A Comparison of Six Forest Mapping Products in Southeast Asia, Aided by Field Validation Data
Abstract
:1. Introduction
2. Study Area and Data Preprocessing
2.1. Southeast Asia
2.2. Data and Preprocessing
- (1)
- FROM-GLC10
- (2)
- ESA2020
- (3)
- ESRI2020
- (4)
- Hansen2010
- (5)
- JAXA FNF2020
- (6)
- GFC30_2020
3. Methods
3.1. Area and Spatial Consistency Analysis
3.2. Verification Point Design and Accuracy Assessment
3.3. Analysis of Geographical Environmental and Biophysical Influencing Factors
4. Results
4.1. Area Consistency Comparison
4.2. Spatial Consistency Comparison
4.3. Accuracy Assessment
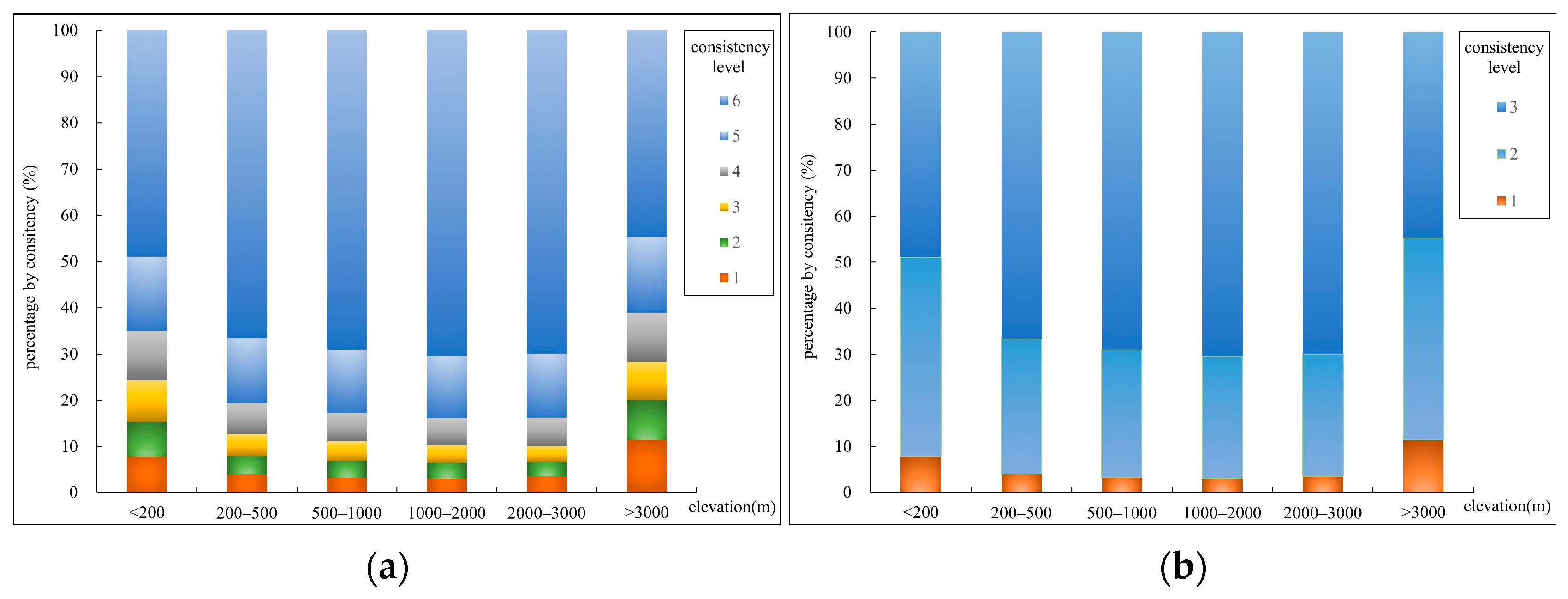
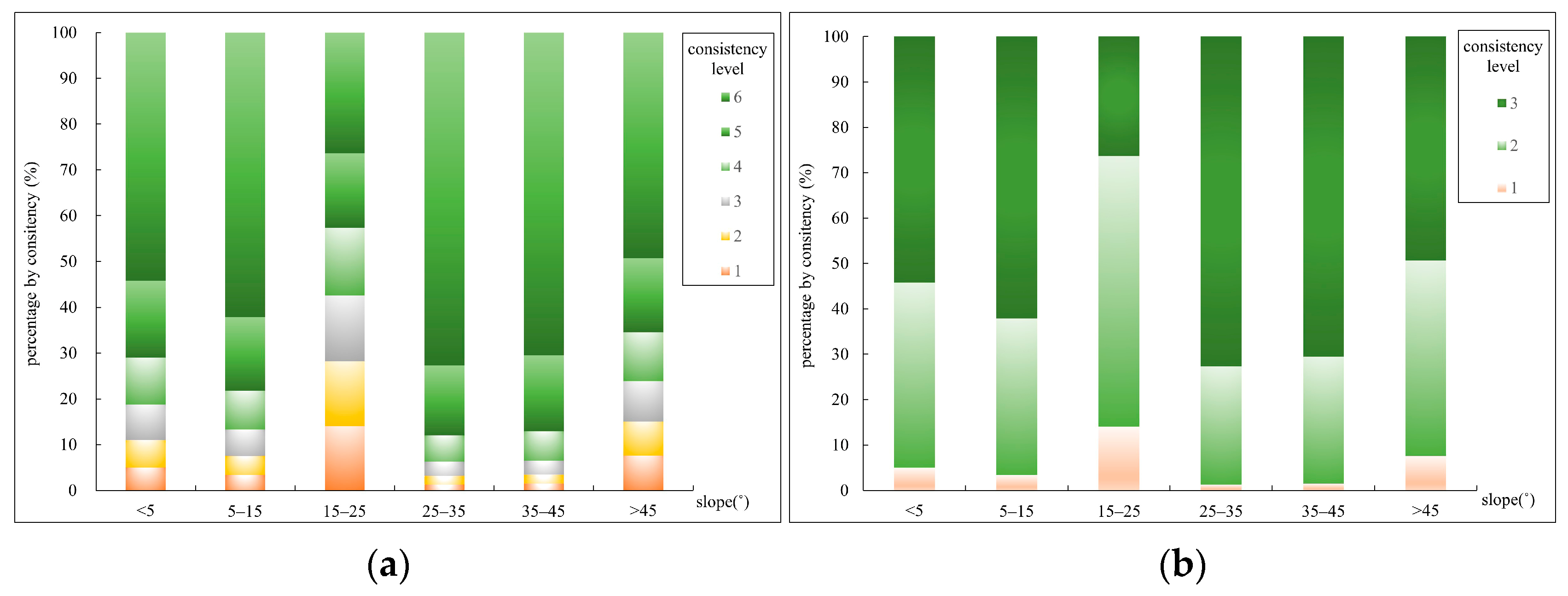
4.4. Factors Influencing Spatial Consistency
5. Discussion
5.1. Comparison of Precision with Existing Local Area Studies Results
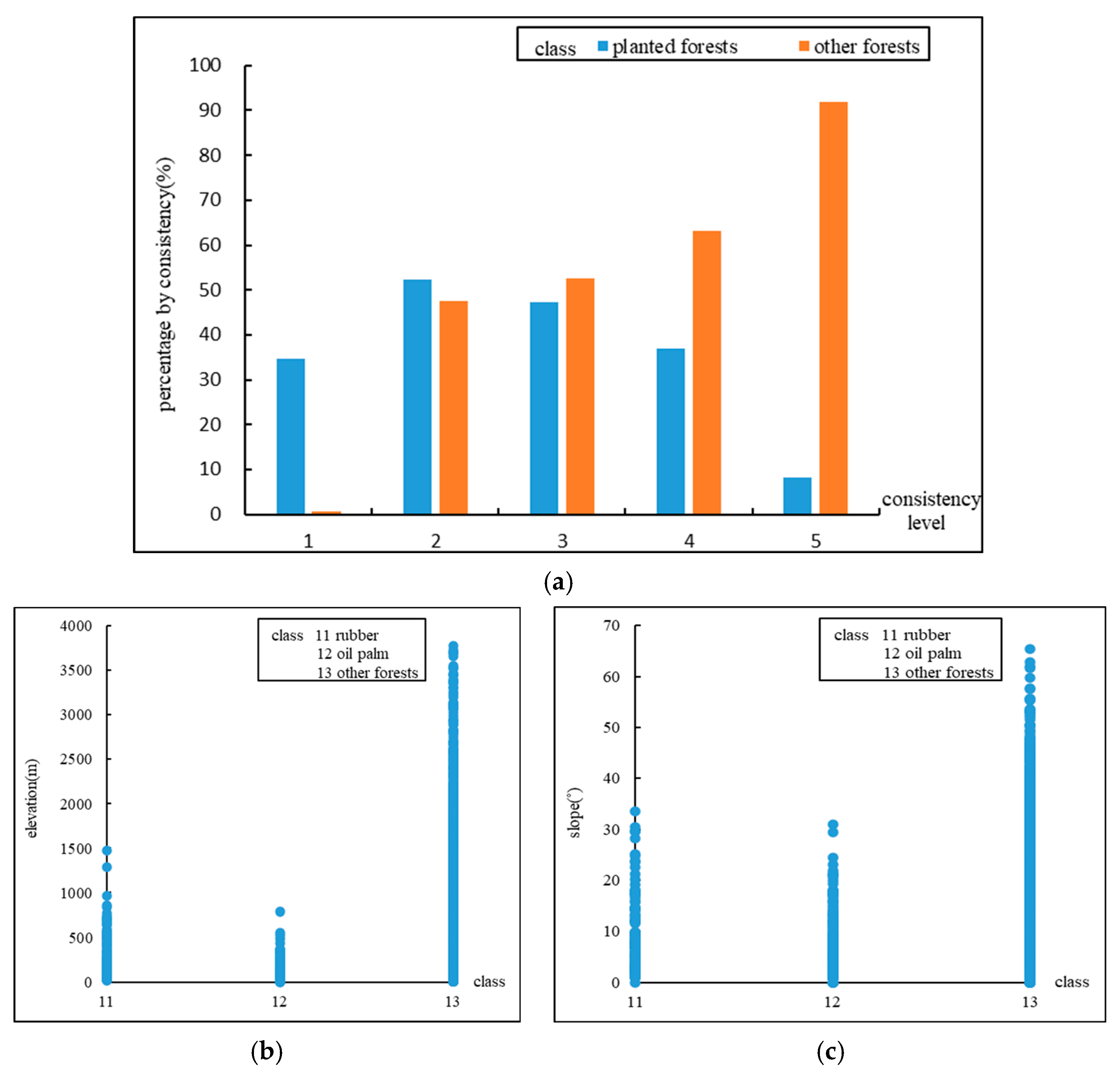
5.2. Analysis of Inconsistent Forest Mapping Products in Southeast Asia
5.3. Suggestions for Usage of Forest Mapping Products in Southeast Asia
5.4. Recommendations for Future Large-Scale Forest Mapping
6. Conclusions
- (1)
- The ESRI2020 forest product achieved the highest overall accuracy in Southeast Asia, followed by ESA2020, FROM-GLC10, Generated_Hansen2020, and finally, JAXA FNF2020 and GFC30_2020.
- (2)
- Among the six forest mapping products, there is a notable spatial consistency for elevations ranging from 200 to 3000 m, with high consistency observed for slopes below 15° or above 25°. Forest is predominantly characterized by natural attributes and demonstrates a relatively even distribution across elevations ranging from 200 to 3000 m. Below 200 m, forest experiences rapid changes and lower consistency due to human activities, such as forest exploitation and logging. Above 3000 m, discrepancies in people’s perception of forest may lead to inconsistency. Forest demonstrates high consistency for slopes below 15° or above 25°, but lower consistency within the range of 15–25°.
- (3)
- Among the six products, forest is susceptible to confusion with shrub, cropland, and built areas. This is primarily due to the significant spectral similarity between forest and shrub, resulting in confusion. The land cover types that contribute to forest inconsistency differ among different countries. The research also utilized samples to analyze the percentage of planted forest samples, including rubber and oil palm, among other forest samples within areas of inconsistent forest, highlighting the significant impact of planted forests on the distribution of forest consistency.
Author Contributions
Funding
Acknowledgments
Conflicts of Interest
References
- Estoque, R.C.; Dasgupta, R.; Winkler, K.; Avitabile, V.; Johnson, B.A.; Myint, S.W.; Gao, Y.; Ooba, M.; Murayama, Y.; Lasco, R.D. Spatiotemporal pattern of global forest change over the past 60 years and the forest transition theory. Environ. Res. Lett. 2022, 17, 084022. [Google Scholar] [CrossRef]
- Oldekop, J.A.; Rasmussen, L.V.; Agrawal, A.; Bebbington, A.J.; Meyfroidt, P.; Bengston, D.N.; Blackman, A.; Brooks, S.; Davidson-Hunt, I.; Davies, P.; et al. Forest-linked livelihoods in a globalized world. Nat. Plants 2020, 6, 1400–1407. [Google Scholar] [CrossRef] [PubMed]
- Sudmeier-Rieux, K.; Arce-Mojica, T.; Boehmer, H.J.; Doswald, N.; Emerton, L.; Friess, D.A.; Galvin, S.; Hagenlocher, M.; James, H.; Laban, P.; et al. Scientific evidence for ecosystem-based disaster risk reduction. Nat. Sustain. 2021, 4, 803–810. [Google Scholar] [CrossRef]
- Hansen, A.J.; Noble, B.P.; Veneros, J.; East, A.; Goetz, S.J.; Supples, C.; Watson, J.E.M.; Jantz, P.A.; Pillay, R.; Jetz, W.; et al. Toward monitoring forest ecosystem integrity within the post-2020 Global Biodiversity Framework. Conserv. Lett. 2021, 14, e12822. [Google Scholar] [CrossRef]
- Grassi, G.; House, J.; Dentener, F.; Federici, S.; den Elzen, M.; Penman, J. The key role of forests in meeting climate targets requires science for credible mitigation. Nat. Clim. Chang. 2017, 7, 220–226. [Google Scholar] [CrossRef]
- Estoque, R.C.; Ooba, M.; Avitabile, V.; Hijioka, Y.; DasGupta, R.; Togawa, T.; Murayama, Y. The future of Southeast Asia’s forests. Nat. Commun. 2019, 10, 1829. [Google Scholar] [CrossRef] [PubMed]
- Sodhi, N.S.; Posa, M.R.C.; Lee, T.M.; Bickford, D.; Koh, L.P.; Brook, B.W. The state and conservation of Southeast Asian biodiversity. Biodivers. Conserv. 2010, 19, 317–328. [Google Scholar] [CrossRef]
- Stibig, H.J.; Achard, F.; Carboni, S.; Raši, R.; Miettinen, J. Change in tropical forest cover of Southeast Asia from 1990 to 2010. Biogeosciences 2014, 11, 247–258. [Google Scholar] [CrossRef]
- FAO. Global Forest Resources Assessment 2020; Main Report; Food and Agriculture Organization of the United Nations: Rome, Italy, 2020. [Google Scholar]
- FAO. Southeast Asian Forests and Forestry to 2020: Subregional Report of the Second Asia-Pacific Forestry Sector Outlook Study; Asia-Pacific Forestry Commission; Food and Agriculture Organization of the United Nations: Bangkok, Thailand, 2011. [Google Scholar]
- Keenan, R.J.; Reams, G.A.; Achard, F.; de Freitas, J.V.; Grainger, A.; Lindquist, E. Dynamics of global forest area: Results from the FAO Global Forest Resources Assessment 2015. For. Ecol. Manag. 2015, 352, 9–20. [Google Scholar] [CrossRef]
- Gong, P.; Liu, H.; Zhang, M.; Li, C.; Wang, J.; Huang, H.; Clinton, N.; Ji, L.; Li, W.; Bai, Y.; et al. Stable classification with limited sample: Transferring a 30-m resolution sample set collected in 2015 to mapping 10-m resolution global land cover in 2017. Sci. Bull. 2019, 64, 370–373. [Google Scholar] [CrossRef] [PubMed]
- Zanaga, D.; Van De Kerchove, R.; De Keersmaecker, W.; Souverijns, N.; Brockmann, C.; Quast, R.; Wevers, J.; Grosu, A.; Paccini, A.; Vergnaud, S.; et al. ESA2020 WorldCover 10 m 2020 v100. 2021. Available online: https://zenodo.org/record/5571936 (accessed on 14 September 2023).
- Karra, K.; Kontgis, C.; Statman-Weil, Z.; Mazzariello, J.C.; Mathis, M.; Brumby, S.P. Global land use/land cover with Sentinel 2 and deep learning. In Proceedings of the 2021 IEEE International Geoscience and Remote Sensing Symposium IGARSS, Brussels, Belgium, 11–16 July 2021; pp. 4704–4707. [Google Scholar]
- Zhang, X.; He, G.; Long, T. Global 30-m Spatial Distribution of Forest Cover in 2020 (GFC30_2020); International Research Center of Big Data for Sustainable Development Goals (CBAS): Beijing, China, 2022. [Google Scholar]
- Hansen, M.C.; Potapov, P.; Moore, R.; Hancher, M.; Turubanova, S.; Tyukavina, A.; Thau, D.; Stehman, S.; Goetz, S.; Loveland, T.; et al. High-Resolution Global Maps of 21st-Century Forest Cover Change. Science 2013, 342, 850–853. [Google Scholar] [CrossRef] [PubMed]
- Shimada, M.; Itoh, T.; Motooka, T.; Watanabe, M.; Shiraishi, T.; Thapa, R.; Lucas, R. New global forest/non-forest maps from ALOS PALSAR data (2007–2010). Remote Sens. Environ. 2014, 155, 13–31. [Google Scholar] [CrossRef]
- Liang, J.; Gamarra, J.G.P. The importance of sharing global forest data in a world of crises. Sci. Data 2020, 7, 424. [Google Scholar] [CrossRef] [PubMed]
- Nesha, K.; Herold, M.; De Sy, V.; Duchelle, A.E.; Martius, C.; Branthomme, A.; Garzuglia, M.; Jonsson, O.; Pekkarinen, A. An assessment of data sources, data quality and changes in national forest monitoring capacities in the Global Forest Resources Assessment 2005–2020. Environ. Res. Lett. 2021, 16, 054029. [Google Scholar] [CrossRef]
- Estoque, R.C.; Johnson, B.A.; Dasgupta, R.; Gao, Y.; Matsuura, T.; Toma, T.; Hirata, Y.; Lasco, R.D. Rethinking Forest monitoring for more meaningful global forest landscape change assessments. J. Environ. Manag. 2022, 317, 115478. [Google Scholar] [CrossRef]
- Kang, J.; Wang, Z.; Sui, L.; Yang, X.; Ma, Y.; Wang, J. Consistency Analysis of Remote Sensing Land Cover Products in the Tropical Rainforest Climate Region: A Case Study of Indonesia. Remote Sens. 2020, 12, 1410. [Google Scholar] [CrossRef]
- Kang, J.; Sui, L.; Yang, X.; Wang, Z.; Huang, C.; Wang, J. Spatial Pattern Consistency among Different Remote-Sensing Land Cover Datasets: A Case Study in Northern Laos. ISPRS Int. J. Geo-Inf. 2019, 8, 201. [Google Scholar] [CrossRef]
- Ding, Y.; Yang, X.; Wang, Z.; Fu, D.; Li, H.; Meng, D.; Zeng, X.; Zhang, J. A Field-Data-Aided Comparison of Three 10 m Land Cover Products in Southeast Asia. Remote Sens. 2022, 14, 5053. [Google Scholar] [CrossRef]
- Gao, Y.; Liu, L.; Zhang, X.; Chen, X.; Mi, J.; Xie, S. Consistency Analysis and Accuracy Assessment of Three Global 30-m Land-Cover Products over the European Union using the LUCAS Dataset. Remote Sens. 2020, 12, 3479. [Google Scholar] [CrossRef]
- Arjasakusuma, S.; Pribadi, U.; Aria Seta, G. Accuracy and Spatial Pattern Assessment of Forest Cover Change Datasets in Central Kalimantan. Indones. J. Geogr. 2018, 50, 222. [Google Scholar] [CrossRef]
- Xing, H.; Niu, J.; Liu, C.; Chen, B.; Yang, S.; Hou, D.; Zhu, L.; Hao, W.; Li, C. Consistency Analysis and Accuracy Assessment of Eight Global Forest Datasets over Myanmar. Appl. Sci. 2021, 11, 11348. [Google Scholar] [CrossRef]
- Li, Y. Analysis of Multi-Source Forest Cover Products and Research on Forest Information Extraction; Wuhan University: Wuhan, China, 2019. [Google Scholar]
- Meijaard, E.; Brooks, T.M.; Carlson, K.M.; Slade, E.M.; Garcia-Ulloa, J.; Gaveau, D.L.A.; Lee, J.S.H.; Santika, T.; Juffe-Bignoli, D.; Struebig, M.J.; et al. The environmental impacts of palm oil in context. Nat. Plants 2020, 6, 1418–1426. [Google Scholar] [CrossRef] [PubMed]
- Kenney-Lazar, M.; Ishikawa, N. Mega-Plantations in Southeast Asia: Landscapes of Displacement. Environ. Soc. 2019, 10, 63–82. [Google Scholar] [CrossRef]
- Bos, A.B.; De Sy, V.; Duchelle, A.E.; Herold, M.; Martius, C.; Tsendbazar, N.-E. Global data and tools for local forest cover loss and REDD+ performance assessment: Accuracy, uncertainty, complementarity and impact. Int. J. Appl. Earth Obs. Geoinf. 2019, 80, 295–311. [Google Scholar] [CrossRef]
- Fagan, M.E.; Kim, D.-H.; Settle, W.; Ferry, L.; Drew, J.; Carlson, H.; Slaughter, J.; Schaferbien, J.; Tyukavina, A.; Harris, N.L.; et al. The expansion of tree plantations across tropical biomes. Nat. Sustain. 2022, 5, 681–688. [Google Scholar] [CrossRef]
- Ma, J.; Li, J.; Wu, W.; Liu, J. Global Forest fragmentation change from 2000 to 2020. Nat. Commun. 2023, 14, 3752. [Google Scholar] [CrossRef] [PubMed]
- Li, Y.; Liu, C.; Zhang, J.; Zhang, P.; Xue, Y. Monitoring Spatial and Temporal Patterns of Rubber Plantation Dynamics Using Time-Series Landsat Images and Google Earth Engine. IEEE J. Sel. Top. Appl. Earth Obs. Remote Sens. 2021, 14, 9450–9461. [Google Scholar] [CrossRef]
- Qin, Y.; Dong, J.; Xiao, X. Analysis of Differences and Uncertainties in Forest Cover Products in China. Biodiversity 2015, 23, 5. [Google Scholar]
- Wang, H.; Cai, L.; Wen, X.; Fan, D.; Wang, Y. Land cover change and multiple remotely sensed datasets consistency in China. Ecosyst. Health Sustain. 2022, 8, 2040385. [Google Scholar] [CrossRef]
- Fang, X.; Zhao, W.; Zhang, C.; Zhang, D.; Wei, X.; Qiu, W.; Ye, Y. Methodology for credibility assessment of historical global LUCC datasets. Sci. China Earth Sci. 2020, 63, 1013–1025. [Google Scholar] [CrossRef]
- Huang, C.; Goward, S.N.; Masek, J.G.; Thomas, N.; Zhu, Z.; Vogelmann, J.E. An automated approach for reconstructing recent forest disturbance history using dense Landsat time series stacks. Remote Sens. Environ. 2010, 114, 183–198. [Google Scholar] [CrossRef]
- Olofsson, P.; Foody, G.M.; Herold, M.; Stehman, S.V.; Woodcock, C.E.; Wulder, M.A. Good practices for estimating area and assessing accuracy of land change. Remote Sens. Environ. 2014, 148, 42–57. [Google Scholar] [CrossRef]
- Stehman, S.V.J.R.S.L. Impact of sample size allocation when using stratified random sampling to estimate accuracy and area of land-cover change. Remote Sens. Lett. 2012, 3, 111–120. [Google Scholar] [CrossRef]
- Stehman, S.V. Estimating area from an accuracy assessment error matrix. Remote Sens. Environ. 2013, 132, 202–211. [Google Scholar] [CrossRef]
- Yang, Z.; Dong, J.; Liu, J.; Zhai, J.; Kuang, W.; Zhao, G.; Shen, W.; Zhou, Y.; Qin, Y.; Xiao, X. Accuracy Assessment and Inter-Comparison of Eight Medium Resolution Forest Products on the Loess Plateau, China. ISPRS Int. J. Geo-Inf. 2017, 6, 152. [Google Scholar] [CrossRef]
- Blasco, F.; Whitmore, T.C.; Gers, C. A framework for the worldwide comparison of tropical woody vegetation types. Biol. Conserv. 2000, 95, 175–189. [Google Scholar] [CrossRef]
- Li, W.; Fu, D.; Su, F.; Xiao, Y. Spatial–Temporal Evolution and Analysis of the Driving Force of Oil Palm Patterns in Malaysia from 2000 to 2018. ISPRS Int. J. Geo-Inf. 2020, 9, 280. [Google Scholar] [CrossRef]
- Liu, X.; Feng, Z.; Jiang, L.; Li, P.; Liao, C.; Yang, Y.; You, Z. Rubber plantation and its relationship with topographical factors in the border region of China, Laos and Myanmar. J. Geogr. Sci. 2013, 23, 1019–1040. [Google Scholar] [CrossRef]
- Selvalakshmi, S.; Kalarikkal, R.K.; Yang, X. Predicting the habitat distribution of rubber plantations with topography, soil, land use, and climatic factors. Environ. Monit. Assess. 2020, 192, 598. [Google Scholar] [CrossRef] [PubMed]
- Chazdon, R.L.; Brancalion, P.H.S.; Laestadius, L.; Bennett-Curry, A.; Buckingham, K.; Kumar, C.; Moll-Rocek, J.; Vieira, I.C.G.; Wilson, S.J. When is a forest a forest? Forest concepts and definitions in the era of forest and landscape restoration. Ambio 2016, 45, 538–550. [Google Scholar] [CrossRef]
- Chen, H.; Yi, Z.-F.; Schmidt-Vogt, D.; Ahrends, A.; Beckschäfer, P.; Kleinn, C.; Ranjitkar, S.; Xu, J.; Schmidt-Vogt, Y.; Ahrends, D. Pushing the Limits: The Pattern and Dynamics of Rubber Monoculture Expansion in Xishuangbanna, SW China. PLoS ONE 2016, 11, e0150062. [Google Scholar] [CrossRef] [PubMed]
- Liu, X. Research on Land Use: Land Cover Change in the Border Area between China, Laos and Myanmar; University of Chinese Academy of Sciences: Beijing, China, 2013. [Google Scholar]
- Liao, C.; Feng, Z.; Li, P. Land use change information mining and country comparison in the border area between China, Laos, Myanmar, and Thailand. J. Nat. Resour. 2015, 30, 1785–1797. [Google Scholar]
- Cheng, Y. Analysis of Dynamic Changes in Oil Palm Planting in Malaysia; Henan University: Kaifeng, China, 2017. [Google Scholar]
- Cui, L.; Du, H.; Zhou, G.; Li, X.; Mao, F.; Xu, X.; Fan, W.; Li, Y.; Zhu, D.; Liu, T.; et al. Combination of decision tree and mixed pixel decomposition for extracting bamboo forest information in China. Yaogan Xuebao/J. Remote Sens. 2019, 23, 166–176. [Google Scholar] [CrossRef]
- Wang, Z.; Zhang, J.; Yang, X.; Huang, C.; Su, F.; Liu, X.; Liu, Y.; Zhang, Y. Global mapping of the landside clustering of aquaculture ponds from dense time-series 10 m Sentinel-2 images on Google Earth Engine. Int. J. Appl. Earth Obs. Geoinf. 2022, 115, 103100. [Google Scholar] [CrossRef]
- Kang, J.; Yang, X.; Wang, Z.; Huang, C.; Wang, J. Collaborative Extraction of Paddy Planting Areas with Multi-Source Information Based on Google Earth Engine: A Case Study of Cambodia. Remote Sens. 2022, 14, 1823. [Google Scholar] [CrossRef]
- Reiche, J.; Hamunyela, E.; Verbesselt, J.; Hoekman, D.; Herold, M. Improving near-real time deforestation monitoring in tropical dry forests by combining dense Sentinel-1 time series with Landsat and ALOS-2 PALSAR-2. Remote Sens. Environ. 2018, 204, 147–161. [Google Scholar] [CrossRef]
- Reddy, C.S.; Pasha, S.V.; Satish, K.V.; Unnikrishnan, A.; Chavan, S.B.; Jha, C.S.; Diwakar, P.G.; Dadhwal, V.K. Quantifying and predicting multi-decadal forest cover changes in Myanmar: A biodiversity hotspot under threat. Biodivers. Conserv. 2019, 28, 1129–1149. [Google Scholar] [CrossRef]
- Lossou, E.; Owusu-Prempeh, N.; Agyemang, G. Monitoring Land Cover changes in the tropical high forests using multi-temporal remote sensing and spatial analysis techniques. Remote Sens. Appl. Soc. Environ. 2019, 16, 100264. [Google Scholar] [CrossRef]
- Wang, Z.; Yang, X.; Zhou, C. The concept of geoscience knowledge graph for remote sensing big data. J. Earth Inf. Sci. 2021, 23, 13. [Google Scholar]














| Products | Forest Definition | Special Provisions in the Definition | Spatial Resolution | Data Source | Algorithm | Product Accuracy | Sample Size and Sample Acquisition Method |
|---|---|---|---|---|---|---|---|
| FROM-GLC10 | Areas with trees higher than 3 m and tree cover of more than 15% | —— | 10 m | Sentinel-2 satellite data | Supervised classification | Overall accuracy is 72.76% | Validation set consists of approximately 140,000 samples from different seasons, covering 38,000 sample points |
| ESRI2020 | Dense vegetation clustering of trees taller than 15 m, typically with a closed or dense canopy | Including wooded vegetation, clusters of dense tall vegetations within savannas, plantations, swamp, or mangroves | 10 m | Sentinel-2 satellite data | Deep learning | Overall accuracy is 85% | Over 5 billion manually annotated Sentinel-2 pixels in over 20,000 sampling points worldwide |
| ESA2020 | Tree cover is more than 10% | ① Including land cover classes below the canopy, like shrubs and built-up areas; ② including plantations like oil palm and olive trees and tree covered areas with seasonally or permanently flooded with freshwater except for mangroves | 10 m | Sentinel-1 and Sentinel-2 satellite data | Supervised classification | Overall accuracy is 74.4% | Over 200,000 reference points |
| Hansen2010 | All vegetation taller than 5 m in height | Including both natural forests and planted forests that meet the criteria | 30 m | Landsat7 reflectance characteristic indicators during the growing season | Supervised classification | Stratified random sampling based on random forest | |
| JAXA FNF2020 | Land spanning more than 0.5 hectares with trees higher than 5 m and a canopy cover of more than 10% | ① Including forested areas that have not yet reached but are expected to reach the criteria; ② including forest roads, firebreaks, and other small open areas; ③ including rubberwood, cork oak, and Christmas tree plantations; ④ excluding plantations in agricultural production systems, such as oil palm plantations, fruit tree plantations, and olive grove orchards | 25 m | PALSAR mosaic dataset | Supervised classification | By forest, non-forest, and water classes, the overall accuracy is higher than 86% | Used ground photographs and high-resolution optical satellite images |
| GFC30_2020 | Land spanning more than 0.5 hectares with trees higher than 5 m and a canopy cover of more than 10% | ① Including areas that have not yet reached but are expected to reach the criteria; ② excluding forest primarily used for agricultural and urban purposes | 30 m | Landsat series satellite images of the global forest vegetation growth season in 2020, China’s GF-1, GF-6 and other satellite imagery | Machine learning algorithms | Overall accuracy is higher than 90.94% | Using high-resolution images such as Google Earth/GF for manual inspection and verification, referencing relevant data products from the United States and Japan, and combining some field survey data, a total of 39,900 verification points were obtained |
| Spatial Consistency Level | 1 | 2 | 3 | 4 | 5 | 6 |
|---|---|---|---|---|---|---|
| Forest area (104 km2) | 29.54 | 28.04 | 33.57 | 39.97 | 60.27 | 180.87 |
| Forest area percentage (%) | 7.94 | 7.53 | 9.02 | 10.74 | 16.19 | 48.59 |
| Accuracy (%) | ESA2020 | ESRI2020 | FROM-GLC10 | GFC30_2020 | Generated_Hansen2020 | JAXA FNF2020 | |
|---|---|---|---|---|---|---|---|
| UA | Forest | 95.50 | 93.00 | 93.01 | 84.50 | 92.91 | 89.04 |
| Non-forest | 83.57 | 90.46 | 87.06 | 90.06 | 84.49 | 88.31 | |
| PA | Forest | 83.49 | 89.45 | 86.21 | 88.09 | 83.90 | 86.89 |
| Non-forest | 95.52 | 93.69 | 93.47 | 86.97 | 93.20 | 90.26 | |
| Commission error | Forest | 4.50 | 7.00 | 6.99 | 15.50 | 7.09 | 10.96 |
| Non-forest | 16.43 | 9.54 | 12.94 | 9.94 | 15.51 | 11.69 | |
| Omission error | Forest | 16.51 | 10.55 | 13.79 | 11.91 | 16.10 | 13.11 |
| Non-forest | 4.48 | 6.31 | 6.53 | 13.03 | 6.80 | 9.74 | |
| OA | 89.12 | 91.64 | 89.83 | 87.47 | 88.41 | 88.65 | |
Disclaimer/Publisher’s Note: The statements, opinions and data contained in all publications are solely those of the individual author(s) and contributor(s) and not of MDPI and/or the editor(s). MDPI and/or the editor(s) disclaim responsibility for any injury to people or property resulting from any ideas, methods, instructions or products referred to in the content. |
© 2023 by the authors. Licensee MDPI, Basel, Switzerland. This article is an open access article distributed under the terms and conditions of the Creative Commons Attribution (CC BY) license (https://creativecommons.org/licenses/by/4.0/).
Share and Cite
Liu, B.; Yang, X.; Wang, Z.; Ding, Y.; Zhang, J.; Meng, D. A Comparison of Six Forest Mapping Products in Southeast Asia, Aided by Field Validation Data. Remote Sens. 2023, 15, 4584. https://doi.org/10.3390/rs15184584
Liu B, Yang X, Wang Z, Ding Y, Zhang J, Meng D. A Comparison of Six Forest Mapping Products in Southeast Asia, Aided by Field Validation Data. Remote Sensing. 2023; 15(18):4584. https://doi.org/10.3390/rs15184584
Chicago/Turabian StyleLiu, Bin, Xiaomei Yang, Zhihua Wang, Yaxin Ding, Junyao Zhang, and Dan Meng. 2023. "A Comparison of Six Forest Mapping Products in Southeast Asia, Aided by Field Validation Data" Remote Sensing 15, no. 18: 4584. https://doi.org/10.3390/rs15184584
APA StyleLiu, B., Yang, X., Wang, Z., Ding, Y., Zhang, J., & Meng, D. (2023). A Comparison of Six Forest Mapping Products in Southeast Asia, Aided by Field Validation Data. Remote Sensing, 15(18), 4584. https://doi.org/10.3390/rs15184584

