A Novel Approach for Predicting Large Wildfires Using Machine Learning towards Environmental Justice via Environmental Remote Sensing and Atmospheric Reanalysis Data across the United States
Abstract
:1. Introduction
2. Method
2.1. Materials
- Normalized Difference Vegetation Index (NDVI) from the MOD13Q1 dataset [31];
- Enhanced Vegetation Index (EVI) from the MOD13Q1 dataset [31];
- Leaf Area Index (LAI) from the MOD15A2H dataset [32];
- Fraction of Photosynthetically Active Radiation (FPAR) from the MOD15A2H dataset [32];
- Land Surface Temperature during the Day (LST Day) from the MYD11A2 dataset [33];
- Land Surface Temperature during the Night (LST Night) from the MYD11A2 dataset [33].
- u component of wind (eastward wind);
- v component of wind (northward wind);
- relative humidity;
- temperature;
- geopotential.
2.2. Methodology
2.2.1. Processing
2.2.2. Modeling
2.2.3. Evaluation
3. Results
3.1. Model Accuracy Analysis
3.2. Model Validation
3.2.1. Confusion Matrix
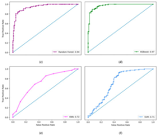
3.2.2. AUC Score
3.2.3. Identification of Important Variables
4. Discussion
5. Conclusions
Author Contributions
Funding
Data Availability Statement
Acknowledgments
Conflicts of Interest
References
- National Interagency Coordination Center Wildland Fire Summary and Statistics Annual Report 2021. Available online: https://www.nifc.gov/sites/default/files/NICC/2-Predictive%20Services/Intelligence/Annual%20Reports/2021/annual_report_0.pdf (accessed on 1 August 2023).
- Explainer: How Wildfires Start and Spread. Available online: https://cnr.ncsu.edu/news/2021/12/explainer-how-wildfires-start-and-spread (accessed on 1 August 2023).
- Federal Wildland Fire Policy Terms and Definitions. Available online: https://www.nwcg.gov/sites/default/files/docs/eb-fmb-m-19-004a.pdf (accessed on 1 August 2023).
- Air Pollutant Emissions Trends Data. Available online: https://www.epa.gov/air-emissions-inventories/air-pollutant-emissions-trends-data (accessed on 1 August 2023).
- Buis, A. The Climate Connections of a Record Fire Year in the U.S. West—Climate Change: Vital Signs of the Planet. NASA. 2021. Available online: https://climate.nasa.gov/explore/ask-nasa-climate/3066/the-climate-connections-of-a-record-fire-year-in-the-us-west/ (accessed on 1 August 2023).
- Aguilera, R.; Corringham, T.; Gershunov, A.; Benmarhnia, T. Wildfire smoke impacts respiratory health more than fine particles from other sources: Observational evidence from Southern California. Nat. Commun. 2021, 12, 1493. [Google Scholar] [CrossRef]
- Francos, M.; Úbeda, X. Prescribed fire management. Curr. Opin. Environ. Sci. Health 2021, 21, 100250. [Google Scholar] [CrossRef]
- Climate Change Widespread, Rapid, and Intensifying. Available online: https://www.ipcc.ch/2021/08/09/ar6-wg1-20210809-pr/ (accessed on 1 August 2023).
- Wehner, M.F.; Arnold, J.R.; Knutson, T.; Kunkel, K.E.; LeGrande, A.N. Ch. 8: Droughts, floods, and wildfires. Clim. Sci. Spec. Rep. Fourth Natl. Clim. Assess. 2017, 1, 231–256. [Google Scholar]
- Keeley, J.E. Fire intensity, fire severity and burn severity: A brief review and suggested usage. Int. J. Wildland Fire 2009, 18, 116. [Google Scholar] [CrossRef]
- Bowman, D.M.J.S.; Balch, J.K.; Artaxo, P.; Bond, W.J.; Carlson, J.M.; Cochrane, M.A.; D’Antonio, C.M.; DeFries, R.S.; Doyle, J.C.; Harrison, S.P.; et al. Fire in the Earth System. Science 2009, 324, 481–484. [Google Scholar] [CrossRef] [PubMed]
- National Interagency Coordination Center. Wildfires and Acres. National Interagency Fire Center. Available online: https://www.nifc.gov/fire-information/statistics/wildfires (accessed on 1 August 2023).
- Wildland Fire and Climate Change. Available online: www.fs.usda.gov/ccrc/topics/wildfire (accessed on 1 August 2023).
- Jain, P.; Coogan, S.C.P.; Subramanian, S.G.; Crowley, M.; Taylor, S.W.; Flannigan, M.D. A review of machine learning applications in wildfire science and management. Environ. Rev. 2020, 28, 478–505. [Google Scholar] [CrossRef]
- Shmuel, A.; Heifetz, E. Global Wildfire Susceptibility Mapping Based on Machine Learning Models. Forests 2022, 13, 1050. [Google Scholar] [CrossRef]
- Bolt, A.; Huston, C.; Kuhnert, P.; Dabrowski, J.J.; Hilton, J.; Sanderson, C. A spatio-temporal neural network forecasting approach for emulation of Firefront models. In Proceedings of the Signal Processing: Algorithms, Architectures, Arrangements, and Applications, Poznan, Poland, 21–22 September 2022; pp. 110–115. [Google Scholar]
- Radke, D.; Hessler, A.; Ellsworth, D. FireCast: Leveraging deep learning to predict wildfire spread. In Proceedings of the Twenty-Eighth International Joint Conference on Artificial Intelligence, Macao, China, 10–16 August 2019. [Google Scholar]
- Wildfire Burn Area Prediction. Available online: https://cs229.stanford.edu/proj2019aut/data/assignment_308832_raw/26582553.pdf (accessed on 1 August 2023).
- Coffield, S.R.; Graff, C.A.; Chen, Y.; Smyth, P.; Foufoula-Georgiou, E.; Randerson, J.T. Machine learning to predict final fire size at the time of ignition. Int. J. Wildland Fire 2019, 28, 861–873. [Google Scholar] [CrossRef]
- Wildfires Data Pathfinder. Available online: https://www.earthdata.nasa.gov/learn/pathfinders/wildfires-data-pathfinder#:~:text=%20Data%20collected%20by%20sensors%20aboard,impact%20of%20an%20historic%20burn (accessed on 1 August 2023).
- Yang, J.; Gong, P.; Fu, R.; Zhang, M.; Chen, J.; Liang, S.; Xu, B.; Shi, J.; Dickinson, R. The role of Satellite Remote Sensing in climate change studies. Nat. Clim. Change 2013, 3, 875–883. [Google Scholar] [CrossRef]
- MODIS. Available online: https://modis.gsfc.nasa.gov/about/ (accessed on 1 August 2023).
- Botje, D.; Dewan, A.; Chakraborty, T. Comparing Coarse-Resolution Land Surface Temperature Products over Western Australia. Remote Sens. 2022, 14, 2296. [Google Scholar] [CrossRef]
- Rabier, F. Overview of global data assimilation developments in numerical weather-prediction centres. Q. J. R. Meteorol. Soc. 2005, 131, 3215–3233. [Google Scholar] [CrossRef]
- Dee, D.P.; Uppala, S.M.; Simmons, A.J.; Berrisford, P.; Poli, P.; Kobayashi, S.; Andrae, U.; Balmaseda, M.A.; Balsamo, G.; Bauer, P.; et al. The ERA-Interim reanalysis: Configuration and performance of the data assimilation system. Q. J. R. Meteorol. Soc. 2011, 137, 553–597. [Google Scholar] [CrossRef]
- Parker, W.S. Reanalyses and Observations: What’s the Difference? Bull. Am. Meteorol. Soc. 2016, 97, 1565–1572. [Google Scholar] [CrossRef]
- Tarek, M.; Brissette, F.P.; Arsenault, R. Evaluation of the ERA5 reanalysis as a potential reference dataset for hydrological modelling over North America. Hydrol. Earth Syst. Sci. 2020, 24, 2527–2544. [Google Scholar] [CrossRef]
- Holsinger, L.; Parks, S.A.; Miller, C. Weather, fuels, and topography impede wildland fire spread in western US Landscapes. For. Ecol. Manag. 2016, 380, 59–69. [Google Scholar] [CrossRef]
- Short, K.C. Spatial Wildfire Occurrence Data for the United States, 1992–2020 [FPA_FOD_20221014], 6th ed.; Forest Service Research Data Archive: Fort Collins, CO, USA, 2022. [Google Scholar]
- NWCG. NWCG Data Standards, PMS 910. National Wildfire Coordinating Group. 2021. Available online: https://www.nwcg.gov/data-standards (accessed on 1 August 2023).
- Didan, K. MOD13Q1 MODIS/Terra Vegetation Indices 16-Day L3 Global 250m SIN Grid V006 [Data set]. NASA EOSDIS Land Processes Distributed Active Archive Center. 2015. Available online: https://lpdaac.usgs.gov/products/mod13q1v006/ (accessed on 1 August 2023).
- Myneni, R.; Knyazikhin, Y.; Park, T. MOD15A2H MODIS/Terra Leaf Area Index/FPAR 8-Day L4 Global 500m SIN Grid V006 [Data set]. NASA EOSDIS Land Processes Distributed Active Archive Center. 2015. Available online: https://lpdaac.usgs.gov/products/mod15a2hv006/ (accessed on 1 August 2023).
- Wan, Z.; Hook, S.; Hulley, G. MODIS/Aqua Land Surface Temperature/Emissivity 8-Day L3 Global 1km SIN Grid V061 [Data set]. NASA EOSDIS Land Processes Distributed Active Archive Center. 2021. Available online: https://lpdaac.usgs.gov/products/myd11a2v061/ (accessed on 1 August 2023).
- MODIS Vegetation Index Products (NDVI and EVI). NASA. Available online: https://modis.gsfc.nasa.gov/data/dataprod/mod13.php (accessed on 1 August 2023).
- MODIS Leaf Area Index/FPAR. NASA. Available online: https://modis.gsfc.nasa.gov/data/dataprod/mod15.php (accessed on 1 August 2023).
- Wen, Z. Modis Land Surface Temperature Products—USGS. Collection-6 MODIS Land Surface Temperature Products Users’ Guide. 2013. Available online: https://lpdaac.usgs.gov/documents/118/MOD11_User_Guide_V6.pdf (accessed on 1 August 2023).
- ECMWF. ERA5: Data Documentation. ECMWF Confluence. 2023. Available online: https://confluence.ecmwf.int/display/CKB/ERA5%3A+data+documentation (accessed on 1 August 2023).
- Alizadeh, M.R.; Abatzoglou, J.T.; Luce, C.H.; Adamowski, J.F.; Farid, A.; Sadegh, M. Warming enabled upslope advance in western US forest fires. Proc. Natl. Acad. Sci. USA 2021, 118, e2009717118. [Google Scholar] [CrossRef] [PubMed]
- Alizadeh, M.R.; Abatzoglou, J.T.; Adamowski, J.; Modaresi Rad, A.; AghaKouchak, A.; Pausata, F.S.; Sadegh, M. Elevation-dependent intensification of fire danger in the Western United States. Nat. Commun. 2023, 14, 1773. [Google Scholar] [CrossRef]
- Agrawal, N. Wildfire Data, Zenodo [Data Set], 2023. Available online: https://zenodo.org/records/10042739 (accessed on 1 August 2023).
- Agrawal, N. nagrawa6/Wildfire: v2.0.0 (v2.0.0). Zenodo. 2023. Available online: https://zenodo.org/records/6939189 (accessed on 1 August 2023).
- Ruffault, J.; Curt, T.; Moron, V.; Trigo, R.M.; Mouillot, F.; Koutsias, N.; Pimont, F.; Martin-StPaul, N.; Barbero, R.; Dupuy, J.L.; et al. Increased likelihood of heat-induced large wildfires in the Mediterranean Basin. Sci Rep. 2020, 10, 13790. [Google Scholar] [CrossRef]
- Schag, G.M.; Stow, D.A.; Riggan, P.J.; Nara, A. Spatial-Statistical Analysis of Landscape-Level Wildfire Rate of Spread. Remote Sens. 2022, 14, 3980. [Google Scholar] [CrossRef]
- Pahuja, N.K.; Rivero, M.H. Predicting the impact of wildfire using machine learning techniques to assist effective deployment of resources. In Proceedings of the 2022 International Conference on Computational Science and Computational Intelligence (CSCI), Hong Kong, China, 25 September 2022. [Google Scholar] [CrossRef]
- Paryudi, I. What Affects K Value Selection In K-Nearest Neighbor. Int. J. Sci. Technol. Res. 2019, 8, 86–92. [Google Scholar]
- Scikit Learn. (n.d.). 3.1. Cross-Validation: Evaluating Estimator Performance. Available online: https://scikit-learn.org/stable/modules/cross_validation.html (accessed on 1 August 2023).
- Srivas, T.; Artés, T.; de Callafon, R.A.; Altintas, I. Wildfire spread prediction and assimilation for FARSITE using ensemble Kalman filtering 1. Procedia Comput. Sci. 2016, 80, 897–908. [Google Scholar] [CrossRef]
- Justice40 Initiative. Available online: https://www.whitehouse.gov/environmentaljustice/justice40/ (accessed on 1 August 2023).
- Climate and Economic Justice Screening Tool Downloads. Available online: https://screeningtool.geoplatform.gov/en/downloads#7.83/46.314/-88.988 (accessed on 1 August 2023).
- Office of Management and Budget. Budget of the U.S. Government. The White House. Available online: https://www.whitehouse.gov/wp-content/uploads/2023/03/budget_fy2024.pdf (accessed on 9 March 2023).













| Variable Name | Source |
|---|---|
| Normalized Difference Vegetation Index (NDVI) | MODIS (Product: MOD13Q1) |
| Enhanced Vegetation Index (EVI) | MODIS (Product: MOD13Q1) |
| Leaf Area Index (LAI) | MODIS (Product: MOD15A2H) |
| Fraction of Photosynthetically Active Radiation (FPAR) | MODIS (Product: MOD15A2H) |
| Land Surface Temperature during the Day (LST Day) | MODIS (Product: MYD11A2) |
| Land Surface Temperature during the Night (LST Night) | MODIS (Product: MYD11A2) |
| u component of wind (eastward wind) | ERA5 |
| v component of wind (northward wind) | ERA5 |
| Relative humidity | ERA5 |
| Temperature | ERA5 |
| Geopotential | ERA5 |
| Model Type | Accuracy Score | Significance Level |
|---|---|---|
| Logistic Regression | 69.81% | p-value = 0.4776 |
| Decision Tree Classification | 80.19% | p-value = 0.6029 |
| Random Forest Classification | 87.62% | p-value = 0.04664 |
| XGBoost Classification | 90.44% | p-value = 0.04727 |
| KNN Classification | 67.48% | p-value = 0.2949 |
| SVM Classification | 69.95% | p-value = 0.1454 |
| Color | Variable Type |
|---|---|
![]() | v component of wind |
![]() | u component of wind |
![]() | temperature |
![]() | relative humidity |
![]() | geopotential |
![]() | LST Night |
![]() | LST Day |
![]() | LAI |
![]() | FPAR |
![]() | NDVI |
![]() | EVI |
Disclaimer/Publisher’s Note: The statements, opinions and data contained in all publications are solely those of the individual author(s) and contributor(s) and not of MDPI and/or the editor(s). MDPI and/or the editor(s) disclaim responsibility for any injury to people or property resulting from any ideas, methods, instructions or products referred to in the content. |
© 2023 by the authors. Licensee MDPI, Basel, Switzerland. This article is an open access article distributed under the terms and conditions of the Creative Commons Attribution (CC BY) license (https://creativecommons.org/licenses/by/4.0/).
Share and Cite
Agrawal, N.; Nelson, P.V.; Low, R.D. A Novel Approach for Predicting Large Wildfires Using Machine Learning towards Environmental Justice via Environmental Remote Sensing and Atmospheric Reanalysis Data across the United States. Remote Sens. 2023, 15, 5501. https://doi.org/10.3390/rs15235501
Agrawal N, Nelson PV, Low RD. A Novel Approach for Predicting Large Wildfires Using Machine Learning towards Environmental Justice via Environmental Remote Sensing and Atmospheric Reanalysis Data across the United States. Remote Sensing. 2023; 15(23):5501. https://doi.org/10.3390/rs15235501
Chicago/Turabian StyleAgrawal, Nikita, Peder V. Nelson, and Russanne D. Low. 2023. "A Novel Approach for Predicting Large Wildfires Using Machine Learning towards Environmental Justice via Environmental Remote Sensing and Atmospheric Reanalysis Data across the United States" Remote Sensing 15, no. 23: 5501. https://doi.org/10.3390/rs15235501
APA StyleAgrawal, N., Nelson, P. V., & Low, R. D. (2023). A Novel Approach for Predicting Large Wildfires Using Machine Learning towards Environmental Justice via Environmental Remote Sensing and Atmospheric Reanalysis Data across the United States. Remote Sensing, 15(23), 5501. https://doi.org/10.3390/rs15235501












