Coastal Dune Invaders: Integrative Mapping of Carpobrotus sp. pl. (Aizoaceae) Using UAVs
Abstract
1. Introduction
2. Materials and Methods
2.1. Study Species
2.2. Study Area
2.3. Data Acquisition and Pre-Processing
2.4. Preparation of Variables
2.5. Carpobrotus Modelling
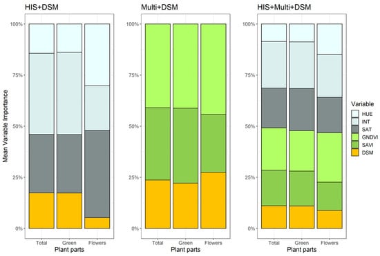
3. Results
4. Discussion
4.1. On the Best Set of Variables to Predict the Presence of Carpobrotus
4.2. On the Prediction of the Whole Plant or Its Vegetative/Reproductive Parts
4.3. On the Minimum Size of the Training Area
4.4. Remarks on Previous RS Research on Carpobrotus and Some of Their Biological/Ecological Features
5. Conclusions
Author Contributions
Funding
Data Availability Statement
Acknowledgments
Conflicts of Interest
References
- Agardy, T.; Alder, J. Chapter 19: Coastal Systems. In Ecosystems and Human Well-Being: Current State and Trends, Volume 1; Routledge: London, UK, 2005; pp. 17–38. [Google Scholar]
 - Crain, C.M.; Halpern, B.S.; Beck, M.W.; Kappel, C.V. Understanding and Managing Human Threats to the Coastal Marine Environment. Ann. N. Y. Acad. Sci. 2009, 1162, 39–62. [Google Scholar] [CrossRef] [PubMed]
 - Carboni, M.; Carranza, M.L.; Acosta, A. Assessing conservation status on coastal dunes: A multiscale approach. Landsc. Urban Plan. 2009, 91, 17–25. [Google Scholar] [CrossRef]
 - Menicagli, V.; Balestri, E.; Biale, G.; Corti, A.; La Nasa, J.; Modugno, F.; Castelvetro, V.; Lardicci, C. Leached degradation products from beached microplastics: A potential threat to coastal dune plants. Chemosphere 2022, 303, 135287. [Google Scholar] [CrossRef] [PubMed]
 - Menicagli, V.; Balestri, E.; Vallerini, F.; Castelli, A.; Lardicci, C. Combined effect of plastic litter and increased atmospheric nitrogen deposition on vegetative propagules of dune plants: A further threat to coastal ecosystems. Environ. Pollut. 2020, 266, 115281. [Google Scholar] [CrossRef] [PubMed]
 - Battisti, C.; Fanelli, G.; Filpa, A.; Cerfolli, F. Giant Reed (Arundo donax) wrack as sink for plastic beach litter: First evidence and implication. Mar. Pollut. Bull. 2020, 155, 111179. [Google Scholar] [CrossRef]
 - Brown, A.C.; McLachlan, A. Sandy shore ecosystems and the threats facing them: Some predictions for the year 2025. Environ. Conserv. 2002, 29, 62–77. [Google Scholar] [CrossRef]
 - Malavasi, M.; Santoro, R.; Cutini, M.; Acosta, A.T.R.; Carranza, M.L. What has happened to coastal dunes in the last half century? A multitemporal coastal landscape analysis in Central Italy. Landsc. Urban Plan. 2013, 119, 54–63. [Google Scholar] [CrossRef]
 - van der Meulen, F.; Udo de Haes, H.A. Nature conservation and integrated coastal zone management in Europe: Present and future. Landsc. Urban Plan. 1996, 34, 401–410. [Google Scholar] [CrossRef]
 - Bascom, W. Waves and Beaches; Anchor Press/Doubleday Publishing: New York, NY, USA, 1980. [Google Scholar]
 - Drius, M.; Jones, L.; Marzialetti, F.; de Francesco, M.C.; Stanisci, A.; Carranza, M.L. Not just a sandy beach. The multi-service value of Mediterranean coastal dunes. Sci. Total Environ. 2019, 668, 1139–1155. [Google Scholar] [CrossRef]
 - Acosta, A.; Ercole, S.; Stanisci, A.; Pillar, V.D.P.; Blasi, C. Coastal vegetation zonation and dune morphology in some Mediterranean ecosystems. J. Coast. Res. 2007, 23, 1518–1524. [Google Scholar] [CrossRef]
 - Del Vecchio, S.; Fantinato, E.; Roscini, M.; Acosta, A.T.R.; Bacchetta, G.; Buffa, G. The germination niche of coastal dune species as related to their occurrence along a sea–inland gradient. J. Veg. Sci. 2020, 31, 1114–1123. [Google Scholar] [CrossRef]
 - Fenu, G.; Carboni, M.; Acosta, A.T.R.; Bacchetta, G. Environmental Factors Influencing Coastal Vegetation Pattern: New Insights from the Mediterranean Basin. Folia Geobot. 2013, 48, 493–508. [Google Scholar] [CrossRef]
 - Marzialetti, F.; Di Febbraro, M.; Malavasi, M.; Giulio, S.; Rosario Acosta, A.T.; Carranza, M.L. Mapping coastal dune landscape through spectral Rao’s Q temporal diversity. Remote Sens. 2020, 12, 2315. [Google Scholar] [CrossRef]
 - Muñoz-Vallés, S.; Cambrollé, J. The threat of native-invasive plant species to biodiversity conservation in coastal dunes. Ecol. Eng. 2015, 79, 32–34. [Google Scholar] [CrossRef]
 - Niphadkar, M.; Nagendra, H. Remote sensing of invasive plants: Incorporating functional traits into the picture. Int. J. Remote Sens. 2016, 37, 3074–3085. [Google Scholar] [CrossRef]
 - Vilà, M.; Espinar, J.L.; Hejda, M.; Hulme, P.E.; Jarošík, V.; Maron, J.L.; Pergl, J.; Schaffner, U.; Sun, Y.; Pyšek, P. Ecological impacts of invasive alien plants: A meta-analysis of their effects on species, communities and ecosystems. Ecol. Lett. 2011, 14, 702–708. [Google Scholar] [CrossRef]
 - Genovesi, P.; Shine, C. European Strategy on Invasive Alien Species: Convention on the Conservation of European Wildlife and Habitats (Bern Convention); Council of Europe: London, UK, 2004; ISBN 9287154880. [Google Scholar]
 - Sitzia, T.; Campagnaro, T.; Kowarik, I.; Trentanovi, G. Using forest management to control invasive alien species: Helping implement the new European regulation on invasive alien species. Biol. Invasions 2016, 18, 1–7. [Google Scholar] [CrossRef]
 - Simpson, A.; Jarnevich, C.; Madsen, J.; Westbrooks, R.; Fournier, C.; Mehrhoff, L.; Browne, M.; Graham, J.; Sellers, E. Invasive species information networks: Collaboration at multiple scales for prevention, early detection, and rapid response to invasive alien species. Biodiversity 2009, 10, 5–13. [Google Scholar] [CrossRef]
 - Yemshanov, D.; Haight, R.G.; Koch, F.H.; Venette, R.C.; Swystun, T.; Fournier, R.E.; Marcotte, M.; Chen, Y.; Turgeon, J.J. Optimizing surveillance strategies for early detection of invasive alien species. Ecol. Econ. 2019, 162, 87–99. [Google Scholar] [CrossRef]
 - Bradley, B.A. Remote detection of invasive plants: A review of spectral, textural and phenological approaches. Biol. Invasions 2014, 16, 1411–1425. [Google Scholar] [CrossRef]
 - Dai, J.; Roberts, D.A.; Stow, D.A.; An, L.; Hall, S.J.; Yabiku, S.T.; Kyriakidis, P.C. Mapping understory invasive plant species with field and remotely sensed data in Chitwan, Nepal. Remote Sens. Environ. 2020, 250, 112037. [Google Scholar] [CrossRef]
 - Huang, C.; Asner, G.P. Applications of remote sensing to alien invasive plant studies. Sensors 2009, 9, 4869–4889. [Google Scholar] [CrossRef] [PubMed]
 - Peerbhay, K.; Mutanga, O.; Lottering, R.; Ismail, R. Mapping Solanum mauritianum plant invasions using WorldView-2 imagery and unsupervised random forests. Remote Sens. Environ. 2016, 182, 39–48. [Google Scholar] [CrossRef]
 - Masemola, C.; Cho, M.A.; Ramoelo, A. Sentinel-2 time series based optimal features and time window for mapping invasive Australian native Acacia species in KwaZulu Natal, South Africa. Int. J. Appl. Earth Obs. Geoinf. 2020, 93, 102207. [Google Scholar] [CrossRef]
 - Ishii, J.; Washitani, I. Early detection of the invasive alien plant Solidago altissima in moist tall grassland using hyperspectral imagery. Int. J. Remote Sens. 2013, 34, 5926–5936. [Google Scholar] [CrossRef]
 - Vaz, A.S.; Alcaraz-Segura, D.; Campos, J.C.; Vicente, J.R.; Honrado, J.P. Managing plant invasions through the lens of remote sensing: A review of progress and the way forward. Sci. Total Environ. 2018, 642, 1328–1339. [Google Scholar] [CrossRef] [PubMed]
 - Oldeland, J.; Revermann, R.; Luther-Mosebach, J.; Buttschardt, T.; Lehmann, J.R.K. New tools for old problems—comparing drone- and field-based assessments of a problematic plant species. Environ. Monit. Assess. 2021, 193, 90. [Google Scholar] [CrossRef]
 - Rende, S.F.; Bosman, A.; Di Mento, R.; Bruno, F.; Lagudi, A.; Irving, A.D.; Dattola, L.; Giambattista, L.D.; Lanera, P.; Proietti, R.; et al. Ultra-High-Resolution Mapping of Posidonia oceanica (L.) Delile Meadows through Acoustic, Optical Data and Object-based Image Classification. J. Mar. Sci. Eng. 2020, 8, 647. [Google Scholar] [CrossRef]
 - Mallmann, C.L.; Zaninni, A.F.; Pereira Filho, W. Vegetation index based in unmanned aerial vehicle (UAV) to improve the management of invasive plants in Protected Areas, Southern Brazil. Int. Arch. Photogramm. Remote Sens. Spat. Inf. Sci.-ISPRS Arch. 2020, 42, 521–524. [Google Scholar] [CrossRef]
 - Lehmann, J.R.K.; Prinz, T.; Ziller, S.R.; Thiele, J.; Heringer, G.; Meira-Neto, J.A.A.; Buttschardt, T.K. Open-Source Processing and Analysis of Aerial Imagery Acquired with a Low-Cost Unmanned Aerial System to Support Invasive Plant Management. Front. Environ. Sci. 2017, 5, 1–16. [Google Scholar] [CrossRef]
 - Marzialetti, F.; Frate, L.; De Simone, W.; Frattaroli, A.R.; Acosta, A.T.R.; Carranza, M.L. Unmanned Aerial Vehicle (UAV)-Based Mapping of Acacia saligna Invasion in the Mediterranean Coast. Remote Sens. 2021, 13, 3361. [Google Scholar] [CrossRef]
 - de Sá, N.C.; Castro, P.; Carvalho, S.; Marchante, E.; López-Núñez, F.A.; Marchante, H. Mapping the Flowering of an Invasive Plant Using Unmanned Aerial Vehicles: Is There Potential for Biocontrol Monitoring? Front. Plant Sci. 2018, 9, 1–13. [Google Scholar] [CrossRef] [PubMed]
 - Hill, D.J.; Tarasoff, C.; Whitworth, G.E.; Baron, J.; Bradshaw, J.L.; Church, J.S. Utility of unmanned aerial vehicles for mapping invasive plant species: A case study on yellow flag iris (Iris pseudacorus L.). Int. J. Remote Sens. 2017, 38, 2083–2105. [Google Scholar] [CrossRef]
 - Wu, Z.; Ni, M.; Hu, Z.; Wang, J.; Li, Q.; Wu, G. Mapping invasive plant with UAV-derived 3D mesh model in mountain area—A case study in Shenzhen Coast, China. Int. J. Appl. Earth Obs. Geoinf. 2019, 77, 129–139. [Google Scholar] [CrossRef]
 - Marzialetti, F.; Di Febbraro, M.; Frate, L.; De Simone, W.; Acosta, A.T.R.; Carranza, M.L. Synergetic use of unmanned aerial vehicle and satellite images for detecting non-native tree species: An insight into Acacia saligna invasion in the Mediterranean coast. Front. Environ. Sci. 2022, 10, 1–15. [Google Scholar] [CrossRef]
 - Martin, F.-M.; Müllerová, J.; Borgniet, L.; Dommanget, F.; Breton, V.; Evette, A. Using Single- and Multi-Date UAV and Satellite Imagery to Accurately Monitor Invasive Knotweed Species. Remote Sens. 2018, 10, 1662. [Google Scholar] [CrossRef]
 - Alvarez-Taboada, F.; Paredes, C.; Julián-Pelaz, J. Mapping of the Invasive Species Hakea sericea Using Unmanned Aerial Vehicle (UAV) and WorldView-2 Imagery and an Object-Oriented Approach. Remote Sens. 2017, 9, 913. [Google Scholar] [CrossRef]
 - Malavasi, M.; Barták, V.; Jucker, T.; Acosta, A.T.R.; Carranza, M.L.; Bazzichetto, M. Strength in Numbers: Combining Multi-Source Remotely Sensed Data to Model Plant Invasions in Coastal Dune Ecosystems. Remote Sens. 2019, 11, 275. [Google Scholar] [CrossRef]
 - Giulio, S.; Cao Pinna, L.; Carboni, M.; Marzialetti, F.; Acosta, A.T.R. Invasion success on European coastal dunes. Plant Sociol. 2021, 58, 29–39. [Google Scholar] [CrossRef]
 - Giulio, S.; Acosta, A.T.R.; Carboni, M.; Campos, J.A.; Chytrý, M.; Loidi, J.; Pergl, J.; Pyšek, P.; Isermann, M.; Janssen, J.A.M.; et al. Alien flora across European coastal dunes. Appl. Veg. Sci. 2020, 23, 317–327. [Google Scholar] [CrossRef]
 - de Castro, A.; Torres-Sánchez, J.; Peña, J.; Jiménez-Brenes, F.; Csillik, O.; López-Granados, F. An Automatic Random Forest-OBIA Algorithm for Early Weed Mapping between and within Crop Rows Using UAV Imagery. Remote Sens. 2018, 10, 285. [Google Scholar] [CrossRef]
 - Wang, S.; Han, Y.; Chen, J.; Pan, Y.; Cao, Y.; Meng, H. A transfer-learning-based feature classification algorithm for UAV imagery in crop risk management. Desalin. Water Treat 2020, 181, 330–337. [Google Scholar] [CrossRef]
 - Lass, L.W.; Prather, T.S.; Glenn, N.F.; Weber, K.T.; Mundt, J.T.; Pettingill, J. A review of remote sensing of invasive weeds and example of the early detection of spotted knapweed (Centaurea maculosa) and babysbreath (Gypsophila paniculata) with a hyperspectral sensor. Weed Sci. 2005, 53, 242–251. [Google Scholar] [CrossRef]
 - Underwood, E.; Ustin, S.; DiPietro, D. Mapping nonnative plants using hyperspectral imagery. Remote Sens. Environ. 2003, 86, 150–161. [Google Scholar] [CrossRef]
 - Marzialetti, F.; Cascone, S.; Frate, L.; Di Febbraro, M.; Acosta, A.T.R.; Carranza, M.L. Measuring Alpha and Beta Diversity by Field and Remote-Sensing Data: A Challenge for Coastal Dunes Biodiversity Monitoring. Remote Sens. 2021, 13, 1928. [Google Scholar] [CrossRef]
 - Bogdan, A.; Levin, S.C.; Salguero-Gómez, R.; Knight, T.M. Demographic analysis of an Israeli Carpobrotus population. PLoS ONE 2021, 16, e0250879. [Google Scholar] [CrossRef]
 - Underwood, E.C.; Ustin, S.L.; Ramirez, C.M. A comparison of spatial and spectral image resolution for mapping invasive plants in coastal California. Environ. Manag. 2007, 39, 63–83. [Google Scholar] [CrossRef]
 - Roiloa, S.R.; Rodríguez-Echeverría, S.; de la Peña, E.; Freitas, H. Physiological integration increases the survival and growth of the clonal invader Carpobrotus edulis. Biol. Invasions 2010, 12, 1815–1823. [Google Scholar] [CrossRef]
 - Roiloa, S.R.; Abalde, S.; Xu, C.-Y.; López, L. The effect of stolon fragmentation on the colonization of clonal invasive Carpobrotus edulis in a coastal dune system: A field test. Plant Species Biol. 2017, 32, 460–465. [Google Scholar] [CrossRef]
 - Campoy, J.G.; Acosta, A.T.R.; Affre, L.; Barreiro, R.; Brundu, G.; Buisson, E.; González, L.; Lema, M.; Novoa, A.; Retuerto, R.; et al. Monographs of invasive plants in Europe: Carpobrotus. Bot. Lett. 2018, 165, 440–475. [Google Scholar] [CrossRef]
 - Sarmati, S.; Conti, L.; Acosta, A.T.R. Carpobrotus acinaciformis vs Carpobrotus edulis: Are there any differences in their impact on coastal dune plant biodiversity? Flora 2019, 257, 151422. [Google Scholar] [CrossRef]
 - Chenot, J.; Affre, L.; Passetti, A.; Buisson, E. Consequences of iceplant (Carpobrotus) invasion on the vegetation and seed bank structure on a Mediterranean island: Response elements for their local eradication. Acta Bot. Gall. 2014, 161, 301–308. [Google Scholar] [CrossRef]
 - Blasi, C.; Carli, E.; Celesti-Grapow, L.; Copiz, R.; Frondoni, R.; Iberite, M.; Tilia, A. Linee Guida per la Gestione Delle Specie Vegetali Alloctone; Manuali e Linee Guida n. 200/2022: Ispra, Italy, 2022; ISBN 978-88-448-1135-8. [Google Scholar]
 - Celesti-Grapow, L.; Abbate, G.; Baccetti, N.; Capizzi, D.; Carli, E.; Copiz, R.; Frondoni, R.; Giunti, M.; Gotti, C.; Iberite, M.; et al. Control of invasive species for the conservation of biodiversity in Mediterranean islands. The LIFE PonDerat project in the Pontine Archipelago, Italy. Plant Biosyst.-Int. J. Deal. All Asp. Plant Biol. 2017, 151, 795–799. [Google Scholar] [CrossRef]
 - Ruffino, L.; Krebs, E.; Passetti, A.; Aboucaya, A.; Affre, L.; Fourcy, D.; Lorvelec, O.; Barcelo, A.; Berville, L.; Bigeard, N.; et al. Eradications as scientific experiments: Progress in simultaneous eradications of two major invasive taxa from a Mediterranean island. Pest Manag. Sci. 2015, 71, 189–198. [Google Scholar] [CrossRef]
 - Turner, D.; Lucieer, A.; Watson, C. An Automated Technique for Generating Georectified Mosaics from Ultra-High Resolution Unmanned Aerial Vehicle (UAV) Imagery, Based on Structure from Motion (SfM) Point Clouds. Remote Sens. 2012, 4, 1392–1410. [Google Scholar] [CrossRef]
 - Mancini, F.; Dubbini, M.; Gattelli, M.; Stecchi, F.; Fabbri, S.; Gabbianelli, G. Using Unmanned Aerial Vehicles (UAV) for High-Resolution Reconstruction of Topography: The Structure from Motion Approach on Coastal Environments. Remote Sens. 2013, 5, 6880–6898. [Google Scholar] [CrossRef]
 - Moreno, J.F.; Melia, J. An optimum interpolation method applied to the resampling of NOAA AVHRR data. IEEE Trans. Geosci. Remote Sens. 1994, 32, 131–151. [Google Scholar] [CrossRef]
 - Xie, Y.; Sha, Z.; Yu, M. Remote sensing imagery in vegetation mapping: A review. J. Plant Ecol. 2008, 1, 9–23. [Google Scholar] [CrossRef]
 - Gitelson, A.A.; Kaufman, Y.J.; Merzlyak, M.N. Use of a green channel in remote sensing of global vegetation from EOS-MODIS. Remote Sens. Environ. 1996, 58, 289–298. [Google Scholar] [CrossRef]
 - Taddeo, S.; Dronova, I.; Harris, K. Greenness, texture, and spatial relationships predict floristic diversity across wetlands of the conterminous United States. ISPRS J. Photogramm. Remote Sens. 2021, 175, 236–246. [Google Scholar] [CrossRef]
 - Heute, A.R. A Soil-Adjusted Vegetation Index (SAVI). Remote Sens. Environ. 1988, 25, 295–309. [Google Scholar] [CrossRef]
 - Halmy, M.W.A.; Fawzy, M.; Ahmed, D.A.; Saeed, N.M.; Awad, M.A. Monitoring and predicting the potential distribution of alien plant species in arid ecosystem using remotely-sensed data. Remote Sens. Appl. Soc. Environ. 2019, 13, 69–84. [Google Scholar] [CrossRef]
 - Immitzer, M.; Vuolo, F.; Atzberger, C. First Experience with Sentinel-2 Data for Crop and Tree Species Classifications in Central Europe. Remote Sens. 2016, 8, 166. [Google Scholar] [CrossRef]
 - De Luca, G.; Silva, J.M.N.; Cerasoli, S.; Araújo, J.; Campos, J.; Di Fazio, S.; Modica, G. Object-Based Land Cover Classification of Cork Oak Woodlands using UAV Imagery and Orfeo ToolBox. Remote Sens. 2019, 11, 1238. [Google Scholar] [CrossRef]
 - Michel, J.; Youssefi, D.; Grizonnet, M. Stable Mean-Shift Algorithm and Its Application to the Segmentation of Arbitrarily Large Remote Sensing Images. IEEE Trans. Geosci. Remote Sens. 2015, 53, 952–964. [Google Scholar] [CrossRef]
 - Suneetha, M.; Boggavarapu, L.N.; Vaddi, R.; Raja, A.R.; Gopalakrishnan, R.; Jha, C.S. Object Based Classification of Multispectral Remote Sensing Images for Forestry Applications. In Proceedings of the 2020 3rd International Conference on Image and Graphics Processing, Singapore, 8–10 February 2020; ACM: New York, NY, USA, 2020; pp. 153–157. [Google Scholar]
 - Stephens, D.; Diesing, M. A comparison of supervised classification methods for the prediction of substrate type using multibeam acoustic and legacy grain-size data. PLoS ONE 2014, 9, e93950. [Google Scholar] [CrossRef] [PubMed]
 - Kuhn, M. Caret: Classification and Regression Training, R package version 6.0-93; Available online: https://CRAN.R-project.org/package=caret (accessed on 1 January 2023).
 - Probst, P.; Wright, M.N.; Boulesteix, A.L. Hyperparameters and tuning strategies for random forest. Wiley Interdiscip. Rev. Data Min. Knowl. Discov. 2019, 9, e1301. [Google Scholar] [CrossRef]
 - Velez, D.R.; White, B.C.; Motsinger, A.A.; Bush, W.S.; Ritchie, M.D.; Williams, S.M.; Moore, J.H. A balanced accuracy function for epistasis modeling in imbalanced datasets using multifactor dimensionality reduction. Genet. Epidemiol. 2007, 31, 306–315. [Google Scholar] [CrossRef]
 - Congalton, R.G. A review of assessing the accuracy of classifications of remotely sensed data. Remote Sens. Environ. 1991, 37, 35–46. [Google Scholar] [CrossRef]
 - Gibson, R.; Danaher, T.; Hehir, W.; Collins, L. A remote sensing approach to mapping fire severity in south-eastern Australia using sentinel 2 and random forest. Remote Sens. Environ. 2020, 240, 111702. [Google Scholar] [CrossRef]
 - Wunderlich, R.F.; Lin, Y.-P.; Anthony, J.; Petway, J.R. Two alternative evaluation metrics to replace the true skill statistic in the assessment of species distribution models. Nat. Conserv. 2019, 35, 97–116. [Google Scholar] [CrossRef]
 - Allouche, O.; Tsoar, A.; Kadmon, R. Assessing the accuracy of species distribution models: Prevalence, kappa and the true skill statistic (TSS). J. Appl. Ecol. 2006, 43, 1223–1232. [Google Scholar] [CrossRef]
 - R Core Team. R: A Language and Environment for Statistical Computing; R Foundation for Statistical Computing: Vienna, Austria. Available online: https://www.r-project.org/ (accessed on 1 January 2023).
 - Gonçalves, J.; Pôças, I.; Marcos, B.; Mücher, C.A.; Honrado, J.P. SegOptim—A new R package for optimizing object-based image analyses of high-spatial resolution remotely-sensed data. Int. J. Appl. Earth Obs. Geoinf. 2019, 76, 218–230. [Google Scholar] [CrossRef]
 - Hijmans, R.J. _terra: Spatial Data Analysis_. R package version 1.6-17. Available online: https://CRAN.R-project.org/package=terra (accessed on 1 January 2023).
 - Mohammed Abdelkader, E.; Moselhi, O.; Marzouk, M.; Zayed, T. Hybrid Elman Neural Network and an Invasive Weed Optimization Method for Bridge Defect Recognition. Transp. Res. Rec. J. Transp. Res. Board 2021, 2675, 167–199. [Google Scholar] [CrossRef]
 - Pontius, R.G.; Millones, M. Death to Kappa: Birth of quantity disagreement and allocation disagreement for accuracy assessment. Int. J. Remote Sens. 2011, 32, 4407–4429. [Google Scholar] [CrossRef]
 - Kattenborn, T.; Lopatin, J.; Förster, M.; Braun, A.C.; Fassnacht, F.E. UAV data as alternative to field sampling to map woody invasive species based on combined Sentinel-1 and Sentinel-2 data. Remote Sens. Environ. 2019, 227, 61–73. [Google Scholar] [CrossRef]
 - Franklin, S.E.; Ahmed, O.S. Deciduous tree species classification using object-based analysis and machine learning with unmanned aerial vehicle multispectral data. Int. J. Remote Sens. 2018, 39, 5236–5245. [Google Scholar] [CrossRef]
 - Lourenço, P.; Teodoro, A.C.; Gonçalves, J.A.; Honrado, J.P.; Cunha, M.; Sillero, N. Assessing the performance of different OBIA software approaches for mapping invasive alien plants along roads with remote sensing data. Int. J. Appl. Earth Obs. Geoinf. 2021, 95, 102263. [Google Scholar] [CrossRef]
 - Al-Ali, Z.M.; Abdullah, M.M.; Asadalla, N.B.; Gholoum, M. A comparative study of remote sensing classification methods for monitoring and assessing desert vegetation using a UAV-based multispectral sensor. Environ. Monit. Assess. 2020, 192, 389. [Google Scholar] [CrossRef]
 - Olsson, P.-O.; Jönsson, A.M.; Eklundh, L. A new invasive insect in Sweden–Physokermes inopinatus: Tracing forest damage with satellite based remote sensing. For. Ecol. Manag. 2012, 285, 29–37. [Google Scholar] [CrossRef]
 - Rodrigues, J.C.V.; Cosh, M.H.; Hunt, E.R.; de Moraes, G.J.; Barroso, G.; White, W.A.; Ochoa, R. Tracking Red Palm Mite Damage in the Western Hemisphere Invasion with Landsat Remote Sensing Data. Insects 2020, 11, 627. [Google Scholar] [CrossRef] [PubMed]
 - Molinari, N.; D’Antonio, C.; Thomson, G.; Cuddington, K.; Byers, J.; Hastings, A.; Wilson, W. Carpobrotus as a case study of the complexities of species impacts. In Ecosystem Engineers: Plants to Protists; Academic Press: Cambridge, MA, USA, 2007; pp. 139–162. [Google Scholar]
 - Hamylton, S.M.; Morris, R.H.; Carvalho, R.C.; Roder, N.; Barlow, P.; Mills, K.; Wang, L. Evaluating techniques for mapping island vegetation from unmanned aerial vehicle (UAV) images: Pixel classification, visual interpretation and machine learning approaches. Int. J. Appl. Earth Obs. Geoinf. 2020, 89, 102085. [Google Scholar] [CrossRef]
 - Verlaque, R.; Affre, L.; Diadema, K.; Suehs, C.M.; Médail, F. Unexpected morphological and karyological changes in invasive Carpobrotus (Aizoaceae) in Provence (S-E France) compared to native South African species. Comptes Rendus Biol. 2011, 334, 311–319. [Google Scholar] [CrossRef]
 - Lu, D.; Weng, Q. A survey of image classification methods and techniques for improving classification performance. Int. J. Remote Sens. 2007, 28, 823–870. [Google Scholar] [CrossRef]
 - Sintes, T.; Moragues, E.; Traveset, A.; Rita, J. Clonal growth dynamics of the invasive Carpobrotus affine acinaciformis in Mediterranean coastal systems: A non-linear model. Ecol. Modell. 2007, 206, 110–118. [Google Scholar] [CrossRef]
 - Roiloa, S.R.; Rodriguez-Echeverria, S.; Lopez-Otero, A.; Retuerto, R.; Freitas, H. Adaptive plasticity to heterogeneous environments increases capacity for division of labor in the clonal invader Carpobrotus edulis (Aizoaceae). Am. J. Bot. 2014, 101, 1301–1308. [Google Scholar] [CrossRef]
 - Roiloa, S.R.; Rodríguez-Echeverría, S.; Freitas, H.; Retuerto, R. Developmentally-programmed division of labour in the clonal invader Carpobrotus edulis. Biol. Invasions 2013, 15, 1895–1905. [Google Scholar] [CrossRef]
 - Cascone, S.; Sperandii, M.G.; Cao Pinna, L.; Marzialetti, F.; Carranza, M.L.; Acosta, A.T.R. Exploring Temporal Trends of Plant Invasion in Mediterranean Coastal Dunes. Sustainability 2021, 13, 13946. [Google Scholar] [CrossRef]
 - Theron, K.J.; Pryke, J.S.; Latte, N.; Samways, M.J. Mapping an alien invasive shrub within conservation corridors using super-resolution satellite imagery. J. Environ. Manag. 2022, 321, 116023. [Google Scholar] [CrossRef]
 







| Mean | 95% CI | |
|---|---|---|
| Set Multi + DSM | −0.112 *** | −0.131, −0.093 | 
| Set HIS + Multi + DSM | 0.012 | −0.007, 0.031 | 
| Part Green | 0.003 | −0.016, 0.022 | 
| Part Flowers | −0.164 *** | −0.183, −0.145 | 
| Cal. Area 30% | −0.001 | −0.012, 0.010 | 
| Cal. Area 40% | 0.002 | −0.009, 0.013 | 
| Set Multi + DSM:Part Green | 0.007 | −0.020, 0.034 | 
| Set HIS + Multi + DSM:Part Green | −0.005 | −0.032, 0.022 | 
| Set Multi + DSM:Part Flowers | 0.129 *** | 0.102, 0.156 | 
| Set HIS + Multi + DSM:Part Flowers | 0.005 | −0.022, 0.032 | 
| Constant | 0.677 *** | 0.662, 0.692 | 
| Observations | 27 | |
| R2 | 0.984 | |
| Adjusted R2 | 0.974 | |
| Residual Std. Error | 0.012 (df = 16) | |
| F Statistic | 98.114 *** (df = 10; 16) | |
Disclaimer/Publisher’s Note: The statements, opinions and data contained in all publications are solely those of the individual author(s) and contributor(s) and not of MDPI and/or the editor(s). MDPI and/or the editor(s) disclaim responsibility for any injury to people or property resulting from any ideas, methods, instructions or products referred to in the content.  | 
© 2023 by the authors. Licensee MDPI, Basel, Switzerland. This article is an open access article distributed under the terms and conditions of the Creative Commons Attribution (CC BY) license (https://creativecommons.org/licenses/by/4.0/).
Share and Cite
Innangi, M.; Marzialetti, F.; Di Febbraro, M.; Acosta, A.T.R.; De Simone, W.; Frate, L.; Finizio, M.; Villalobos Perna, P.; Carranza, M.L. Coastal Dune Invaders: Integrative Mapping of Carpobrotus sp. pl. (Aizoaceae) Using UAVs. Remote Sens. 2023, 15, 503. https://doi.org/10.3390/rs15020503
Innangi M, Marzialetti F, Di Febbraro M, Acosta ATR, De Simone W, Frate L, Finizio M, Villalobos Perna P, Carranza ML. Coastal Dune Invaders: Integrative Mapping of Carpobrotus sp. pl. (Aizoaceae) Using UAVs. Remote Sensing. 2023; 15(2):503. https://doi.org/10.3390/rs15020503
Chicago/Turabian StyleInnangi, Michele, Flavio Marzialetti, Mirko Di Febbraro, Alicia Teresa Rosario Acosta, Walter De Simone, Ludovico Frate, Michele Finizio, Priscila Villalobos Perna, and Maria Laura Carranza. 2023. "Coastal Dune Invaders: Integrative Mapping of Carpobrotus sp. pl. (Aizoaceae) Using UAVs" Remote Sensing 15, no. 2: 503. https://doi.org/10.3390/rs15020503
APA StyleInnangi, M., Marzialetti, F., Di Febbraro, M., Acosta, A. T. R., De Simone, W., Frate, L., Finizio, M., Villalobos Perna, P., & Carranza, M. L. (2023). Coastal Dune Invaders: Integrative Mapping of Carpobrotus sp. pl. (Aizoaceae) Using UAVs. Remote Sensing, 15(2), 503. https://doi.org/10.3390/rs15020503
        
                                                