The Characterization of the Vertical Distribution of Surface Soil Moisture Using ISMN Multilayer In Situ Data and Their Comparison with SMOS and SMAP Soil Moisture Products
Abstract
1. Introduction
- To investigate the vertical distribution characteristics of surface soil moisture, the numerical characteristics of each layer, and the similarities and differences between the layers;
- To quantify the numerical difference between satellite soil moisture retrievals and multilayer in situ measurements;
- To demonstrate the effect of the depth mismatch, the rationality of using in situ data at one depth as a reference, and the feasibility of using another depth as a substitute.
2. Materials and Methods
2.1. Data
2.1.1. ISMN In Situ Soil Moisture Data
2.1.2. SMOS L2 Soil Moisture Product
2.1.3. SMOS-IC Soil Moisture Product
2.1.4. SMAP L2 Soil Moisture Product
2.1.5. SMAP L4 Soil Moisture Product
2.2. Methods
2.2.1. Quality Control of the In Situ Data
2.2.2. Spatiotemporal Matching of In Situ Data and Satellite Products
2.2.3. Analysis of the Vertical Distribution Characteristics of Surface Soil Moisture
2.2.4. Comparison between the Satellite Products and the In Situ Data
3. Results
3.1. Stratification Characteristics of Surface Soil Moisture
3.1.1. Single-Layer Distribution
3.1.2. Interlayer Correlation
3.1.3. Interlayer Difference
3.2. Comparisons between the Satellite Products and the In Situ Data
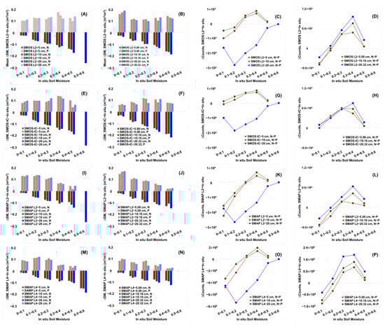
3.2.1. Separate Comparison
3.2.2. Simultaneous Comparison
3.2.3. The Depth Mismatch
4. Discussion
4.1. The Vertical Distribution Pattern of Surface Soil Moisture
4.2. The Difference between the Satellite Products and the In Situ Data
5. Conclusions
Author Contributions
Funding
Data Availability Statement
Acknowledgments
Conflicts of Interest
References
- Shen, X.J.; Walker, J.P.; Ye, N.; Wu, X.L.; Boopathi, N.; Yeo, I.Y.; Zhang, L.L.; Zhu, L.J. Soil Moisture Retrieval Depth of P- and L-Band Radiometry: Predictions and Observations. IEEE Trans. Geosci. Remote Sens. 2021, 59, 6814–6822. [Google Scholar] [CrossRef]
- Konkathi, P.; Karthikeyan, L. Error and uncertainty characterization of soil moisture and VOD retrievals obtained from L-band SMAP radiometer. Remote Sens. Environ. 2022, 280, 113146. [Google Scholar] [CrossRef]
- Zhang, P.; Zheng, D.H.; van der Velde, R.; Wen, J.; Ma, Y.M.; Zeng, Y.J.; Wang, X.; Wang, Z.L.; Chen, J.L.; Su, Z.B. A dataset of 10-year regional-scale soil moisture and soil temperature measurements at multiple depths on the Tibetan Plateau. Earth Syst. Sci. Data 2022, 14, 5513–5542. [Google Scholar] [CrossRef]
- Hu, F.M.; Wei, Z.S.; Yang, X.N.; Xie, W.J.; Li, Y.X.; Cui, C.L.; Yang, B.B.; Tao, C.X.; Zhang, W.; Meng, L.K. Assessment of SMAP and SMOS soil moisture products using triple collocation method over Inner Mongolia. J. Hydrol.-Reg. Stud. 2022, 40, 101027. [Google Scholar] [CrossRef]
- Wigneron, J.-P.; Jackson, T.J.; O’Neill, P.; De Lannoy, G.; de Rosnay, P.; Walker, J.P.; Ferrazzoli, P.; Mironov, V.; Bircher, S.; Grant, J.P.; et al. Modelling the passive microwave signature from land surfaces: A review of recent results and application to the L-band SMOS & SMAP soil moisture retrieval algorithms. Remote Sens. Environ. 2017, 192, 238–262. [Google Scholar]
- Chan, S.K.; Bindlish, R.; O’Neill, P.; Jackson, T.; Kerr, Y. Development and assessment of the SMAP enhanced passive soil moisture product. Remote Sens. Environ. 2018, 204, 2539–2542. [Google Scholar] [CrossRef]
- Zheng, D.H.; Li, X.; Wang, X.; Wang, Z.L.; Wen, J.; van der Velde, R.; Schwank, M.; Su, Z.B. Sampling depth of L-band radiometer measurements of soil moisture and freeze-thaw dynamics on the Tibetan Plateau. Remote Sens. Environ. 2019, 226, 16–25. [Google Scholar] [CrossRef]
- Kerr, Y.H.; Al-Yaari, A.; Rodriguez-Fernandez, N.; Parrens, M.; Molero, B.; Leroux, D.; Bircher, S.; Mahmoodi, A.; Mialon, A.; Richaume, P.; et al. Overview of SMOS performance in terms of global soil moisture monitoring after six years in operation. Remote Sens. Environ. 2016, 180, 40–63. [Google Scholar] [CrossRef]
- Zeng, J.; Chen, K.-S.; Bi, H.; Quan, Q. A Preliminary Evaluation of the SMAP Radiometer Soil Moisture Product Over United States and Europe Using Ground-Based Measurements. IEEE Trans. Geosci. Remote Sens. 2016, 54, 4929–4940. [Google Scholar] [CrossRef]
- Al-Yaari, A.; Wigneron, J.-P.; Kerr, Y.; Rodriguez-Fernandez, N.; O’Neill, P.E.; Jackson, T.J.; De Lannoy, G.J.M.; Al Bitar, A.; Mialon, A.; Richaume, P.; et al. Evaluating soil moisture retrievals from ESA’s SMOS and NASA’s SMAP brightness temperature datasets. Remote Sens. Environ. 2017, 193, 257–273. [Google Scholar] [CrossRef] [PubMed]
- Burgin, M.S.; Colliander, A.; Njoku, E.G.; Chan, S.K.; Cabot, F.; Kerr, Y.H.; Bindlish, R.; Jackson, T.J.; Entekhabi, D.; Yueh, S.H. A Comparative Study of the SMAP Passive Soil Moisture Product With Existing Satellite-Based Soil Moisture Products. IEEE Trans. Geosci. Remote Sens. 2017, 55, 2959–2971. [Google Scholar] [CrossRef]
- Das, N.N.; Entekhabi, D.; Dunbar, R.S.; Colliander, A.; Chen, F.; Crow, W.; Jackson, T.J.; Berg, A.; Bosch, D.D.; Caldwell, T.; et al. The SMAP mission combined active-passive soil moisture product at 9 km and 3 km spatial resolutions. Remote Sens. Environ. 2018, 211, 204–217. [Google Scholar] [CrossRef]
- Walker, V.A.; Hornbuckle, B.K.; Cosh, M.H. A Five-Year Evaluation of SMOS Level 2 Soil Moisture in the Corn Belt of the United States. IEEE J. Sel. Top. Appl. Earth Obs. Remote Sens. 2018, 11, 4664–4675. [Google Scholar] [CrossRef]
- Colliander, A.; Cosh, M.H.; Misra, S.; Jackson, T.J.; Crow, W.T.; Powers, J.; Mcnairn, H.; Bullock, P.; Berg, A.; Magagi, R. Comparison of high-resolution airborne soil moisture retrievals to SMAP soil moisture during the SMAP validation experiment 2016 (SMAPVEX16). Remote Sens. Environ. 2019, 227, 137–150. [Google Scholar] [CrossRef]
- Li, X.; Al-Yaari, A.; Schwank, M.; Fan, L.; FFrappart Swenson, J.; Wigneron, J.-P. Compared performances of SMOS-IC soil moisture and vegetation optical depth retrievals based on Tau-Omega and Two-Stream microwave emission models. Remote Sens. Environ. 2020, 236, 111502. [Google Scholar] [CrossRef]
- Ma, H.; Zeng, J.; Chen, N.; Zhang, X.; Wang, W. Satellite surface soil moisture from SMAP, SMOS, AMSR2 and ESA CCI: A comprehensive assessment using global ground-based observations. Remote Sens. Environ. 2019, 231C, 111215. [Google Scholar] [CrossRef]
- Mousa, B.G.; Hong, S. Spatial Evaluation and Assimilation of SMAP, SMOS, and ASCAT Satellite Soil Moisture Products over Africa Using Statistical Techniques. Earth Space Sci. 2020, 7, e2019EA000841. [Google Scholar] [CrossRef]
- Pan, M.; Cai, X.; Chaney, N.W.; Entekhabi, D.; Wood, E.F. An initial assessment of SMAP soil moisture retrievals using high-resolution model simulations and in situ observations. Geophys. Res. Lett. 2016, 43, 9662–9668. [Google Scholar] [CrossRef]
- Wang, Z.; Che, T.; Liou, Y.A. Global Sensitivity Analysis of the L-MEB Model for Retrieving Soil Moisture. IEEE Trans. Geosci. Remote Sens. 2016, 54, 2949–2962. [Google Scholar] [CrossRef]
- Dong, J.; Crow, W.T.; Bindlish, R. The Error Structure of the SMAP Single and Dual Channel Soil Moisture Retrievals. Geophys. Res. Lett. 2017, 45, 758–765. [Google Scholar] [CrossRef]
- Li, D.; Jin, R.; Zhou, J.; Kang, J. Analysis and Reduction of the Uncertainties in Soil Moisture Estimation With the L-MEB Model Using EFAST and Ensemble Retrieval. IEEE Geosci. Remote Sens. 2017, 12, 1337–1341. [Google Scholar]
- Chen, Q.; Zeng, J.; Cui, C.; Li, Z.; Chen, K.S.; Bai, X.; Xu, J. Soil Moisture Retrieval From SMAP: A Validation and Error Analysis Study Using Ground-Based Observations Over the Little Washita Watershed. IEEE Trans. Geosci. Remote Sens. 2018, 56, 1394–1408. [Google Scholar] [CrossRef]
- Chaubell, M.J.; Asanuma, J.; Berg, A.A.; Bosch, D.D.; O’Neill, P.E. Improved SMAP Dual-Channel Algorithm for the Retrieval of Soil Moisture. IEEE Trans. Geosci. Remote Sens. 2020, 58, 3894–3905. [Google Scholar] [CrossRef]
- Mialon, A.; Richaume, P.; Leroux, D.; Bircher, S.; Bitar, A.A.; Pellarin, T.; Wigneron, J.; Kerr, Y.H. Comparison of Dobson and Mironov Dielectric Models in the SMOS Soil Moisture Retrieval Algorithm. IEEE Trans. Geosci. Remote Sens. 2015, 53, 3084–3094. [Google Scholar] [CrossRef]
- Ebrahimi-Khusfi, M.; Alavipanah, S.K.; Hamzeh, S.; Amiraslani, F.; Samany, N.N.; Wigneron, J.P. Comparison of soil moisture retrieval algorithms based on the synergy between SMAP and SMOS-IC. Int. J. Appl. Earth Obs. Geoinf. 2018, 67, 148–160. [Google Scholar] [CrossRef]
- Zheng, D.; Rogier, V.; Wen, J.; Wang, X.; Ferrazzoli, P.; Schwank, M.; Colliander, A.; Bindlish, R.; Su, Z. Assessment of the SMAP Soil Emission Model and Soil Moisture Retrieval Algorithms for a Tibetan Desert Ecosystem. IEEE Trans. Geosci. Remote Sens. 2018, 56, 3786–3799. [Google Scholar] [CrossRef]
- Kang, C.S.; Kanniah, K.D.; Kerr, Y.H. Calibration of SMOS Soil Moisture Retrieval Algorithm: A Case of Tropical Site in Malaysia. IEEE Trans. Geosci. Remote Sens. 2019, 57, 3827–3839. [Google Scholar] [CrossRef]
- Khazal, A.; Richaume, P.; Cabot, F.; Anterrieu, E.; Mialon, A.; Kerr, Y.H. Improving the Spatial Bias Correction Algorithm in SMOS Image Reconstruction Processor: Validation of Soil Moisture Retrievals with In Situ Data. IEEE Trans. Geosci. Remote Sens. 2019, 57, 277–290. [Google Scholar] [CrossRef]
- Zheng, D.H.; Li, X.; Zhao, T.J.; Wen, J.; van der Velde, R.; Schwank, M.; Wang, X.; Wang, Z.L.; Su, Z.B. Impact of Soil Permittivity and Temperature Profile on L-Band Microwave Emission of Frozen Soil. IEEE Trans. Geosci. Remote Sens. 2021, 59, 4080–4093. [Google Scholar] [CrossRef]
- Yee, M.S.; Walker, J.P.; Monerris, A.; Rüdiger, C.; Jackson, T.J. On the identification of representative in situ soil moisture monitoring stations for the validation of SMAP soil moisture products in Australia. J. Hydrol. 2016, 537, 367–381. [Google Scholar] [CrossRef]
- González-Zamora, Á.; Sánchez, N.; Pablos, M.; Martínez-Fernández, J. CCI soil moisture assessment with SMOS soil moisture and in situ data under different environmental conditions and spatial scales in Spain. Remote Sens. Environ. 2019, 225, 469–482. [Google Scholar] [CrossRef]
- Whitcomb, J.; Clewley, D.; Colliander, A.; Cosh, M.H.; Moghaddam, M. Evaluation of SMAP Core Validation Site Representativeness Errors Using Dense Networks of In Situ Sensors and Random Forests. IEEE J. Sel. Top. Appl. Earth Obs. Remote Sens. 2020, 13, 6457–6472. [Google Scholar] [CrossRef]
- Zhang, P.; Zheng, D.H.; van der Velde, R.; Wen, J.; Zeng, Y.J.; Wang, X.; Wang, Z.L.; Chen, J.L.; Su, Z.B. Status of the Tibetan Plateau observatory (Tibet-Obs) and a 10-year (2009–2019) surface soil moisture dataset. Earth Syst. Sci. Data 2021, 13, 3075–3102. [Google Scholar] [CrossRef]
- Yang, N.; Tang, Y.; Chen, Y.; Xiang, F. Study on Stability of Surface Soil Moisture and Other Meteorological Variables within Time Intervals of SMOS and SMAP. IEEE Geosci. Remote Sens. Lett. 2021, 18, 1911–1915. [Google Scholar] [CrossRef]
- Dorigo, W.; Himmelbauer, I.; Aberer, D.; Schremmer, L.; Sabia, R. The International Soil Moisture Network: Serving Earth system science for over a decade. Hydrol. Earth Syst. Sci. 2021, 25, 5749–5804. [Google Scholar] [CrossRef]
- Yi, C.X.; Li, X.J.; Zeng, J.Y.; Fan, L.; Xie, Z.Q.; Gao, L.; Xing, Z.P.; Ma, H.L.; Boudah, A.; Zhou, H.W.; et al. Assessment of five SMAP soil moisture products using ISMN ground-based measurements over varied environmental conditions. J. Hydrol. 2023, 619, 129325. [Google Scholar] [CrossRef]
- Colliander, A.; Kerr, Y.; Wigneron, J.P.; Al-Yaari, A.; Rodriguez-Fernandez, N.; Li, X.; Chaubell, J.; Richaume, P.; Mialon, A.; Asanuma, J.; et al. Performance of SMOS Soil Moisture Products Over Core Validation Sites. IEEE Geosci. Remote Sens. Lett. 2023, 20, 2502805. [Google Scholar] [CrossRef]
- Pascal, C.; Ferrant, S.; Rodriguez-Fernandez, N.; Kerr, Y.; Selles, A.; Merlin, O. Indicator of Flood-Irrigated Crops From SMOS and SMAP Soil Moisture Products in Southern India. IEEE Geosci. Remote Sens. Lett. 2023, 20, 4500205. [Google Scholar] [CrossRef]
- Fernandez-Moran, R.; Al-Yaari, A.; Mialon, A.; Mahmoodi, A.; Al Bitar, A.; De Lannoy, G.; Rodriguez-Fernandez, N.; Lopez-Baeza, E.; Kerr, Y.; Wigneron, J.P. SMOS-IC: An Alternative SMOS Soil Moisture and Vegetation Optical Depth Product. Remote Sens. 2017, 9, 457. [Google Scholar] [CrossRef]
- Wigneron, J.P.; Li, X.; Frappart, F.; Fan, L.; Moisy, C. SMOS-IC data record of soil moisture and L-VOD: Historical development, applications and perspectives. Remote Sens. Environ. 2021, 254, 112238. [Google Scholar] [CrossRef]
- van der Velde, R.; Colliander, A.; Pezij, M.; Benninga, H.J.F.; Bindlish, R.; Chan, S.K.; Jackson, T.J.; Hendriks, D.M.D.; Augustijn, D.C.M.; Su, Z.B. Validation of SMAP L2 passive-only soil moisture products using upscaled in situ measurements collected in Twente, the Netherlands. Hydrol. Earth Syst. Sci. 2021, 25, 473–495. [Google Scholar] [CrossRef]
- Du, J.Y.; Kimball, J.S.; Chan, S.K.; Chaubell, M.J.; Bindlish, R.; Dunbar, R.S.; Colliander, A. Assessment of Surface Fractional Water Impacts on SMAP Soil Moisture Retrieval. IEEE J. Sel. Top. Appl. Earth Obs. Remote Sens. 2023, 16, 4871–4881. [Google Scholar] [CrossRef]
- Purdy, A.J.; Fisher, J.B.; Goulden, M.L.; Colliander, A.; Halverson, G.; Tu, K.; Farniglietti, J.S. SMAP soil moisture improves global evapotranspiration. Remote Sens. Environ. 2018, 219, 1–14. [Google Scholar] [CrossRef]
- Tavakol, A.; Rahmani, V.; Quiring, S.M.; Kumar, S.V. Evaluation analysis of NASA SMAP L3 and L4 and SPoRT-LIS soil moisture data in the United States. Remote Sens. Environ. 2019, 229, 234–246. [Google Scholar] [CrossRef]
- Li, S.P.; Sawada, Y. Soil moisture-vegetation interaction from near-global in-situ soil moisture measurements. Environ. Res. Lett. 2022, 17, 114028. [Google Scholar] [CrossRef]
- Kivi, M.; Vergopolan, N.; Dokoohaki, H. A comprehensive assessment of in situ and remote sensing soil moisture data assimilation in the APSIM model for improving agricultural forecastingacross the US Midwest. Hydrol. Earth Syst. Sci. 2023, 27, 1173–1199. [Google Scholar] [CrossRef]
- Fan, X.W.; Zhao, X.S.; Pan, X.; Liu, Y.W.; Liu, Y.B. Investigating multiple causes of time-varying SMAP soil moisture biases based on core validation sites data. J. Hydrol. 2022, 612, 128151. [Google Scholar] [CrossRef]
- Gupta, D.K.; Srivastava, P.K.; Pandey, D.K.; Chaudhary, S.K.; Prasad, R.; O’Neill, P.E. Passive Only Microwave Soil Moisture Retrieval in Indian Cropping Conditions: Model Parameterization and Validation. IEEE Trans. Geosci. Remote Sens. 2023, 61, 4400412. [Google Scholar] [CrossRef]
- Hong, Z.; Moreno, H.A.; Li, Z.; Li, S.; Greene, J.S.; Hong, Y.; Alvarez, L.V. Triple Collocation of Ground-, Satellite- and Land Surface Model-Based Surface Soil Moisture Products in Oklahoma-Part I: Individual Product Assessment. Remote Sens. 2022, 14, 5641. [Google Scholar] [CrossRef]
- Zhu, L.Y.; Li, W.J.; Wang, H.Q.; Deng, X.D.; Tong, C.; He, S.; Wang, K. Merging Microwave, Optical, and Reanalysis Data for 1 Km Daily Soil Moisture by Triple Collocation. Remote Sens. 2023, 15, 159. [Google Scholar] [CrossRef]













| Temporal Matching Groups | Counts | ||||
|---|---|---|---|---|---|
| ISMN | SMOS L2 | 128,619 | |||
| ISMN | SMOS-IC | 86,646 | |||
| ISMN | SMAP L2 | 123,635 | |||
| ISMN | SMAP L4 | 3,257,075 | |||
| ISMN | SMOS L2 | SMOS-IC | SMAP L2 | SMAP L4 | 7848 |
| R | 5 cm | 10 cm | 20 cm | 5.08 cm | 10.16 cm | 20.32 cm |
|---|---|---|---|---|---|---|
| SMOS L2 | 0.461 | 0.510 | 0.397 | 0.462 | 0.334 | 0.404 |
| SMOS IC | 0.675 | 0.607 | 0.610 | 0.559 | 0.538 | 0.493 |
| SMAP L2 | 0.648 | 0.629 | 0.586 | 0.580 | 0.524 | 0.500 |
| SMAP L4 | 0.701 | 0.654 | 0.655 | 0.613 | 0.602 | 0.572 |
| R | 5 cm | 10 cm | 20 cm | 5.08 cm | 10.16 cm | 20.32 cm |
|---|---|---|---|---|---|---|
| SMOS L2 | 0.535 | 0.557 | 0.463 | 0.479 | 0.381 | 0.453 |
| SMOS IC | 0.685 | 0.614 | 0.608 | 0.549 | 0.510 | 0.519 |
| SMAP L2 | 0.692 | 0.647 | 0.617 | 0.592 | 0.519 | 0.555 |
| SMAP L4 | 0.700 | 0.693 | 0.635 | 0.629 | 0.541 | 0.623 |
| (m3/m3) | MD | MAD | ||||||
|---|---|---|---|---|---|---|---|---|
| SMOS L2 | SMOS-IC | SMAP L2 | SMAP L4 | SMOS L2 | SMOS-IC | SMAP L2 | SMAP L4 | |
| Satellite−5 cm | 0.018 | −0.027 | 0.055 | 0.034 | 0.092 | 0.086 | 0.098 | 0.075 |
| Satellite−10 cm | −0.001 | −0.045 | 0.037 | 0.016 | 0.097 | 0.097 | 0.100 | 0.079 |
| Satellite−20 cm | −0.008 | −0.052 | 0.031 | 0.011 | 0.099 | 0.103 | 0.100 | 0.081 |
| (Satellite−10 cm) − (Satellite−5 cm) | −0.019 | −0.018 | −0.018 | −0.018 | 0.005 | 0.011 | 0.002 | 0.004 |
| (Satellite−20 cm) − (Satellite−10 cm) | −0.007 | −0.007 | −0.006 | −0.005 | 0.002 | 0.006 | 0 | 0.002 |
| (Satellite−20 cm) − (Satellite−5 cm) | −0.026 | −0.025 | −0.024 | −0.023 | 0.007 | 0.017 | 0.002 | 0.006 |
| Satellite−5.08 cm | 0.012 | −0.049 | 0.025 | 0.005 | 0.097 | 0.093 | 0.086 | 0.067 |
| Satellite−10.16 cm | −0.006 | −0.064 | 0.009 | −0.011 | 0.110 | 0.105 | 0.098 | 0.076 |
| Satellite−20.32 cm | −0.031 | −0.088 | −0.016 | −0.034 | 0.115 | 0.117 | 0.098 | 0.078 |
| (Satellite−10.16 cm) − (Satellite−5.08 cm) | −0.018 | −0.015 | −0.016 | −0.016 | 0.013 | 0.012 | 0.012 | 0.009 |
| (Satellite−20.32 cm) − (Satellite−10.16 cm) | −0.025 | −0.024 | −0.025 | −0.023 | 0.005 | 0.012 | 0 | 0.002 |
| (Satellite−20.32 cm) − (Satellite−5.08 cm) | −0.043 | −0.039 | −0.041 | −0.039 | 0.018 | 0.024 | 0.012 | 0.011 |
| (m3/m3) | MD | MAD | ||||||
|---|---|---|---|---|---|---|---|---|
| SMOS L2 | SMOS-IC | SMAP L2 | SMAP L4 | SMOS L2 | SMOS-IC | SMAP L2 | SMAP L4 | |
| Satellite−5 cm | 0.030 | −0.027 | 0.039 | 0.009 | 0.092 | 0.083 | 0.080 | 0.058 |
| Satellite−10 cm | 0.012 | −0.045 | 0.021 | −0.009 | 0.094 | 0.094 | 0.081 | 0.065 |
| Satellite−20 cm | 0.009 | −0.048 | 0.018 | −0.012 | 0.094 | 0.097 | 0.080 | 0.064 |
| (Satellite−10 cm) − (Satellite−5 cm) | −0.018 | −0.018 | −0.018 | −0.018 | 0.002 | 0.011 | 0 | 0.007 |
| (Satellite−20 cm) − (Satellite−10 cm) | −0.003 | −0.003 | −0.003 | −0.003 | 0 | 0.003 | −0.001 | −0.001 |
| (Satellite−20 cm) − (Satellite−5 cm) | −0.021 | −0.021 | −0.021 | −0.021 | 0.002 | 0.014 | 0 | 0.006 |
| Satellite−5.08 cm | 0.038 | −0.020 | 0.031 | 0.001 | 0.098 | 0.095 | 0.075 | 0.078 |
| Satellite−10.16 cm | 0.020 | −0.039 | 0.012 | −0.017 | 0.100 | 0.100 | 0.080 | 0.083 |
| Satellite−20.32 cm | −0.001 | −0.060 | −0.008 | −0.038 | 0.090 | 0.102 | 0.069 | 0.068 |
| (Satellite−10.16 cm) − (Satellite−5.08 cm) | −0.018 | −0.019 | −0.019 | −0.018 | 0.002 | 0.005 | 0.005 | 0.005 |
| (Satellite−20.32 cm) − (Satellite−10.16 cm) | −0.021 | −0.021 | −0.020 | −0.021 | −0.010 | 0.002 | −0.011 | −0.015 |
| (Satellite−20.32 cm) − (Satellite−5.08 cm) | −0.039 | −0.040 | −0.039 | −0.039 | −0.008 | 0.007 | −0.006 | −0.010 |
Disclaimer/Publisher’s Note: The statements, opinions and data contained in all publications are solely those of the individual author(s) and contributor(s) and not of MDPI and/or the editor(s). MDPI and/or the editor(s) disclaim responsibility for any injury to people or property resulting from any ideas, methods, instructions or products referred to in the content. |
© 2023 by the authors. Licensee MDPI, Basel, Switzerland. This article is an open access article distributed under the terms and conditions of the Creative Commons Attribution (CC BY) license (https://creativecommons.org/licenses/by/4.0/).
Share and Cite
Yang, N.; Xiang, F.; Zhang, H. The Characterization of the Vertical Distribution of Surface Soil Moisture Using ISMN Multilayer In Situ Data and Their Comparison with SMOS and SMAP Soil Moisture Products. Remote Sens. 2023, 15, 3930. https://doi.org/10.3390/rs15163930
Yang N, Xiang F, Zhang H. The Characterization of the Vertical Distribution of Surface Soil Moisture Using ISMN Multilayer In Situ Data and Their Comparison with SMOS and SMAP Soil Moisture Products. Remote Sensing. 2023; 15(16):3930. https://doi.org/10.3390/rs15163930
Chicago/Turabian StyleYang, Na, Feng Xiang, and Hengjie Zhang. 2023. "The Characterization of the Vertical Distribution of Surface Soil Moisture Using ISMN Multilayer In Situ Data and Their Comparison with SMOS and SMAP Soil Moisture Products" Remote Sensing 15, no. 16: 3930. https://doi.org/10.3390/rs15163930
APA StyleYang, N., Xiang, F., & Zhang, H. (2023). The Characterization of the Vertical Distribution of Surface Soil Moisture Using ISMN Multilayer In Situ Data and Their Comparison with SMOS and SMAP Soil Moisture Products. Remote Sensing, 15(16), 3930. https://doi.org/10.3390/rs15163930

