_area/accepted_area) was added to reduce the chance of omitting data unnecessarily. The value of the parameter n was set to 1.0.
Confidence intervals for fluxes predicted by the regression model were calculated using the bootstrapping method with 3000 resamplings. With daily flux data, the bootstrapping method would have resulted in too small intervals because the values would have been dependent on each other, but by using temporal averages of the seasons we obtained more realistic confidence intervals. To generate the random numbers in the resamplings, we used a maximally equidistributed combined Tausworthe generator [33] which is a random number generator suitable for numerical simulations.

2.5. Definitions

Wetland grid cells are grid cells where the wetland fraction is at least 0.05.
Cold wetland classes are permafrost bog and tundra wetlands. Warm wetland classes are bog, fen, and marsh. Wetlands are divided into warm, temperate, and cold wetlands based on the proportion of cold wetland classes to total wetland in a 1° × 1° grid cell. In temperate wetlands, the proportion of cold wetland classes is between 3% and 97% of the total wetland. Warm wetlands have less than 3% cold wetland classes and cold wetlands have more than 97%.
Study area is the area where the surface soil is seasonally frozen according to SMOS F/T data, above 50°N, and which must be non-permafrost area if it is less than 57°N in eastern longitudes. The last rule excludes mountainous areas in the northwestern side of Mongolia in Russia. The whole study area is seen in Figure 2b.
Statistical significance of differences in mean fluxes was calculated using an unequal variance t-test (Welch’s t-test). Variance and number of observations were calculated using time averages, i.e., one observation per grid cell. The variance was weighted by the area of the grid cell multiplied by the class fraction.

2.6. Comparison of the Extents and Spatial Distributions of Different Land Area Categorizations

To gain a better understanding of the methane emission results, we first examined the environmental data without combining them with methane fluxes. Our focus was in size and location of the areas and in the amount of wetland in them.
The subarctic climate (Dc) was the largest climate class and contained the majority of wetlands (Table 1, Figure 2a), which makes this an important class for methane emissions. The wetland area was small in the cold subarctic climate (Dd) and tundra climate (ET). The warm subarctic climate (Db) mostly fell outside of the BAWLD definition area, leading to a small area of wetland in this class.
Significant areas of wetland were present in all permafrost classes, but the two warmest classes had much larger proportions than the two coldest. Sporadic permafrost had the largest proportion, about 20% of wetland.
Climate and permafrost classes combined in Table 1 show that cold subarctic climate (Dd) and tundra climate (ET) were mostly in continuous permafrost, but tundra climate (ET) also contained a small area of all permafrost classes. The non-permafrost areas of the tundra climate were mainly located in Iceland and the Kamchatka Peninsula (Figure 2). The subarctic climate (Dc) contained significant areas of all permafrost classes and the majority of intermediate permafrost classes, especially sporadic permafrost, were located in the subarctic climate (Dc).
Cold and warm wetlands based on the amount of tundra wetlands and permafrost bogs are shown on a map in Figure 2c. The amount of temperate wetlands was significant, especially in the western longitudes where the area of cold wetlands was small.
The average latitudes of different regions (Table 2) were calculated to get a better estimate of the role of the temperature on fluxes in different areas. In our study area, marshes were on average at a higher latitude than fens, which were at a higher latitude than bogs. Tundra wetlands were the northernmost of the wetland categories and they were located at similar latitudes to continuous permafrost and tundra climate (ET). Subarctic climate (Dc) was on average at similar latitudes to sporadic permafrost and on the northern side of bogs, fens and marshes.

2.7. Seasons Defined with the SMOS F/T Soil State

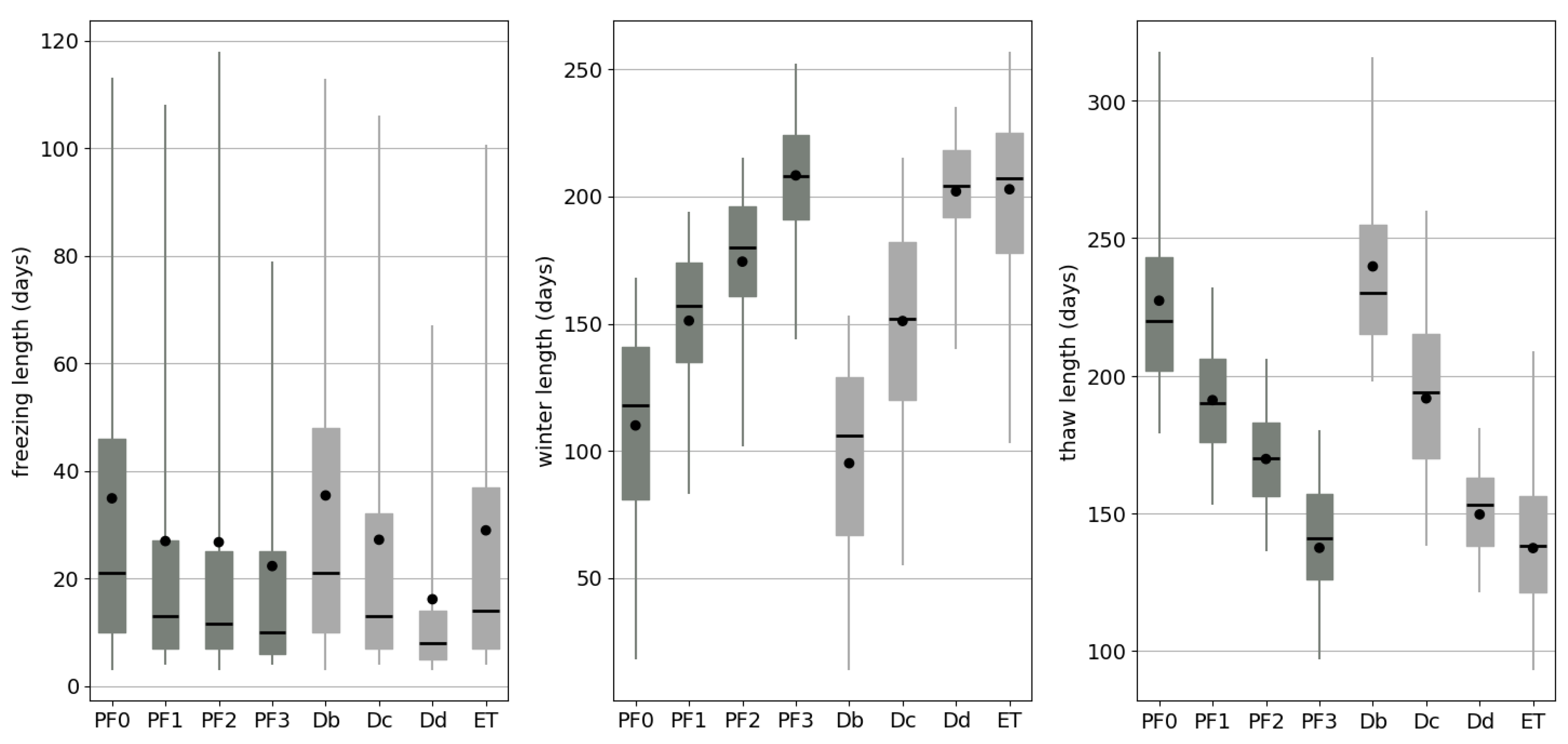
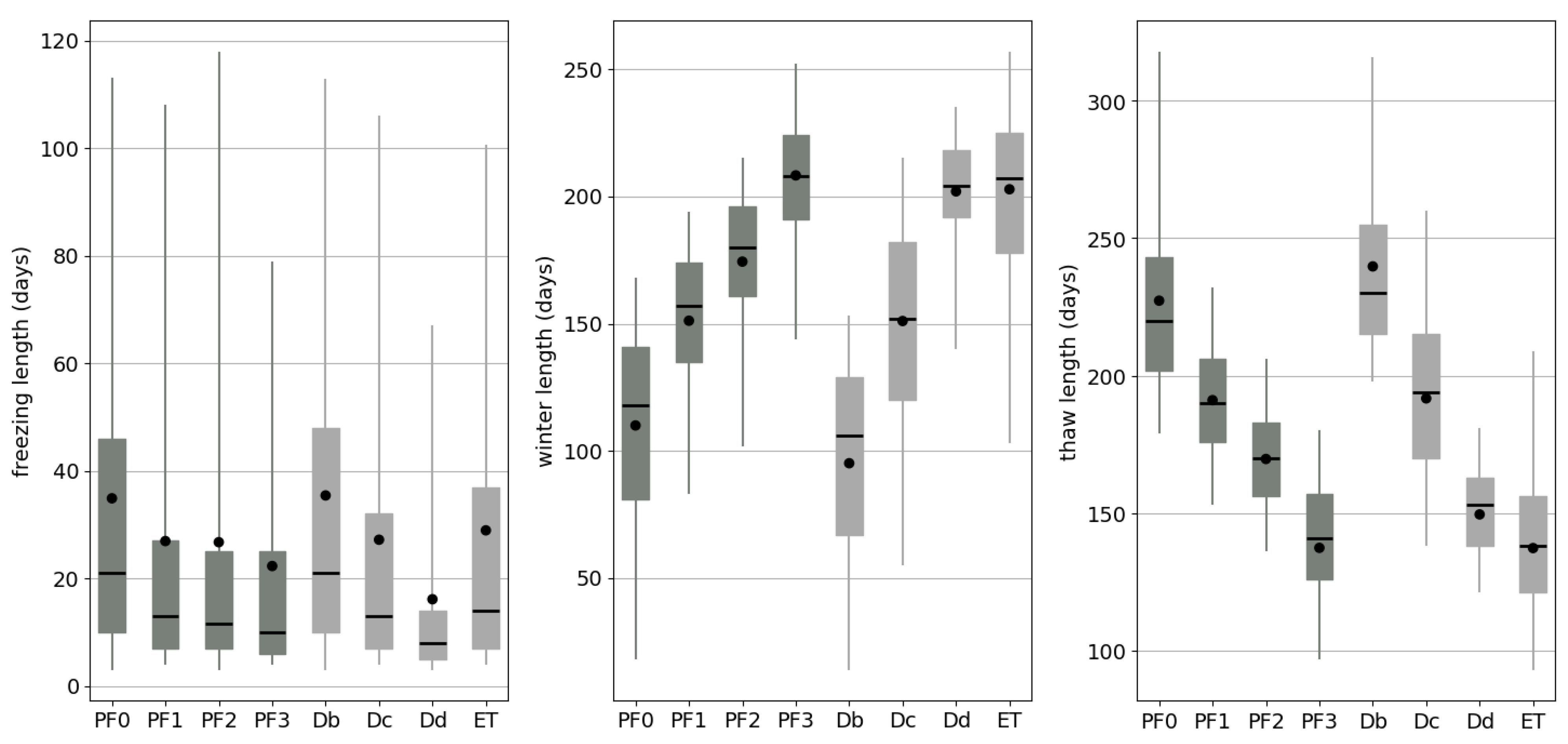
The summer and winter lengths in Figure 3 show clear differences between the permafrost and climate classes. Between the cold subarctic and tundra climates (Dd and ET), the difference was not clear, suggesting that they could not be clearly classified as warmer and colder climates. Freezing periods were the longest in the warmest conditions but differences between intermediate and cold conditions were not apparent. The cold subarctic climate (Dd) had the shortest freezing periods due to the large temperature differences between the thaw period and winter. The average length of a freezing period was between 30 and 20 days in most classes and the 95th percentiles were between 100 and 120 days except in the coldest classes.
The differences between the seasonal cycles in each class were also evident from the seasonal start dates (Figure 4). Both winter and the thaw period started earlier in the cold subarctic climate (Dd) than in the tundra climate (ET), indicating the continental nature of the cold subarctic climate where the annual temperature cycle follows the annual insolation cycle with a shorter lag than in the tundra climate. Average freezing start dates were in October and November depending on the classes, average winter start dates were from October to December and average thaw period start dates were from March to May. Thaw start dates in the non-permafrost zone had a wide range from early February to May (5th–95th percentile).

3. Results

3.1. Flux Distributions

We examined how methane fluxes related to different permafrost, climate and vegetation classes using the methods described earlier, and divided annual emissions into thaw, freezing, and winter periods.
Most winter fluxes per wetland area were close to zero in continuous permafrost, cold subarctic climate, and tundra climate (Dd and ET) (Figure 5). The 75th percentiles in other regions were not negligible, as they exceeded the majority of 5th percentiles in the thaw period. In warm subarctic climate (Db) and non-permafrost, the medians were also not negligible.
The regions differ remarkably in their flux distribution during the freezing period. In the coldest classes (continuous permafrost, Dd, ET, tundra wetland), the medians were close to zero, which was the same situation as in winter. In other classes, the difference between the freezing period and winter was clearer.
The warm wetland classes (bog, fen, and marsh) appeared similar in the results of this method of weighted probability distribution and only fen is shown in Figure 5. For all wetland classes, see Figure A1 in the Appendix A.
The distributions of fluxes on permafrost and climate classes were also calculated per surface area rather than wetland area (Figure 6). Since wetlands are an important source of methane, these results also depend on the wetland fraction of each class and therefore tell less about the class itself. For example, there are a lot of wetlands in the sporadic permafrost region which is one reason for the high fluxes in the sporadic permafrost. These results still show that continuous permafrost and tundra climate (ET) have smaller fluxes than other classes.

3.2. Total Emission and Average Flux

Proportions of the thaw season emissions to the annual methane balance increased from warm to cold areas (Table 3) due to lower winter temperatures in the cold areas. A counteracting factor is the length of the cold season, which increases towards cold areas but the decrease in temperature was more important for these results. The lowest proportion of thaw period emissions was 86% in the warm subarctic climate (Db) and the highest proportion was 98% in the tundra climate (ET).
The proportions of the freezing period and winter emissions were both in the same order of magnitude. The proportion of the freezing period emissions was the largest in the warmest areas, mainly because the freezing period was longer. In addition, the warmer the area, the closer the fluxes in the freezing period were to the thaw period.
The fluxes per wetland area are expected to decrease from warm to cold areas, i.e., downward in the Table 4, assuming that temperature is more important than other factors affecting the average flux per wetland area on a large scale. This expectation was correct in the cold seasons but incorrect in the two warmest classes of both permafrost and climate classifications in the thaw period. Sporadic permafrost had a lower average flux than non-permafrost, and Db had a lower average flux than Dc. The difference in average fluxes between the sporadic permafrost and non-permafrost regions was significant (p < 0.02), but the fluxes in the warm subarctic climate were subject to more uncertainty as they were mostly outside the BAWLD definition area.
In winter, it was more evident that fluxes were lower in colder climate and permafrost classes. Cold subarctic climate (Dd) is probably a colder climate class than tundra climate (ET) in winter but Dd having a larger flux than ET may still be consistent with supposedly higher temperatures deeper in the ground. By definition, ET is colder than Dd in summer. Winter fluxes were also lower in wetland classes located at higher latitudes: bogs were on average more southerly than fens (Table 2) and they had a larger average flux in winter, in contrast to the thaw period. The same was true between permafrost bogs and tundra wetlands. Permafrost bogs had a larger average flux than tundra wetlands in winter, in contrast to summer.
Local deviations from the mean fluxes were calculated for each wetland class to study how much the results were influenced by the selected area (Figure 7). These were calculated as how much the unit area of each grid cell changed the average flux. Locations of hot spots in the flux anomalies in the thaw period were similar on bogs, fens and marshes which means that the choice of the study area has a similar effect on all of their averages and therefore has little effect on their absolute differences. However, the slight variations in locations seen in the maps resulted in different ratios of bog to fen in Table 3 and Table 5. The flux maps of permafrost bogs and tundra wetlands were similar, but some flux anomalies were found at unique locations in North America. The largest anomalies for tundra wetlands were larger than for other classes, suggesting that the average flux for tundra wetlands was more dependent on the selected area than for other classes.

3.3. Results for Cold, Warm, and Temperate Wetlands

Differences between the wetland classes were partly caused by their location in different climates. In order to investigate the differences caused by the different wetland classes and not by the climates, average fluxes were also calculated using only the temperate wetlands (Table 5).
Warm wetland classes were similar in Table 5, but permafrost bogs and tundra wetlands differed from other classes. Permafrost bogs had much smaller fluxes than other classes in the thaw period and it was the only class that differed significantly from other classes in the thaw period (p < 0.01). Tundra wetlands had the largest fluxes both during the thaw period and in winter. In winter they differed significantly from fens (p = 0.02) and from permafrost bogs (p = 0.04).
Warm classes had a larger average flux in the temperate region than in the whole region during the thaw and freezing periods (see Table 3). This means that fluxes in the temperate region were higher than in the warm region except during winter. This is consistent with the previous finding that sporadic permafrost had a larger average flux than non-permafrost (Table 4), meaning that the largest fluxes were not in the southernmost or warmest areas.
Proportions of winter emissions to the total annual emissions were highest in the intermediate area between the warmest and coldest conditions. This may be because winter is not too cold for emissions but also not too short. The proportion of winter emissions was larger in sporadic permafrost than in other permafrost classes (Table 3), and temperate wetlands had a larger proportion of winter emissions than wetlands in general (Table 5 versus Table 3).
All fluxes on the warm wetlands alone and in the cold wetlands alone are presented in the appendix (Table A1). Especially tundra wetlands had large differences in average fluxes depending on the area used (Table A1 and Table 5). During the thaw period, average fluxes in temperate and warm wetlands were significantly different (p < 0.01). Marshes in the thaw period were an exception where the difference was less significant (p = 0.03).

3.4. Separation of Wetland Classes with Linear Regression

Methane fluxes on different wetland classes were calculated using only the warm wetland area for warm classes (bog, fen, and marsh) and the cold area for cold classes as described in Methods. For comparison, we also calculated the results on these areas using the same method as in previous sections using weighted averages (Table A1). Based on the results in Figure 8, the regression method could be used to distinguish well between bogs and fens during the thaw period, and between permafrost bogs and tundra wetlands during the thaw and freezing periods.
The fluxes from permafrost bogs and tundra wetlands were reversed in order of magnitude compared to the whole study area during the thaw period in the cold wetland area. This means that these results do not necessarily describe the characteristics of the wetland class itself, but that some of the tundra wetlands are located in cold areas, resulting in small average fluxes from them, if the study area is chosen so that these cold areas are significantly large.
Bogs had relatively small fluxes in the thaw period and the expected flux on fens was about two thirds more than flux on bogs. The linear regression also suggested that the difference between fluxes in the thaw and freezing periods was smaller on bogs than on other classes.
Fluxes on marshes had large confidence intervals because the fractions of marshes were small. However, it is likely that these fluxes are large in winter compared to other classes.
Correlations of fluxes to wetland class proportions were small overall and warm classes had smaller correlations than cold classes. The maximum square of correlation (R2) was 0.031 in the cold region in the freezing period. The smallest square of correlation was 0.0003 in the cold region in winter which is because all fluxes in cold winters are small regardless of the soil type. Additional information about the parameters and the results of the linear regression can be found in Supplementary Materials.

4. Discussion

We combined methane emission estimates from an atmospheric inversion model with soil freezing state and permafrost, vegetation, and climate classifications. Based on this, we studied the average fluxes and flux distribution in each area and the contribution of each season to the annual methane budget in this model. We also located flux anomalies in each wetland class.
During the thaw period, the sporadic permafrost region (average 60.7°N) had a significantly larger average methane flux per wetland area than the non-permafrost region (average 58.6°N), and similarly, the temperate wetland region had a larger average flux than the warm wetland region. This could be due to bias in the model or bias in the methods due to emissions from sources other than wetlands. This difference was smaller in winter when fluxes were more latitude-dependent than in the thaw period. Further research is needed to determine whether the intermediate wetlands have higher fluxes than the more southerly regions.
Average fluxes in the freezing period were closer to the thaw period in warm areas than in cold areas and the largest proportions of the freezing period in the annual methane budget were found in the warmest conditions studied. This topic has not been studied much, but these results are reasonable considering deeper soil temperatures which should be closer to summer temperatures in warm areas and closer to winter temperatures in cold areas. The proportion of freezing period emissions is also reasonable due to long freezing periods in the warm areas. Deeper soil temperatures may also be the reason why average fluxes during the freezing period follow the average temperatures of the areas. The average soil surface temperature during the freezing period should be similar in all areas because the freezing period was defined as the shoulder season between the frozen and unfrozen states of the soil surface layer.
The proportion of winter emissions was greatest in the middle permafrost and temperate wetland classes. However, in terms of climate classes, the largest proportion of winter emissions was in the warmest class, but this may be due to the very large second warmest class, Dc. Finding similar results in the literature is difficult because it is rare for a study to divide areas into more than two zones from warm to cold, and thus there are no intermediate classes. According to Ito et al. [8], 12 out of the 16 models they used to estimate methane emissions indicated that the period with sub-freezing air temperatures had a smaller impact in the annual budget for areas above 60°N than in areas above 45°N. The mean values between models for these areas were 5.1% and 6.5%, which is close to our results for winter. The fact that four models disagreed on whether the cold season contributed more to the annual budget in the more northerly area, is consistent with our finding that the contribution was greatest in the intermediate areas and did not change monotonically from warm to cold. Future research could attempt to determine more precisely which conditions are most favourable for winter emissions.
The proportion of the thaw period in the total annual methane budget increased as one moved from warm areas to colder areas. A study by Treat et al. [2], which combined methane flux measurements from a large number of local sites, shows different results where the non-growing season fraction of the annual budget was larger in permafrost sites than in non-permafrost sites. However, their study differed from this study as they only classified two permafrost classes and used the growing season instead of the frozen state of the soil. The fraction of frozen season emissions in the North Siberian Lena river Delta was measured to be 25% in a study by Rößger et al. [7], which is a larger fraction than our results, where the winter fraction was always less than 10%. It was also noted by Treat et al. [2] that the modelled winter fractions were smaller than the measured ones.
The mean annual methane fluxes on bogs and fens were 18.7 nmolm−2s−1 and 40.7 nmolm−2s−1, respectively, according to Abdalla et al. [34] who collected data from 108 undrained and unrestored sites between 40°N and 70°N. The measurements included only the growing season but the non-growing season emissions were estimated to be 15% of annual emissions. Using linear regression we obtained results that indicate a comparable relative difference, taking into account the confidence intervals: 10 nmolm−2s−1 on bogs and 16 nmolm−2s−1 on fens. Our results contain large uncertainties but show that a similar method can be used in future research with higher quality data and more models. The difference in magnitude with Abdalla et al. [34] may have been due to the more northerly location of our study and because their numbers include only natural peatlands. We also omitted the extreme flux values from the regression, which reduced the averages.
The obtained average fluxes in wetland classes were too similar due to the quality and resolution of the available data but also due to the used method. Based on our results, this method is suitable for sorting wetland types based on fluxes, but not for generating realistic averages of the classes. More realistic differences were obtained using linear regression.
The average flux on tundra wetlands varied remarkably depending on the averaged area. In the temperate wetland area, our results mostly agree with Kuhn et al. [13] who claim that tundra wetlands generally have the highest fluxes after marshes. However, when the northernmost regions were also calculated, tundra wetlands had low average flux compared to other classes. Based on Figure 7, other wetland classes had areas of both high and low fluxes across the latitudes but low fluxes in tundra wetlands were more concentrated in the northern areas, especially in western longitudes, which led to large differences between the used areas.
We found that latitude affected fluxes more in the cold than in the warm season but this needs further investigation. Posterior fluxes follow the prior closely during the winter season. Latitude affecting fluxes more could therefore be a result of the F/T implemented prior model relying on temperature and soil freezing to determine fluxes in the winter.
According to many results in this paper (Figure 8, Table 3, Table 5 and Table A1), methane fluxes from bogs were larger than from fens during winter. These differences were not statistically significant unless equal variances were assumed. Methane flux on bogs or nutrient-poor soils is more sensitive to temperature than on fens or nutrient-rich soils in the thaw period [3,35]. According to this principle, fluxes should be more reduced in winter on bogs than on fens. This difference between bogs and fens is also present in the prior data (see Supplement). The reason may be that bogs are more southerly than fens (Table 2) and this is a result of latitude affecting fluxes more in winter than in summer. The validity of this phenomenon was already discussed. Since the prior model LPX-Bern is known to have a relatively large spatial variation in methane fluxes [8], the difference between north and south may be further exaggerated by the model generating a difference where bogs have higher fluxes than fens. According to Treat et al. [2], fluxes in the non-growing season are higher on fens than on bogs but this does not contradict our results because the non-growing season is longer than the time when the soil is frozen, which was our definition of winter.
Only wetland classes were chosen from the BAWLD classes for analysis because they were expected to have the most significant influence on methane fluxes. It is possible that the results are biased because emission from lakes or rivers have been assumed to come from wetlands. Lakes or rivers would have been difficult to study because areas with high proportions of lakes or rivers and low proportions of wetlands are scarce on the grid cells. Boreal forest and dry tundra would have been easier to study, but they were not considered as important as other classes. A brief analysis of BAWLD classes other than wetlands, and why wetlands were considered more important than other classes, is given in Appendix B.
The area that was studied here extends further south than the BAWLD vegetation dataset which particularly affected the results for wetlands in the warm subarctic (Db) climate. Most of this climate was outside the BAWLD definition area, which means that few data could be classified as wetlands in Db climate (Table 1). To get more confidence in methane fluxes in this category, we would have needed to combine a more southerly wetland dataset with BAWLD to be able to classify more data as Db wetlands.
In the future, similar research should be done using multiple models and soil classifications because the variability between them is large and only one model run and wetland classification was used in this study. Improvements can also be made to the methods that were used to calculate methane fluxes in the BAWLD classes. Ordinary least squares could have been replaced with Deming regression because the proportions of wetland classes (the explanatory variables) also had uncertainty and not just the magnitudes of methane fluxes (the explained variable). We could also have used the low and high estimates of wetland class proportions to give more weight to those grid cells where the proportions have smaller confidence intervals. Additionally, we could have linearly interpolated methane fluxes to the resolution of BAWLD 0.5° × 0.5°) instead of downscaling BAWLD to the resolution of methane fluxes (1° × 1°).

5. Conclusions

We studied how methane emissions are affected by climate, permafrost, and wetland classes and how seasons affect emissions in each class. All permafrost and wetland classes could be separated based on their methane fluxes during the thaw period. However, the fluxes of tundra wetlands relative to the other classes varied depending on the study area. The minor boreal climate classes (Db, Dc, Dd) were less useful than other classifications in the study area for estimating methane fluxes but fluxes in the tundra climate (ET) were clearly different from other classes.
Most of the wetlands were located in a single climate class (Dc), making the Köppen–Geiger climate classification less informative than other classifications in the study area. However, differences in fluxes between the major climate classes, boreal (D) and polar (E), were clear during the thaw period. During winter, the differences between the minor classes (Db, Dc, and Dd) were also evident.
Permafrost classes were useful for estimating methane fluxes in different areas except that non-permafrost areas had smaller fluxes than sporadic permafrost. From sporadic to continuous permafrost, fluxes became significantly smaller in all seasons making these classes good indicators of how large fluxes can be expected on these areas.
We presented three methods for classifying methane fluxes based on BAWLD wetland classes or more generally to classify data based on overlapping fractional categories. The methods gave consistent results within the following limitations that were discussed earlier. The proportions of marshes were too small for linear regression, and other methods than linear regression underestimated the differences between classes. In most cases, wetland classes could be reliably sorted by their average fluxes but the uncertainties around the reported numbers are still large.
Methane fluxes in winter were more dependent on latitude than in the thaw period. For example, the average flux was higher on bogs than on fens, which are on average more northerly than bogs.
Average fluxes during the freezing period were closer to winter fluxes than to thaw period fluxes. In colder areas, these values were further from the thaw period than in warmer areas. Because freezing periods are long and fluxes are relatively high in warm areas, there is potential for a significant increase in annual methane emissions in those areas if winters become shorter and freezing periods longer.
The BAWLD wetland map offers significant potential for analysing natural biogenic emissions from inversion modelling results and separating them into different wetland categories. More generally, it is possible to use inversion modelling results as a starting point for statistical analyses and obtain robust results on the variation of natural biogenic methane emissions over wetland, climate and permafrost regions that are partly ambiguous and derived from multi-source definitions.

Supplementary Materials

The following supporting information can be downloaded at: https://www.mdpi.com/article/10.3390/rs15245719/s1, Table S1: Same as Table 3 but for prior methane data: Methane emissions, seasonal contribution to annual emissions, and average fluxes using all areas; Table S2: Same as Table 4 but for prior methane data: The results using only wetlands. Table S3: Same as Table 5 but for prior methane data: The results when using temperate wetlands only. Table S4: Same as Table A1 but for prior methane data: For warm (cold) wetland classes only warm (cold) wetland area is used. Table S5: Additional information on parameters and results of regression models used to separate fluxes on wetland categories. Figure S1: Used flux value limits in linear regression and methane fluxes per wetland fraction as a function of wetland fraction. Figure S2: Regression line, confidence intervals, and fluxes for warm wetlands. Figure S3: Regression line, confidence intervals, and fluxes for cold wetlands.

Author Contributions

The concept and approach was developed by T.A., A.T. and A.E. Manuscript was prepared by A.E., M.T., A.T. and T.A. Software codes for data analysis were written by A.E. Atmospheric inversions were run by M.T. Seasons were defined by M.T., A.E. and K.R. All authors have read and agreed to the published version of the manuscript.

Funding

This research was funded by The European Space Agency ESRIN Contract No: 4000124500/18/I-EF (SMOS F/T Service) 2:44, ESRIN contract number: 4000125046/18/I-NB (MethEO), Methane CAMP, AMPAC-Net, Academy of Finland Center of Excellence (272041), EU-H2020 VERIFY (776810), FIRI-ICOS Finland (345531), ICOS-ERIC (281250), Academy of Finland Grant no. 307331 (UPFORMET), 350184 (WINMET) and 351311 (GHGSUPER), 337552 (Flagship) and EU-Horizon Eye-Clima (101081395), Agency ESRIN Contract No: 4000124500/18/I-EF (SMOS F/T Service) 2:44, 4000125046/18/I-NB (MethEO), 4000137895/22/I-AG MethaneCAMP, AO/1-10901/21/I-DT AMPAC-Net.

Institutional Review Board Statement

Not applicable.

Informed Consent Statement

Not applicable.

Data Availability Statement

All the codes needed to recreate the results, starting from the inversion results and online datasets, can be found at https://codeberg.org/aerkkila/erkkila-et-al-2024-environmental, accessed on 29 September 2023. The inversion results are provided on request from the corresponding author. SMOS F/T data are at https://nsdc.fmi.fi/services/SMOSService/. Köppen-Geiger data are at https://koeppen-geiger.vu-wien.ac.at/shifts.htm. BAWLD data are at https://doi.org/10.18739/A2C824F9X. ESA permafrost data are at https://doi.org/10.5285/6e2091cb0c8b4106921b63cd5357c97c. Coastlines and lakes are at https://www.naturalearthdata.com/downloads/10m-physical-vectors/.

Conflicts of Interest

The authors declare no conflict of interest. The funders had no role in the design of the study; in the collection, analyses, or interpretation of data; in the writing of the manuscript; or in the decision to publish the results.

Appendix A. Excluded Methane Flux Results

Flux percentiles on warm wetland classes were not clearly distinguished, shown in Figure A1. In the thaw period, the medians are different and in the same order as the means—but close to each other. In other periods the differences are even smaller, but the percentiles from 25th to 75th are larger for bog than for other classes, which is the same result as with other methods.
Table A1 shows that the mean fluxes in wetland classes are in the same order as the expected fluxes based on linear regression in Figure 8. Linear regression gave more information than mean fluxes, especially in the thaw period, to separate bogs from fens and tundra wetlands from permafrost bogs.
Table A1 also shows the small contribution of the freezing period to the annual emissions in the cold areas, which was less than 2%.
Figure A1. Spatial and annual distribution of seasonal average methane fluxes for the wetland classifications used. Shown percentiles are 5th, 25th, 50th, 75th, and 95th. Dots are averages.
Figure A1. Spatial and annual distribution of seasonal average methane fluxes for the wetland classifications used. Shown percentiles are 5th, 25th, 50th, 75th, and 95th. Dots are averages.
Remotesensing 15 05719 g0a1
Table A1. Methane emission per season in Tg, relative seasonal emission in permille, and average flux in nmolm−2s−1. The intensity of the blue or red colour on the freezing period flux indicates how close the value is to the winter or the thaw period, so that their average would be white. For warm wetland classes only warm wetland area is used. For cold wetland classes only cold wetland area is used.
Table A1. Methane emission per season in Tg, relative seasonal emission in permille, and average flux in nmolm−2s−1. The intensity of the blue or red colour on the freezing period flux indicates how close the value is to the winter or the thaw period, so that their average would be white. For warm wetland classes only warm wetland area is used. For cold wetland classes only cold wetland area is used.
ThawFreezingWinter
Tg nmol/m2/s Tg nmol/m2/s Tg nmol/m2/s
bog2.829489014.2100.1537485.4580.1971621.887
fen2.638089914.8380.1263435.2680.1699581.759
marsh0.378989715.2340.0186445.5230.0248591.759
permafrost bog0.632792610.6540.0133191.6620.0370540.463
tundra wetland0.502492610.0040.0089161.2200.0313580.0433
wetland6.981589913.6520.3208414.5310.4600591.252

Appendix B. Other BAWLD Classes Than Wetland

Based on Table A2, flux is most strongly correlated with wetland. Flux is also correlated with other classes, but this does not necessarily indicate causality because the classes also correlate with each other. Rockland is considered neutral with respect to methane emissions [29]. The negative correlations in rockland are because more rockland means less other classes.
The correlations with flux are similar to the correlations with wetland based on Table A2 and Table A3. This suggests that wetland is responsible for much of the fluxes and other correlations with fluxes are explained by correlations with wetland.
The reason why the correlations differ between the seasons in Table A3, even though the classes do not change in time, is because the seasons had different lengths in different grid cells. For example, if winter never occurred in a grid cell, it was not calculated in the winter results. In general, the longer the season, the more the grid cell was weighted. This allows for a better comparison between Table A2 and Table A3.
Table A2. Pearson correlation coefficient between average flux and fraction of a BAWLD class shown separately in each season and divided into permafrost classes. The intermediate class is sporadic and discontinuous permafrost areas together. The warm class is non-permafrost and cold is continuous permafrost. The intensity of the blue or red colour indicates the strength of the negative or positive correlation.
Table A2. Pearson correlation coefficient between average flux and fraction of a BAWLD class shown separately in each season and divided into permafrost classes. The intermediate class is sporadic and discontinuous permafrost areas together. The warm class is non-permafrost and cold is continuous permafrost. The intensity of the blue or red colour indicates the strength of the negative or positive correlation.
ThawFreezingWinter
Warm Intermediate Cold Warm Intermediate Cold Warm Intermediate Cold
wetland0.4130.5270.3110.2410.3350.2460.1180.2340.081
lake0.2000.1900.2390.0760.1370.1330.0260.0610.067
river0.1870.0800.2530.1250.1530.1920.0980.1400.052
boreal forest0.175−0.1190.0280.147−0.0890.0220.038−0.087−0.009
dry tundra−0.026−0.1640.0030.0040.0200.0090.0220.0190.013
rockland−0.091−0.285−0.248−0.106−0.244−0.165−0.105−0.194−0.058
Table A3. Same as Table A2, but correlation with wetland fraction.
Table A3. Same as Table A2, but correlation with wetland fraction.
ThawFreezingWinter
Warm Intermediate Cold Warm Intermediate Cold Warm Intermediate Cold
lake0.1990.1930.3710.1810.2330.4150.1800.1980.372
river0.2940.0610.2280.2740.0850.1840.2750.0920.246
boreal forest0.294−0.300−0.2230.267−0.309−0.2010.244−0.218−0.172
dry tundra−0.031−0.1800.289−0.0290.0330.332−0.096−0.2260.263
rockland−0.112−0.480−0.461−0.148−0.450−0.424−0.187−0.510−0.510

References

  1. Saunois, M.; Stavert, A.R.; Poulter, B.; Bousquet, P.; Canadell, J.G.; Jackson, R.B.; Raymond, P.A.; Dlugokencky, E.J.; Houweling, S.; Patra, P.K.; et al. The global methane budget 2000–2017. Earth Syst. Sci. Data 2020, 12, 1561–1623. [Google Scholar] [CrossRef]
  2. Treat, C.C.; Bloom, A.A.; Marushchak, M.E. Nongrowing season methane emissions–a significant component of annual emissions across northern ecosystems. Glob. Chang. Biol. 2018, 24, 3331–3343. [Google Scholar] [CrossRef]
  3. Sabrekov, A.; Runkle, B.R.; Glagolev, M.; Kleptsova, I.; Maksyutov, S. Seasonal variability as a source of uncertainty in the West Siberian regional CH4 flux upscaling. Environ. Res. Lett. 2014, 9, 045008. [Google Scholar] [CrossRef]
  4. Rinne, J.; Riutta, T.; Pihlatie, M.; Aurela, M.; Haapanala, S.; Tuovinen, J.P.; Tuittila, E.S.; Vesala, T. Annual cycle of methane emission from a boreal fen measured by the eddy covariance technique. Tellus B Chem. Phys. Meteorol. 2007, 59, 449–457. [Google Scholar] [CrossRef]
  5. Tenkanen, M.; Tsuruta, A.; Rautiainen, K.; Kangasaho, V.; Ellul, R.; Aalto, T. Utilizing Earth Observations of Soil Freeze/Thaw Data and Atmospheric Concentrations to Estimate Cold Season Methane Emissions in the Northern High Latitudes. Remote Sens. 2021, 13, 5059. [Google Scholar] [CrossRef]
  6. Zona, D.; Gioli, B.; Commane, R.; Lindaas, J.; Wofsy, S.C.; Miller, C.E.; Dinardo, S.J.; Dengel, S.; Sweeney, C.; Karion, A.; et al. Cold season emissions dominate the Arctic tundra methane budget. Proc. Natl. Acad. Sci. USA 2016, 113, 40–45. [Google Scholar] [CrossRef] [PubMed]
  7. Rößger, N.; Sachs, T.; Wille, C.; Boike, J.; Kutzbach, L. Seasonal increase of methane emissions linked to warming in Siberian tundra. Nat. Clim. Chang. 2022, 12, 1031–1036. [Google Scholar] [CrossRef]
  8. Ito, A.; Li, T.; Qin, Z.; Melton, J.; Tian, H.; Kleinen, T.; Zhang, W.; Zhang, Z.; Joos, F.; Ciais, P.; et al. Cold-Season Methane Fluxes Simulated by GCP-CH4 Models. Geophys. Res. Lett. 2023, 50, e2023GL103037. [Google Scholar] [CrossRef]
  9. Peltola, O.; Vesala, T.; Gao, Y.; Räty, O.; Alekseychik, P.; Aurela, M.; Chojnicki, B.; Desai, A.R.; Dolman, A.J.; Euskirchen, E.S.; et al. Monthly gridded data product of northern wetland methane emissions based on upscaling eddy covariance observations. Earth Syst. Sci. Data 2019, 11, 1263–1289. [Google Scholar] [CrossRef]
  10. Bao, T.; Xu, X.; Jia, G.; Billesbach, D.P.; Sullivan, R.C. Much stronger tundra methane emissions during autumn freeze than spring thaw. Glob. Chang. Biol. 2021, 27, 376–387. [Google Scholar] [CrossRef]
  11. Raz-Yaseef, N.; Torn, M.S.; Wu, Y.; Billesbach, D.P.; Liljedahl, A.K.; Kneafsey, T.J.; Romanovsky, V.E.; Cook, D.R.; Wullschleger, S.D. Large CO2 and CH4 emissions from polygonal tundra during spring thaw in northern Alaska. Geophys. Res. Lett. 2017, 44, 504–513. [Google Scholar] [CrossRef]
  12. Windsor, J.; Moore, T.; Roulet, N. Episodic fluxes of methane from subarctic fens. Can. J. Soil Sci. 1992, 72, 441–452. [Google Scholar] [CrossRef]
  13. Kuhn, M.A.; Varner, R.K.; Bastviken, D.; Crill, P.; MacIntyre, S.; Turetsky, M.; Walter Anthony, K.; McGuire, A.D.; Olefeldt, D. BAWLD-CH4: A comprehensive dataset of methane fluxes from boreal and arctic ecosystems. Earth Syst. Sci. Data 2021, 13, 5151–5189. [Google Scholar] [CrossRef]
  14. Liblik, L.; Moore, T.; Bubier, J.; Robinson, S. Methane emissions from wetlands in the zone of discontinuous permafrost: Fort Simpson, Northwest Territories, Canada. Glob. Biogeochem. Cycles 1997, 11, 485–494. [Google Scholar] [CrossRef]
  15. Turetsky, M.R.; Kotowska, A.; Bubier, J.; Dise, N.B.; Crill, P.; Hornibrook, E.R.; Minkkinen, K.; Moore, T.R.; Myers-Smith, I.H.; Nykänen, H.; et al. A synthesis of methane emissions from 71 northern, temperate, and subtropical wetlands. Glob. Chang. Biol. 2014, 20, 2183–2197. [Google Scholar] [CrossRef] [PubMed]
  16. Tsuruta, A.; Aalto, T.; Backman, L.; Hakkarainen, J.; Van Der Laan-Luijkx, I.T.; Krol, M.C.; Spahni, R.; Houweling, S.; Laine, M.; Dlugokencky, E.; et al. Global methane emission estimates for 2000–2012 from CarbonTracker Europe-CH 4 v1. 0. Geosci. Model Dev. 2017, 10, 1261–1289. [Google Scholar] [CrossRef]
  17. Krol, M.; Houweling, S.; Bregman, B.; Van den Broek, M.; Segers, A.; Van Velthoven, P.; Peters, W.; Dentener, F.; Bergamaschi, P. The two-way nested global chemistry-transport zoom model TM5: Algorithm and applications. Atmos. Chem. Phys. 2005, 5, 417–432. [Google Scholar] [CrossRef]
  18. Crippa, M.; Guizzardi, D.; Muntean, M.; Schaaf, E.; Lo Vullo, E.; Solazzo, E.; Monforti-Ferrario, F.; Olivier, J.; Vignati, E.E. v6. 0 Global Greenhouse Gas Emissions; European Commission, Joint Research Centre (JRC): Vienna, Austria, 2021. [Google Scholar]
  19. Lienert, S.; Joos, F. A Bayesian ensemble data assimilation to constrain model parameters and land-use carbon emissions. Biogeosciences 2018, 15, 2909–2930. [Google Scholar] [CrossRef]
  20. Weber, T.; Wiseman, N.A.; Kock, A. Global ocean methane emissions dominated by shallow coastal waters. Nat. Commun. 2019, 10, 4584. [Google Scholar] [CrossRef]
  21. Giglio, L.; Randerson, J.T.; Van Der Werf, G.R. Analysis of daily, monthly, and annual burned area using the fourth-generation global fire emissions database (GFED4). J. Geophys. Res. Biogeosci. 2013, 118, 317–328. [Google Scholar] [CrossRef]
  22. Etiope, G.; Ciotoli, G.; Schwietzke, S.; Schoell, M. Gridded maps of geological methane emissions and their isotopic signature. Earth Syst. Sci. Data 2019, 11, 1–22. [Google Scholar] [CrossRef]
  23. Schuldt, K.N.; Aalto, T.; Andrews, A.; Aoki, S.; Arduini, J.; Baier, B.; Bergamaschi, P.; Biermann, T.; Biraud, S.C.; Boenisch, H.; et al. Multi-Laboratory Compilation of Atmospheric Methane Data for the Period 1983–2020; NOAA Earth System Research Laboratory, Global Monitoring Laboratory: Silver Sping, MD, USA, 2021. [Google Scholar] [CrossRef]
  24. Masarie, K.; Peters, W.; Jacobson, A.; Tans, P. ObsPack: A framework for the preparation, delivery, and attribution of atmospheric greenhouse gas measurements. Earth Syst. Sci. Data 2014, 6, 375–384. [Google Scholar] [CrossRef]
  25. Tsuruta, A.; Aalto, T.; Backman, L.; Krol, M.C.; Peters, W.; Lienert, S.; Joos, F.; Miller, P.A.; Zhang, W.; Laurila, T.; et al. Methane budget estimates in Finland from the CarbonTracker Europe-CH4 data assimilation system. Tellus B Chem. Phys. Meteorol. 2019, 71, 1565030. [Google Scholar] [CrossRef]
  26. Sasakawa, M.; Shimoyama, K.; Machida, T.; Tsuda, N.; Suto, H.; Arshinov, M.; Davydov, D.; Fofonov, A.; Krasnov, O.; Saeki, T.; et al. Continuous measurements of methane from a tower network over Siberia. Tellus B Chem. Phys. Meteorol. 2010, 62, 403–416. [Google Scholar] [CrossRef]
  27. Kerr, Y.H.; Waldteufel, P.; Wigneron, J.P.; Martinuzzi, J.; Font, J.; Berger, M. Soil moisture retrieval from space: The Soil Moisture and Ocean Salinity (SMOS) mission. IEEE Trans. Geosci. Remote Sens. 2001, 39, 1729–1735. [Google Scholar] [CrossRef]
  28. Rautiainen, K.; Parkkinen, T.; Lemmetyinen, J.; Schwank, M.; Wiesmann, A.; Ikonen, J.; Derksen, C.; Davydov, S.; Davydova, A.; Boike, J.; et al. SMOS prototype algorithm for detecting autumn soil freezing. Remote Sens. Environ. 2016, 180, 346–360. [Google Scholar] [CrossRef]
  29. Olefeldt, D.; Hovemyr, M.; Kuhn, M.A.; Bastviken, D.; Bohn, T.J.; Connolly, J.; Crill, P.; Euskirchen, E.S.; Finkelstein, S.A.; Genet, H.; et al. The Boreal–Arctic Wetland and Lake Dataset (BAWLD). Earth Syst. Sci. Data 2021, 13, 5127–5149. [Google Scholar] [CrossRef]
  30. Köppen, W.; Geiger, R. Das geographische System de Klimate. In Handbuch der klimatologie; Gebrüder Borntraeger: Stuttgart, Germany, 1936; Available online: https://koeppen-geiger.vu-wien.ac.at/pdf/Koppen_1936.pdf (accessed on 29 September 2023).
  31. Kottek, M.; Grieser, J.; Beck, C.; Rudolf, B.; Rubel, F. World map of the Köppen-Geiger climate classification updated. Meteorol. Z. 2006, 3, 259–263. Available online: https://koeppen-geiger.vu-wien.ac.at/pdf/Paper_2006.pdf (accessed on 29 September 2023). [CrossRef]
  32. Obu, J.; Westermann, S.; Barboux, C.; Bartsch, A.; Delaloye, R.; Grosse, G.; Heim, B.; Hugelius, G.; Irrgang, A.; Kääb, A. ESA Permafrost Climate Change Initiative (Permafrost_cci): Permafrost Extent for the Northern Hemisphere, v3.0; The Centre for Environmental Data Analysis, RAL Space: Oxfordshire, UK, 2021. [Google Scholar] [CrossRef]
  33. L’ecuyer, P. Maximally equidistributed combined Tausworthe generators. Math. Comput. 1996, 65, 203–213. [Google Scholar] [CrossRef]
  34. Abdalla, M.; Hastings, A.; Truu, J.; Espenberg, M.; Mander, Ü.; Smith, P. Emissions of methane from northern peatlands: A review of management impacts and implications for future management options. Ecol. Evol. 2016, 6, 7080–7102. [Google Scholar] [CrossRef]
  35. Zhang, H.; Tuittila, E.S.; Korrensalo, A.; Laine, A.M.; Uljas, S.; Welti, N.; Kerttula, J.; Maljanen, M.; Elliott, D.; Vesala, T.; et al. Methane production and oxidation potentials along a fen-bog gradient from southern boreal to subarctic peatlands in Finland. Glob. Chang. Biol. 2021, 27, 4449–4464. [Google Scholar] [CrossRef] [PubMed]
Figure 1. An example of how season start and end dates were defined. The figure shows the time series of frozen and partially frozen percentage in a single grid cell at 50°N, 119°W between the 2014 and 2015 thaw seasons.
Figure 1. An example of how season start and end dates were defined. The figure shows the time series of frozen and partially frozen percentage in a single grid cell at 50°N, 119°W between the 2014 and 2015 thaw seasons.
Remotesensing 15 05719 g001
Figure 2. Left: Köppen–Geiger climate classification of the study area, considering temperature and ignoring precipitation-based subclasses. Middle: Distribution of permafrost classes averaged over the years 2011–2019. Right: Warm, temperate, and cold wetlands.
Figure 2. Left: Köppen–Geiger climate classification of the study area, considering temperature and ignoring precipitation-based subclasses. Middle: Distribution of permafrost classes averaged over the years 2011–2019. Right: Warm, temperate, and cold wetlands.
Remotesensing 15 05719 g002
Figure 3. Length of each season in permafrost and climate categories. PF0, PF1, PF2, and PF3 are non-permafrost, sporadic, discontinuous, and continuous permafrost, respectively. Boxes show the 25th and 75th percentiles. Lines show medians and error bars show the 5th and 95th percentiles. Dots show mean values.
Figure 3. Length of each season in permafrost and climate categories. PF0, PF1, PF2, and PF3 are non-permafrost, sporadic, discontinuous, and continuous permafrost, respectively. Boxes show the 25th and 75th percentiles. Lines show medians and error bars show the 5th and 95th percentiles. Dots show mean values.
Remotesensing 15 05719 g003
Figure 4. Beginning days of each season in permafrost and climate categories. PF0, PF1, PF2, and PF3 are non-permafrost, sporadic, discontinuous, and continuous permafrost, respectively. Boxes show the 25th and 75th percentiles. Lines show medians and error bars show the 5th and 95th percentiles. Dots show mean values.
Figure 4. Beginning days of each season in permafrost and climate categories. PF0, PF1, PF2, and PF3 are non-permafrost, sporadic, discontinuous, and continuous permafrost, respectively. Boxes show the 25th and 75th percentiles. Lines show medians and error bars show the 5th and 95th percentiles. Dots show mean values.
Remotesensing 15 05719 g004
Figure 5. Spatial and annual distribution of seasonal average methane fluxes for the permafrost and climate classifications used. Box plots show 5th, 25th, 50th, 75th, and 95th percentiles and dots show averages based on the probability distribution. These values are expressed per wetland area of the class.
Figure 5. Spatial and annual distribution of seasonal average methane fluxes for the permafrost and climate classifications used. Box plots show 5th, 25th, 50th, 75th, and 95th percentiles and dots show averages based on the probability distribution. These values are expressed per wetland area of the class.
Remotesensing 15 05719 g005
Figure 6. Spatial and annual distribution of seasonal average methane fluxes for the permafrost and climate classifications used. Box plots show 5th, 25th, 50th, 75th, and 95th percentiles and dots show averages based on the probability distribution. These values are expressed per area of the grid cell because of the unambiguous permafrost and climate classes and are not divided by wetland fraction.
Figure 6. Spatial and annual distribution of seasonal average methane fluxes for the permafrost and climate classifications used. Box plots show 5th, 25th, 50th, 75th, and 95th percentiles and dots show averages based on the probability distribution. These values are expressed per area of the grid cell because of the unambiguous permafrost and climate classes and are not divided by wetland fraction.
Remotesensing 15 05719 g006
Figure 7. Effect of each grid cell on the average flux during the thaw period on different wetland classes. The value on each grid cell is calculated as the difference between the average flux with and without that grid cell divided by the grid cell area. Thus, the values indicate how much the unit area of each grid cell changes the average flux. The unit is Δ(nmolm−2s−1) 5000 km−2. 5000 km2 is approximately the size of a grid cell at 65°N. The colour scale contains percentiles from the 1st to the 99th.
Figure 7. Effect of each grid cell on the average flux during the thaw period on different wetland classes. The value on each grid cell is calculated as the difference between the average flux with and without that grid cell divided by the grid cell area. Thus, the values indicate how much the unit area of each grid cell changes the average flux. The unit is Δ(nmolm−2s−1) 5000 km−2. 5000 km2 is approximately the size of a grid cell at 65°N. The colour scale contains percentiles from the 1st to the 99th.
Remotesensing 15 05719 g007
Figure 8. Expected flux values for different wetland categories from least squares regression and two-sided 95% confidence intervals from bootstrapping.
Figure 8. Expected flux values for different wetland categories from least squares regression and two-sided 95% confidence intervals from bootstrapping.
Remotesensing 15 05719 g008
Table 1. Overlapping areas of climate and permafrost classes and areas of their wetlands. Permafrost classes are averages for 2011–2019. Proportions of wetland (‰) were calculated in two ways (a/b). a indicates the average wetland proportion of the class in the BAWLD definition area. b indicates the class area divided by its wetland area. b is smaller because the BAWLD data do not cover the entire region and because grid cells with less than 5% wetland are not counted.
Table 1. Overlapping areas of climate and permafrost classes and areas of their wetlands. Permafrost classes are averages for 2011–2019. Proportions of wetland (‰) were calculated in two ways (a/b). a indicates the average wetland proportion of the class in the BAWLD definition area. b indicates the class area divided by its wetland area. b is smaller because the BAWLD data do not cover the entire region and because grid cells with less than 5% wetland are not counted.
Area 1000 km2DbDcDdETWetlandWetland ‰
Non-permafrost4118777703941617189/116
Sporadic7320612269729214/199
Discontinuous0254348648362118/109
Continuous023961689445452267/56
Wetland214258299194
Wetland ‰174/51178/16264/5645/33
Table 2. Average latitudes in different land regions. For permafrost and climate categories, area wl is the wetland area of the given category. For cold wetland categories, area wl is the area of that category on cold wetland area only (Figure 2). For warm wetland categories, area wl is the area of that category on warm wetland area only.
Table 2. Average latitudes in different land regions. For permafrost and climate categories, area wl is the wetland area of the given category. For cold wetland categories, area wl is the area of that category on cold wetland area only (Figure 2). For warm wetland categories, area wl is the area of that category on warm wetland area only.
°N All Area°N Area wl
Non-permafrost56.88758.644
Sporadic60.96060.691
Discontinuous63.34164.140
Continuous68.44969.404
Db54.62155.101
Dc60.85560.944
Dd67.41769.602
ET67.70669.222
Bog58.72258.433
Fen58.75758.176
Marsh59.95458.519
Permafrost bog64.39169.040
Tundra wetland68.14269.867
Wetland61.430
Non-wetland60.984
Table 3. Methane emission per season in Tg, relative seasonal emission in permille and average flux in nmolm−2s−1. The intensity of the blue or red colour on the flux in the freezing period indicates how close the value is to the winter or the thaw period so that their average would be white.
Table 3. Methane emission per season in Tg, relative seasonal emission in permille and average flux in nmolm−2s−1. The intensity of the blue or red colour on the flux in the freezing period indicates how close the value is to the winter or the thaw period so that their average would be white.
ThawFreezingWinter
Tgnmol/m2/sTgnmol/m2/sTgnmol/m2/s
Non-permafrost8.99248802.3030.5223510.8810.6997690.390
Sporadic3.83668963.8590.1298300.9160.3163740.405
Discontinuous1.75529002.0710.0640330.4590.1309670.153
Continuous1.67679520.9020.0214120.0740.0623350.023
Db1.61738611.4740.1121600.6920.1494800.351
Dc12.92568983.1610.5437380.9180.9276640.303
Dd0.43019501.1730.0064140.1480.0161360.034
ET0.13729720.120−0.0002−1−0.0010.0041290.003
Bog3.929089314.9210.1903435.5610.2788631.841
Fen4.136290015.4530.1771395.4120.2820611.717
Marsh0.719189515.9580.0305385.5540.0538671.760
Permafrost bog2.758188713.2120.0988323.8200.2509811.230
Tundra wetland1.081789613.2670.0322272.6920.0930770.909
Wetland12.624189514.5720.5288374.7970.9586681.469
Non-wetland3.03808840.8210.1851540.3110.2139620.071
Table 4. Methane emission per season in Tg, relative seasonal emission in permille and average flux in nmolm−2s−1. The intensity of the blue or red colour on the flux in the freezing period indicates how close the value is to the winter or the thaw period so that their average would be white. Only wetland areas of permafrost and climate classes are used.
Table 4. Methane emission per season in Tg, relative seasonal emission in permille and average flux in nmolm−2s−1. The intensity of the blue or red colour on the flux in the freezing period indicates how close the value is to the winter or the thaw period so that their average would be white. Only wetland areas of permafrost and climate classes are used.
ThawFreezingWinter
Tgnmol/m2/sTgnmol/m2/sTgnmol/m2/s
Non-permafrost7.155388914.7620.3675465.5980.5267651.945
Sporadic3.422989416.4060.1109295.0530.2942771.841
Discontinuous1.331289113.7670.0477323.6150.1145771.187
Continuous1.201794311.1850.0194151.4140.0537420.354
Db0.864787414.1390.0557566.7570.0694702.325
Dc11.119389615.6730.4461365.1520.8396681.638
Dd0.283094013.9680.0049162.2680.0131440.468
ET0.08569142.2270.0020210.3050.0061650.113
Table 5. Methane emission per season in Tg, relative seasonal emission in permille and average flux in nmolm−2s−1. The intensity of the blue or red colour on the freezing period flux indicates how close the value is to the winter or the thaw period, so that their average would be white. Only temperate wetlands are used.
Table 5. Methane emission per season in Tg, relative seasonal emission in permille and average flux in nmolm−2s−1. The intensity of the blue or red colour on the freezing period flux indicates how close the value is to the winter or the thaw period, so that their average would be white. Only temperate wetlands are used.
ThawFreezingWinter
Tgnmol/m2/sTgnmol/m2/sTgnmol/m2/s
Bog1.099690317.1260.0366306.0380.0817671.740
Fen1.498390216.6680.0508315.8090.1121671.657
Marsh0.340189216.8510.0119315.6020.0291761.760
Permafrost bog2.125487614.2300.0855354.7850.2140881.723
Tundra wetland0.579387218.5010.0233355.0080.0618932.055
Wetland5.642688915.8970.2081335.2750.4987791.747
Disclaimer/Publisher’s Note: The statements, opinions and data contained in all publications are solely those of the individual author(s) and contributor(s) and not of MDPI and/or the editor(s). MDPI and/or the editor(s) disclaim responsibility for any injury to people or property resulting from any ideas, methods, instructions or products referred to in the content.

Share and Cite

MDPI and ACS Style

Erkkilä, A.; Tenkanen, M.; Tsuruta, A.; Rautiainen, K.; Aalto, T. Environmental and Seasonal Variability of High Latitude Methane Emissions Based on Earth Observation Data and Atmospheric Inverse Modelling. Remote Sens. 2023, 15, 5719. https://doi.org/10.3390/rs15245719

AMA Style

Erkkilä A, Tenkanen M, Tsuruta A, Rautiainen K, Aalto T. Environmental and Seasonal Variability of High Latitude Methane Emissions Based on Earth Observation Data and Atmospheric Inverse Modelling. Remote Sensing. 2023; 15(24):5719. https://doi.org/10.3390/rs15245719

Chicago/Turabian Style

Erkkilä, Anttoni, Maria Tenkanen, Aki Tsuruta, Kimmo Rautiainen, and Tuula Aalto. 2023. "Environmental and Seasonal Variability of High Latitude Methane Emissions Based on Earth Observation Data and Atmospheric Inverse Modelling" Remote Sensing 15, no. 24: 5719. https://doi.org/10.3390/rs15245719

APA Style

Erkkilä, A., Tenkanen, M., Tsuruta, A., Rautiainen, K., & Aalto, T. (2023). Environmental and Seasonal Variability of High Latitude Methane Emissions Based on Earth Observation Data and Atmospheric Inverse Modelling. Remote Sensing, 15(24), 5719. https://doi.org/10.3390/rs15245719

Note that from the first issue of 2016, this journal uses article numbers instead of page numbers. See further details here.

Article Metrics

Back to TopTop