Strong Clutter Suppression Using Spatial and Signal Similarity for Multi-Channel SAR Ground-Moving-Target Indication
Abstract
:1. Introduction
2. Geometry and Signal Model
2.1. Geometry
2.2. Signal Model
3. The Proposed Algorithm
3.1. Stage I: Strong Clutter Suppression
3.2. Stage II: LDRVP-Based Detector
4. Algorithm Implementation and Computational Complexity Analysis
4.1. Algorithm Implementation
4.2. Computational Complexity Analysis
5. Experimental Results
5.1. Experiment A: Strong Scatterer Suppression out Moving Target Region
5.2. Experiment B: Strong Scatterer Suppression in the Moving Target Area
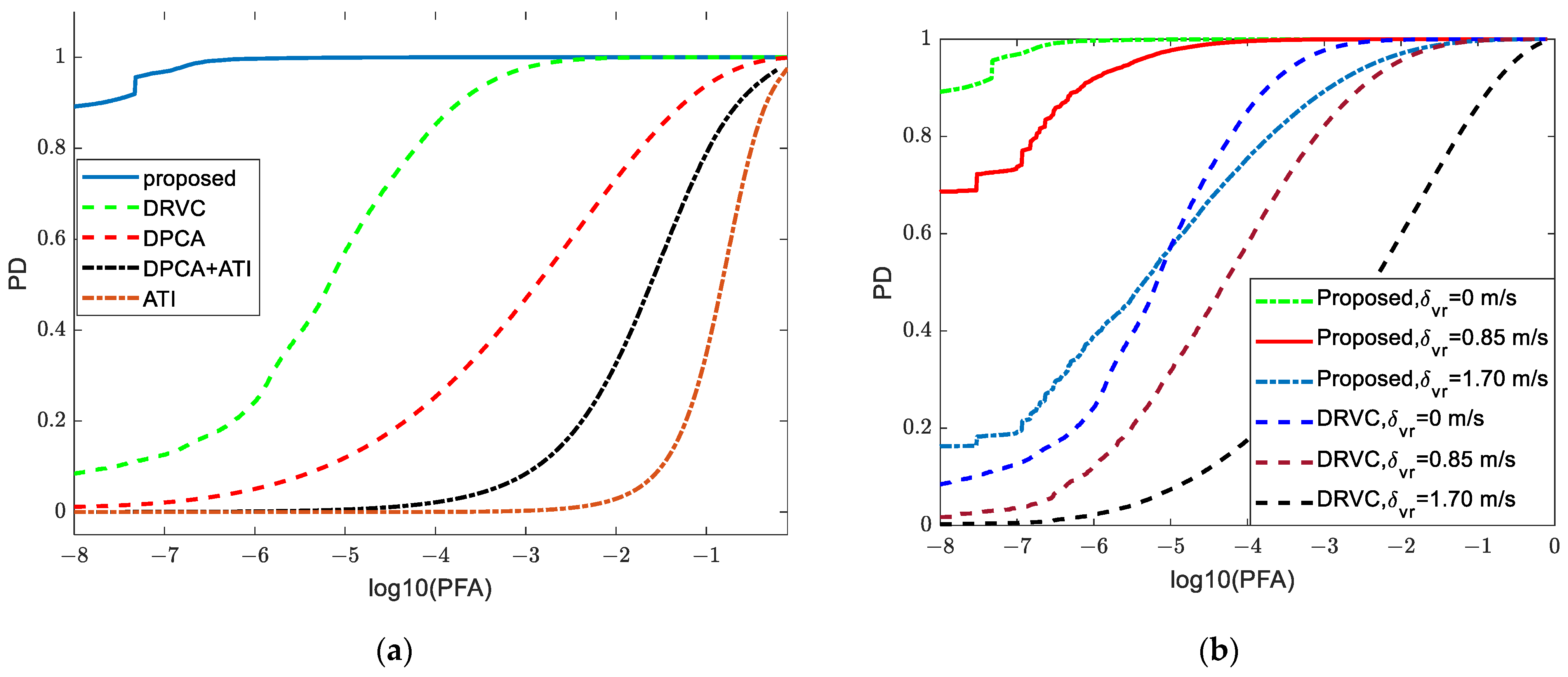
5.3. Experiment C: Moving Target Detection Based on LDRVP
6. Conclusions
Author Contributions
Funding
Data Availability Statement
Acknowledgments
Conflicts of Interest
References
- Budillon, A.; Gierull, C.H.; Pascazio, V.; Schirinzi, G. Along-Track Interferometric SAR Systems for Ground-Moving Target Indication: Achievements, Potentials, and Outlook. IEEE Geosci. Remote Sens. Mag. 2020, 8, 46–63. [Google Scholar] [CrossRef]
- Zeng, C.; Li, D.; Luo, X.; Song, D.; Liu, H.; Su, J. Ground Maneuvering Targets Imaging for Synthetic Aperture Radar Based on Second-Order Keystone Transform and High-Order Motion Parameter Estimation. IEEE J. Sel. Top. Appl. Earth Obs. Remote Sens. 2019, 12, 4486–4501. [Google Scholar] [CrossRef]
- Huang, P.; Zhang, X.; Zou, Z.; Liu, X.; Liao, G.; Fan, H. Road-Aided Along-Track Baseline Estimation in a Multichannel SAR-GMTI System. IEEE Geosci. Remote Sens. Lett. 2021, 18, 1416–1420. [Google Scholar] [CrossRef]
- Wang, W.; An, D.; Luo, Y.; Zhou, Z. The Fundamental Trajectory Reconstruction Results of Ground Moving Target from Single-Channel CSAR Geometry. IEEE Trans. Geosci. Remote Sens. 2018, 56, 5647–5657. [Google Scholar] [CrossRef]
- Wang, X.; Gao, G.; Zhou, S.; Zou, H. A Clutter Suppression Approach for SAR-GMTI Based on Dual-Channel DPCA. J. Radars 2014, 3, 241–248. [Google Scholar]
- Li, Y.; Wang, Y.; Liu, B.; Zhang, S.; Nie, L.; Bi, G. A New Motion Parameter Estimation and Relocation Scheme for Airborne Three-Channel CSSAR-GMTI Systems. IEEE Trans. Geosci. Remote Sens. 2019, 57, 4107–4120. [Google Scholar] [CrossRef]
- Chen, H.; Wang, Z.; Gao, W.; Sun, H.; Lu, Y.; Li, Y. Knowledge-Aided Ground Moving Target Relocation for Airborne Dual-Channel Wide-Area Radar by Exploiting the Antenna Pattern Information. Remote Sens. 2021, 13, 4724. [Google Scholar] [CrossRef]
- Wang, Z.; Wang, Y.; Xing, M.; Sun, G.C.; Zhang, S.; Xiang, J. A Novel Two-Step Scheme Based on Joint GO-DPCA and Local STAP in Image Domain for Multichannel SAR-GMTI. IEEE J. Sel. Top. Appl. Earth Obs. Remote Sens. 2021, 14, 8259–8272. [Google Scholar] [CrossRef]
- Cerutti-Maori, D.; Sikaneta, I. A Generalization of DPCA Processing for Multichannel SAR/GMTI Radars. IEEE Trans. Geosci. Remote Sens. 2013, 51, 560–572. [Google Scholar] [CrossRef]
- Yi, C.; Bo, Q.; Shengli, W. DPCA motion compensation technique based on multiple phase centers. In Proceedings of the IEEE Cie International Conference on Radar, Chengdu, China, 24–27 October 2011. [Google Scholar] [CrossRef]
- Casalini, E.; Henke, D.; Meier, E. GMTI in Circular Sar Data Using STAP. In Proceedings of the 2016 Sensor Signal Processing for Defence (SSPD), Edinburgh, UK, 22–23 September 2016; pp. 1–5. [Google Scholar] [CrossRef]
- Hu, X.; Wang, B.; Xiang, M.; Wang, Z. A Novel Airborne Dual-Antenna InSAR Calibration Method for Backprojection Imaging Model. IEEE Access 2021, 9, 43001–43012. [Google Scholar] [CrossRef]
- Wang, X.; Deng, B.; Wang, H.; Qin, Y. Velocity estimation of moving target based on concatenated ATI and inverse radon transform in three-channel circular SAR. In Proceedings of the 2017 Progress in Electromagnetics Research Symposium—Fall (PIERS—FALL), Singapore, 19–22 November 2017; pp. 1613–1617. [Google Scholar] [CrossRef]
- Shu, Y.; Liao, G.; Yang, Z. Robust Radial Velocity Estimation of Moving Targets Based on Adaptive Data Reconstruction and Subspace Projection Algorithm. IEEE Geosci. Remote Sens. Lett. 2014, 11, 1101–1105. [Google Scholar] [CrossRef]
- Liu, B.; Yin, K.; Li, Y.; Shen, F.; Bao, Z. An Improvement in Multichannel SAR-GMTI Detection in Heterogeneous Environments. IEEE Trans. Geosci. Remote Sens. 2015, 53, 810–827. [Google Scholar] [CrossRef]
- Yang, D.; Yang, X.; Liao, G.; Zhu, S. Strong Clutter Suppression via RPCA in Multichannel SAR/GMTI System. IEEE Geosci. Remote Sens. Lett. 2015, 12, 2237–2241. [Google Scholar] [CrossRef]
- Li, J.; Huang, Y.; Liao, G.; Xu, J. Moving Target Detection via Efficient ATI-GoDec Approach for Multichannel SAR System. IEEE Geosci. Remote Sens. Lett. 2016, 13, 1320–1324. [Google Scholar] [CrossRef]
- Tian, M.; Yang, Z.; Xu, H.; Liao, G.; Wang, W. An enhanced approach based on energy loss for multichannel SAR-GMTI systems in heterogeneous environment. Digit. Signal Process. 2018, 78, 393–403. [Google Scholar] [CrossRef]
- Sheng, H.; Zhang, C.; Gao, Y.; Wang, K.; Liu, X. Dual-channel SAR moving target detector based on WVD and FAC. In Proceedings of the 2016 CIE International Conference on Radar (RADAR), Guangzhou, China, 10–13 October 2016; pp. 1–5. [Google Scholar] [CrossRef]
- Gierull, C.H.; Sikaneta, I.; Cerutti-Maori, D. Two-Step Detector for RADARSAT-2′s Experimental GMTI Mode. IEEE Trans. Geosci. Remote Sens. 2013, 51, 436–454. [Google Scholar] [CrossRef]
- Teng, F.; Hong, W.; Lin, Y. Aspect Entropy Extraction Using Circular SAR Data and Scattering Anisotropy Analysis. Sensors 2019, 19, 346. [Google Scholar] [CrossRef]
- Du, B.; Qiu, X.; Huang, L.; Lei, S.; Lei, B.; Ding, C. Analysis of the Azimuth Ambiguity and Imaging Area Restriction for Circular SAR Based on the Back-Projection Algorithm. Sensors 2019, 19, 4920. [Google Scholar] [CrossRef]
- Ge, B.; An, D.; Zhou, Z. Parameter Estimation and Imaging of Three-Dimensional Moving Target in Dual-Channel CSAR-GMTI Processing. In Proceedings of the 2020 IEEE Radar Conference (RadarConf20), Florence, Italy, 21–25 September 2020; pp. 1–5. [Google Scholar] [CrossRef]
- An, D.; Wang, W.; Zhou, Z. Refocusing of Ground Moving Target in Circular Synthetic Aperture Radar. IEEE Sens. J. 2019, 19, 8668–8674. [Google Scholar] [CrossRef]
- Shuxuan, C.; Limin, J.; Maosheng, X.; Lideng, W.; Pengbin, Z. Detection ground slow moving target by airborne Along- and Across-Track interferometric SAR. In Proceedings of the 2011 IEEE CIE International Conference on Radar, Chengdu, China, 24–27 October 2011; Volume 2, pp. 1623–1626. [Google Scholar] [CrossRef]
- Shuxuan, C. Ground Slow Moving Target Indication for Airborne Dual-antenna Interferometric SAR. Ph.D. Thesis, Graduate University of Chinese Academy of Sciences, Beijing, China, 2011. [Google Scholar]
- Dong, Q.; Wang, B.; Xiang, M.; Wang, Z.; Wang, Y.; Song, C. A Novel Detection Scheme in Image Domain for Multichannel Circular SAR Ground-Moving-Target Indication. Sensors 2022, 22, 2596. [Google Scholar] [CrossRef]
- Baselice, F.; Budillon, A.; Ferraioli, G.; Pascazio, V.; Schirinzi, G. Multibaseline SAR Interferometry from Complex Data. IEEE J. Sel. Top. Appl. Earth Obs. Remote Sens. 2014, 7, 2911–2918. [Google Scholar] [CrossRef]
- Budillon, A.; Evangelista, A.; Pascazio, V.; Schirinzi, G. Multi-baseline along track SAR interferometric systems for ground moving target indication. In Proceedings of the 2010 IEEE International Geoscience and Remote Sensing Symposium, Honolulu, HI, USA, 25–30 July 2010; pp. 2924–2927. [Google Scholar] [CrossRef]
- Gierull, C.H. Closed-Form Expressions for InSAR Sample Statistics and Its Application to Non-Gaussian Data. IEEE Trans. Geosci. Remote Sens. 2021, 59, 3967–3980. [Google Scholar] [CrossRef]
- Al, J.; Cao, Z.; Mao, Y.; Zhang, W.; Wang, F.; Jin, J. An Improved Bilateral CFAR Ship Detection Algorithm for SAR Image in Complex Environment. J. Radars 2021, 10, 499–515. [Google Scholar] [CrossRef]
- Leng, X.; Ji, K.; Yang, K.; Zou, H. A Bilateral CFAR Algorithm for Ship Detection in SAR Images. IEEE Geosci. Remote Sens. Lett. 2015, 12, 1536–1540. [Google Scholar] [CrossRef]
- Yue, D.X.; Xu, F.; Frery, A.C.; Jin, Y.Q. Synthetic Aperture Radar Image Statistical Modeling: Part One-Single-Pixel Statistical Models. IEEE Geosci. Remote Sens. Mag. 2021, 9, 82–114. [Google Scholar] [CrossRef]
- Qin, X.; Zhou, S.; Zou, H.; Gao, G. A CFAR Detection Algorithm for Generalized Gamma Distributed Background in High-Resolution SAR Images. IEEE Geosci. Remote Sens. Lett. 2013, 10, 806–810. [Google Scholar] [CrossRef]
- Silva, A.; Baumgartner, S.V.; Krieger, G. Training Data Selection and Update Strategies for Airborne Post-Doppler STAP. IEEE Trans. Geosci. Remote Sens. 2019, 57, 5626–5641. [Google Scholar] [CrossRef]
- D’Hondt, O.; Guillaso, S.; Hellwich, O. Iterative Bilateral Filtering of Polarimetric SAR Data. IEEE J. Sel. Top. Appl. Earth Obs. Remote Sens. 2013, 6, 1628–1639. [Google Scholar] [CrossRef]
















| Method | Concrete Operation | Complex Multiplication | Complex Summations |
|---|---|---|---|
| ATI | ATI | 0 | |
| CFAR | |||
| ID-ATI [8] | Image differential | 0 | |
| CFAR | |||
| ATI | 0 | ||
| STAP | Calculate covariance matrix | 0 | |
| Calculate inverse of covariance matrix | 0 | ||
| Optimal weight and suppression | 0 | ||
| CFAR | |||
| GO-DPCA and Local STAP [8] | Image differential | 0 | |
| CFAR | |||
| Calculate covariance matrix | 0 | ||
| Calculate inverse of covariance matrix | 0 | ||
| Optimal weight and suppression | 0 | ||
| DRVC [15] | Image differential | 0 | |
| ATI | 0 | ||
| Calculating DRVC | |||
| CFAR | |||
| The proposed method | Calculating the correlation coefficient | ||
| CFAR | |||
| Calculating spatial and signal similarity | |||
| Image differential | 0 | ||
| Local ATI | 0 | ||
| Calculating LDRVP |
| Parameter | Value |
|---|---|
| Bandwidth | 2000 MHz |
| Carrier frequency | 10.0 GHz |
| Number of channels | 4 |
| Pulse-repetition frequency | 2000 Hz |
| Moving target speed | <3 m/s |
| Adjacent channel spacing | 0.095 m |
| Platform velocity | 68 m/s |
| Parameter | The Presented Approach Method | The Method in [31] |
|---|---|---|
| Number of targets | 349 | 171 |
| Number of false alarms | 8 | 41 |
| False alarm probability | 6.6 × 10−5 | 3.4 × 10−4 |
Disclaimer/Publisher’s Note: The statements, opinions and data contained in all publications are solely those of the individual author(s) and contributor(s) and not of MDPI and/or the editor(s). MDPI and/or the editor(s) disclaim responsibility for any injury to people or property resulting from any ideas, methods, instructions or products referred to in the content. |
© 2023 by the authors. Licensee MDPI, Basel, Switzerland. This article is an open access article distributed under the terms and conditions of the Creative Commons Attribution (CC BY) license (https://creativecommons.org/licenses/by/4.0/).
Share and Cite
Dong, Q.; Li, W.; Shi, R.; Wang, K.; Wang, B.; Song, C.; Song, C.; Xiang, M. Strong Clutter Suppression Using Spatial and Signal Similarity for Multi-Channel SAR Ground-Moving-Target Indication. Remote Sens. 2023, 15, 4913. https://doi.org/10.3390/rs15204913
Dong Q, Li W, Shi R, Wang K, Wang B, Song C, Song C, Xiang M. Strong Clutter Suppression Using Spatial and Signal Similarity for Multi-Channel SAR Ground-Moving-Target Indication. Remote Sensing. 2023; 15(20):4913. https://doi.org/10.3390/rs15204913
Chicago/Turabian StyleDong, Qinghai, Wei Li, Ruihua Shi, Ke Wang, Bingnan Wang, Chen Song, Chong Song, and Maosheng Xiang. 2023. "Strong Clutter Suppression Using Spatial and Signal Similarity for Multi-Channel SAR Ground-Moving-Target Indication" Remote Sensing 15, no. 20: 4913. https://doi.org/10.3390/rs15204913
APA StyleDong, Q., Li, W., Shi, R., Wang, K., Wang, B., Song, C., Song, C., & Xiang, M. (2023). Strong Clutter Suppression Using Spatial and Signal Similarity for Multi-Channel SAR Ground-Moving-Target Indication. Remote Sensing, 15(20), 4913. https://doi.org/10.3390/rs15204913

