Estimation of Soybean Yield by Combining Maturity Group Information and Unmanned Aerial Vehicle Multi-Sensor Data Using Machine Learning
Abstract
:1. Introduction
2. Materials and Methods
2.1. Materials and Field Experiments
2.1.1. Study Site
2.1.2. Experimental Design
2.2. Data Acquisition
2.2.1. UAV Data Collection
2.2.2. Yield Data Collection
2.3. Image Processing and Feature Extraction
2.4. Data Analysis and Model Establishment
2.4.1. Statistical Analysis
2.4.2. Feature Selection
2.4.3. Model Construction for GY Estimation
2.5. Model Evaluation
3. Results
3.1. Statistics of GY among Different Maturity Groups
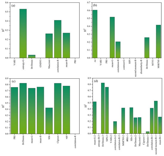
3.2. Results and Heritability Evaluation of Selected Features
3.3. Estimation Models of GY at Single Growth Stage
3.4. Estimation Models of GY for Multiple Growth Stages
4. Discussion
4.1. Feasibility of Using Maturity Group Information to Enhance Yield Model Performances
4.2. Contribution of Features in GY Estimation
4.3. Comparison of GY Estimation Models Based on Different Algorithms
4.4. The Effects of Growth Stages on Yield Estimation
5. Conclusions
- The maturity group information of soybean exhibited great potential for improving the GY estimation using data from individual growth stages and multiple growth stages.
- The models based on combinations of VI, Te and M yielded higher estimation accuracies than the models based on single or two types of features. The optimal individual time point for GY estimation is the flowering stage, while multiple growth stages produced the best estimation (R2 = 0.7, RMSE = 400.946 kg/hm2).
- The comparison of four machine learning algorithms (PLSR, GPR, RFR and KRR) showed that GPR exhibited the highest yield estimation accuracy, followed by KRR and PLSR, and the RFR-based models showed the worst performances.
Author Contributions
Funding
Data Availability Statement
Acknowledgments
Conflicts of Interest
References
- Singh, P.; Krishnaswamy, K. Sustainable zero-waste processing system for soybeans and soy by-product valorization. Trends Food Sci. Technol. 2022, 128, 331–344. [Google Scholar] [CrossRef]
- Liu, S.L.; Zhang, M.; Feng, F.; Tian, Z.X. Toward a “Green Revolution” for Soybean. Mol. Plant 2020, 13, 688–697. [Google Scholar] [CrossRef] [PubMed]
- Vogel, J.T.; Liu, W.D.; Olhoft, P.; Crafts-Brandner, S.J.; Pennycooke, J.C.; Christiansen, N. Soybean Yield Formation Physiology—A Foundation for Precision Breeding Based Improvement. Front. Plant Sci. 2021, 12, 719706. [Google Scholar] [CrossRef]
- Zhou, J.; Zhou, J.F.; Ye, H.; Ali, M.L.; Chen, P.Y.; Nguyen, H.T. Yield estimation of soybean breeding lines under drought stress using unmanned aerial vehicle-based imagery and convolutional neural network. Biosyst. Eng. 2021, 204, 90–103. [Google Scholar] [CrossRef]
- Zhou, J.; Beche, E.; Vieira, C.C.; Yungbluth, D.; Zhou, J.F.; Scaboo, A.; Chen, P.Y. Improve Soybean Variety Selection Accuracy Using UAV-Based High-Throughput Phenotyping Technology. Front. Plant Sci. 2022, 12, 768742. [Google Scholar] [CrossRef] [PubMed]
- Roth, L.; Barendregt, C.; Betrix, C.A.; Hund, A.; Walter, A. High-throughput field phenotyping of soybean: Spotting an ideotype. Remote Sens. Environ. 2022, 269, 112797. [Google Scholar] [CrossRef]
- Liu, J.K.; Zhu, Y.J.; Tao, X.Y.; Chen, X.F.; Li, X.W. Rapid prediction of winter wheat yield and nitrogen use efficiency using consumer-grade unmanned aerial vehicles multispectral imagery. Front. Plant Sci. 2022, 13, 1032170. [Google Scholar] [CrossRef]
- Bai, D.; Li, D.L.; Zhao, C.S.; Wang, Z.X.; Shao, M.C.; Guo, B.F.; Liu, Y.D.; Wang, Q.; Li, J.D.; Guo, S.Y.; et al. Estimation of soybean yield parameters under lodging conditions using RGB information from unmanned aerial vehicles. Front. Plant Sci. 2022, 13, 1012293. [Google Scholar] [CrossRef]
- Ganeva, D.; Roumenina, E.; Dimitrov, P.; Gikov, A.; Jelev, G.; Dragov, R.; Bozhanova, V.; Taneva, K. Phenotypic Traits Estimation and Preliminary Yield Assessment in Different Phenophases of Wheat Breeding Experiment Based on UAV Multispectral Images. Remote Sens. 2022, 14, 1019. [Google Scholar] [CrossRef]
- Yousfi, S.; Marin, J.; Parra, L.; Lloret, J.; Mauri, P.V. Remote sensing devices as key methods in the advanced turfgrass phenotyping under different water regimes. Agric. Water Manag. 2022, 266, 107581. [Google Scholar] [CrossRef]
- Sugiura, R.; Tsuda, S.; Tamiya, S.; Itoh, A.; Nishiwaki, K.; Murakami, N.; Shibuya, Y.; Hirafuji, M.; Nuske, S. Field phenotyping system for the assessment of potato late blight resistance using RGB imagery from an unmanned aerial vehicle. Biosyst. Eng. 2016, 148, 1–10. [Google Scholar] [CrossRef]
- Zhou, J.; Zhou, J.F.; Ye, H.; Ali, M.L.; Nguyen, H.T.; Chen, P.Y. Classification of soybean leaf wilting due to drought stress using UAV-based imagery. Comput. Electron. Agric. 2020, 175, 105576. [Google Scholar] [CrossRef]
- Han, S.Y.; Zhao, Y.; Cheng, J.P.; Zhao, F.; Yang, H.; Feng, H.K.; Li, Z.H.; Ma, X.M.; Zhao, C.J.; Yang, G.J. Monitoring Key Wheat Growth Variables by Integrating Phenology and UAV Multispectral Imagery Data into Random Forest Model. Remote Sens. 2022, 14, 3723. [Google Scholar] [CrossRef]
- Borra-Serrano, I.; De Swaef, T.; Quataert, P.; Aper, J.; Saleem, A.; Saeys, W.; Somers, B.; Roldan-Ruiz, I.; Lootens, P. Closing the Phenotyping Gap: High Resolution UAV Time Series for Soybean Growth Analysis Provides Objective Data from Field Trials. Remote Sens. 2020, 12, 1644. [Google Scholar] [CrossRef]
- Lopez-Cruz, M.; Olson, E.; Rovere, G.; Crossa, J.; Dreisigacker, S.; Mondal, S.; Singh, R.; de los Campos, G. Regularized selection indices for breeding value prediction using hyper-spectral image data. Sci. Rep. 2020, 10, 8195. [Google Scholar] [CrossRef]
- Fei, S.P.; Hassan, M.A.; Xiao, Y.G.; Rasheed, A.; Xia, X.C.; Ma, Y.T.; Fu, L.P.; Chen, Z.; He, Z.H. Application of multi-layer neural network and hyperspectral reflectance in genome-wide association study for grain yield in bread wheat. Field Crops Res. 2022, 289, 108730. [Google Scholar] [CrossRef]
- Teodoro, P.E.; Teodoro, L.P.R.; Baio, F.H.R.; da Silva, C.A.; dos Santos, R.G.; Ramos, A.P.M.; Pinheiro, M.M.F.; Osco, L.P.; Goncalves, W.N.; Carneiro, A.M.; et al. Predicting Days to Maturity, Plant Height, and Grain Yield in Soybean: A Machine and Deep Learning Approach Using Multispectral Data. Remote Sens. 2021, 13, 4632. [Google Scholar] [CrossRef]
- Zhang, Y.; Xia, C.Z.; Zhang, X.Y.; Cheng, X.H.; Feng, G.Z.; Wang, Y.; Gao, Q. Estimating the maize biomass by crop height and narrowband vegetation indices derived from UAV-based hyperspectral images. Ecol. Indic. 2021, 129, 107985. [Google Scholar] [CrossRef]
- Geng, L.Y.; Che, T.; Ma, M.G.; Tan, J.L.; Wang, H.B. Corn Biomass Estimation by Integrating Remote Sensing and Long-Term Observation Data Based on Machine Learning Techniques. Remote Sens. 2021, 13, 2352. [Google Scholar] [CrossRef]
- Zhang, Y.; Yang, Y.Z.; Zhang, Q.W.; Duan, R.Q.; Liu, J.Q.; Qin, Y.C.; Wang, X.Z. Toward Multi-Stage Phenotyping of Soybean with Multimodal UAV Sensor Data: A Comparison of Machine Learning Approaches for Leaf Area Index Estimation. Remote Sens. 2023, 15, 7. [Google Scholar] [CrossRef]
- Ma, Y.R.; Zhang, Q.; Yi, X.; Ma, L.L.; Zhang, L.F.; Huang, C.P.; Zhang, Z.; Lv, X. Estimation of Cotton Leaf Area Index (LAI) Based on Spectral Transformation and Vegetation Index. Remote Sens. 2022, 14, 136. [Google Scholar] [CrossRef]
- Fei, S.P.; Hassan, M.A.; He, Z.H.; Chen, Z.; Shu, M.Y.; Wang, J.K.; Li, C.C.; Xiao, Y.G. Assessment of Ensemble Learning to Predict Wheat Grain Yield Based on UAV-Multispectral Reflectance. Remote Sens. 2021, 13, 2338. [Google Scholar] [CrossRef]
- Yoosefzadeh-Najafabadi, M.; Tulpan, D.; Eskandari, M. Using Hybrid Artificial Intelligence and Evolutionary Optimization Algorithms for Estimating Soybean Yield and Fresh Biomass Using Hyperspectral Vegetation Indices. Remote Sens. 2021, 13, 2555. [Google Scholar] [CrossRef]
- Fei, S.P.; Chen, Z.; Li, L.; Ma, Y.T.; Xiao, Y.G. Bayesian model averaging to improve the yield prediction in wheat breeding trials. Agric. For. Meteorol. 2023, 328, 109237. [Google Scholar] [CrossRef]
- Sun, Z.Z.; Li, Q.; Jin, S.C.; Song, Y.L.; Xu, S.; Wang, X.; Cai, J.; Zhou, Q.; Ge, Y.; Zhang, R.N.; et al. Simultaneous Prediction of Wheat Yield and Grain Protein Content Using Multitask Deep Learning from Time-Series Proximal Sensing. Plant Phenomics 2022, 2022, 9757948. [Google Scholar] [CrossRef]
- Ma, C.Y.; Liu, M.X.; Ding, F.; Li, C.C.; Cui, Y.Q.; Chen, W.N.; Wang, Y.L. Wheat growth monitoring and yield estimation based on remote sensing data assimilation into the SAFY crop growth model. Sci. Rep. 2022, 12, 5473. [Google Scholar] [CrossRef]
- Maimaitijiang, M.; Sagan, V.; Sidike, P.; Hartling, S.; Esposito, F.; Fritschi, F.B. Soybean yield prediction from UAV using multimodal data fusion and deep learning. Remote Sens. Environ. 2020, 237, 111599. [Google Scholar] [CrossRef]
- Ji, Y.S.; Liu, R.; Xiao, Y.G.; Cui, Y.X.; Chen, Z.; Zong, X.X.; Yang, T. Faba bean above-ground biomass and bean yield estimation based on consumer-grade unmanned aerial vehicle RGB images and ensemble learning. Precis. Agric. 2023, 24, 1439–1460. [Google Scholar] [CrossRef]
- Li, D.; Miao, Y.X.; Gupta, S.K.; Rosen, C.J.; Yuan, F.; Wang, C.Y.; Wang, L.; Huang, Y.B. Improving Potato Yield Prediction by Combining Cultivar Information and UAV Remote Sensing Data Using Machine Learning. Remote Sens. 2021, 13, 3322. [Google Scholar] [CrossRef]
- Yoosefzadeh-Najafabadi, M.; Earl, H.J.; Tulpan, D.; Sulik, J.; Eskandari, M. Application of Machine Learning Algorithms in Plant Breeding: Predicting Yield From Hyperspectral Reflectance in Soybean. Front. Plant Sci. 2021, 11, 624273. [Google Scholar] [CrossRef]
- Crusiol, L.G.T.; Nanni, M.R.; Furlanetto, R.H.; Sibaldelli, R.N.R.; Cezar, E.; Sun, L.; Foloni, J.S.S.; Mertz-Henning, L.M.; Nepomuceno, A.L.; Neumaier, N.; et al. Classification of Soybean Genotypes Assessed under Different Water Availability and at Different Phenological Stages Using Leaf-Based Hyperspectral Reflectance. Remote Sens. 2021, 13, 172. [Google Scholar] [CrossRef]
- Sinha, P.; Robson, A.; Schneider, D.; Kilic, T.; Mugera, H.K.; Ilukor, J.; Tindamanyire, J.M. The potential of in-situ hyperspectral remote sensing for differentiating 12 banana genotypes grown in Uganda. ISPRS J. Photogramm. Remote Sens. 2020, 167, 85–103. [Google Scholar] [CrossRef]
- Galvao, L.S.; Roberts, D.A.; Formaggio, A.R.; Numata, I.; Breunig, F.M. View angle effects on the discrimination of soybean varieties and on the relationships between vegetation indices and yield using off-nadir Hyperion data. Remote Sens. Environ. 2009, 113, 846–856. [Google Scholar] [CrossRef]
- Dawson, T.P.; Curran, P.J. Technical note A new technique for interpolating the reflectance red edge position. Int. J. Remote Sens. 1998, 19, 2133–2139. [Google Scholar] [CrossRef]
- Gong, P.; Pu, R.; Heald, R.C. Analysis of in situ hyperspectral data for nutrient estimation of giant sequoia. Int. J. Remote Sens. 2002, 23, 1827–1850. [Google Scholar] [CrossRef]
- Sims, D.A.; Luo, H.Y.; Hastings, S.; Oechel, W.C.; Rahman, A.F.; Gamon, J.A. Parallel adjustments in vegetation greenness and ecosystem CO2 exchange in response to drought in a Southern California chaparral ecosystem. Remote Sens. Environ. 2006, 103, 289–303. [Google Scholar] [CrossRef]
- Gitelson, A.A.; Gritz, Y.; Merzlyak, M.N. Relationships between leaf chlorophyll content and spectral reflectance and algorithms for non-destructive chlorophyll assessment in higher plant leaves. J. Plant Physiol. 2003, 160, 271–282. [Google Scholar] [CrossRef]
- Li, F.; Mistele, B.; Hu, Y.C.; Yue, X.L.; Yue, S.C.; Miao, Y.X.; Chen, X.P.; Cui, Z.L.; Meng, Q.F.; Schmidhalter, U. Remotely estimating aerial N status of phenologically differing winter wheat cultivars grown in contrasting climatic and geographic zones in China and Germany. Field Crops Res. 2012, 138, 21–32. [Google Scholar] [CrossRef]
- Huete, A.; Justice, C.; Liu, H. Development of vegetation and soil indices for MODIS-EOS. Remote Sens. Environ. 1994, 49, 224–234. [Google Scholar] [CrossRef]
- Gitelson, A.A.; Merzlyak, M.N. Signature analysis of leaf reflectance spectra: Algorithm development for remote sensing of chlorophyll. J. Plant Physiol. 1996, 148, 494–500. [Google Scholar] [CrossRef]
- Maccioni, A.; Agati, G.; Mazzinghi, P. New vegetation indices for remote measurement of chlorophylls based on leaf directional reflectance spectra. J. Photochem. Photobiol. B 2001, 61, 52–61. [Google Scholar] [CrossRef] [PubMed]
- Dash, J.; Curran, P.J. The MERIS terrestrial chlorophyll index. Int. J. Remote Sens. 2004, 25, 5403–5413. [Google Scholar] [CrossRef]
- Datt, B. A new reflectance Index for remote rensing of chlorophyll content in higher plants: Tests using eucalyptus leaves. J. Plant Physiol. 1999, 154, 30–36. [Google Scholar] [CrossRef]
- Sims, D.A.; Gamon, J.A. Relationships between leaf pigment content and spectral reflectance across a wide range of species, leaf structures and developmental stages. Remote Sens. Environ. 2002, 81, 337–354. [Google Scholar] [CrossRef]
- Fitzgerald, G.; Rodriguez, D.; O’Leary, G. Measuring and predicting canopy nitrogen nutrition in wheat using a spectral index-The canopy chlorophyll content index (CCCI). Field Crops Res. 2010, 116, 318–324. [Google Scholar] [CrossRef]
- Haboudane, D.; Miller, J.R.; Pattey, E.; Zarco-Tejada, P.J.; Strachan, I.B. Hyperspectral vegetation indices and novel algorithms for predicting green LAI of crop canopies: Modeling and validation in the context of precision agriculture. Remote Sens. Environ. 2004, 90, 337–352. [Google Scholar] [CrossRef]
- Yao, X.; Zhu, Y.; Tian, Y.C.; Feng, W.; Cao, W.X. Exploring hyperspectral bands and estimation indices for leaf nitrogen accumulation in wheat. Int. J. Appl. Earth Obs. Geoinf. 2010, 12, 89–100. [Google Scholar] [CrossRef]
- Rouse, J.W.; Haas, R.H.; Schell, J.A.; Deering, D.W. Monitoring Vegetation Systems in the Great Plains with Erts. In Third ERTS-1 Symposium; NASA: Washington, DC, USA, 1974; Volume 351, p. 309. [Google Scholar]
- Broge, N.H.; Leblanc, E. Comparing prediction power and stability of broadband and hyperspectral vegetation indices for estimation of green leaf area index and canopy chlorophyll density. Remote Sens. Environ. 2001, 76, 156–172. [Google Scholar] [CrossRef]
- Thenot, F.; Methy, M.; Winkel, T. The Photochemical Reflectance Index (PRI) as a water-stress index. Int. J. Remote Sens. 2002, 23, 5135–5139. [Google Scholar] [CrossRef]
- Gitelson, A.A.; Vina, A.; Ciganda, V.; Rundquist, D.C.; Arkebauer, T.J. Remote estimation of canopy chlorophyll content in crops. Geophys. Res. Lett. 2005, 32, L08403. [Google Scholar] [CrossRef]
- Peuelas, J.; Gamon, J.A.; Fredeen, A.L.; Merino, J.; Field, C.B. Reflectance indices associated with physiological changes in nitrogen- and water-limited sunflower leaves. Remote Sens. Environ. 1994, 48, 135–146. [Google Scholar] [CrossRef]
- Inoue, Y.; Dabrowska-Zierinska, K.; Qi, J. Synoptic assessment of environmental impact of agricultural management: A case study on nitrogen fertiliser impact on groundwater quality, using a fine-scale geoinformation system. Int. J. Environ. Stud. 2012, 69, 443–460. [Google Scholar] [CrossRef]
- Jordan, C.F. Derivation of leaf-area index from quality of light on the forest floor. Ecology 1969, 50, 663–666. [Google Scholar] [CrossRef]
- Penuelas, J.; Baret, F.; Filella, I. Semi-empirical indices to assess carotenoids/chlorophyll A ratio from leaf spectral reflectances. Photosynthetica 1995, 31, 221–230. [Google Scholar]
- Vogelmann, J.E.; Rock, B.N.; Moss, D.M. Red edge spectral measurements from sugar maple leaves. Int. J. Remote Sens. 1993, 14, 1563–1575. [Google Scholar] [CrossRef]
- Wu, C.Y.; Niu, Z.; Tang, Q.; Huang, W.J. Estimating chlorophyll content from hyperspectral vegetation indices: Modeling and validation. Agric. For. Meteorol. 2008, 148, 1230–1241. [Google Scholar] [CrossRef]
- Nichol, J.E.; Sarker, M.L.R. Improved Biomass Estimation Using the Texture Parameters of Two High-Resolution Optical Sensors. IEEE Trans. Geosci. Remote Sens. 2011, 49, 930–948. [Google Scholar] [CrossRef]
- Sehgal, D.; Skot, L.; Singh, R.; Srivastava, R.K.; Das, S.P.; Taunk, J.; Sharma, P.C.; Pal, R.; Raj, B.; Hash, C.T.; et al. Exploring Potential of Pearl Millet Germplasm Association Panel for Association Mapping of Drought Tolerance Traits. PLoS ONE 2015, 10, e0122165. [Google Scholar] [CrossRef]
- James, G.; Witten, D.; Hastie, T.; Tibshirani, R. An Introduction to Statistical Learning; Springer: New York, NY, USA, 2013. [Google Scholar]
- Maltas, A.; Dupuis, B.; Sinaj, S. Yield and Quality Response of Two Potato Cultivars to Nitrogen Fertilization. Potato Res. 2018, 61, 97–114. [Google Scholar] [CrossRef]
- Keep, N.R.; Schapaugh, W.T.; Prasad, P.V.V.; Boyer, E. Changes in Physiological Traits in Soybean with Breeding Advancements. Crop Sci. 2016, 56, 122–131. [Google Scholar] [CrossRef]
- Thomas, H.; Ougham, H. The stay-green trait. J. Exp. Bot. 2014, 65, 3889–3900. [Google Scholar] [CrossRef] [PubMed]
- Silva, C.A.; Nanni, M.R.; Shakir, M.; Teodoro, P.E.; de Oliveira, J.F.; Cezar, E.; de Gois, G.; Lima, M.; Wojciechowski, J.C.; Shiratsuchi, L.S. Soybean varieties discrimination using non-imaging hyperspectral sensor. Infrared Phys. Technol. 2018, 89, 338–350. [Google Scholar] [CrossRef]
- Breunig, F.M.; Galvao, L.S.; Formaggio, A.R.; Epiphanio, J.C.N. Classification of soybean varieties using different techniques: Case study with Hyperion and sensor spectral resolution simulations. J. Appl. Remote Sens. 2011, 5, 053533. [Google Scholar] [CrossRef]
- Edwards, J.T.; Purcell, L.C. Soybean yield and biomass responses to increasing plant population among diverse maturity groups: I. Agronomic characteristics. Crop Sci. 2005, 45, 1770–1777. [Google Scholar] [CrossRef]
- Lozovaya, V.V.; Lygin, A.V.; Ulanov, A.V.; Nelson, R.L.; Dayde, J.; Widhohn, J.M. Effect of temperature and soil moisture status during seed development on soybean seed isoflavone concentration and composition. Crop Sci. 2005, 45, 1934–1940. [Google Scholar] [CrossRef]
- Christenson, B.S.; Schapaugh, W.T.; An, N.; Price, K.P.; Prasad, V.; Fritz, A.K. Predicting Soybean Relative Maturity and Seed Yield Using Canopy Reflectance. Crop Sci. 2016, 56, 625–643. [Google Scholar] [CrossRef]
- Myeongryeol, P.; Seo, M.J.; Yun, H.-T.; Ryu, Y.H.; Moon, H.P.; Kim, D.S. Analysis of Agronomic Traits of Soybeans Adaptable to Northern Area of the Korean Peninsula. Plant Breed. Biotechnol. 2019, 7, 386–394. [Google Scholar] [CrossRef]
- Tao, H.L.; Feng, H.K.; Xu, L.J.; Miao, M.K.; Long, H.L.; Yue, J.B.; Li, Z.H.; Yang, G.J.; Yang, X.D.; Fan, L.L. Estimation of Crop Growth Parameters Using UAV-Based Hyperspectral Remote Sensing Data. Sensors 2020, 20, 1296. [Google Scholar] [CrossRef]
- Garbulsky, M.F.; Penuelas, J.; Gamon, J.; Inoue, Y.; Filella, I. The photochemical reflectance index (PRI) and the remote sensing of leaf, canopy and ecosystem radiation use efficiencies: A review and meta-analysis. Remote Sens. Environ. 2011, 115, 281–297. [Google Scholar] [CrossRef]
- Wang, F.M.; Yi, Q.X.; Hu, J.H.; Xie, L.L.; Yao, X.P.; Xu, T.Y.; Zheng, J.Y. Combining spectral and textural information in UAV hyperspectral images to estimate rice grain yield. Int. J. Appl. Earth Obs. Geoinf. 2021, 102, 102397. [Google Scholar] [CrossRef]











| Parameter | SONY DSC-QX100 | Parameter | UHD185 |
|---|---|---|---|
| Image size | 5472 × 3648 | Working height | 50 m aboveground |
| Image dpi | 350 | Spectral Information | 450–950 nm |
| Ground spatial resolution | 0.016 m | Pixel resolution | 0.03 m |
| Exposure | 1/1250 s | Data spectral resolution | 4 nm |
| Data Type | Index Name | Equation | Reference |
|---|---|---|---|
| CCI (Canopy Chlorophyll Index) | [36] | ||
| CIgreen (Green Chlorophyll Index) | [37] | ||
| CIred-edge (RedEdge Chlorophyll Index) | [38] | ||
| EVI (Enhanced Vegetation Index) | [39] | ||
| GNDVI (Green Normalized Difference Vegetation Index) | [40] | ||
| Maccioni | [41] | ||
| Hyperspectral | MTCI (Modified Chlorophyll Absorption Ratio Index) | [42] | |
| NDI (Normalized Difference Index) | [43] | ||
| mSR705 (Modified Red Edge Simple Ratio Index) | [44] | ||
| NDRE (Normalized Difference Red Edge Index) | [45] | ||
| MTVI (Modified Triangular Vegetation Index) | [46] | ||
| NDSI (Normalized Difference Spectral Indices) | [47] | ||
| NDVI (Normalized Difference Vegetation Index) | [48] | ||
| TVI (Triangular Vegetation Index) | [49] | ||
| PRI (Photochemical Reflectance Index) | [50] | ||
| Datt | [43] | ||
| R-M (Red Model) | [51] | ||
| SRPI (Simple Ratio Pigment Index) | [52] | ||
| RSI (Ratio Spectral Index) | [53] | ||
| RVI (Ratio vegetation index) | [54] | ||
| SIPI (Structure-Intensive Pigment Index) | [55] | ||
| VARI (Visible Atmospherically Resistant Index) | [37] | ||
| VOG (Vogelmann Index)) | [56] | ||
| MND705 | [44] | ||
| OSAVI (Optimized Soil-Adjusted Vegetation Index) | [57] | ||
| TCARI (Transformed Chlorophyll Absorption in Reflectance Index)/OSAVI | [57] | ||
| MSR | [57] | ||
| REP | the wavelength of the maximum first derivative of the spectrum in the range of 680–760 nm | [34] | |
| Dr | The value of the first derivative corresponding to the red-edge position | [35] | |
| SDr | Area enclosed by first derivative spectra in the red-edge range (680 nm~760 nm) | [35] | |
| Dr/Drmin | The ratio of the red-edge amplitude and the minimum red-edge amplitude | [35] | |
| Maturity group | M | 1 (Early maturity), 2 (Median maturity), 3 (Late maturity) | / |
| RGB | Gray-level co-occurrence matrix (GLCM) | Mean, variance, homogeneity, contrast, dissimilarity, entropy, second moment and correlation | [58] |
| Parameter | No. of Samples | Min. | Max. | Mean | SD | CV |
|---|---|---|---|---|---|---|
| Early | 42 | 2272.803 | 5069.2 | 3661.274 | 681.211 | 18.61% |
| Median | 42 | 1854.260 | 4905.785 | 3451.765 | 796.989 | 23.09% |
| Late | 15 | 1877.605 | 3598.465 | 3027.847 | 489.866 | 16.18% |
| Model | Feature Type | Flowering Stage | Podding Stage | Bean-Filling Stage | |||
|---|---|---|---|---|---|---|---|
| R2 | RMSE (kg/hm2) | R2 | RMSE (kg/hm2) | R2 | RMSE (kg/hm2) | ||
| PLSR | VI | 0.543 | 494.744 | 0.537 | 499.598 | 0.346 | 611.424 |
| Te | 0.466 | 535.473 | 0.528 | 503.380 | 0.288 | 625.183 | |
| VI + Te | 0.668 | 421.400 | 0.592 | 468.231 | 0.455 | 544.294 | |
| VI + M | 0.591 | 468.023 | 0.597 | 465.017 | 0.459 | 542.746 | |
| Te + M | 0.558 | 486.656 | 0.580 | 474.122 | 0.398 | 569.885 | |
| VI + Te + M | 0.689 | 408.099 | 0.617 | 453.012 | 0.529 | 504.235 | |
| GPR | VI | 0.484 | 525.304 | 0.501 | 516.228 | 0.379 | 576.267 |
| Te | 0.397 | 567.694 | 0.493 | 523.138 | 0.282 | 641.840 | |
| VI + Te | 0.635 | 442.208 | 0.594 | 467.852 | 0.477 | 528.630 | |
| VI + M | 0.523 | 505.486 | 0.625 | 447.797 | 0.400 | 570.107 | |
| Te + M | 0.523 | 505.274 | 0.549 | 490.833 | 0.399 | 567.057 | |
| VI + Te + M | 0.686 | 410.625 | 0.630 | 446.778 | 0.551 | 490.044 | |
| RFR | VI | 0.523 | 505.638 | 0.455 | 543.456 | 0.321 | 607.768 |
| Te | 0.409 | 563.260 | 0.446 | 545.854 | 0.260 | 641.840 | |
| VI + Te | 0.608 | 458.761 | 0.514 | 510.110 | 0.378 | 579.355 | |
| VI + M | 0.542 | 495.340 | 0.570 | 479.905 | 0.383 | 575.314 | |
| Te + M | 0.473 | 530.704 | 0.557 | 487.974 | 0.360 | 588.458 | |
| VI + Te + M | 0.625 | 448.512 | 0.583 | 472.686 | 0.440 | 547.525 | |
| KRR | VI | 0.530 | 505.795 | 0.530 | 502.356 | 0.358 | 601.382 |
| Te | 0.417 | 562.080 | 0.518 | 511.263 | 0.309 | 612.221 | |
| VI + Te | 0.663 | 425.005 | 0.603 | 461.522 | 0.457 | 543.153 | |
| VI + M | 0.583 | 473.998 | 0.607 | 458.780 | 0.468 | 536.102 | |
| Te + M | 0.515 | 513.800 | 0.546 | 492.772 | 0.411 | 563.061 | |
| VI + Te + M | 0.688 | 408.890 | 0.617 | 453.816 | 0.531 | 504.219 | |
| Model | Feature Type | Whole Stage | |
|---|---|---|---|
| R2 | RMSE (kg/hm2) | ||
| PLSR | VI | 0.631 | 445.635 |
| Te | 0.623 | 450.226 | |
| VI + Te | 0.681 | 413.999 | |
| VI + M | 0.657 | 429.419 | |
| Te + M | 0.659 | 427.993 | |
| VI + Te + M | 0.688 | 409.275 | |
| GPR | VI | 0.628 | 446.030 |
| Te | 0.640 | 439.021 | |
| VI + Te | 0.686 | 410.270 | |
| VI + M | 0.660 | 426.6996 | |
| Te + M | 0.672 | 419.599 | |
| VI + Te + M | 0.700 | 400.946 | |
| RFR | VI | 0.586 | 470.437 |
| Te | 0.523 | 506.485 | |
| VI + Te | 0.651 | 432.067 | |
| VI + M | 0.608 | 458.502 | |
| Te + M | 0.568 | 482.686 | |
| VI + Te + M | 0.671 | 419.685 | |
| KRR | VI | 0.626 | 448.887 |
| Te | 0.634 | 444.077 | |
| VI + Te | 0.661 | 426.846 | |
| VI + M | 0.661 | 425.896 | |
| Te + M | 0.674 | 418.804 | |
| VI + Te + M | 0.683 | 411.771 | |
| Model | Feature Type | Flowering Stage | Podding Stage | Bean-Filling Stage | |||
|---|---|---|---|---|---|---|---|
| R2 | RMSE (kg/hm2) | R2 | RMSE (kg/hm2) | R2 | RMSE (kg/hm2) | ||
| PLSR | VI | 0.543 | 494.744 | 0.537 | 499.598 | 0.346 | 611.424 |
| Te | 0.466 | 535.473 | 0.528 | 503.380 | 0.288 | 625.183 | |
| VI + Te | 0.668 | 421.400 | 0.592 | 468.231 | 0.455 | 544.294 | |
| VI + G | 0.584 | 471.961 | 0.592 | 467.615 | 0.449 | 547.616 | |
| Te + G | 0.562 | 484.468 | 0.573 | 478.528 | 0.393 | 572.616 | |
| VI + Te + G | 0.690 | 407.742 | 0.613 | 455.547 | 0.524 | 507.219 | |
| GPR | VI | 0.484 | 525.304 | 0.501 | 516.228 | 0.379 | 576.267 |
| Te | 0.397 | 567.694 | 0.493 | 523.138 | 0.282 | 641.840 | |
| VI + Te | 0.635 | 442.208 | 0.594 | 467.852 | 0.477 | 528.630 | |
| VI + G | 0.534 | 499.387 | 0.618 | 452.138 | 0.450 | 542.198 | |
| Te + G | 0.529 | 501.988 | 0.540 | 495.959 | 0.385 | 573.910 | |
| VI + Te + G | 0.680 | 413.853 | 0.625 | 448.067 | 0.546 | 492.421 | |
| RFR | VI | 0.523 | 505.638 | 0.455 | 543.456 | 0.321 | 607.768 |
| Te | 0.409 | 563.260 | 0.446 | 545.854 | 0.260 | 641.840 | |
| VI + Te | 0.608 | 458.761 | 0.514 | 510.110 | 0.378 | 579.355 | |
| VI + G | 0.545 | 493.572 | 0.566 | 482.216 | 0.399 | 568.401 | |
| Te + G | 0.474 | 530.384 | 0.540 | 496.686 | 0.366 | 584.545 | |
| VI + Te + G | 0.618 | 452.506 | 0.601 | 462.307 | 0.440 | 547.510 | |
| KRR | VI | 0.530 | 505.795 | 0.530 | 502.356 | 0.358 | 601.382 |
| Te | 0.417 | 562.080 | 0.518 | 511.263 | 0.309 | 612.221 | |
| VI + Te | 0.663 | 425.005 | 0.603 | 461.522 | 0.457 | 543.153 | |
| VI + G | 0.579 | 476.551 | 0.601 | 462.649 | 0.434 | 557.913 | |
| Te + G | 0.519 | 511.613 | 0.543 | 494.875 | 0.404 | 566.658 | |
| VI + Te + G | 0.684 | 411.216 | 0.614 | 455.599 | 0.527 | 506.137 | |
Disclaimer/Publisher’s Note: The statements, opinions and data contained in all publications are solely those of the individual author(s) and contributor(s) and not of MDPI and/or the editor(s). MDPI and/or the editor(s) disclaim responsibility for any injury to people or property resulting from any ideas, methods, instructions or products referred to in the content. |
© 2023 by the authors. Licensee MDPI, Basel, Switzerland. This article is an open access article distributed under the terms and conditions of the Creative Commons Attribution (CC BY) license (https://creativecommons.org/licenses/by/4.0/).
Share and Cite
Ren, P.; Li, H.; Han, S.; Chen, R.; Yang, G.; Yang, H.; Feng, H.; Zhao, C. Estimation of Soybean Yield by Combining Maturity Group Information and Unmanned Aerial Vehicle Multi-Sensor Data Using Machine Learning. Remote Sens. 2023, 15, 4286. https://doi.org/10.3390/rs15174286
Ren P, Li H, Han S, Chen R, Yang G, Yang H, Feng H, Zhao C. Estimation of Soybean Yield by Combining Maturity Group Information and Unmanned Aerial Vehicle Multi-Sensor Data Using Machine Learning. Remote Sensing. 2023; 15(17):4286. https://doi.org/10.3390/rs15174286
Chicago/Turabian StyleRen, Pengting, Heli Li, Shaoyu Han, Riqiang Chen, Guijun Yang, Hao Yang, Haikuan Feng, and Chunjiang Zhao. 2023. "Estimation of Soybean Yield by Combining Maturity Group Information and Unmanned Aerial Vehicle Multi-Sensor Data Using Machine Learning" Remote Sensing 15, no. 17: 4286. https://doi.org/10.3390/rs15174286
APA StyleRen, P., Li, H., Han, S., Chen, R., Yang, G., Yang, H., Feng, H., & Zhao, C. (2023). Estimation of Soybean Yield by Combining Maturity Group Information and Unmanned Aerial Vehicle Multi-Sensor Data Using Machine Learning. Remote Sensing, 15(17), 4286. https://doi.org/10.3390/rs15174286

