Abstract
This article presents a high-precision airborne video synthetic aperture radar (SAR) raw echo simulation method aimed at addressing the issue of simulation accuracy in video SAR image generation. The proposed method employs separate techniques for simulating targets and ground clutter, utilizing pre-existing SAR images for clutter simulation and employing the shooting and bouncing rays (SBR) approach to generate target echoes. Additionally, the method accounts for target-generated shadows to enhance the realism of the simulation results. The fast simulation algorithm is implemented using the C++ programming language and the Accelerated Massive Parallelism (AMP) framework, providing a fusion technique for integrating clutter and target simulations. By combining the two types of simulated data to form the final SAR image, the method achieves efficient and accurate simulation technology. Experimental results demonstrate that this method not only improves computational speed but also ensures the accuracy and stability of the simulation outcomes. This research holds significant implications for the development of algorithms pertaining to video SAR target detection and tracking, providing robust support for practical applications.
1. Introduction
In comparison, traditional SAR can only provide static images, making it difficult to detect and track the motion of target objects [1,2]. Video SAR technology combines multiple frames of SAR images to form videos, which enhances the recognition ability of the motion state of target objects and improves the accuracy in reflecting their status. With the development of video SAR technology, researching its technical aspects has become significantly important. Currently, there are difficulties in acquiring video SAR data for multiple targets from various angles. Furthermore, many SAR images of specific targets cannot be obtained, greatly limiting the research on unknown target characteristics. Additionally, the high frame rate characteristic of video SAR imposes limitations on the complexity of simulation algorithms. Therefore, an efficient and high-fidelity video SAR data simulation algorithm is required to meet the needs of different application scenarios. Processing and analyzing simulated data can help researchers gain a deeper understanding of the characteristics and patterns of video SAR data, providing a foundation and guidance for algorithm and technology research [3,4,5,6,7].
Currently, SAR image simulation methods can be classified into time-domain and frequency-domain approaches. Among them, time-domain methods mainly include clutter simulation methods based on statistical models [8], backscatter simulation methods based on measured SAR images, and SAR image simulation methods based on digital elevation models (DEMs) [9,10], which are mainly aimed at simulating large-scene SAR images and have the advantage of low algorithm complexity. Frequency-domain methods mainly include finite-difference time-domain (FDTD) [11,12,13], method of moments (MOM) [14,15,16], physical optics (PO), geometric optics (GO), and SBR methods [17,18,19]. These methods calculate the frequency-domain response of the target to obtain the SAR image and have the characteristics of high algorithm complexity and high calculation accuracy [20]. In [21], the authors proposed a DEM-based ground clutter simulation method, which can simulate non-uniform ground-cluttered SAR images. However, this method relies on the accuracy of the scattering coefficient model, and it is difficult to ensure its authenticity due to various factors affecting the ground scattering coefficient. In [22], the authors proposed a fast multi-view RCS simulation method based on the SBR method, which uses parallel computing technology and distributes tasks to multiple CPUs to improve computational efficiency for fast simulation. However, this application only focuses on target simulation and does not consider the impact of targets in the scene. In [23], the authors proposed an electromagnetic scattering simulation technique based on a hybrid method, which is used to study the characteristics of composite target–ground models. However, this method modifies the target’s 3D structure directly to obtain the target’s state on the ground and uses SBR to obtain SAR imaging of the small area of the target and ground. This method has high complexity and cannot adapt to multiple scenes. In [24], the authors proposed a PO-GO hybrid method to simulate complex ship targets and superimpose simulated sea clutter echoes using a statistical model. This algorithm effectively addresses the SAR image simulation problem of large and complex targets and extended sea clutter in the marine environment. However, this method does not consider the shadow generated by the target, and its authenticity cannot be guaranteed.
Therefore, this paper proposes a high-precision and efficient video SAR image simulation algorithm that utilizes the backscattering coefficients of the measured SAR image to simulate the background echoes, resulting in more realistic clutter background. The target echoes are simulated using the SBR method, which is a high-precision and efficient frequency-domain simulation algorithm that is suitable for various complex models, as it is a forward tracking method that does not lead to singular values. Ultimately, the complexity of the background echo simulation was reduced by adopting the concentric circle method, further improving the efficiency of the algorithm. The algorithm integrates the scene echoes, target shadows, and target echoes by ray tracing to compute the target shadow region, ensuring the authenticity and efficiency of the simulated results. This algorithm can simulate video SAR images under non-uniform backgrounds, providing a reliable source of data for the research on video SAR technology. Finally, the simulated imaging results were compared and analyzed with the MSTAR real data. The results indicate that the proposed algorithm can accurately restore the target information in the actual scene, meeting the requirements of high-precision and high-efficiency video SAR target simulation.
2. Principle of Rapid Simulation of Background Echoes under the Influence of Target Shadow
This chapter presents a methodology for efficiently simulating background clutter echoes in the presence of shadow marking. The proposed approach involves extracting the backscattering model of scattered points within the target scene and simulating single-point echo signals based on the radar’s motion trajectory and the “stop-and-go” model [25]. Ultimately, the radar signal can be regarded as the linear superposition of all the scatter point echo signals. The spatial geometric model of SAR primarily comprises elements such as the Cartesian coordinate system, antenna position, and orientation. These elements collectively constitute the physical model of the SAR system, providing a foundation for subsequent SAR echo signal modeling [26]. The SAR echo signal model describes the echo signals generated by the continuous wave transmitted by the radar through various stages, including transmission and reception.
2.1. Spatial Geometric Model of SAR
By employing the “stop-and-go” model, simulation algorithms can adapt to both spotlight SAR and strip-map SAR modes by adjusting the beam pointing direction for each pulse. The spotlight SAR mode, known for its high frame rate, demonstrates superior performance in motion target tracking. Therefore, this study presents a three-dimensional geometric model of the simulation algorithm using the spotlight SAR mode as an example. In the spotlight SAR mode, the beam continuously points towards the imaging area, enabling real-time observation of the region. As illustrated in Figure 1, the aircraft flies along the y-axis with a velocity of v and a flying height of H in the spotlight SAR mode. represents the moment, denotes the aircraft coordinates at time , signifies the slant angle of the radar at time , and indicates the coordinates of M scatter centers. The coordinate origin O is set as the scene center.
Figure 1.
The schematic diagram of a three-dimensional scene.
In the SAR imaging mode with spotlight configuration, the radar beam remains directed towards the scene center. Here, represents the azimuth vector of the radar beam at time , represents the straight-line distance from the radar to the mth scattering center at time , and represents the direction vector from the radar to the mth scattering center at time .
2.2. Modeling Background Echo Signals
In the application of SAR radar, a linear frequency modulation (LFM) signal is commonly used as the radar transmission signal, and the baseband signal can be expressed by the following formula:
where represents the rectangular window function, represents the pulse width, represents the frequency of the LFM signal, and B represents the LFM bandwidth. After modulation by the scattering center , the radar echo baseband signal can be expressed as follows:
In this equation, represents the backscatter coefficient of the scatter point, represents the carrier frequency, represents the delay between the target and the radar, c represents the speed of light, and represents the weighting factor in the antenna direction. In this case, we assume that the antenna beam is circular and the direction diagram is represented by a function as follows:
where a represents the coefficient of the directional pattern, which is used to control the antenna beam angle, and represents the angular error of with respect to the beam center. We can use the following formula to obtain the pulse echo signal by adding the echo signals from each scatter point:
where M denotes the number of scene scatter points. The raw echo is the combination of echo signals at each moment and can be expressed by the following formula:
The raw echo is composed of the combination of echo signals at each moment. Due to the fact that the echo is the result of the linear superposition of all points, GPU programming can be conveniently utilized for efficient computation. By employing multi-threading to superimpose the echo signals from each scattering center, further improvement in computational efficiency can be achieved. Nevertheless, due to the vastness of the scene and the enormous number of scattering points, the computational efficiency remains relatively low even with GPU acceleration. Therefore, the concentric circle method [27] can be employed to further simplify the computation. Specifically, the imaging scene is divided into multiple distance bands using concentric circles, as illustrated in Figure 2, where represents the distance difference between adjacent concentric bands, while denotes the sampling rate in the fast time domain of the radar. During the process of discretizing the echo signals, the scattering points within each band are accumulated into a distance unit. Finally, the convolution of linear frequency modulation signals yields the ultimate result of the echo.
Figure 2.
Concentric circle distance approximation schematic diagram.
Due to the high sensitivity of the phase in the azimuth dimension of SAR echoes to the target, it is necessary to avoid approximating the delay in the azimuth dimension. After approximating the concentric circles, the echo from a single scattering center before convolution of the LFM signal can be expressed using the following formula.
where represents the delayed time after approximation, . represents the impulse function. For the purpose of convenient integration with the target, we temporarily exclude the addition of the linear frequency modulated signal in this stage.
2.3. Achieving Shadow Region Segmentation
Actually, the simulation of SAR image background echoes through practical measurement discretizes the background into multiple scattering centers. The shadow region represents the collection of scattering centers that are occluded by the target. In computer science, the target model is composed of a large number of spatial triangles. Therefore, determining whether a scattering center is occluded can be achieved by assessing whether the ray with point as its starting point and direction vector is occluded by the target. The schematic diagram of the scene is shown in the Figure 3.
Figure 3.
Three-dimensional illustration depicting occlusion relationship.
In order to rapidly determine whether a ray is occluded by a target, we can construct a Bounding Volume Hierarchy (BVH) structure to efficiently index all spatial triangles of the target. Specifically, this involves enclosing all spatial triangles within axis-aligned bounding boxes (AABBs), each represented by points and , which denote, respectively, the minimum and maximum vertex coordinates of the AABB. Subsequently, the final BVH structure is built by hierarchically enclosing two AABBs within another AABB, as illustrated in Figure 4.
Figure 4.
Illustrative diagram for BVH structure construction.
With the aid of the BVH index structure, we can reduce the computational complexity of ray occlusion calculations to a logarithmic relationship with the number of triangular facets in the target space. Initially, the slab collision detection algorithm is employed to determine whether the ray intersects with the AABB. If the ray originates from point and has a direction vector , the relationship between the ray and AABB is illustrated in Figure 5.
Figure 5.
Schematic diagram of the relationship between ray and AABB.
In Figure 5, the blue and green dots represent the intersection points of the ray with the AABB in the x- and y-directions, respectively. It is possible to determine whether the ray passes through the AABB by checking whether the blue interval and the green interval overlap. Based on this principle, a mathematical expression can be derived to determine whether a ray in a three-dimensional coordinate system intersects with an AABB. Specifically, first, the distance from along the ray direction to the six boundaries of the AABB is computed as follows:
Next, it is necessary to check . If this is true, then the ray intersects with the AABB. Then, we recursively search for all triangle patches that intersect with the ray and obtain the closest one for collision detection. The Möller–Trumbore algorithm can be used to quickly compute the intersection points of the ray and the triangle patch in three-dimensional coordinates, which can be solved using the following equation:
where R represents the distance from the ray to the intersection point, and , , represent the coordinates of the three vertices of the triangle. and are the adjustment coefficients for a corresponding point inside the triangle. Solving this equation yields
where , , , , and . Finally, if the following discriminant is satisfied, it can be proven that the ray intersects with the triangle.
If the ray starting from point and in the direction of vector intersects with any triangle, it indicates that at time , the scattering center belongs to the occluded region, and all scattering centers in the shadow region are represented by set . Therefore, the echo of the shadow region at time can be expressed using the following formula:
3. Principles of SAR Target Simulation for Video Applications
The present study adopts the SBR method for target simulation, primarily utilized in computing the propagation and reflection of electromagnetic waves in complex environments. In the preceding sections, to expedite the calculation of shadow regions, we established a BVH structure. With the aid of a hierarchical indexing structure, we can efficiently compute the intersection points and reflection direction vectors between rays and triangular facets using the Möller–Trumbore algorithm. By subsequently aggregating the electromagnetic radar cross-section (RCS) of all rays, we obtain the final RCS value.
3.1. Ray Tracing Principle Explanation
Firstly, we need to calculate the incident wave direction from the current perspective. The simulated target echo in the context of the scene and target motion not only depends on the relative position between the radar and the target but also is influenced by the target’s own rotation angle. By computing the relative positions of the radar and the target in three-dimensional space, we can obtain the unit vector representing the initial incident wave direction, where represents the target’s center coordinates at time . The azimuth and elevation rotation angles of the target are denoted by and , respectively. According to the Euler angle rotation theorem, the rotation matrix can be obtained:
thereby calculating the coordinates of the target AABB and the triangle mesh at each time step.
where represents the quantity of AABB, represents the quantity of triangular faces, and represents the coordinates of the three vertices of each triangular face.
Next, based on the wavelength, we design a densely packed set of rays to simulate the propagation process of incident waves in the target’s geometric structure. When constructing the AABB, the maximum radius and geometric center of the target can be obtained. In order to reserve enough space, we will place the center of the constructed ray tube plane at the maximum diameter of the target along the direction of the incident wave with respect to the geometric center, as shown in Figure 6.
Figure 6.
The illustration of spatial relationship between the center of the ray plane and AABB.
Then, in order to find the first triangle that intersects with the ray, we utilize the algorithm mentioned earlier to recursively search for all intersecting triangle faces. Finally, we identify the triangle with the shortest collision distance as the intersected triangle. Subsequently, we can calculate the reflection direction vector using the three-dimensional specular reflection formula, and solve for the reflection vector and starting point using the following equation.
where represents the unit vector in the direction of reflection, and denotes the unit normal vector of the surface patch. P represents the starting point of the ray, represents the point of impact, which is also the starting point of the new ray after the collision, and signifies the minimum collision distance.
Based on the aforementioned algorithm, we perform ray tracing on a single ray to obtain the path results after m reflections. Each reflection involves the accumulation of path distance, updating the point of impact and the direction of reflection, as well as recording the number of reflections. Finally, the backscattering coefficient of the ray is calculated based on the tracing results.
3.2. Principle of Calculation for Backward Scattering Coefficient of Target
The principle of calculation for the backward scattering coefficient of a target uses methods described in references [28,29,30]. The backward scattering field can be obtained by computing the electric and magnetic fields of all effective ray tubes. At the observation point , the backward scattering field of the target can be calculated using the following formula:
where
where represents the wave number in free space, and , , represent, respectively, the unit vectors in the x, y, and z directions of three-dimensional space. and are related to the electric and magnetic fields, and Equation (15) can be obtained by a surface integral:
In order to obtain accurate results, it is necessary to use a sufficiently dense number of ray tubes to perform the computation. Typically, each linear wavelength can be approximated using ten ray tubes, which allows the integral equation to be approximated as follows:
where represents the unit direction vector of the reflected light ray, represents the surface normal vector of the reflection element, represents the area of the reflection ray tube, and represents the tracking ray distance. represents the electric field at point A, and represents the magnetic field at point A. Let and be defined as follows:
3.3. Simulation of the Raw Echo of a Target
We acquired the frequency response of the model at different angles and frequencies using ray tracing. To facilitate the fusion of targets and scenes, we used the frequency-domain signal of the scene echo as the reference signal for target simulation. Specifically, the frequency-domain response of the target can be simulated according to the frequency points of the background in the frequency domain. The frequency points of the background are as follows:
To accelerate the simulation speed, ray tracing is only required once for the same radar viewpoint. For accuracy, we use the maximum frequency point to calculate the ray tube. At this point:
where represents the number of ray tubes, represents the number of unit wavelength ray tubes, and represents the maximum radius of the target, which can be obtained during the BVH construction process. represents the minimum wavelength, which is calculated based on the maximum frequency point. represents the initial area of the ray tube.
The frequency-domain response obtained through SBR is used to generate the frequency-domain response of the target with respect to changes in the radar viewpoint, denoted as . Finally, we calculate the frequency-domain response of the target under the corresponding slow time and add the target phase using the following equation:
where represents the time compensation required for fusing the target with the background, which is calculated based on the round-trip propagation time of SAR. Since, in our proposed method, the simulated target is located at the maximum radius of the target, its position in the background is related to the AABB radius, the starting time of the pulse repetition interval, and the distance between the target and the radar. Therefore, it can be concluded that , where denotes the starting moment of the fast time.
4. Methodology for GPU-Based Acceleration Implementation
Most simulation algorithms typically utilize linear superposition for parallel acceleration, facilitating GPU acceleration. Through the use of GPUs, we can parallelly process the extensive ray tracing computations in SBR, as well as the numerous scattering centers in background simulation, thereby enhancing simulation efficiency. Our choice is to employ AMP programming, which offers the advantage of leveraging all GPUs supporting the DX11 architecture to accelerate the program. In the context of background simulation, since the background is a linear superposition of all scattering centers, different threads can be utilized to compute each scattering center and their echoes can be accumulated together through atomic addition. The detailed flowchart is illustrated in Figure 7.
Figure 7.
A GPU-based background fast simulation workflow diagram.
The goal of simulation is to calculate the sum of the backscattering coefficients obtained from all rays. GPU acceleration can also be utilized, and different threads can be used for tracing all the rays. Finally, atomic addition calculation is performed based on the scattering coefficients of each ray at different frequency points, resulting in the scattering coefficients of all frequency points under a specific azimuth angle. Ultimately, repetitive calculations are conducted for all azimuth angles to obtain the desired target echo. However, when there are too many rays, the use of atomic addition can lead to performance degradation. To improve the addition performance, multiple memories can be employed to represent the cumulative results of scattering coefficients for all rays. This approach helps avoid simultaneous accumulation by multiple threads on the same address, thereby enhancing performance. The flowchart of the target simulation program is illustrated in Figure 8.
Figure 8.
Flowchart of GPU-based target rapid simulation algorithm.
In the end, we will linearly combine the target echo and background echo by employing frequency-domain multiplication to superimpose the linearly chirped signal onto the final raw SAR echo. The resulting signal flow diagram of the raw SAR echo video generation is illustrated in Figure 9.
Figure 9.
GPU-based video SAR simulation algorithm workflow diagram.
The flowchart of the fusion program for background and targets is depicted in Figure 10.
Figure 10.
Flowchart of the integration program for background and targets.
5. Numerical Simulation Results
5.1. Simulated Results of MSTAR Data
In order to validate the accuracy of this simulation method, we opted to compare our results with those presented in reference [23]. However, due to the unavailability of an exact ZSU-23 digital model in our laboratory, we selected the T62 tank as our simulated target and compared its simulation results with the measured data from the MSTAR dataset. The 3D model of the T62 tank is shown in Figure 11.
Figure 11.
The 3D model of the T62.
We evaluate the quality of the simulation results by calculating the correlation coefficient between the target and its shadow area images in both the MSTAR data and simulated data, with the specific formula as follows:
where A and B refer to the MSTAR image and the simulated image after normalization by norm, respectively.
The signal parameters of the MSTAR simulation are presented in Table 1.
Table 1.
Simulation parameters.
The comparison between the simulation results of reference [23] and the MSTAR data is illustrated in Figure 12.
Figure 12.
Comparison between simulated image and MSTAR image. (a) MSTAR image at . (b) Simulation image at . (c) MSTAR image at . (d) Simulation image at .
denotes the azimuth angle of the target. The amplitude distributions of simulated results from reference [23] and MSTAR data are illustrated in Figure 13.
Figure 13.
Comparison of amplitude distributions between simulated images and MSTAR data. (a) Comparison of amplitude distributions between simulated image and MSTAR data at . (b) Comparison of amplitude distributions between simulated image and MSTAR data at .
A comparison of simulated results with MSTAR data using our method is illustrated in Figure 14.
Figure 14.
Comparison between simulated image and MSTAR image. (a) MSTAR image at . (b) Simulation image at . (c) MSTAR image at . (d) Simulation image at .
The amplitude distributions of the proposed simulation results and MSTAR data in this Study are illustrated in Figure 15.
Figure 15.
Comparison of amplitude distributions between simulated images and MSTAR data. (a) Comparison of amplitude distributions between simulated image and MSTAR data at . (b) Comparison of amplitude distributions between simulated image and MSTAR data at .
The similarity between simulation results and MSTAR captured images is presented in Table 2.
Table 2.
Comparison results of simulated images and MSTAR.
5.2. Simulation of Video SAR under Non-Uniform Background
To validate the applicability of this method in various scenarios, we employed it to generate a set of SAR images containing unknown targets under non-uniform clutter. To assess the similarity between the simulated background clutter and the distribution of measured data, the cosine similarity formula can be utilized to compare the distribution of the measured and simulated data. The formula is as follows:
where f represents the distribution vector of the measured data, while g represents the distribution vector of the simulated data. To conduct experimental evaluations, we utilized SAR data acquired by the X-band airborne SAR system at the School of Electronic Science, National University of Defense Technology, China, as shown in Figure 16. Within this dataset, we specifically selected a flat terrain region in the middle for analysis.
Figure 16.
Measured SAR data.
The signal parameters are shown in the Table 3.
Table 3.
Measured SAR image parameters.
The parameters of the simulation design are shown in Table 4.
Table 4.
Simulation parameters.
To facilitate a comparison of the simulation results for concentric circles under different range bandwidths, the findings are presented in Figure 17.
Figure 17.
Diagram of the simulated results for concentric circles. (a) Diagram of the simulated results for concentric circles at BW. (b) Diagram of the simulated results for concentric circles at BW. (c) Diagram of the simulated results for concentric circles at BW. (d) Diagram of the simulated results for concentric circles at BW.
The comparison of the magnitude distribution with the original SAR image is illustrated in Figure 18.
Figure 18.
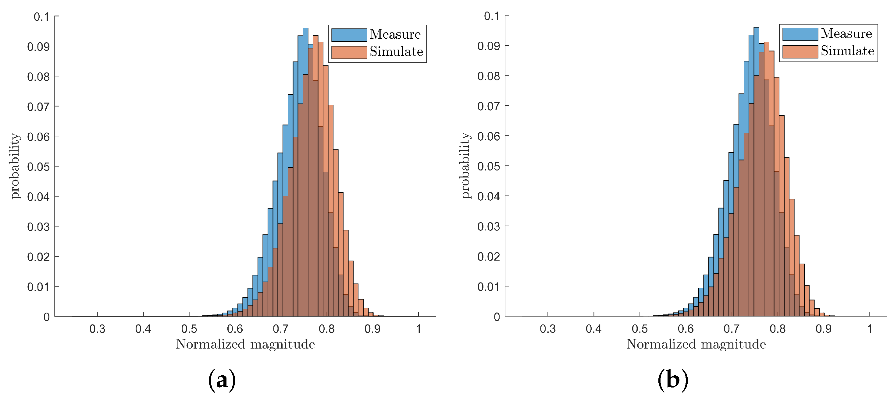
Diagram depicting the results of the magnitude distribution comparison. (a) Diagram illustrating the results of the magnitude distribution comparison at BW. (b) Diagram illustrating the results of the magnitude distribution comparison at BW. (c) Diagram illustrating the results of the magnitude distribution comparison at BW. (d) Diagram illustrating the results of the magnitude distribution comparison at BW.
The cosine similarity with the magnitude distribution of the original SAR image is presented in Table 5.
Table 5.
Cosine similarity of the magnitude distribution.
In order to validate the effectiveness of the concentric circle simulation, we compared the imaging results of the original backscattered echoes from the background obtained using the concentric circle simulation at BW with the results obtained using a non-approximated simulation algorithm. The comparison is illustrated in Figure 19.
Figure 19.
Comparison of SAR images using different methods. (a) The empirically measured SAR image. (b) SAR image simulation based on the method of concentric circles. (c) SAR image generation based on time-domain simulation method.
The comparative plot of the magnitude distribution with the original SAR image is illustrated in Figure 20.
Figure 20.
Diagram depicting the results of the magnitude distribution comparison. (a) Concentric circles. (b) Time-domain simulation method.
The simulation time for a single frame using the concentric circle method and the time-domain simulation method is shown in Table 6.
Table 6.
Runtime of concentric circles algorithm and traditional simulation algorithm.
At this juncture, the cosine similarity with the original SAR image is presented in Table 7.
Table 7.
Cosine similarity of the magnitude distribution.
Next, the unknown target SAR image is merged with the clutter background. The simulated target chosen for this purpose is the M1A1 tank, as depicted in Figure 21, which represents its 3D model.
Figure 21.
The 3D model of the target.
As shown in Figure 22, stationary targets are placed in the scene for SAR imaging, where the consideration of target shadows is taken into account.
Figure 22.
SAR imaging with consideration of target shadows.
As illustrated in Figure 23, the results of SAR imaging are presented without considering the target shadows.
Figure 23.
SAR imaging without consideration of target shadows.
6. Discussion
6.1. Simulated Results of MSTAR Data
Based on Figure 12, it can be observed that the simulation method described in [23] fails to adequately preserve the characteristics of the target, and there exist significant differences between the shadow regions in the simulated images and the actual target shadow regions. Additionally, as depicted in Figure 13, the similarity between the background distribution in RF-based simulation and the background distribution in measured data is significantly low, indicating a lack of fidelity. Through Figure 14, it is evident that the proposed method in this study is capable of accurately preserving the realistic target characteristics while achieving more precise restoration of target shadows. Furthermore, according to Figure 15, the proposed method in this study exhibits a high degree of fidelity by demonstrating a significant similarity between the simulated background distribution and the background distribution observed in measured data. By conducting a comparative analysis with other methodologies, the effectiveness of the proposed simulation method in this study can be validated.
The proposed method in this paper adopts a separate simulation approach for generating video SAR echoes of the background and targets, which closely approximates measured data compared to traditional methods. The advantage of this approach lies in its ability to more accurately simulate the background and target interferences in real-world environments, making the generated video SAR echoes closer to the actual observed data. In contrast to traditional methods that typically simulate the background and targets together, which overlooks the variability of the background, the proposed method recognizes the mutual interactions affected by various factors between the background and targets. By separating the simulation of the background and targets, the proposed method can better capture their mutual interferences and produce more realistic video SAR echoes. Furthermore, the proposed method is capable of simulating the target’s echo characteristics under different background conditions more effectively. By separating the simulation of the background and targets, the relative relationship between the scene and targets can be adjusted based on the target’s characteristics and environmental changes, thereby better aligning with the actual observed data. Consequently, the generated video SAR echoes can more accurately reflect information such as the shape, position, and scattering characteristics of the targets.
Overall, the simulation results obtained using the proposed approach in this study exhibit greater similarity to the measured data, thereby demonstrating the benefits of separately simulating the background and target for acquiring more realistic and reliable background information. Moreover, the application of the proposed method for incorporating target shadows has been proven to be reliable and effective.
6.2. Simulation of Video SAR under Non-Uniform Background
The concentric circle approximation method approximates the distances between scattering centers in a given scene to their true distances by employing a series of distance bands. In a discrete system, the amplitudes of scattering centers within each distance band can be summed, and the original radar echoes can be recovered using convolutional linear frequency modulation for the purpose of echo simulation. Consequently, compared to traditional methods, the concentric circle approximation method significantly reduces algorithmic complexity. This paper demonstrates the advantages of the concentric circle approximation method by comparing its simulation results with those of traditional methods. Additionally, based on the principle of concentric circles, the key aspect of the concentric circle approximation method lies in determining the width of the distance bands. This width must be a certain multiple of the signal bandwidth in order to accurately simulate the characteristics of the original echo signal in the time domain. A larger width of the distance band could result in more loss of distance information, thus impacting the accuracy of the simulation. Conversely, a smaller width may lead to excessive algorithmic complexity without significant benefits. Therefore, the selection of an appropriate width for the distance band is of paramount importance in the concentric circle approximation method. This paper demonstrates through simulations with various sets of distance band parameters that achieving satisfactory simulation performance only requires the width of the distance band to satisfy a certain multiple of the signal bandwidth.
As evident from Figure 17 and Figure 18, the simulated method of approximating background clutter with concentric circles enables the acquisition of more realistic clutter images from measured SAR data. The distribution closely reproduces the original clutter distribution, albeit with a slight offset. This discrepancy arises because certain energy components fail to aggregate completely in the imaging algorithm, resulting in a dispersed energy distribution in the simulated image post-processing. Based on Table 5, it can be observed that reducing the distance bandwidth of the concentric circles has minimal impact on improving the quality of the simulated image. Consequently, in practical simulations, the distance bandwidth of the concentric circles can be set based on the system’s sampling rate.
From Table 6 and Table 7, it can be observed that even with minimal loss in accuracy, the concentric circle method achieves significant improvement in simulation time. This is because in the concentric circle method, each scattering center can be represented by an impulse response, while traditional methods represent each scattering center using linear frequency modulation signals of certain width, which carry different phase information. However, in practical radar systems, the distance resolution of the actual signal is influenced by the bandwidth limitation. By controlling the error within half of the distance resolution, the impact introduced by the approximation in the concentric circle method is negligible. Therefore, the utilization of the concentric circle algorithm to achieve rapid simulation is indeed necessary.
By examining Figure 22 and Figure 23, it can be inferred that the shadow contains the shape characteristics of the target, which can enhance the accuracy of the recognition algorithm. Additionally, in the case of target motion, actual SAR imaging exhibits certain defocusing effects, and combining the target shadow information can improve the performance of detection algorithms. Target shadows are significant features of the target in practical scenarios, and they can be utilized for detection and recognition purposes. Therefore, the consideration of shadow characteristics is essential.
7. Conclusions
In this study, a hybrid simulation approach in both time and frequency domains was employed to calculate the original echoes of the target under various clutter environments. In this approach, the scattering coefficients of the target were determined using the SBR method, ensuring accuracy for multiple azimuth angles of the target. Based on the synthetic aperture imaging model, only one ray tracing calculation was required for the same radar perspective, significantly reducing the simulation time for the target. Real SAR images were utilized to obtain clutter data, enhancing the realism of the data. Additionally, shadows generated by the target were considered.
In the numerical results, we used the hybrid simulation technique to generate focused SAR echo data of the target in the clutter background. By comparing the simulation results with the images obtained at multiple azimuth angles from the MSTAR database, the feasibility of this method was validated.
Currently, this simulation method provides abundant data sources for research on shadow-based target detection algorithms, video SAR imaging algorithms, motion target detection, and clutter suppression algorithms. In the future, we will further incorporate considerations for multiple reflections between the ground and the target.
Author Contributions
Conceptualization, Y.Z. and J.Z.; methodology, J.Z.; software, Y.Z.; validation, Y.Z., K.Z. and J.Z.; formal analysis, J.Z.; investigation, Y.Z.; resources, Z.S.; data curation, Z.S.; writing—original draft preparation, Y.Z.; writing—review and editing, J.Z. and Z.S.; visualization, Y.Z.; supervision, Z.S.; project administration, Z.S.; funding acquisition, Z.S. All authors have read and agreed to the published version of the manuscript.
Funding
This research was funded by National Natural Science Foundation of China grant number 61401475.
Data Availability Statement
Not applicable.
Acknowledgments
The authors thank the editors and reviewers for their constructive suggestions.
Conflicts of Interest
The authors declare no conflict of interest.
References
- Yan, H.; Xu, X.; Jin, G.; Hou, Q.; Geng, Z.; Wang, L.; Zhang, J.; Zhu, D. Moving Targets Detection for Video SAR Surveillance Using Multilevel Attention Network Based on Shallow Feature Module. IEEE Trans. Geosci. Remote Sens. 2023, 61, 5200518. [Google Scholar] [CrossRef]
- Zhong, C.; Ding, J.; Zhang, Y. Joint Tracking of Moving Target in Single-Channel Video SAR. IEEE Trans. Geosci. Remote Sens. 2022, 60, 5212718. [Google Scholar] [CrossRef]
- Yang, C.; Chen, Z.; Deng, Y.; Wang, W.; Wang, P.; Zhao, F. Generation of Multiple Frames for High Resolution Video SAR Based on Time Frequency Sub-Aperture Technique. Remote Sens. 2023, 15, 264. [Google Scholar] [CrossRef]
- Chen, J.; An, D.; Wang, W.; Chen, L.; Feng, D.; Zhou, Z. A Novel Generation Method of High Quality Video Image for High Resolution Airborne ViSAR. Remote Sens. 2021, 13, 3706. [Google Scholar] [CrossRef]
- Fang, H.; Liao, G.; Liu, Y.; Zeng, C. Siam-Sort: Multi-Target Tracking in Video SAR Based on Tracking by Detection and Siamese Network. Remote Sens. 2022, 15, 146. [Google Scholar] [CrossRef]
- Bao, J.; Zhang, X.; Zhang, T.; Shi, J.; Wei, S. A Novel Guided Anchor Siamese Network for Arbitrary Target-of-Interest Tracking in Video-SAR. Remote Sens. 2021, 13, 4504. [Google Scholar] [CrossRef]
- He, Z.; Chen, X.; Yi, T.; He, F.; Dong, Z.; Zhang, Y. Moving Target Shadow Analysis and Detection for ViSAR Imagery. Remote Sens. 2021, 13, 3012. [Google Scholar] [CrossRef]
- Li, Q.; Zhang, Y.; Wang, Y.; Bai, Y.; Zhang, Y.; Li, X. Numerical Simulation of SAR Image for Sea Surface. Remote Sens. 2022, 14, 439. [Google Scholar] [CrossRef]
- Li, H.; Duan, J.; Song, D. Ground clutter simulation for airborne forward-looking multi-channel LFMCW radar. J. Eng. 2019, 2019, 7376–7380. [Google Scholar] [CrossRef]
- Zhang, S.; Sui, L.; Zhou, R.; Xun, Z.; Du, C.; Guo, X. Mountainous SAR Image Registration Using Image Simulation and an L2E Robust Estimator. Sustainability 2022, 14, 9315. [Google Scholar] [CrossRef]
- Zhang, Y.; Feng, N.; Zhu, J.; Xie, G.; Yang, L.; Huang, Z. Z -Transform-Based FDTD Implementations of Biaxial Anisotropy for Radar Target Scattering Problems. Remote Sens. 2022, 14, 2397. [Google Scholar] [CrossRef]
- Feng, N. Compact Matrix-Exponential-Based FDTD with Second-Order PML and Direct Z-Transform for Modeling Complex Subsurface Sensing and Imaging Problems. Remote Sens. 2021, 13, 94. [Google Scholar] [CrossRef]
- Wanjun, S.; Hou, Z. RCS Prediction of Objects Coated by Magnetized Plasma via Scale Model with FDTD. IEEE Trans. Microw. Theory Tech. 2017, 65, 1939–1945. [Google Scholar] [CrossRef]
- Lee, D.Y.; Lee, J.I.; Seo, D.W. RCS Estimation of Drone Motion Using Mesh-Element Rotation in MoM and Micro-Doppler Signatures. IEEE Trans. Antennas Propag. 2022, 70, 7344–7349. [Google Scholar] [CrossRef]
- Lee, D.; Lee, J.; Seo, D. Dynamic RCS Estimation according to Drone Movement Using the MoM and Far-Field Approximation. J. Electromagn. Eng. Sci. 2021, 21, 322–328. [Google Scholar] [CrossRef]
- Wang, X.; Gong, H.; Zhang, S.; Liu, Y.; Yang, R.; Liu, C. Efficient RCS Computation Over a Broad Frequency Band Using Subdomain MoM and Chebyshev Approximation Technique. IEEE Access 2020, 8, 33522–33531. [Google Scholar] [CrossRef]
- Huang, Y.; Zhao, Z.; Nie, Z.; Liu, Q.H. Dynamic Volume Equivalent SBR Method for Electromagnetic Scattering of Targets Moving on the Sea. IEEE Trans. Antennas Propag. 2023, 71, 3509–3519. [Google Scholar] [CrossRef]
- Tulgar, O.; Durgut, K.; Ergin, A.A. A Simple and Efficient SBR Implementation for RCS Calculation Using Target Scaling. IEEE Trans. Antennas Propag. 2022, 70, 3680–3687. [Google Scholar] [CrossRef]
- Meng, W.; Li, J.; Guo, L.X.; Yang, Q.J. An Accelerated SBR Method for RCS Prediction of Electrically Large Target. IEEE Antennas Wirel. Propag. Lett. 2022, 21, 1930–1934. [Google Scholar] [CrossRef]
- Bilal, A.; Hamza, S.M.; Taj, Z.; Salamat, S. Comparison of SBR and MLFMM techniques for the computation of RCS of a fighter aircraft. IET Radar Sonar Navig. 2019, 13, 1805–1810. [Google Scholar] [CrossRef]
- Li, H.; Wang, J.; Fan, Y.; Han, J. High-Fidelity Inhomogeneous Ground Clutter Simulation of Airborne Phased Array PD Radar Aided by Digital Elevation Model and Digital Land Classification Data. Sensors 2018, 18, 2925. [Google Scholar] [CrossRef] [PubMed]
- Wang, H.; Wei, B.; Liu, H. A Fast Method for SBR-Based Multiaspect Radar Cross Section Simulation of Electrically Large Targets. IEEE Antennas Wirel. Propag. Lett. 2022, 21, 1920–1924. [Google Scholar] [CrossRef]
- Li, J.; Meng, W.; Chai, S.; Guo, L.; Xi, Y.; Wen, S.; Li, K. An Accelerated Hybrid Method for Electromagnetic Scattering of a Composite Target–Ground Model and Its Spotlight SAR Image. Remote Sens. 2022, 14, 6332. [Google Scholar] [CrossRef]
- Sofiani, R.; Heidar, H.M. An efficient raw data simulation algorithm for large complex marine targets and extended sea clutter in spotlight SAR. Microw. Opt. Technol. Lett. 2018, 60, 1223–1230. [Google Scholar] [CrossRef]
- Xia, W.; Qi, Y.; Huang, L.; Jin, X. Missile-Borne SAR Raw Signal Simulation for Maneuvering Target. Int. J. Antennas Propag. 2016, 2016, 2598024. [Google Scholar] [CrossRef]
- Kim, H.L.W. An Integrated Raw Data Simulator for Airborne Spotlight ECCM SAR. Remote Sens. 2022, 14, 3897. [Google Scholar] [CrossRef]
- Jing, G.; Zhang, Y.; Li, Z.; Sun, G.; Xing, M.; Bao, Z. Efficient realiazation of SAR echo simulation based on GPU. Syst. Eng. Electron. 2016, 38, 2493–2498. [Google Scholar] [CrossRef]
- Tao, Y.; Lin, H.; Bao, H. GPU-Based Shooting and Bouncing Ray Method for Fast RCS Prediction. IEEE Trans. Antennas Propag. 2010, 58, 494–502. [Google Scholar] [CrossRef]
- Ling, H.; Chou, R.C.; Lee, S.W. Shooting and bouncing rays: Calculating the RCS of an arbitrarily shaped cavity. IEEE Trans. Antennas Propag. 1989, 37, 194–205. [Google Scholar] [CrossRef]
- Baldauf, J.; Lee, S.W.; Lin, L.; Jeng, S.K.; Scarborough, S.; Yu, C. High frequency scattering from trihedral corner reflectors and other benchmark targets: SBR versus experiment. IEEE Trans. Antennas Propag. 1991, 39, 1345–1351. [Google Scholar] [CrossRef]
Disclaimer/Publisher’s Note: The statements, opinions and data contained in all publications are solely those of the individual author(s) and contributor(s) and not of MDPI and/or the editor(s). MDPI and/or the editor(s) disclaim responsibility for any injury to people or property resulting from any ideas, methods, instructions or products referred to in the content. |
© 2023 by the authors. Licensee MDPI, Basel, Switzerland. This article is an open access article distributed under the terms and conditions of the Creative Commons Attribution (CC BY) license (https://creativecommons.org/licenses/by/4.0/).






















