Coalition Game Theoretic Power Allocation Strategy for Multi-Target Detection in Distributed Radar Networks
Abstract
1. Introduction
- A framework for a coalition game of LPI-based power allocation in radar networks is developed with the aim of improving LPI performance by reducing the radar’s radiated power while satisfying a predefined target detection performance requirement.
- We propose a game algorithm for joint coalition formation and power allocation to solve this coalition game model and rigorously prove the existence and uniqueness of the NE.
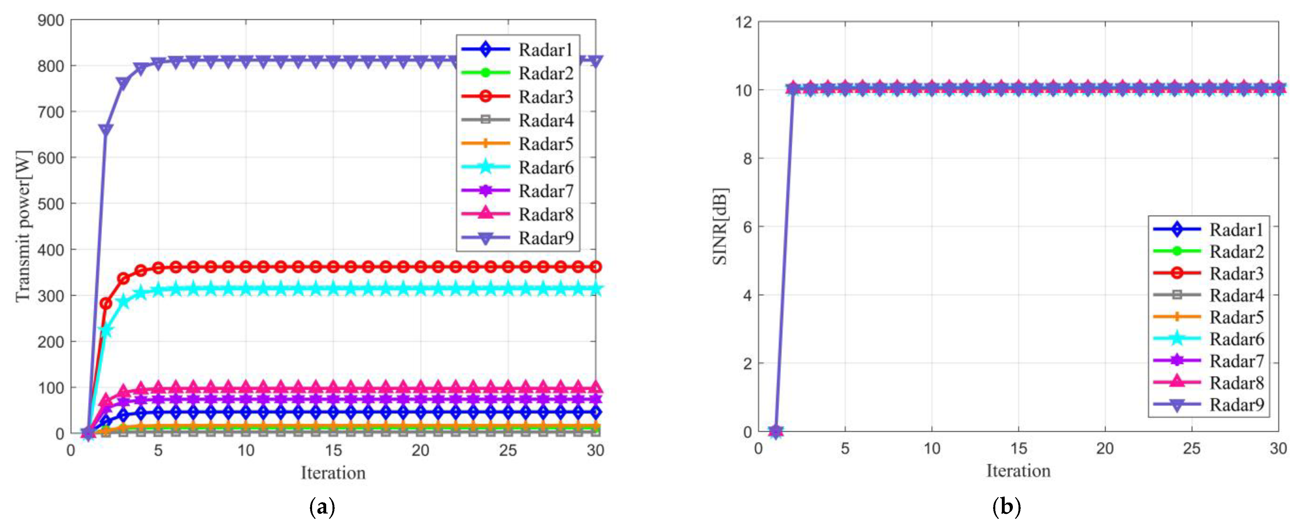
- Simulation results show that compared with other existing algorithms, the proposed algorithm can quickly form a stable coalition structure and achieve the maximum system energy efficiency under the current coalition structure and then effectively reduce the total radiated power of the radar networks under the condition of meeting the preset target detection performance requirements.
- We demonstrate the relationship between the coalition formation results and the power allocation results with two factors: the target radar cross section (RCS) and the relative position relationship between the target and the radar.
2. System Model
3. Game Theoretic Formulation
3.1. Coalition Game Power Allocation Model
3.2. Coalition Game Power Allocation Algorithm
| Algorithm 1: Joint coalition formation and power allocation |
| 1: Initialization: All radars in the radar networks select a random target for detection and record the current coalition structure as . Initialize the parameters SINR threshold and radiated power , as well as and . Make the iteration coefficients , and ( is a very small positive constant) to obtain the corresponding channel gain coefficients. 2: for , do for , do Calculate by solving Equation (16); if Adjust the level of adaptively; else remains unchanged; end if end for update Calculate by solving Equation (7); end for Calculate by solving Equation (8); 3: The energy efficiency of radar i and the total system energy efficiency when the coalition structure is are obtained. 4: while is unstable, do for , do Record Radar i’s current coalition ; for , do if , then Repeat step 2 to calculate energy efficiency and total system energy efficiency after radar i specificity to ; if the conditions of (9) are satisfied, then ; ; ; else , and remain unchanged; end if end if end for end for end while 5: After achieving stable coalition structure , update . |
3.3. Existence and Uniqueness of NE
- Radiated power is a non-empty, closed, bounded convex set on the Euclidean space;
- The utility function is a continuous concave function with respect to .
- Positivity: For , ;
- Monotonicity: If , ;
- Scalability: For , .
4. Simulation Results
4.1. Scenario 1
4.2. Scenario 2
4.3. Scenario 3
5. Concluding Remarks
Author Contributions
Funding
Data Availability Statement
Conflicts of Interest
References
- Shi, C.; Zhou, J.; Wang, F. Radio Frequency Stealth Technology for Airborne Radar Network; National Defense Industry Press: Beijing, China, 2019; pp. 3–23. [Google Scholar]
- Yan, J.K.; Dai, F.Z.; Qin, T.; Liu, H.W.; Bao, Z. A power allocation approach for 3D target tracking in multistatic radar systems. Electron. Inf. Technol. 2013, 35, 901–907. [Google Scholar] [CrossRef]
- Hu, H.Y.; Sun, Y.; Zheng, N.E. Resource allocation approach in distributed MIMO radar with multiple targets for velocity estimation. Electron. Inf. Technol. 2016, 38, 2453–2460. [Google Scholar] [CrossRef]
- Li, J.; Stoica, P. MIMO radar with collocated antennas. IEEE Signal Process. Mag. 2007, 24, 106–114. [Google Scholar] [CrossRef]
- Fisher, E.; Haimovich, A.; Blum, R.S. Spatial diversity in radars-models and detection performance. IEEE Trans. Signal Process. 2006, 54, 823–838. [Google Scholar] [CrossRef]
- Zhang, H.W.; Xie, J.W.; Shi, J.P. Sensor scheduling and resource allocation in distributed MIMO radar for joint target tracking and detection. IEEE Access 2019, 7, 62387–62400. [Google Scholar] [CrossRef]
- Chavali, P.; Nehorai, J. Scheduling and power allocation in a cognitive radar network for multiple-target tracking. IEEE Trans. Signal Process. 2012, 60, 715–729. [Google Scholar] [CrossRef]
- Chen, H.W.; Ta, S.Y.; Sun, B. Cooperative game approach to power allocation for target tracking in distributed MIMO radar sensor networks. IEEE Sens. J. 2015, 15, 5423–5432. [Google Scholar] [CrossRef]
- Godrich, H.; Petropulu, A.P.; Poor, H.V. Power allocation strategies for target localization in distributed multiple-radar architectures. IEEE Trans. Signal Process. 2011, 59, 3226–3240. [Google Scholar] [CrossRef]
- Naghsh, M.M.; Mahmoud, M.H.; Shahram, S.P. Unified optimization framework for multi-static radar code design using information-theoretic criteria. IEEE Trans. Signal Process. 2013, 61, 5401–5416. [Google Scholar] [CrossRef]
- Niu, R.X.; Blum, R.S.; Varshney, P.K. Target localization and tracking in noncoherent multiple-input multiple-output radar systems. IEEE Trans. Aerosp. Electron. Syst. 2012, 48, 1466–1487. [Google Scholar] [CrossRef]
- Dogancay, K. Online optimization of receiver trajectories for scan-based emitter localization. IEEE Trans. Aerosp. Electron. Syst. 2007, 43, 1117–1125. [Google Scholar] [CrossRef]
- Godrich, H.; Tajer, A.; Poor, H.V. Distributed target tracking in multiple widely separated radar architectures. In Proceedings of the 2012 IEEE 7th Sensor Array and Multichannel Signal Processing Workshop (SAM), Hoboken, NJ, USA, 17–20 June 2014. [Google Scholar] [CrossRef]
- Nguyen, C.G.; Doğançay, K.; Davis, L.M. Joint transmitter waveform and receiver path optimization for target tracking by multistatic radar system. In Proceedings of the 2014 IEEE Workshop on Statistical Signal Processing (SSP), Gold Coast, QLD, Australia, 29 June–2 July 2014. [Google Scholar] [CrossRef]
- Shi, C.G.; Salous, S.; Wang, F. Cramer-Rao lower bound evaluation for linear frequency modulation based active radar networks operating in a rice fading environment. Sensors 2016, 16, 2072. [Google Scholar] [CrossRef]
- Shi, C.G.; Wang, F.; Zhou, J.J. Cramer-Rao bound analysis for joint target location and velocity estimation in frequency modulation based passive radar network. IET Signal Process. 2016, 10, 780–790. [Google Scholar] [CrossRef]
- Godrich, H.; Petropulu, A.P.; Poor, H.V. Sensor selection in distributed multiple-radar architectures for localization: A knapsack problem formulation. IEEE Trans. Signal Process. 2012, 60, 247–259. [Google Scholar] [CrossRef]
- Shi, C.G.; Wang, F.; Sellathurai, M. Transmitter subset selection in FM-based passive radar networks for joint target parameter estimation. IEEE Sens. J. 2016, 16, 6043–6052. [Google Scholar] [CrossRef]
- Song, X.; Willett, P.; Zhou, S. Optimal power allocation for MIMO radars with heterogeneous propagation losses. In Proceedings of the 2012 IEEE International Conference on Acoustics, Speech and Signal Processing (ICASSP), Kyoto, Japan, 25–30 March 2012. [Google Scholar] [CrossRef]
- Schleher, D.C. LPI radar: Fact or fiction. IEEE Aerosp. Electron. Syst. Mag. 2006, 21, 3–6. [Google Scholar] [CrossRef]
- Stove, A.G.; Hume, A.L.; Baker, C.J. Low probability of intercept radar strategies. IEEE Proc. Radar Sonar Navig. 2004, 151, 249–260. [Google Scholar] [CrossRef]
- Lawrence, D.E. Low Probability of Intercept Antenna Array Beamforming. IEEE Trans. Antennas Propag. 2010, 58, 2858–2865. [Google Scholar] [CrossRef]
- Bacci, G.; Sanguinetti, L.; Luise, M. Understanding game theory via wireless power control. IEEE Signal Process. Mag. 2015, 32, 132–137. [Google Scholar] [CrossRef][Green Version]
- Zhang, X.X.; Ma, H.; Wang, J.L.; Zhou, S.H.; Liu, H.W. Game theory design for deceptive jamming suppression in polarization MIMO radar. IEEE Access 2019, 7, 114191–114202. [Google Scholar] [CrossRef]
- Gao, B.; Shi, L.B. Modeling an attack-mitigation dynamic game-theoretic scheme for security vulnerability analysis in a cyber-physical power system. IEEE Access 2020, 8, 30322–30331. [Google Scholar] [CrossRef]
- Panoui, A.; Lambotharan, S.; Chambers, J.A. Game theoretic power allocation for a multistatic radar network in the presence of estimation error. In Proceedings of the 2014 Sensor Signal Processing for Defence (SSPD), Edinburgh, UK, 8–9 September 2014. [Google Scholar] [CrossRef]
- Deligiannis, A.; Panoui, A.; Lambotharan, S.; Chambers, J.A. Game-theoretic power allocation and the Nash equilibrium analysis for a multistatic MIMO radar network. IEEE Trans. Signal Process. 2017, 65, 6397–6408. [Google Scholar] [CrossRef]
- Deligiannis, A.; Lambotharan, S. A Bayesian game theoretic framework for resource allocation in multistatic radar networks. In Proceedings of the 2017 IEEE Radar Conference (RadarConf), Seattle, WA, USA, 8–12 May 2017. [Google Scholar] [CrossRef]
- Jin, B.; Kuang, X.F.; Peng, Y. Distributed power allocation method for netted radar based on cooperative game theory. Acta Aeronaut. Astronaut. Sin. 2022, 43, 324776. [Google Scholar]
- Kuang, X.F.; Peng, Y.; Jin, B. Power allocation method for netted radar based on stackelberg game. Tactical Missile Technol. 2021, 6, 38–46. [Google Scholar]
- Xiong, K.; Zhang, T.X.; Cui, G.L. Coalition game of radar network for multitarget tracking via model-based multiagent reinforcement learning. IEEE Trans. Aerosp. Electron. Syst. 2023, 59, 2123–2140. [Google Scholar] [CrossRef]
- Wen, C.; Huang, Y.; Zheng, L.; Liu, W.J.; Davidson, T.N. Transmit waveform design for dual-function radar-communication systems via hybrid linear-nonlinear precoding. IEEE Trans. Signal Process. 2023, 71, 2130–2145. [Google Scholar] [CrossRef]
- Wen, C.; Huang, Y.; Davidson, T.N. Efficient Transceiver Design for MIMO Dual-Function Radar-Communication Systems. IEEE Trans. Signal Process. 2023, 71, 1786–1801. [Google Scholar] [CrossRef]
- Shi, C.G.; Wang, F.; Sellathurai, M.; Zhou, J.J. Non-cooperative game-theoretic distributed power control technique for radar network based on low probability of intercept. IET Signal Process. 2018, 12, 983–991. [Google Scholar] [CrossRef]
- Koskie, S.; Gajic, Z. A Nash game algorithm for SIR-based power control in 3G wireless CDMA networks. IEEE/ACM Trans. Netw. 2005, 13, 1017–1026. [Google Scholar] [CrossRef]



















Disclaimer/Publisher’s Note: The statements, opinions and data contained in all publications are solely those of the individual author(s) and contributor(s) and not of MDPI and/or the editor(s). MDPI and/or the editor(s) disclaim responsibility for any injury to people or property resulting from any ideas, methods, instructions or products referred to in the content. |
© 2023 by the authors. Licensee MDPI, Basel, Switzerland. This article is an open access article distributed under the terms and conditions of the Creative Commons Attribution (CC BY) license (https://creativecommons.org/licenses/by/4.0/).
Share and Cite
Dai, X.; Shi, C.; Wang, Z.; Zhou, J. Coalition Game Theoretic Power Allocation Strategy for Multi-Target Detection in Distributed Radar Networks. Remote Sens. 2023, 15, 3804. https://doi.org/10.3390/rs15153804
Dai X, Shi C, Wang Z, Zhou J. Coalition Game Theoretic Power Allocation Strategy for Multi-Target Detection in Distributed Radar Networks. Remote Sensing. 2023; 15(15):3804. https://doi.org/10.3390/rs15153804
Chicago/Turabian StyleDai, Xiangrong, Chenguang Shi, Ziwei Wang, and Jianjiang Zhou. 2023. "Coalition Game Theoretic Power Allocation Strategy for Multi-Target Detection in Distributed Radar Networks" Remote Sensing 15, no. 15: 3804. https://doi.org/10.3390/rs15153804
APA StyleDai, X., Shi, C., Wang, Z., & Zhou, J. (2023). Coalition Game Theoretic Power Allocation Strategy for Multi-Target Detection in Distributed Radar Networks. Remote Sensing, 15(15), 3804. https://doi.org/10.3390/rs15153804
