Impact of the Detection Channels Added by Fengyun Satellite MWHS-II at 183 GHz on Global Numerical Weather Prediction
Abstract
:1. Introduction
2. Data and Method
2.1. FY-3D MWHS-II
2.2. CMA-GFS 4D-Var Global Numerical Forecasting System
3. Experimental Analysis
3.1. Assimilation and Forecast Experiment of Single-Point Observation
3.2. Assimilation and Forecast Experiment of Single-Moment Observations
3.3. Forecast Impact Assessment of Time Series
4. Conclusions and Discussion
- In the analysis of single-point assimilation, each isobaric surface shows that the specific-humidity increment is extremely small under clear-sky conditions, but the value of the upper troposphere is much greater than that of the lower troposphere. Compared with assimilating the observations of only channels 11, 13 and 15, increasing the observation data of channels 12 and 14 shows an adjustment of at least 10% for the specific-humidity increment in the upper atmosphere, while the value remains at an average of 6% in the lower atmosphere. That is, the 183.31 ± 1.8 GHz frequency point near the center of the water-vapor absorption line has a greater impact on data assimilation than 183.31 ± 4.5 GHz, which is far from the center.
- In the analysis of single-point forecasting, the incremental value decreases gradually and is basically dissipated after 6 h of forecasting. The dissipation rate is slower in the middle and upper troposphere and faster in the lower troposphere, which makes the impact of the two additional 183 GHz observation channels on the middle and upper troposphere stronger than that of the lower troposphere.
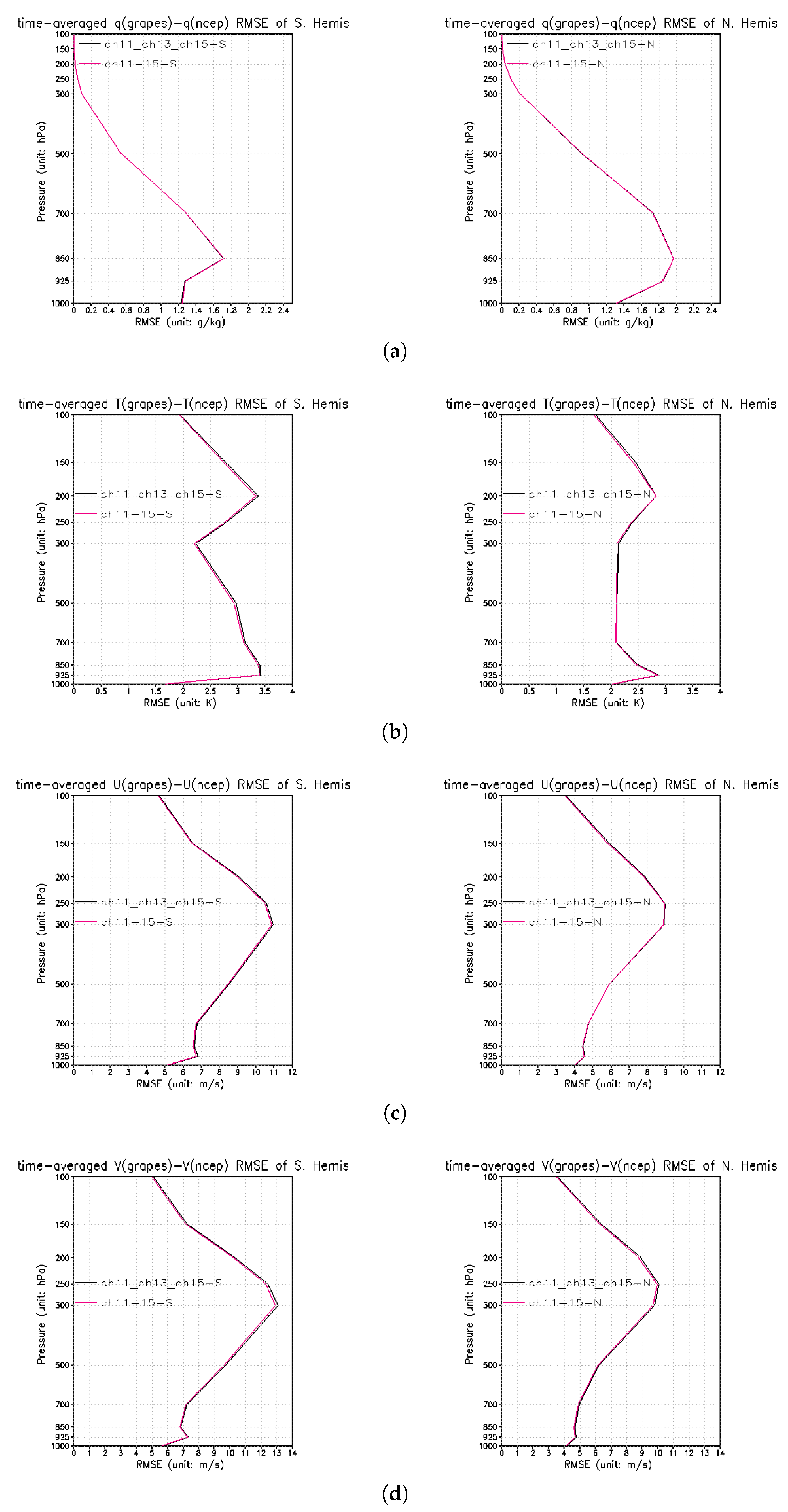
- In the analysis of single-moment assimilation, there is almost no difference (less than 1%) in the RMSE of the specific-humidity and temperature fields, but there is a relatively significant decrease in the RMSE value of the wind field after the observation assimilation of newly added channels 12 and 14. The difference between the two sets of RMSE in the Northern Hemisphere is also reflected in the higher atmosphere due to the lack of assimilation of near-surface data over vast land areas.
- In the analysis of single-moment forecasting, the humidity increment diminishes with the increase in height. However, for the potential-height field, the U-component of the wind field and the V-component of the wind field, their increments increase with the increase in height. And the absolute value of the incremental change is still small and needs to be amplified with an index.
- The results of the 10-day assimilation and forecast experiments show that there is a neutral impact on the specific-humidity forecast field but a slightly positive impact on the V-component of wind in the short term after adding 183 GHz channels for assimilation in the troposphere. The closer to the new detection frequency the assimilation of data is conducted, the more obvious the decreasing trend is. And the decreases at 500 hPa and 700 hPa are 10% higher than those at other altitudes.
Author Contributions
Funding
Data Availability Statement
Acknowledgments
Conflicts of Interest
References
- Held, I.M.; Soden, B.J. Water vapor feedback and global warming. Annu. Rev. Energy Environ. 2000, 25, 441–475. [Google Scholar] [CrossRef]
- Tu, J.; Lu, E. Relative importance of water vapor and air temperature in the interannual variation of the seasonal precipitation: A comparison of the physical and statistical methods. Clim. Dyn. 2020, 54, 3655–3670. [Google Scholar] [CrossRef]
- Shine, K.P.; Ptashnik, I.V.; Rädel, G. The water vapour continuum: Brief history and recent developments. Surv. Geophys. 2012, 33, 535–555. [Google Scholar] [CrossRef]
- Andersson, E.; Hólm, E.; Bauer, P.; Beljaars, A.; Kelly, G.; McNally, A.; Simmons, A.; Thépaut, J.N.; Tompkins, A. Analysis and forecast impact of the main humidity observing systems. Q. J. R. Meteorol. Soc. J. Atmos. Sci. Appl. Meteorol. Phys. Oceanogr. 2007, 133, 1473–1485. [Google Scholar] [CrossRef]
- Andersson, E.; Hólm, E.; Thépaut, J. Impact studies of main types of conventional and satellite humidity data. In Proceedings of the 3rd WMO Workshop on The Impact of Various Observing Systems on NWP, Alpbach, Austria, 9–12 March 2004. [Google Scholar]
- Geer, A.J.; Migliorini, S.; Matricardi, M. All-sky assimilation of infrared radiances sensitive to mid-and upper-tropospheric moisture and cloud. Atmos. Meas. Tech. 2019, 12, 4903–4929. [Google Scholar] [CrossRef]
- Yin, R.; Han, W.; Wang, H.; Wang, J. Impacts of FY-4A GIIRS Water Vapor Channels Data Assimilation on the Forecast of “21· 7” Extreme Rainstorm in Henan, China with CMA-MESO. Remote Sens. 2022, 14, 5710. [Google Scholar] [CrossRef]
- Eyre, J.R.; English, S.J.; Forsythe, M. Assimilation of satellite data in numerical weather prediction. Part I: The early years. Q. J. R. Meteorol. Soc. 2020, 146, 49–68. [Google Scholar] [CrossRef]
- Eyre, J.; Bell, W.; Cotton, J.; English, S.; Forsythe, M.; Healy, S.; Pavelin, E. Assimilation of satellite data in numerical weather prediction. Part II: Recent years. Q. J. R. Meteorol. Soc. 2022, 148, 521–556. [Google Scholar] [CrossRef]
- Adler, R.F.; Mack, R.A.; Prasad, N.; Hakkarinen, I.M.; Yeh, H.M. Aircraft microwave observations and simulations of deep convection from 18 to 183 GHz. Part I: Observations. J. Atmos. Ocean. Technol. 1990, 7, 377–391. [Google Scholar] [CrossRef]
- Yeh, H.Y.M.; Prasad, N.; Mack, R.A.; Adler, R.F. Aircraft microwave observations and simulations of deep convection from 18 to 183 GHz. Part II: Model results. J. Atmos. Ocean. Technol. 1990, 7, 392–410. [Google Scholar] [CrossRef]
- Muller, B.M.; Fuelberg, H.E.; Xiang, X. Simulations of the effects of water vapor, cloud liquid water, and ice on AMSU moisture channel brightness temperatures. J. Appl. Meteorol. Climatol. 1994, 33, 1133–1154. [Google Scholar] [CrossRef]
- English, S.; Renshaw, R.; Dibben, P.; Smith, A.; Rayer, P.; Poulsen, C.; Saunders, F.; Eyre, J. A comparison of the impact of TOVS arid ATOVS satellite sounding data on the accuracy of numerical weather forecasts. Q. J. R. Meteorol. Soc. 2000, 126, 2911–2931. [Google Scholar] [CrossRef]
- Bengtsson, L.; Hodges, K.I. On the impact of humidity observations in numerical weather prediction. Tellus A Dyn. Meteorol. Oceanogr. 2005, 57, 701–708. [Google Scholar] [CrossRef]
- Di Tomaso, E.; Bormann, N. Assimilation of ATOVS Radiances at ECMWF: Second Year EUMETSAT Fellowship Report; ECMWF: Reading, UK, 2012.
- Bauer, P.; Geer, A.J.; Lopez, P.; Salmond, D. Direct 4D-Var assimilation of all-sky radiances. Part I: Implementation. Q. J. R. Meteorol. Soc. 2010, 136, 1868–1885. [Google Scholar] [CrossRef]
- Geer, A.J.; Bauer, P.; Lopez, P. Direct 4D-Var assimilation of all-sky radiances. Part II: Assessment. Q. J. R. Meteorol. Soc. 2010, 136, 1886–1905. [Google Scholar] [CrossRef]
- Candy, B.; Migliorini, S. The assimilation of microwave humidity sounder observations in all-sky conditions. Q. J. R. Meteorol. Soc. 2021, 147, 3049–3066. [Google Scholar] [CrossRef]
- Geer, A.J. All-Sky Assimilation: Better Snow-Scattering Radiative Transfer and Addition of SSMIS Humidity Sounding Channels; European Centre for Medium-Range Weather Forecasts: Reading, UK, 2013; Volume 706.
- Geer, A.; Baordo, F.; Bormann, N.; Chambon, P.; English, S.; Kazumori, M.; Lawrence, H.; Lean, P.; Lonitz, K.; Lupu, C. The growing impact of satellite observations sensitive to humidity, cloud and precipitation. Q. J. R. Meteorol. Soc. 2017, 143, 3189–3206. [Google Scholar] [CrossRef]
- Toong, H.; Staelin, D. Passive microwave spectrum measurements of atmospheric water vapor and clouds. J. Atmos. Sci. 1970, 27, 781–784. [Google Scholar] [CrossRef]
- Ferraro, R.R.; Weng, F.; Grody, N.C.; Zhao, L.; Meng, H.; Kongoli, C.; Pellegrino, P.; Qiu, S.; Dean, C. NOAA operational hydrological products derived from the advanced microwave sounding unit. IEEE Trans. Geosci. Remote Sens. 2005, 43, 1036–1049. [Google Scholar] [CrossRef]
- Smith, W., Sr.; Revercomb, H.; Bingham, G.; Larar, A.; Huang, H.; Zhou, D.; Li, J.; Liu, X.; Kireev, S. Evolution, current capabilities, and future advances in satellite ultra-spectral IR sounding. Atmos. Chem. Phys. Discuss. 2009, 9, 5563–5574. [Google Scholar] [CrossRef]
- Zou, X.; Qin, Z.; Weng, F. Impacts from assimilation of one data stream of AMSU-A and MHS radiances on quantitative precipitation forecasts. Q. J. R. Meteorol. Soc. 2017, 143, 731–743. [Google Scholar] [CrossRef]
- Rabier, F. Overview of global data assimilation developments in numerical weather-prediction centres. Q. J. R. Meteorol. Soc. J. Atmos. Sci. Appl. Meteorol. Phys. Oceanogr. 2005, 131, 3215–3233. [Google Scholar] [CrossRef]
- Muth, C.; Lee, P.S.; Shiue, J.C.; Webb, W.A. Advanced technology microwave sounder on NPOESS and NPP. In Proceedings of the IGARSS 2004—2004 IEEE International Geoscience and Remote Sensing Symposium, IEEE, Anchorage, AK, USA, 20–24 September 2004; Volume 4, pp. 2454–2458. [Google Scholar]
- Niels, B.; Anne, F.; William, B. Evaluation and assimilation of ATMS data in the ECMWF system. Tech. Memo. 2012, 689, 16. [Google Scholar]
- Mathur, A.; Gangwar, R.; Gohil, B.; Deb, S.K.; Kumar, P.; Shukla, M.V.; Simon, B.; Pal, P. Humidity profile retrieval from SAPHIR on-board the Megha-Tropiques. Curr. Sci. 2013, 25, 1650–1655. [Google Scholar]
- Singh, R.; Ojha, S.P.; Kishtawal, C.; Pal, P. Quality assessment and assimilation of Megha-Tropiques SAPHIR radiances into WRF assimilation system. J. Geophys. Res. Atmos. 2013, 118, 6957–6969. [Google Scholar] [CrossRef]
- Kan, W.; Han, Y.; Weng, F.; Guan, L.; Gu, S. Multisource assessments of the FengYun-3D microwave humidity sounder (MWHS) on-orbit performance. IEEE Trans. Geosci. Remote. Sens. 2020, 58, 7258–7268. [Google Scholar] [CrossRef]
- Lawrence, H.; Bormann, N.; Geer, A.J.; Lu, Q.; English, S.J. Evaluation and assimilation of the microwave sounder MWHS-2 onboard FY-3C in the ECMWF numerical weather prediction system. IEEE Trans. Geosci. Remote Sens. 2018, 56, 3333–3349. [Google Scholar] [CrossRef]
- Blackwell, W.J.; Bickmeier, L.J.; Leslie, R.V.; Pieper, M.L.; Samra, J.E.; Surussavadee, C.; Upham, C.A. Hyperspectral microwave atmospheric sounding. IEEE Trans. Geosci. Remote Sens. 2010, 49, 128–142. [Google Scholar] [CrossRef]
- Kummerow, C.D.; Poczatek, J.C.; Almond, S.; Berg, W.; Jarrett, O.; Jones, A.; Kantner, M.; Kuo, C.P. Hyperspectral microwave sensors—Advantages and limitations. IEEE J. Sel. Top. Appl. Earth Obs. Remote Sens. 2021, 15, 764–775. [Google Scholar] [CrossRef]
- Zhang, S.; Li, J.; Jiang, J.; Zhang, Y.; Wang, Z.; Dong, X. Microwave humidity sounder (MWHS) of Chinese meteorological satellite FY-3. In Proceedings of the Microwave Technology and Techniques Workshop-Enabling Future Space Systems, ESA/ESTEC, Noordwijk, The Netherlands, 15–16 May 2006. [Google Scholar]
- Zhang, S.; Li, J.; Wang, Z.; Wang, H.; Sun, M.; Jiang, J.; He, J. Design of the second generation microwave humidity sounder (MWHS-II) for Chinese meteorological satellite FY-3. In Proceedings of the 2012 IEEE International Geoscience and Remote Sensing Symposium, Munich, Germany, 22–27 July 2012; pp. 4672–4675. [Google Scholar]
- Guo, Y.; He, J.; Gu, S.; Lu, N. Calibration and validation of Feng Yun-3-D microwave humidity sounder II. IEEE Geosci. Remote Sens. Lett. 2019, 17, 1846–1850. [Google Scholar] [CrossRef]
- Carminati, F.; Atkinson, N.; Candy, B.; Lu, Q. Insights into the microwave instruments onboard the Fengyun 3D satellite: Data quality and assimilation in the Met Office NWP system. Adv. Atmos. Sci. 2021, 38, 1379–1396. [Google Scholar] [CrossRef]
- Zhang, L.; Liu, Y.; Liu, Y.; Gong, J.; Lu, H.; Jin, Z.; Tian, W.; Liu, G.; Zhou, B.; Zhao, B. The operational global four-dimensional variational data assimilation system at the China Meteorological Administration. Q. J. R. Meteorol. Soc. 2019, 145, 1882–1896. [Google Scholar] [CrossRef]
- Zhang, L.; Chen, J. An improvement of the linearized planetary boundary layer parameterization scheme for CMA-GFS 4DVar. J. Appl. Meteor. Sci. 2023, 34, 15–26. [Google Scholar]
- Yang, Y.; Wei, H.; Peiming, D. Overview on the quality control in assimilation of AMSU microwave sounding data. Meteorol. Mon. 2011, 37, 1395–1401. [Google Scholar]
- Xie, X.; Wu, S.; Xu, H.; Yu, W.; He, J.; Gu, S. Ascending–descending bias correction of microwave radiation imager on board FengYun-3C. IEEE Trans. Geosci. Remote Sens. 2018, 57, 3126–3134. [Google Scholar] [CrossRef]
- Harris, B.; Kelly, G. A satellite radiance-bias correction scheme for data assimilation. Q. J. R. Meteorol. Soc. 2001, 127, 1453–1468. [Google Scholar] [CrossRef]
- Saunders, R.; Hocking, J.; Turner, E.; Rayer, P.; Rundle, D.; Brunel, P.; Vidot, J.; Roquet, P.; Matricardi, M.; Geer, A.; et al. An update on the RTTOV fast radiative transfer model (currently at version 12). Geosci. Model Dev. 2018, 11, 2717–2737. [Google Scholar] [CrossRef]
- Bennartz, R.; Thoss, A.; Dybbroe, A.; Michelson, D.B. Precipitation analysis using the Advanced Microwave Sounding Unit in support of nowcasting applications. Meteorol. Appl. 2002, 9, 177–189. [Google Scholar] [CrossRef]












| Horizontal Resolution | 0.25°/1.0° (Outer Loop/Inner Loop) |
|---|---|
| Vertical layers | 87 |
| Assimilation window | 6 h |
| Observation time slot | 30 min |
| Maximum number of minimization iterations | 50 |
| Model top | 0.1 hPa |
Disclaimer/Publisher’s Note: The statements, opinions and data contained in all publications are solely those of the individual author(s) and contributor(s) and not of MDPI and/or the editor(s). MDPI and/or the editor(s) disclaim responsibility for any injury to people or property resulting from any ideas, methods, instructions or products referred to in the content. |
© 2023 by the authors. Licensee MDPI, Basel, Switzerland. This article is an open access article distributed under the terms and conditions of the Creative Commons Attribution (CC BY) license (https://creativecommons.org/licenses/by/4.0/).
Share and Cite
Ju, Y.; He, J.; Ma, G.; Huang, J.; Guo, Y.; Liu, G.; Zhang, M.; Gong, J.; Zhang, P. Impact of the Detection Channels Added by Fengyun Satellite MWHS-II at 183 GHz on Global Numerical Weather Prediction. Remote Sens. 2023, 15, 4279. https://doi.org/10.3390/rs15174279
Ju Y, He J, Ma G, Huang J, Guo Y, Liu G, Zhang M, Gong J, Zhang P. Impact of the Detection Channels Added by Fengyun Satellite MWHS-II at 183 GHz on Global Numerical Weather Prediction. Remote Sensing. 2023; 15(17):4279. https://doi.org/10.3390/rs15174279
Chicago/Turabian StyleJu, Yali, Jieying He, Gang Ma, Jing Huang, Yang Guo, Guiqing Liu, Minjie Zhang, Jiandong Gong, and Peng Zhang. 2023. "Impact of the Detection Channels Added by Fengyun Satellite MWHS-II at 183 GHz on Global Numerical Weather Prediction" Remote Sensing 15, no. 17: 4279. https://doi.org/10.3390/rs15174279
APA StyleJu, Y., He, J., Ma, G., Huang, J., Guo, Y., Liu, G., Zhang, M., Gong, J., & Zhang, P. (2023). Impact of the Detection Channels Added by Fengyun Satellite MWHS-II at 183 GHz on Global Numerical Weather Prediction. Remote Sensing, 15(17), 4279. https://doi.org/10.3390/rs15174279

