Tempo-Spatial Landslide Susceptibility Assessment from the Perspective of Human Engineering Activity
Abstract
:1. Introduction
2. Study Area
2.1. Geography and Geological Conditions
2.2. Description and Analysis of Landslide Inventory
3. Materials and Methods
3.1. Data Collection and Processing
3.1.1. Land-Use Land-Cover Conditioning Factors
3.1.2. Influencing Factors Used as Landslide Predictors
3.2. Data Collection and Processing
3.3. Hybrid Model for Landslide Susceptibility Assessment
4. Results
4.1. Analysis of Temporal and Spatial Variation Characteristics of LULC
4.2. Factor Performance
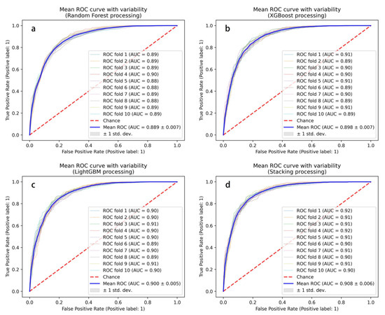
4.3. Assessing Modeling Patterns
4.4. Prediction Patterns over Different Engineering Scenarios
5. Discussion
6. Conclusions
Author Contributions
Funding
Data Availability Statement
Conflicts of Interest
References
- Ma, S.; Shao, X.; Xu, C. Characterizing the Distribution Pattern and a Physically Based Susceptibility Assessment of Shallow Landslides Triggered by the 2019 Heavy Rainfall Event in Longchuan County, Guangdong Province, China. Remote Sens. 2022, 14, 4257. [Google Scholar] [CrossRef]
- Guo, Z.; Tian, B.; Li, G.; Huang, D.; Zeng, T.; He, J. Danqing Song. Landslide susceptibility mapping in the Loess Plateau of northwest China using three data-driven techniques-a case study from middle Yellow River catchment. Front. Earth Sci. 2023, 10, 1033085. [Google Scholar] [CrossRef]
- Guo, Z.; Tian, B.; He, J.; Xu, C.; Zeng, T.; Zhu, Y. Hazard assessment for regional typhoon-triggered landslides by using physically-based model—A case study from southeastern China. Georisk Assess. Manag. Risk 2023, 1–15. [Google Scholar] [CrossRef]
- Cui, Y.; Jin, J.; Huang, Q.; Yuan, K.; Xu, C. A Data-Driven Model for Spatial Shallow Landslide Probability of Occurrence Due to a Typhoon in Ningguo City, Anhui Province, China. Remote Sens. 2022, 13, 732. [Google Scholar] [CrossRef]
- Guo, Z.; Chen, L.; Yin, K.; Shrestha, D.; Zhang, L. Quantitative risk assessment of slow-moving landslides from the viewpoint of decision-making: A case study of the Three Gorges Reservoir in China. Eng. Geol. 2020, 273, 105667. [Google Scholar] [CrossRef]
- Zhuang, Y.; Xing, A.; Sun, Q.; Jiang, Y.; Zhang, Y.; Wang, C. Failure and disaster-causing mechanism of a typhoon-induced large landslide in Yongjia, Zhejiang, China. Landslides 2023. [Google Scholar] [CrossRef]
- Zhao, D.; Xu, H.; Yu, Y.; Chen, L. Identification of synoptic patterns for extreme rainfall events associated with landfalling typhoons in China during 1960–2020. Adv. Clim. Chang. Res. 2022, 13, 651–665. [Google Scholar] [CrossRef]
- Qin, H.; He, J.; Guo, J.; Cai, L. Developmental characteristics of rainfall-induced landslides from 1999 to 2016 in Wenzhou City of China. Front. Earth Sci. 2022, 10, 1005199. [Google Scholar] [CrossRef]
- Yin, J.; Yin, Z.; Xu, S. Composite risk assessment of typhoon-induced disaster for China’s coastal area. Nat. Hazards 2013, 69, 1423–1434. [Google Scholar] [CrossRef]
- Huang, Y.; Xu, C.; Zhang, X.; Xue, C.; Wang, S. An updated database and spatial distribution of landslides triggered by the milin, tibet Mw6.4 Earthquake of 18 November 2017. J. Earth Sci. 2021, 32, 1069–1078. [Google Scholar] [CrossRef]
- Zeng, T.; Yin, K.; Gui, L.; Peduto, D.; Wu, L.; Guo, Z.; Li, Y. Quantitative risk assessment of the Shilongmen reservoir landslide in the Three Gorges area of China. Bull. Eng. Geol. Environ. 2023, 82, 214. [Google Scholar] [CrossRef]
- Zeng, T.; Glade, T.; Xie, Y.; Kunlong, Y.; Peduto, D. Deep learning powered long-term warning systems for reservoir landslides. Int. J. Disaster Risk Reduct. 2023, 94, 103820. [Google Scholar] [CrossRef]
- Zeng, T.; Jiang, H.; Liu, Q.; Yin, K. Landslide displacement prediction based on Variational mode decomposition and MIC-GWO-LSTM model. Stoch. Environ. Res. Risk A 2022, 36, 1353–1372. [Google Scholar]
- Zeng, T.; Yin, K.; Jiang, H.; Liu, X.; Guo, Z.; Peduto, D. Groundwater level prediction based on a combined intelligence method for the Sifangbei landslide in the Three Gorges Reservoir Area. Sci. Rep. 2022, 12, 11108. [Google Scholar] [CrossRef]
- Liang, L.; Wang, Z.; Li, J. The effect of urbanization on environmental pollution in rapidly developing urban agglomerations. J. Clean. Prod. 2019, 237, 117649. [Google Scholar] [CrossRef]
- Chen, C.Y.; Huang, W.L. Land use change and landslide characteristics analysis for community-based disaster mitigation. Environ. Monit. Assess. 2013, 185, 4125–4139. [Google Scholar] [CrossRef]
- Glade, T.; Crozier, M.J. Landslide Hazard and Risk: Issues, Concepts and Approach; Glade, T., Anderson, M., Crozier, M.J., Eds.; John Wiley & Sons, Ltd.: Chichester, West Sussex, UK, 2005; pp. 1–40. [Google Scholar]
- Tyagi, A.; Tiwari, R.K.; James, N. Mapping the landslide susceptibility considering future land-use land-cover scenario. Landslides 2023, 20, 65–76. [Google Scholar] [CrossRef]
- Pisano, L.; Zumpano, V.; Malek, }.; Rosskopf, C.M.; Parise, M. Variations in the susceptibility to landslides, as a consequence of land cover changes: A look to the past, and another towards the future. Sci. Total Environ. 2017, 601, 1147–1159. [Google Scholar] [CrossRef]
- Rohan, T.; Shelef, E.; Mirus, B.; Coleman, T. Prolonged influence of urbanization on landslide susceptibility. Landslides 2023, 20, 1433–1447. [Google Scholar] [CrossRef]
- Hao, L.; van Westen, C.; Rajaneesh, A.; Sajinkumar, K.S.; Martha, T.R.; Jaiswal, P. Evaluating the relation between land use changes and the 2018 landslide disaster in Kerala, India. Catena 2022, 216, 106363. [Google Scholar] [CrossRef]
- Xiong, H.; Ma, C.; Li, M.; Tan, J.; Wang, Y. Landslide susceptibility prediction considering land use change and human activity: A case study under rapid urban expansion and afforestation in China. Sci. Total Environ. 2023, 866, 161430. [Google Scholar] [CrossRef] [PubMed]
- Chen, L.; Guo, Z.; Yin, K.; Shrestha, D.P.; Jin, S. The influence of land use and land cover change on landslide susceptibility: A case study in Zhushan Town, Xuan’en County (Hubei, China). Nat. Hazards Earth Syst. Sci. 2019, 19, 2207–2228. [Google Scholar] [CrossRef]
- Promper, C.; Puissant, A.; Malet, J.P.; Glade, T. Analysis of land cover changes in the past and the future as contribution to landslide risk scenarios. Appl. Geogr. 2014, 53, 11–19. [Google Scholar] [CrossRef]
- Guo, Z.; Ferrer, J.V.; Hürlimann, M.; Medina, V.; Puig-Polo, C.; Yin, K.; Huang, D. Shallow landslide susceptibility assessment under future climate and land cover changes: A case study from southwest China. Geosci. Front. 2023, 14, 101542. [Google Scholar] [CrossRef]
- Shu, H.; Marcel, H.; Roberto, M.; Marta, G.; Jordi, P.; Abancó, C.; Jinzhu, M. Relation between land cover and landslide susceptibility in Val d’Aran, Pyrenees (Spain): Historical aspects, present situation and forward prediction. Sci. Total Environ. 2019, 693, 133557. [Google Scholar] [CrossRef]
- Wang, J.; Zhang, J.; Xiong, N.; Liang, B.; Wang, Z.; Cressey, E. Spatial and Temporal Variation, Simulation and Prediction of Land Use in Ecological Conservation Area of Western Beijing. Remote Sens. 2022, 14, 1452. [Google Scholar] [CrossRef]
- Liang, X.; Guan, Q.; Clarke, K.C.; Liu, S.; Wang, B.; Yao, Y. Understanding the drivers of sustainable land expansion using a patch-generating land use simulation (PLUS) model: A case study in Wuhan, China. Comput. Environ. Urban Syst. 2021, 85, 101569. [Google Scholar] [CrossRef]
- Chen, J.; Yang, Y.; Feng, Z.; Huang, R.; Zhou, G.; You, H.; Han, X. Ecological Risk Assessment and Prediction Based on Scale Optimization—A Case Study of Nanning, a Landscape Garden City in China. Remote Sens. 2023, 15, 1304. [Google Scholar] [CrossRef]
- Li, X.; Fu, J.; Jiang, D.; Lin, G.; Cao, C. Land use optimization in Ningbo City with a coupled GA and PLUS model. J. Clean. Prod. 2022, 375, 134004. [Google Scholar] [CrossRef]
- Zhang, S.; Chen, C.; Yang, Y.; Huang, C.; Wang, M.; Tan, W. Coordination of economic development and ecological conservation during spatiotemporal evolution of land use/cover in eco-fragile areas. Catena 2023, 226, 107097. [Google Scholar] [CrossRef]
- Zhou, C.; Yin, K.; Cao, Y.; Ahmed, B.; Li, Y.; Catan, F.; Reza, H.P. Landslide susceptibility modeling applying machine learning methods: A case study from Longju in the Three Gorges Reservoir area, China. Comput. Geosci. 2017, 112, 23–37. [Google Scholar] [CrossRef]
- Huang, F.; Chen, J.; Liu, W.; Huang, J.; Hong, H.; Chen, W. Regional rainfall-induced landslide hazard warning based on landslide susceptibility mapping and a critical rainfall threshold. Geomorphology 2022, 408, 108236. [Google Scholar] [CrossRef]
- Zeng, T.; Wu, L.; Peduto, D.; Glade, T.; Hayakawa, Y.S.; Yin, K. Ensemble learning framework for landslide susceptibility mapping: Different basic classifier and ensemble strategy. Geosci. Front. 2023, 14, 101645. [Google Scholar] [CrossRef]
- Guo, Z.; Torra, O.; Hürlimann, M.; Abancó, C.; Medina, V. FSLAM: A QGIS plugin for fast regional susceptibility assessment of rainfall-induced landslides. Environ. Model. Softw. 2022, 150, 105354. [Google Scholar] [CrossRef]
- Dai, C.; Li, W.; Wang, D.; Lu, H.; Xu, Q.; Jian, J. Active Landslide Detection Based on Sentinel-1 Data and InSAR Technology in Zhouqu County, Gansu Province, Northwest China. J. Earth Sci. 2021, 32, 1092–1103. [Google Scholar] [CrossRef]
- Reichenbach, P.; Rossi, M.; Malamud, B.D.; Mihir, M.; Guzzetti, F. A review of statistically-based landslide susceptibility models. Earth-Sci. Rev. 2018, 180, 60–91. [Google Scholar] [CrossRef]
- Guo, Z.; Shi, Y.; Huang, F.; Fan, X.; Huang, J. Landslide susceptibility zonation method based on C5.0 decision tree and K-means cluster algorithms to improve the efficiency of risk management. Geosci. Front. 2021, 12, 101249. [Google Scholar] [CrossRef]
- Huang, F.; Cao, Z.; Guo, J.; Jiang, S.; Li, S.; Guo, Z. Comparisons of heuristic, general statistical and machine learning models for landslide susceptibility prediction and mapping. Catena 2020, 191, 104580. [Google Scholar] [CrossRef]
- Huang, F.; Xiong, H.; Yao, C.; Catani, F.; Zhou, C.; Huang, J. Uncertainties of landslide susceptibility prediction considering different landslide types. J. Rock Mech. Geotech. Eng. 2023; in press. [Google Scholar]
- Jin, B.; Yin, K.; Li, Q.; Gui, L.; Yang, T.; Zhao, B.; Guo, B.; Zeng, T.; Ma, Z. Susceptibility Analysis of Land Subsidence along the Transmission Line in the Salt Lake Area Based on Remote Sensing Interpretation. Remote Sens. 2022, 14, 3229. [Google Scholar] [CrossRef]
- Nguyen, H.; Bui, X.; Tran, Q. Estimating Air Over-pressure Resulting from Blasting in Quarries Based on a Novel Ensemble Model (GLMNETs–MLPNN). Nat. Resour. Res. 2021, 30, 2629–2646. [Google Scholar] [CrossRef]
- Huang, F.; Yan, J.; Fan, X.; Yao, C.; Huang, J.; Chen, W.; Hong, H. Uncertainty pattern in landslide susceptibility prediction modelling: Effects of different landslide boundaries and spatial shape expressions. Geosci. Front. 2022, 13, 101317. [Google Scholar] [CrossRef]
- Huang, F.; Tao, S.; Li, D.; Lian, Z.; Catani, F.; Huang, J.; Li, K.; Zhang, C. Landslide Susceptibility Prediction Considering Neighborhood Characteristics of Landslide Spatial Datasets and Hydrological Slope Units Using Remote Sensing and GIS Technologies. Remote Sens. 2022, 14, 4436. [Google Scholar] [CrossRef]
- Goetz, J.N.; Brenning, A.; Petschko, H.; Leopold, P. Evaluating machine learning and statistical prediction techniques for landslide susceptibility modeling. Comput. Geosci. 2015, 81, 1–11. [Google Scholar] [CrossRef]
- Huang, F.; Pan, L.; Fan, X.; Jiang, S.; Huang, J.; Zhou, C. The uncertainty of landslide susceptibility prediction modeling: Suitability of linear conditioning factors. Bull. Eng. Geol. Environ. 2022, 81, 182. [Google Scholar] [CrossRef]
- Liu, S.; Yin, K.; Zhou, C.; Gui, L.; Liang, X.; Lin, W.; Zhao, B. Susceptibility Assessment for Landslide Initiated along Power Transmission Lines. Remote Sens. 2021, 13, 5068. [Google Scholar] [CrossRef]
- He, Q.; Jiang, Z.; Wang, M.; Liu, K. Landslide and Wildfire Susceptibility Assessment in Southeast Asia Using Ensemble Machine Learning Methods. Remote Sens. 2021, 13, 1572. [Google Scholar] [CrossRef]
- Kadavi, P.; Lee, C.; Lee, S. Application of Ensemble-Based Machine Learning Models to Landslide Susceptibility Mapping. Remote Sens. 2018, 10, 1252. [Google Scholar] [CrossRef]
- Dou, J.; Yunus, A.P.; Bui, D.T.; Merghadi, A.; Sahana, M.; Zhu, Z.; Chen, C.; Han, Z.; Pham, B.T. Improved landslide assessment using support vector machine with bagging, boosting, and stacking ensemble machine learning framework in a mountainous watershed, Japan. Landslides 2020, 17, 641–658. [Google Scholar] [CrossRef]
- Wang, S.; Zhuang, J.; Zheng, J.; Fan, H.; Kong, J.; Zhan, J. Application of Bayesian Hyperparameter Optimized Random Forest and XGBoost Model for Landslide Susceptibility Mapping. Front. Earth Sci. 2021, 9, 712240. [Google Scholar] [CrossRef]
- Liu, Z.; Gilbert, G.; Cepeda, J.M.; Lysdahl, A.O.K.; Piciullo, L.; Hefre, H.; Lacasse, S. Modelling of shallow landslides with machine learning algorithms. Geosci. Front. 2021, 12, 385–393. [Google Scholar] [CrossRef]
- Li, W.; Fang, Z.; Wang, Y. Stacking ensemble of deep learning methods for landslide susceptibility mapping in the Three Gorges Reservoir area, China. Stoch. Environ. Res. Risk A 2022, 36, 2207–2228. [Google Scholar] [CrossRef]
- Arabameri, A.; Karimi-Sangchini, E.; Pal, S.C.; Saha, A.; Chowdhuri, I.; Lee, S.; Tien Bui, D. Novel Credal Decision Tree-Based Ensemble Approaches for Predicting the Landslide Susceptibility. Remote Sens. 2020, 12, 3389. [Google Scholar] [CrossRef]
- Zhang, P.; Xu, C.; Ma, S.; Shao, X.; Tian, Y.; Wen, B. Automatic Extraction of Seismic Landslides in Large Areas with Complex Environments Based on Deep Learning: An Example of the 2018 Iburi Earthquake, Japan. Remote Sens. 2020, 12, 3992. [Google Scholar] [CrossRef]
- Geertsema, M.; Bevington, A. A cautionary note for rock avalanche field investigation; recent sequential and overlapping landslides in British Columbia. Can. Geotech. J. 2021, 58, 737–740. [Google Scholar] [CrossRef]
- Saito, H.; Uchiyama, S.; Teshirogi, K. Rapid vegetation recovery at landslide scars detected by multitemporal high-resolution satellite imagery at Aso volcano, Japan. Geomorphology 2022, 398, 107989. [Google Scholar] [CrossRef]
- Hungr, O.; Leroueil, S.; Picarelli, L. The Varnes classification of landslide types, an update. Landslides 2014, 11, 167–194. [Google Scholar] [CrossRef]
- Huang, F.; Yin, K.; Huang, J.; Gui, L.; Wang, P. Landslide susceptibility mapping based on self-organizing-map network and extreme learning machine. Eng. Geol. 2017, 223, 11–22. [Google Scholar] [CrossRef]
- Lima, P.; Steger, S.; Glade, T. Counteracting flawed landslide data in statistically based landslide susceptibility modelling for very large areas: A national-scale assessment for Austria. Landslides 2021, 18, 3531–3546. [Google Scholar] [CrossRef]
- Zhang, W.; Ching, J.; Goh, A.T.C.; Leung, A.Y.F. Big data and machine learning in geoscience and geoengineering: Introduction. Geosci. Front. 2021, 12, 327–329. [Google Scholar] [CrossRef]
- Lima, P.; Steger, S.; Glade, T.; Murillo-García, F.G. Literature review and bibliometric analysis on data-driven assessment of landslide susceptibility. J. Mt. Sci. 2022, 19, 1670–1698. [Google Scholar] [CrossRef]
- Pacheco Quevedo, R.; Velastegui-Montoya, A.; Montalván-Burbano, N.; Morante-Carballo, F.; Korup, O.; Daleles Rennó, C. Land use and land cover as a conditioning factor in landslide susceptibility: A literature review. Landslides 2023, 20, 967–982. [Google Scholar] [CrossRef]
- Tsou, C.; Feng, Z.; Chigira, M. Catastrophic landslide induced by Typhoon Morakot, Shiaolin, Taiwan. Geomorphology 2011, 127, 166–178. [Google Scholar] [CrossRef]
- Liu, J.; Xu, Q.; Wang, S.; Siva Subramanian, S.; Wang, L.; Qi, X. Formation and chemo-mechanical characteristics of weak clay interlayers between alternative mudstone and sandstone sequence of gently inclined landslides in Nanjiang, SW China. Bull. Eng. Geol. Environ. 2020, 79, 4701–4715. [Google Scholar] [CrossRef]
- Liang, X.; Liu, X.; Li, D.; Zhao, H.; Chen, G. Urban growth simulation by incorporating planning policies into a CA-based future land-use simulation model. Int. J. Geogr. Inf. Sci. 2018, 32, 2294–2316. [Google Scholar] [CrossRef]
- Zhang, S.; Yang, P.; Xia, J.; Wang, W.; Cai, W.; Chen, N.; Hu, S.; Luo, X.; Li, J.; Zhan, C. Land use/land cover prediction and analysis of the middle reaches of the Yangtze River under different scenarios. Sci. Total Environ. 2022, 833, 155238. [Google Scholar] [CrossRef]
- Breiman, L. Random Forests. Mach. Learn 2001, 45, 5–32. [Google Scholar] [CrossRef]
- Chen, T.; Guestrin, C. XGBoost: A Scalable Tree Boosting System. In Proceedings of the 22nd ACM SIGKDD International Conference on Knowledge Discovery and Data Mining (KDD ’16), New York, NY, USA, 13–17 August 2016; Association for Computing Machinery: New York, NY, USA, 2016; pp. 785–794. [Google Scholar]
- Ke, G.; Meng, Q.; Finley, T.; Wang, T.; Chen, W.; Ma, W.; Ye, Q.; Liu, T. LightGBM: A Highly Efficient Gradient Boosting Decision Tree. Adv. Neural Inf. Process. Syst. 2017, 30, 1–9. [Google Scholar]
- Wolpert, D. Stacked Generalization. Neural Netw. 1992, 5, 241–259. [Google Scholar] [CrossRef]
- Yin, G.; Luo, J.; Niu, F.; Lin, Z.; Liu, M. Machine learning-based thermokarst landslide susceptibility modeling across the permafrost region on the Qinghai-Tibet Plateau. Landslides 2021, 18, 2639–2649. [Google Scholar] [CrossRef]
- Pham, B.T.; Nguyen-Thoi, T.; Qi, C.; Phong, T.V.; Dou, J.; Ho, L.S.; Le, H.V.; Prakash, I. Coupling RBF neural network with ensemble learning techniques for landslide susceptibility mapping. Catena 2020, 195, 104805. [Google Scholar] [CrossRef]
- Wang, J.; Chen, Y.; Shao, X.; Zhang, Y.; Cao, Y. Land-use changes and policy dimension driving forces in China: Present, trend and future. Land Use Policy 2012, 29, 737–749. [Google Scholar] [CrossRef]
- Dong, N.; You, L.; Cai, W.; Li, G.; Lin, H. Land use projections in China under global socioeconomic and emission scenarios: Utilizing a scenario-based land-use change assessment framework. Glob. Environ. Chang. 2018, 50, 164–177. [Google Scholar] [CrossRef]
- Wang, Q.; Guan, Q.; Sun, Y.; Du, Q.; Xiao, X.; Luo, H.; Zhang, J.; Mi, J. Simulation of future land use/cover change (LUCC) in typical watersheds of arid regions under multiple scenarios. J. Environ. Manag. 2023, 335, 117543. [Google Scholar] [CrossRef] [PubMed]
- Green, G.M.; Ahearn, S.C. International Journal of Geographical Information Science. Int. J. Geogr. Inf. Sci. 2016, 30, 61–73. [Google Scholar] [CrossRef]
- Zhang, W.; Li, H.; Han, L.; Chen, L.; Wang, L. Slope stability prediction using ensemble learning techniques: A case study in Yunyang County, Chongqing, China. J. Rock Mech. Geotech. Eng. 2022, 14, 1089–1099. [Google Scholar] [CrossRef]
- Alcántara-Ayala, I.; Esteban-Chávez, O.; Parrot, J.F. Landsliding related to land-cover change: A diachronic analysis of hillslope instability distribution in the Sierra Norte, Puebla, Mexico. Catena 2006, 65, 152–165. [Google Scholar] [CrossRef]
- Reichenbach, P.; Busca, C.; Mondini, A.C.; Rossi, M. The influence of land use change on landslide susceptibility zonation: The Briga catchment test site (Messina, Italy). Environ. Manag. 2014, 54, 1372–1384. [Google Scholar] [CrossRef]
- Lan, H.; Wang, D.; He, S.; Fang, Y.; Chen, W.; Zhao, P.; Qi, Y. Experimental study on the effects of tree planting on slope stability. Landslides 2020, 17, 1021–1035. [Google Scholar] [CrossRef]
- Ghestem, M.; Roy, C.S.; Alexia, S. The influence of plant root systems on subsurface flow: Implications for slope stability. Bioscience 2011, 61, 869–879. [Google Scholar] [CrossRef]
- Hürlimann, M.; Guo, Z.; Puig-Polo, C.; Medina, V. Impacts of future climate and land cover changes on landslide susceptibility: Regional scale modelling in the Val d’Aran region (Pyrenees, Spain). Landslides 2022, 19, 99–118. [Google Scholar] [CrossRef]














| Data Type | Name | Year | Spatial Resolution | Sources |
|---|---|---|---|---|
| Land-use land-cover data | China’s Multi-Period Land Use Land Cover Remote Sensing Monitoring Dataset | 2010 | 30 m | Data Center for Resources and Environmental Sciences, Chinese Academy of Sciences (https://www.resdc.cn, 20 November 2022) |
| 2015 | 30 m | |||
| 2020 | 30 m | |||
| Socio-economic data | Population density | 2019 | 1 km | |
| GDP | 2019 | 1 km | ||
| Distance from first-class road | 2020 | 30 m | OpenStreetMap (www.openstreetmap.org, 20 November 2022) | |
| Distance from second-class road | 30 m | |||
| Distance from third-class road | 30 m | |||
| Distance from government | 30 m | |||
| Climate-environmental data | Distance from river | 30 m | ||
| Soil type | 1995 | 30 m | Data Center for Resources and Environmental Sciences, Chinese Academy of Sciences (https://www.resdc.cn, 20 November 2022) | |
| Annual average precipitation | 2020 | 1 km | ||
| Annual average temperature | 2020 | 1 km | ||
| DEM | / | 12.5 m | ASF Data Search (https://search.asf.alaska.edu, 20 November 2022) |
| Cropland | Forestland | Grassland | Water | Built-Up Land | |
|---|---|---|---|---|---|
| Cropland | 1 | 1 | 1 | 0 | 1 |
| Forestland | 1 | 1 | 1 | 0 | 1 |
| Grassland | 1 | 1 | 1 | 0 | 1 |
| Water | 0 | 0 | 0 | 1 | 0 |
| Built-up land | 0 | 0 | 0 | 0 | 1 |
| Random Forest | XGBoost | LightGBM | |||
|---|---|---|---|---|---|
| N_estimators: (0, 200, 1) | |||||
| Max_depth: (1, 100, 1) | |||||
| Min_sample_split | (3, 30, 1) | Lr: (0.1, 1, 0.1) | |||
| Min_samples_leaf | (3, 30, 1) | Subsample: (0.1, 1, 0.1) | |||
| / | / | Colsample_bytree | (0.1, 1, 0.1) | Num_leaves | (50, 150, 1) |
| / | / | Colsample_bylevel | (0.1, 1, 0.1) | Min_split_gain | (0, 5, 1) |
| / | / | Colsample_bynode | (0.1, 1, 0.1) | Min_child_samples | (10, 50, 1) |
| Land-Use Land-Cover Types | 2010 | 2015 | 2020 |
|---|---|---|---|
| Grassland | 104.67 | 104.301 | 104.809 |
| Cropland | 281.178 | 275.602 | 275.147 |
| Built-up land | 22.2111 | 27.592 | 35.654 |
| Forestland | 1629.896 | 1630.45 | 1622.306 |
| Water | 29.616 | 29.628 | 29.654 |
| 2010 | 2020 | ||||||
|---|---|---|---|---|---|---|---|
| Grassland | Cropland | Built-Up Land | Forestland | Water | Sum | Transferred Out | |
| Grassland | 98.820 | 0.435 | 0.241 | 5.153 | 0.022 | 104.670 | 5.850 |
| Cropland | 0.463 | 260.451 | 5.990 | 13.876 | 0.399 | 281.178 | 20.727 |
| Built-up land | 0.048 | 0.470 | 21.093 | 0.547 | 0.053 | 22.211 | 1.118 |
| Forestland | 5.456 | 13.391 | 8.280 | 1601.660 | 1.110 | 1629.897 | 28.237 |
| Water | 0.023 | 0.401 | 0.050 | 1.071 | 28.071 | 29.616 | 1.545 |
| Sum | 104.810 | 275.147 | 35.654 | 1622.307 | 29.654 | 2067.572 | 5.850 |
| Transferred in | 5.989 | 14.696 | 14.561 | 20.647 | 1.583 | / | / |
| Extended area | 0.139 | 6.031 | 13.443 | 7.590 | 0.038 | / | / |
| Neighborhood weights | 0.1 | 0.447 | 0.9 | 0.563 | 0.1 | / | / |
| Random Forest | XGBoost | LightGBM | |||
|---|---|---|---|---|---|
| N_estimators | 199 | 50 | 200 | ||
| Max_depth | 39 | 32 | 27 | ||
| Min_sample_split | 3 | Lr | 0.5 | 0.3 | |
| Min_samples_leaf | 3 | Subsample | 1.0 | 0.2 | |
| / | / | Colsample_bytree | 0.7 | Num_leaves | 100 |
| / | / | Colsample_bylevel | 0.7 | Min_split_gain | 0 |
| / | / | Colsample_bynode | 1.0 | Min_child_samples | 12 |
| Description | Scenarios | Road Network | LULC | |
|---|---|---|---|---|
| All area | Urbanized area | |||
| Basic Condition | RL | RL-U | 2016 | 2015 |
| Short-Term Forecasting | RL1 | RL1-U | 2018 | |
| RL2 | RL2-U | 2019 | ||
| RL3 | RL3-U | 2020 | ||
| Combined Changes | RLP1 | RLP1-U | Predicted 2030 | |
| RLP2 | RLP2-U | Predicted 2060 | ||
| Land-use Changes Only | LP1 | LP1-U | 2016 | Predicted 2030 |
| LP2 | LP2-U | Predicted 2060 | ||
| Susceptibility Level | Number of Pixels | |||
|---|---|---|---|---|
| RL-U | RL-U1 | RL-U2 | RL-U3 | |
| Very-low | 11,840 | 11,029 | 10,568 | 10,423 |
| Low | 7215 | 7684 | 7994 | 8020 |
| Moderate | 1529 | 1754 | 1845 | 1940 |
| High | 1134 | 1251 | 1311 | 1335 |
Disclaimer/Publisher’s Note: The statements, opinions and data contained in all publications are solely those of the individual author(s) and contributor(s) and not of MDPI and/or the editor(s). MDPI and/or the editor(s) disclaim responsibility for any injury to people or property resulting from any ideas, methods, instructions or products referred to in the content. |
© 2023 by the authors. Licensee MDPI, Basel, Switzerland. This article is an open access article distributed under the terms and conditions of the Creative Commons Attribution (CC BY) license (https://creativecommons.org/licenses/by/4.0/).
Share and Cite
Zeng, T.; Guo, Z.; Wang, L.; Jin, B.; Wu, F.; Guo, R. Tempo-Spatial Landslide Susceptibility Assessment from the Perspective of Human Engineering Activity. Remote Sens. 2023, 15, 4111. https://doi.org/10.3390/rs15164111
Zeng T, Guo Z, Wang L, Jin B, Wu F, Guo R. Tempo-Spatial Landslide Susceptibility Assessment from the Perspective of Human Engineering Activity. Remote Sensing. 2023; 15(16):4111. https://doi.org/10.3390/rs15164111
Chicago/Turabian StyleZeng, Taorui, Zizheng Guo, Linfeng Wang, Bijing Jin, Fayou Wu, and Rujun Guo. 2023. "Tempo-Spatial Landslide Susceptibility Assessment from the Perspective of Human Engineering Activity" Remote Sensing 15, no. 16: 4111. https://doi.org/10.3390/rs15164111
APA StyleZeng, T., Guo, Z., Wang, L., Jin, B., Wu, F., & Guo, R. (2023). Tempo-Spatial Landslide Susceptibility Assessment from the Perspective of Human Engineering Activity. Remote Sensing, 15(16), 4111. https://doi.org/10.3390/rs15164111

