Coastal Waveform Retracking for Synthetic Aperture Altimeters Using a Multiple Optimization Parabolic Cylinder Algorithm
Abstract
:1. Introduction
2. Parabolic Cylinder Model and Its Accelerated Version Algorithm
3. Coastal Retracker Strategy Based on the Parabolic Cylinder Model
3.1. Integrated Recurrent Neural Network Algorithm
3.1.1. Waveform Classification
3.1.2. Computational Model Based on RNN
3.2. Two-Step Retracking
3.3. Bayesian Parameter Estimation
| Algorithm 1 Bayesian parameter estimation |
| 1. Initialize the parameters = {, , } |
| 2. Set the number of iteration times T, and initialize the parameter sample set S |
| 3. For t = 1 to T: |
| 3.1 Calculate the likelihood function and the posterior probabilit based on the current parameter |
| 3.2 Sample a new parameter from the posterior distribution |
| 3.3 Add to the parameter sample set S. |
| 3.4 Update the current parameter to and continue the loop. |
| 4. Calculate the estimated values of the parameters: |
| 4.1 For each parameter , calculate its sample mean as the estimated value. |
| 5. Output the estimated values of the parameters , and |
4. Study Areas and Data
5. Results
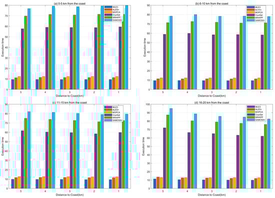
5.1. Efficiency Analysis
5.2. Precision Analysis
5.2.1. Retracking Success Rate Analysis
5.2.2. Standard Deviation of the Sea Surface Height of the Retracked Altimetry Results
5.2.3. Correlation with Tide Gauge Data
6. Conclusions
Author Contributions
Funding
Data Availability Statement
Acknowledgments
Conflicts of Interest
References
- Barbier, E.B. Marine ecosystem services. Curr. Biol. 2017, 27, R507–R510. [Google Scholar] [CrossRef] [PubMed]
- Ferrario, F.; Beck, M.W.; Storlazzi, C.D.; Micheli, F.; Shepard, C.C.; Airoldi, L. The effectiveness of coral reefs for coastal hazard risk reduction and adaptation. Nat. Commun. 2014, 5, 3794. [Google Scholar] [CrossRef] [PubMed]
- Lee, S.; Bautista, L. Climate Change and Sea Level Rise. In Frontiers in International Environmental Law: Oceans and Climate Challenges; Brill: Leiden, The Netherlands, 2021; pp. 194–214. [Google Scholar]
- Rabie, A.; Serizawa, M.; Sannami, T.; Yamada, K.; Furuike, K.; Mimura, N. Assessment of Sea-level Rise Impacts on the Coastal Area of Funafuti, Tuvalu. In Proceedings of the Centre for Advanced Engineering; University of Canterbury: Christchurch, New Zealand, 1997. [Google Scholar]
- Zanchettin, D.; Bruni, S.; Raicich, F.; Lionello, P.; Adloff, F.; Androsov, A.; Antonioli, F.; Artale, V.; Carminati, E.; Ferrarin, C.; et al. Sea-level rise in Venice: Historic and future trends (review article). Nat. Hazards Earth Syst. Sci. 2021, 21, 2643–2678. [Google Scholar] [CrossRef]
- Nerem, R.S.; Beckley, B.D.; Fasullo, J.T.; Hamlington, B.D.; Masters, D.; Mitchum, G.T. Climate-change–driven accelerated sea-level rise detected in the altimeter era. Proc. Natl. Acad. Sci. USA 2018, 115, 2022–2025. [Google Scholar] [CrossRef]
- Martin, T.V.; Zwally, H.J.; Brenner, A.C.; Bindschadler, R.A. Analysis and retracking of continental ice sheet radar altimeter waveforms. J. Geophys. Res. Atmos. 1983, 88, 1608–1616. [Google Scholar] [CrossRef]
- Wingham, D.; Rapley, C.; Griffiths, H. New techniques in satellite altimeter tracking systems. In Proceedings of the IGARSS; ESA Publications: Noordwijk, The Netherlands, 1986; pp. 1339–1344. [Google Scholar]
- Davis, C.H. A robust threshold retracking algorithm for measuring ice-sheet surface elevation change from satellite radar altimeters. IEEE Trans. Geosci. Remote Sens. 1997, 35, 974–979. [Google Scholar] [CrossRef]
- Arabsahebi, R.; Voosoghi, B.; Tourian, M.J. The inflection-point retracking algorithm: Improved Jason-2 sea surface heights in the Strait of Hormuz. Mar. Geod. 2018, 41, 331–352. [Google Scholar] [CrossRef]
- Quartly, G.D. Determination of oceanic rain rate and rain cell structure from altimeter waveform data. Part I: Theory. J. Atmos. Ocean. Technol. 1998, 15, 1361–1378. [Google Scholar] [CrossRef]
- Schlembach, F.; Passaro, M.; Quartly, G.D.; Kurekin, A.; Nencioli, F.; Dodet, G.; Piollé, J.-F.; Ardhuin, F.; Bidlot, J.; Schwatke, C.; et al. Round robin assessment of radar altimeter Low Resolution Mode and delay-Doppler retracking algorithms for significant wave height. Remote Sens. 2020, 12, 1254. [Google Scholar] [CrossRef]
- Quartly, G.D. Hyperbolic retracker: Removing bright target artefacts from altimetric waveform data. In Proceedings of the Living Planet Symposium, Bergen, Norway, 28 June–2 July 2010; European Space Agency: Paris, France, 2010. [Google Scholar]
- Peng, F.; Deng, X. Validation of Sentinel-3A SAR mode sea level anomalies around the Australian coastal region. Remote Sens. Environ. 2020, 237, 111548. [Google Scholar] [CrossRef]
- Donlon, C.J.; Cullen, R.; Giulicchi, L.; Vuilleumier, P.; Francis, C.R.; Kuschnerus, M.; Simpson, W.; Bouridah, A.; Caleno, M.; Bertoni, R. The Copernicus Sentinel-6 mission: Enhanced continuity of satellite sea level measurements from space. Remote Sens. Environ. 2021, 258, 112395. [Google Scholar] [CrossRef]
- Raney, R.K. The delay/Doppler radar altimeter. IEEE Trans. Geosci. Remote Sens. 1998, 36, 1578–1588. [Google Scholar] [CrossRef]
- Dinardo, S.; Fenoglio-Marc, L.; Becker, M.; Scharroo, R.; Fernandes, M.J.; Staneva, J.; Grayek, S.; Benveniste, J. A RIP-based SAR retracker and its application in North East Atlantic with Sentinel-3. Adv. Space Res. 2021, 68, 892–929. [Google Scholar] [CrossRef]
- Passaro, M.; Rautiainen, L.; Dettmering, D.; Restano, M.; Hart-Davis, M.G.; Schlembach, F.; Särkkä, J.; Müller, F.L.; Schwatke, C.; Benveniste, J. Validation of an Empirical Subwaveform Retracking Strategy for SAR Altimetry. Remote Sens. 2022, 14, 4122. [Google Scholar] [CrossRef]
- Buchhaupt, C.; Fenoglio-Marc, L.; Dinardo, S.; Scharroo, R.; Becker, M. A fast convolution based waveform model for conventional and unfocused SAR altimetry. Adv. Space Res. 2018, 62, 1445–1463. [Google Scholar] [CrossRef]
- Makhoul, E.; Roca, M.; Ray, C.; Escolà, R.; Garcia-Mondéjar, A. Evaluation of the precision of different Delay-Doppler Processor (DDP) algorithms using CryoSat-2 data over open ocean. Adv. Space Res. 2018, 62, 1464–1478. [Google Scholar] [CrossRef]
- Gao, Q.; Varona, E.M.; Escorihuela, M.J.; Zribi, M.; Quintana-Seguí, P.; Garcia, P.N.; Roca, M. Analysis of Retrackers’ Per-formances and Water Level Retrieval over the Ebro River Basin Using Sentinel-3. Remote Sens. 2019, 11, 718. [Google Scholar] [CrossRef]
- Wingham, D.J.; Francis, C.R.; Baker, S.; Bouzinac, C.; Brockley, D.; Cullen, R.; de Chateau-Thierry, P.; Laxon, S.W.; Mallow, U.; Mavrocordatos, C.; et al. CryoSat: A mission to determine the fluctuations in Earth’s land and marine ice fields. Adv. Space Res. 2006, 37, 841–871. [Google Scholar] [CrossRef]
- Villadsen, H.; Deng, X.; Andersen, O.B.; Stenseng, L.; Nielsen, K.; Knudsen, P. Improved inland water levels from SAR altimetry using novel empirical and physical retrackers. J. Hydrol. 2016, 537, 234–247. [Google Scholar] [CrossRef]
- Dinardo, S.; Fenoglio-Marc, L.; Buchhaupt, C.; Becker, M.; Scharroo, R.; Fernandes, M.J.; Benveniste, J. Coastal SAR and PLRM altimetry in German Bight and West Baltic Sea. Adv. Space Res. 2018, 62, 1371–1404. [Google Scholar] [CrossRef]
- Dinardo, S. Techniques and Applications for Satellite SAR Altimetry over Water, Land and Ice; Technische Universität: Berlin, Germany, 2020; Volume 56. [Google Scholar]
- Garcia, E.S.; Sandwell, D.T.; Smith, W.H. Retracking CryoSat-2, Envisat and Jason-1 radar altimetry waveforms for improved gravity field recovery. Geophys. J. Int. 2014, 196, 1402–1422. [Google Scholar] [CrossRef]
- Donlon, C.; Berruti, B.; Buongiorno, A.; Ferreira, M.-H.; Féménias, P.; Frerick, J.; Goryl, P.; Klein, U.; Laur, H.; Mavrocordatos, C.; et al. The global monitoring for environment and security (GMES) sentinel-3 mission. Remote Sens. Environ. 2012, 120, 37–57. [Google Scholar] [CrossRef]
- Temme, N.M. Parabolic Cylinder Functions, Chapter. 12. In NIST Handbook of Mathematical Functions; Cambridge University Press: Cambridge, UK, 2010; pp. 303–319. [Google Scholar]
- Xu, X.Y.; Xu, K.; Wang, Z.Z.; Liu, H.G.; Wang, L. Compensating the PTR and LPF features of the HY-2A satellite altimeter utilizing look-up tables. IEEE J. Sel. Topics Appl. Earth Observ. Remote Sens. 2015, 8, 149–159. [Google Scholar] [CrossRef]
- Deng, X.; Featherstone, W.E. A coastal retracking system for satellite radar altimeter waveforms: Application to ERS-2 around Australia. J. Geophys. Res. 2006, 111, C06012. [Google Scholar] [CrossRef]
- Ray, C.; Martin-Puig, C.; Clarizia, M.P.; Ruffini, G.; Dinardo, S.; Gommenginger, C.; Benveniste, J. SAR altimeter backscattered waveform model. IEEE Trans. Geosci. Remote Sens. 2014, 53, 911–919. [Google Scholar] [CrossRef]
- Zhang, J.; Chen, X.; Khan, A.; Zhang, Y.-K.; Kuang, X.; Liang, X.; Taccari, M.L.; Nuttall, J. Daily runoff forecasting by deep recursive neural network. J. Hydrol. 2021, 596, 126067. [Google Scholar] [CrossRef]
- Längkvist, M.; Karlsson, L.; Loutfi, A. A review of unsupervised feature learning and deep learning for time-series modeling. Pattern Recognit. Lett. 2014, 42, 11–24. [Google Scholar] [CrossRef]
- Chung, J.; Kastner, K.; Dinh, L.; Goel, K.; Courville, A.C.; Bengio, Y. A Recurrent Latent Variable Model for Sequential Data. arXiv 2015, arXiv:1506.02216. [Google Scholar]
- Donahue, J.; Anne Hendricks, L.; Guadarrama, S.; Rohrbach, M.; Venugopalan, S.; Saenko, K.; Darrell, T. Long-term recurrent convolutional networks for visual recognition and description. In Proceedings of the 2015 IEEE Conference on Computer Vision and Pattern Recognition (CVPR), Boston, MA, USA, 7–12 June 2015; pp. 2625–2634. [Google Scholar]
- Zang, J.; Wang, L.; Liu, Z.; Zhang, Q.; Hua, G.; Zheng, N. Attention-based temporal weighted convolutional neural network for action recognition. In Proceedings of the Artificial Intelligence Applications and Innovations: 14th IFIP WG 12.5 International Conference, AIAI 2018, Rhodes, Greece, 25–27 May 2018; pp. 97–108. [Google Scholar]
- Cho, K.; Van Merriënboer, B.; Gulcehre, C.; Bahdanau, D.; Bougares, F.; Schwenk, H.; Bengio, Y. Learning phrase represen-tations using RNN encoder-decoder for statistical machine translation. arXiv 2014, arXiv:1406.1078 2014. [Google Scholar]
- Sandwell, D.T.; Smith, W.H.F. Retracking ERS-1 altimeter waveforms for optimal gravity field recovery. Geophys. J. Int. 2005, 163, 79–89. [Google Scholar] [CrossRef]
- Box, G.E.; Draper, N.R. Empirical Model-Building and Response Surfaces; John Wiley & Sons: Hoboken, NJ, USA, 1987. [Google Scholar]
- Halimi, A.; Mailhes, C.; Tourneret, J.-Y.; Snoussi, H. Bayesian estimation of smooth altimetric parameters: Application to conventional and delay/Doppler altimetry. IEEE Trans. Geosci. Remote Sens. 2015, 54, 2207–2219. [Google Scholar] [CrossRef]
- Xu, X.-Y.; Birol, F.; Cazenave, A. Evaluation of Coastal Sea Level Offshore Hong Kong from Jason-2 Altimetry. Remote Sens. 2018, 10, 282. [Google Scholar] [CrossRef]
- Huang, Z.; Wang, H.; Luo, Z.; Shum, C.K.; Tseng, K.-H.; Zhong, B. Improving Jason-2 Sea Surface Heights within 10 km Offshore by Retracking Decontaminated Waveforms. Remote Sens. 2017, 9, 1077. [Google Scholar] [CrossRef]





















| z | 0.1 | 0.2 | 0.3 | 0.4 | 0.5 | 0.6 | 0.7 | 0.8 | |
|---|---|---|---|---|---|---|---|---|---|
| a | |||||||||
| 0.5 | 0.1491 | 0.1581 | 0.1690 | 0.1826 | 0.2 | 0.2238 | 0.2583 | 0.3164 | |
| −0.5 | 0.0008 | −0.0010 | −0.0012 | −0.0015 | −0.0020 | 0.0028 | −0.0043 | −0.0079 | |
| Analog Waveform Form | Algorithm | Number of Waveforms Successfully Processed | Total Time(s) | Average Time (s) |
|---|---|---|---|---|
| LRM | MLE3 | 8392 | 89 | 0.00917 |
| SAR | SAMOSA-semi-analytical model | 9541 | 1032 | 0.1082 |
| SAR | SAMOSA2 model | 9532 | 583 | 0.0612 |
| SAR | Parabolic cylinder-analytical form | 9607 | 420 | 0.0437 |
| SAR | Parabolic cylinder-LUTs | 9607 | 118 | 0.0111 |
| Area | Distance to Coast/km | Retrackers | |||||
|---|---|---|---|---|---|---|---|
| MLE3 | ALES+ | MOPCA | CryoSat | MWAPP | SAMOSA+ | ||
| HK–Wanshan Archipelago | 0~1 | 34.54% | 41.02% | 62.00% | 50.41% | 52.29% | 59.01% |
| 1~2 | 42.22% | 52.47% | 79.32% | 70.47% | 74.59% | 73.15% | |
| 2~4 | 82.46% | 85.12% | 92.18% | 89.70% | 88.31% | 90.20% | |
| 4~6 | 92.54% | 93.58% | 96.78% | 94.23% | 93.93% | 95.52% | |
| 6~8 | 94.03% | 95.03% | 97.89% | 95.44% | 95.62% | 97.31% | |
| 8~10 | 94.53% | 96.38% | 98.71% | 96.29% | 96.01% | 98.34% | |
| 10~15 | 95.47% | 97.23% | 98.93% | 97.16% | 97.74% | 99.03% | |
| 15~20 | 96.57% | 98.65% | 99.17% | 99.35% | 98.97% | 99.55% | |
| Qianliyan Island | 0~1 | 38.26% | 43.21% | 64.20% | 51.26% | 53.03% | 59.25% |
| 1~2 | 44.19% | 56.10% | 80.16% | 72.19% | 74.93% | 75.28% | |
| 2~4 | 84.07% | 86.33% | 91.90% | 89.11% | 89.24% | 90.98% | |
| 4~6 | 93.54% | 92.89% | 96.42% | 95.04% | 94.21% | 95.77% | |
| 6~8 | 94.61% | 96.04% | 98.28% | 96.05% | 95.97% | 97.09% | |
| 8~10 | 94.52% | 96.31% | 98.94% | 96.64% | 97.01% | 98.64% | |
| 10~15 | 95.27% | 97.19% | 98.91% | 97.23% | 97.54% | 99.18% | |
| 15~20 | 97.37% | 98.23% | 99.35% | 98.72% | 98.15% | 99.57% | |
| Distance to Coast (km) | MLE3 (LRM) | ALES+ (LRM) | MOPCA (SAR) | CryoSat (SAR) | MWAPP (SAR) | SAMOSA+ (SAR) |
|---|---|---|---|---|---|---|
| 0–5 | 12.24 | 8.34 | 3.13 | 7.31 | 8.78 | 6.63 |
| 5–10 | 9.51 | 7.0 | 2.52 | 5.96 | 4.27 | 4.72 |
| 10–15 | 8.29 | 6.63 | 2.03 | 3.67 | 3.91 | 1.73 |
| 15–20 | 4.59 | 4.92 | 1.87 | 3.06 | 3.62 | 1.67 |
Disclaimer/Publisher’s Note: The statements, opinions and data contained in all publications are solely those of the individual author(s) and contributor(s) and not of MDPI and/or the editor(s). MDPI and/or the editor(s) disclaim responsibility for any injury to people or property resulting from any ideas, methods, instructions or products referred to in the content. |
© 2023 by the authors. Licensee MDPI, Basel, Switzerland. This article is an open access article distributed under the terms and conditions of the Creative Commons Attribution (CC BY) license (https://creativecommons.org/licenses/by/4.0/).
Share and Cite
Zheng, J.; Xu, X.-Y.; Xu, Y.; Guo, C. Coastal Waveform Retracking for Synthetic Aperture Altimeters Using a Multiple Optimization Parabolic Cylinder Algorithm. Remote Sens. 2023, 15, 4665. https://doi.org/10.3390/rs15194665
Zheng J, Xu X-Y, Xu Y, Guo C. Coastal Waveform Retracking for Synthetic Aperture Altimeters Using a Multiple Optimization Parabolic Cylinder Algorithm. Remote Sensing. 2023; 15(19):4665. https://doi.org/10.3390/rs15194665
Chicago/Turabian StyleZheng, Jincheng, Xi-Yu Xu, Ying Xu, and Chang Guo. 2023. "Coastal Waveform Retracking for Synthetic Aperture Altimeters Using a Multiple Optimization Parabolic Cylinder Algorithm" Remote Sensing 15, no. 19: 4665. https://doi.org/10.3390/rs15194665
APA StyleZheng, J., Xu, X.-Y., Xu, Y., & Guo, C. (2023). Coastal Waveform Retracking for Synthetic Aperture Altimeters Using a Multiple Optimization Parabolic Cylinder Algorithm. Remote Sensing, 15(19), 4665. https://doi.org/10.3390/rs15194665
